Trichoderma harzianum and Bacillus subtilis in Association with Rock Powder for the Initial Development of Maize Plants
Abstract
1. Introduction
2. Objectives
3. Materials and Methods
3.1. Location
3.2. Microorganisms
3.3. Soil Description
3.4. Compatibility Test
3.5. Rock Powder
3.6. Experimental Design
3.7. Plant Parameters
3.8. Statistical Analysis
3.9. Chemical Analysis
4. Results
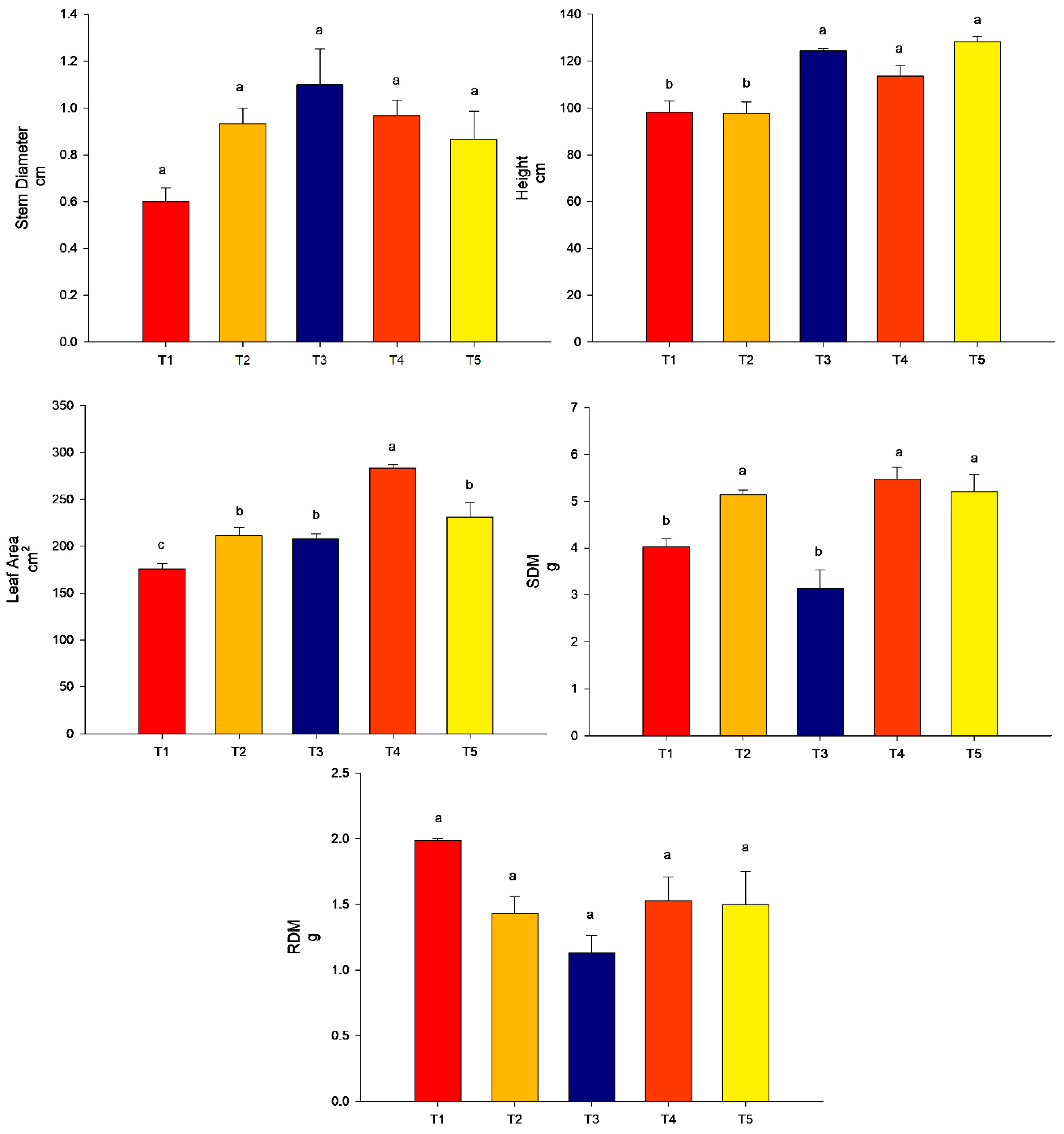
4.1. Experiment 1: Trichoderma harzianum + Rock Powder
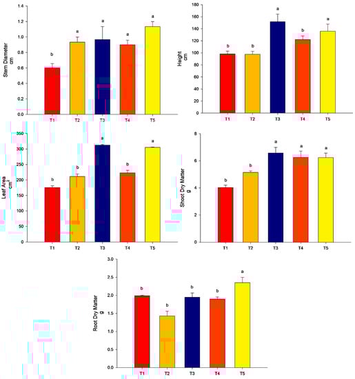
4.2. Experiment 2: Bacillus subtilis + Rock Powder
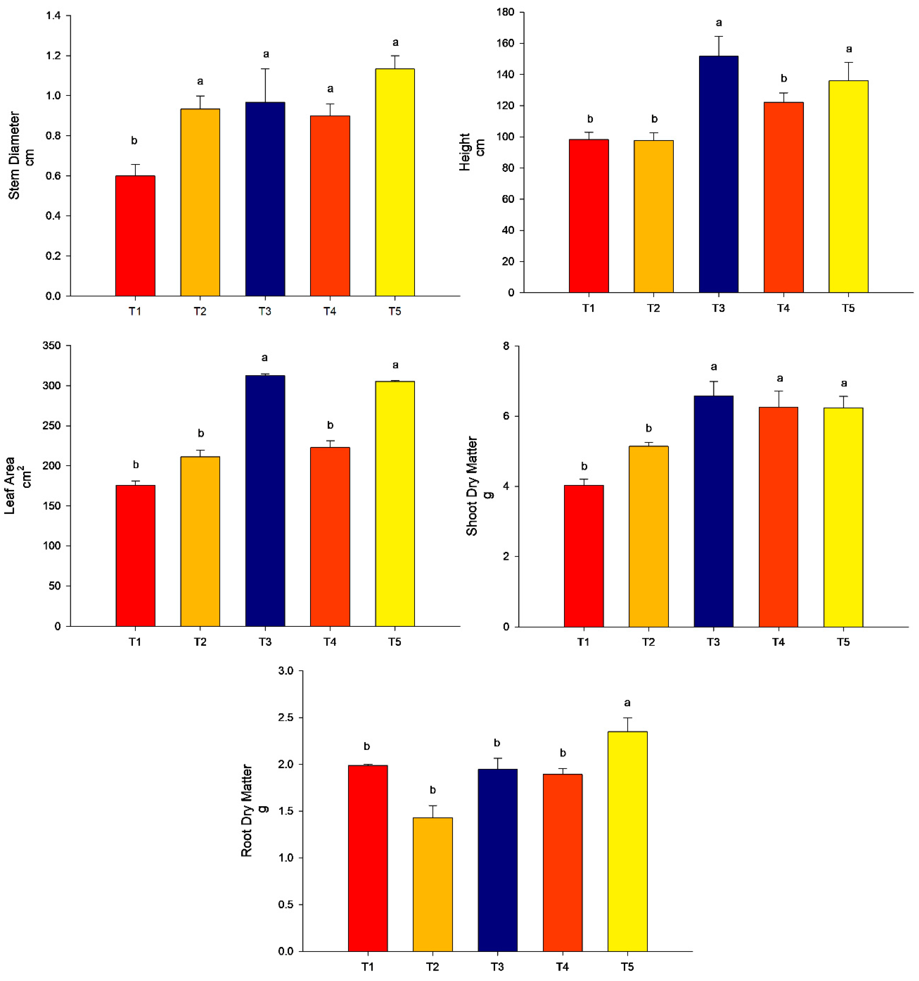
4.3. Experiment 3: Trichoderma harzianum + Bacillus subtilis + Rock Powder
5. Discussion
6. Conclusions
Author Contributions
Funding
Data Availability Statement
Acknowledgments
Conflicts of Interest
References
- Devika, O.S.; Singh, S.; Sarkar, D.; Barnwal, P.; Suman, J.; Rakshit, A. Seed Priming: A Potential Supplement in Integrated Resource Management Under Fragile Intensive Ecosystems. Front. Sustain. Food Syst. 2021, 5, 654001. [Google Scholar] [CrossRef]
- Adeleke, B.S.; Ayangbenro, A.S.; Babalola, O.O. Genomic analysis of endophytic Bacillus cereus T4S and its plant growth-promoting traits. Plants 2021, 10, 1776. [Google Scholar] [CrossRef]
- Babalola, O.O. Beneficial bacteria of agricultural importance. Biotechnol. Lett. 2010, 32, 1559–1570. [Google Scholar] [CrossRef]
- Aloo, B.; Makumba, B.; Mbega, E. The potential of bacilli rhizobacteria for sustainable crop production and environmental sustainability. Microbiol. Res. 2019, 219, 26–39. [Google Scholar] [CrossRef]
- Kafle, A.; Cope, K.R.; Raths, R.; Krishna Yakha, J.; Subramanian, S.; Bücking, H.; Garcia, K. Harnessing soil microbes to improve plant phosphate efficiency in cropping systems. Agronomy 2019, 9, 127. [Google Scholar] [CrossRef]
- Fyfe, W.S.; Leonardos, O.H.; Theodoro, S.H. Sustainable farming with native rocks: The transition without revolution. An. Acad. Bras. Ciências 2006, 78, 715–720. [Google Scholar] [CrossRef]
- Theodoro, S.H.; Leonardos, O.H.; Rocha, E.; Macedo, I.; Rego, K.G. Stonemeal of amazon soils with sediments from reservoirs: A case study of remineralization of the Tucuruí degraded land for agroforest reclamation. An. Acad. Bras. Ciências 2013, 85, 23–34. [Google Scholar] [CrossRef]
- Basak, B.; Sarkar, B.; Biswas, D.; Sarkar, S.; Sanderson, P.; Naidu, R. Biointervention of naturally occurring silicate minerals for alternative source of potassium: Challenges and opportunities. Adv. Agron. 2017, 141, 115–145. [Google Scholar]
- Gasparotto, J.; Martinello, K.D.B. Coal as an energy source and its impacts on human health. Energy Geosci. 2021, 2, 113–120. [Google Scholar] [CrossRef]
- Brader, G.; Compant, S.; Vescio, K.; Mitter, B.; Trognitz, F.; Ma, L.-J.; Sessitsch, A. Ecology and genomic insights into plant-pathogenic and plant-nonpathogenic endophytes. Annu. Rev. Phytopathol. 2017, 55, 61–83. [Google Scholar] [CrossRef]
- Souza, R.d.; Ambrosini, A.; Passaglia, L.M. Plant growth-promoting bacteria as inoculants in agricultural soils. Genet. Mol. Biol. 2015, 38, 401–419. [Google Scholar] [CrossRef]
- Sivasakthi, S.; Usharani, G.; Saranraj, P. Biocontrol potentiality of plant growth promoting bacteria (PGPR)-Pseudomonas fluorescens and Bacillus subtilis: A review. Afr. J. Agric. Res. 2014, 9, 1265–1277. [Google Scholar]
- Prashar, P.; Kapoor, N.; Sachdeva, S. Rhizosphere: Its structure, bacterial diversity and significance. Rev. Environ. Sci. Bio/Technol. 2014, 13, 63–77. [Google Scholar] [CrossRef]
- Kumar, A.; Kumar, A.; Devi, S.; Patil, S.; Payal, C.; Negi, S. Isolation, screening and characterization of bacteria from Rhizospheric soils for different plant growth promotion (PGP) activities: An in vitro study. Recent Res. Sci. Technol. 2012, 4, 1–5. [Google Scholar]
- Chowdhury, S.P.; Dietel, K.; Rändler, M.; Schmid, M.; Junge, H.; Borriss, R.; Hartmann, A.; Grosch, R. Effects of Bacillus amyloliquefaciens FZB42 on lettuce growth and health under pathogen pressure and its impact on the rhizosphere bacterial community. PLoS ONE 2013, 8, e68818. [Google Scholar] [CrossRef]
- Compant, S.; Duffy, B.; Nowak, J.; Clément, C.; Barka, E.A. Use of plant growth-promoting bacteria for biocontrol of plant diseases: Principles, mechanisms of action, and future prospects. Appl. Environ. Microbiol. 2005, 71, 4951–4959. [Google Scholar] [CrossRef]
- Nelson, L.M. Plant growth promoting rhizobacteria (PGPR): Prospects for new inoculants. Crop Manag. 2004, 3, 1–7. [Google Scholar] [CrossRef]
- Zaki, S.A.; Ouf, S.A.; Albarakaty, F.M.; Habeb, M.M.; Aly, A.A.; Abd-Elsalam, K.A. Trichoderma harzianum-mediated ZnO nanoparticles: A green tool for controlling soil-borne pathogens in cotton. J. Fungi 2021, 7, 952. [Google Scholar] [CrossRef]
- Sala, A.; Vittone, S.; Barrena, R.; Sanchez, A.; Artola, A. Scanning agro-industrial wastes as substrates for fungal biopesticide production: Use of Beauveria bassiana and Trichoderma harzianum in solid-state fermentation. J. Environ. Manag. 2021, 295, 113113. [Google Scholar] [CrossRef]
- Sun, X.; Tiffany, D.G.; Urriola, P.E.; Shurson, G.G.; Hu, B. Nutrition upgrading of corn-ethanol coproduct by fungal fermentation: Amino acids enrichment and anti-nutritional factors degradation. Food Bioprod. Process. 2021, 130, 1–13. [Google Scholar] [CrossRef]
- De Andrade Barbosa, M.; de Sousa Ferraz, R.L.; Coutinho, E.L.M.; Neto, A.M.C.; da Silva, M.S.; Fernandes, C.; Rigobelo, E.C. Multivariate analysis and modeling of soil quality indicators in long-term management systems. Sci. Total Environ. 2019, 657, 457–465. [Google Scholar] [CrossRef]
- Sanjeev, K.; Manibhushan, T.; Archana, R. Trichoderma: Mass production, formulation, quality control, delivery and its scope in commercialization in India for the management of plant diseases. Afr. J. Agric. Res. 2014, 9, 3838–3852. [Google Scholar]
- Ramos, C.G.; Querol, X.; Dalmora, A.C.; de Jesus Pires, K.C.; Schneider, I.A.H.; Oliveira, L.F.S.; Kautzmann, R.M. Evaluation of the potential of volcanic rock waste from southern Brazil as a natural soil fertilizer. J. Clean. Prod. 2017, 142, 2700–2706. [Google Scholar] [CrossRef]
- Franco, H.C.J.; Otto, R.; Faroni, C.E.; Vitti, A.C.; de Oliveira, E.C.A.; Trivelin, P.C.O. Nitrogen in sugarcane derived from fertilizer under Brazilian field conditions. Field Crops Res. 2011, 121, 29–41. [Google Scholar] [CrossRef]
- Malavolta, E.; Vitti, G.C.; Oliveira, S.A.D. Avaliação do Estado Nutricional das Plantas. Princípios Aplicações. 1989. Available online: https://edisciplinas.usp.br/pluginfile.php/3563546/mod_resource/content/1/Aula%2011_Avalia%C3%A7%C3%A3o%20do%20Estado%20Nutricional_2017.pdf (accessed on 1 February 2023).
- Nakamura, S.; Nitta, Y.; Watanabe, M.; Goto, Y. Analysis of leaflet shape and area for improvement of leaf area estimation method for sago palm (Metroxylon sagu Rottb.). Plant Prod. Sci. 2005, 8, 27–31. [Google Scholar] [CrossRef]
- Kumar, M.; Mondal, P.; Borah, S.; Mahato, K. Physico-chemical evaluation, preliminary phytochemical investigation, fluorescence and TLC analysis of leaves of the plant Lasia spinosa (Lour) Thwaites. Int. J. Pharm. Pharm. Sci. 2013, 5, 306–310. [Google Scholar]
- Ramos, C.G.; Hower, J.C.; Blanco, E.; Oliveira, M.L.S.; Theodoro, S.H. Possibilities of using silicate rock powder: An overview. Geosci. Front. 2022, 13, 101185. [Google Scholar] [CrossRef]
- Cabalar, A.F.; Alosman, S.O. Influence of rock powder on the behaviour of an organic soil. Bull. Eng. Geol. Environ. 2021, 80, 8665–8676. [Google Scholar] [CrossRef]
- Meena, V.S.; Meena, S.K.; Verma, J.P.; Kumar, A.; Aeron, A.; Mishra, P.K.; Bisht, J.K.; Pattanayak, A.; Naveed, M.; Dotaniya, M. Plant beneficial rhizospheric microorganism (PBRM) strategies to improve nutrients use efficiency: A review. Ecol. Eng. 2017, 107, 8–32. [Google Scholar] [CrossRef]
- Hasan, S. Effect of potassium fertilizer, feldspar rock and potassium releasing bacterium (Bacillus circulans) on sweet potato plant under sandy soil conditions. Sci. J. Agric. Sci. 2020, 2, 56–63. [Google Scholar]
- Lobo, L.L.B.; da Silva, M.S.R.D.A.; Carvalho, R.F.; Rigobelo, E.C. The negative effect of coinoculation of plant growth-promoting bacteria is not related to indole-3-acetic acid synthesis. J. Plant Growth Regul. 2022, 11, 1–10. [Google Scholar] [CrossRef]
- Mitter, E.K.; Tosi, M.; Obregón, D.; Dunfield, K.E.; Germida, J.J. Rethinking crop nutrition in times of modern microbiology: Innovative biofertilizer technologies. Front. Sustain. Food Syst. 2021, 5, 606815. [Google Scholar] [CrossRef]





| Microorganisms | Colony Length (cm) | Number of Conidia mL−1 | CFU mL−1 |
|---|---|---|---|
| Trichoderma harzianum (control) | 50.2 a | 1.2 × 107 a | - |
| Trichoderma harzianum + rock Powder | 50.2 a | 1 × 107 a | - |
| Bacillus subtilis (control) | - | - | 1.3 × 108 a |
| Bacillus subtilis + rock Powder | - | - | 1.1 × 108 a |
| Standard error | 1.34 | 4.36 | 5.37 |
| CV (%) | 3.5 | 6.4 | 5.9 |
| Treatments | Macronutrients | |||||
|---|---|---|---|---|---|---|
| N | P | K | Ca | Mg | S | |
| g/kg Dry Matter | ||||||
| T1—fertilization (100%) | 30 b | 3.23 a | 26 b | 0.55 b | 1.49 a | 2.26 a |
| T2—fertil. (100%) + rock powder | 36 a | 1.97 b | 30 a | 0.79 a | 1.53 a | 1.23 b |
| T3—fertil. (100%) + T. harzianum | 38 a | 2.32 b | 27 b | 0.29 c | 1.22 a | 1.44 b |
| T4—rock powder + fertil. (100%) + T. harzianum | 38 a | 1.77 b | 25 b | 0.23 c | 1.45 a | 1.39 b |
| T5—rock powder + fertil. (50%) + T. harzianum | 32 b | 1.59 b | 25 b | 0.48 b | 1.76 a | 1.13 b |
| Standard error | 2.6 | 1.5 | 4.7 | 3.6 | 4.1 | 3.6 |
| CV (%) | 7.67 | 20.14 | 4.60 | 26.05 | 8.96 | 10.42 |
| Treatments | Macronutrients | |||||
|---|---|---|---|---|---|---|
| N | P | K | Ca | Mg | S | |
| g/kg Dry Matter | ||||||
| T1—fertilization (100%) | 30 b | 3.23 a | 26 b | 0.55 a | 1.49 a | 2.26 a |
| T2—fertil. (100%) + rock powder | 36 a | 1.97 b | 30 a | 0.79 a | 1.53 a | 1.23 b |
| T3—fertil. (100%) + B. subtilis | 37 a | 3.08 a | 32 a | 0.56 a | 1.77 a | 1.74 a |
| T4—rock powder + fertil. (100%) + B. subtilis | 38 a | 1.70 b | 30 a | 0.74 a | 1.46 a | 1.14 b |
| T5—rock powder + fertil. (50%) + B. subtilis | 36 a | 3.12 a | 32 a | 1.01 a | 1.56 a | 1.43 b |
| Standard error | 3.6 | 0.2 | 2.5 | 0.06 | 0.24 | 0.02 |
| CV (%) | 5.10 | 15.21 | 4.98 | 20.01 | 12.88 | 19.98 |
| Treatments | Macronutrients | |||||
|---|---|---|---|---|---|---|
| N | P | K | Ca | Mg | S | |
| g/kg Dry Matter | ||||||
| T1—fertilization (100%) | 30 b | 3.23 a | 26 a | 0.55 c | 1.49 a | 2.26 a |
| T2—fertil. (100%) + rock powder | 36 a | 1.94 b | 30 a | 0.79 c | 1.53 a | 1.23 b |
| T3—fertil. (100%) + T. harzianum + B. subtilis | 36 a | 1.91 b | 30 a | 1.55 a | 1.64 a | 1.47 b |
| T4—rock powder + fertil. (100%) + T. harzianum + B. subtilis | 39 a | 1.67 b | 28 a | 1.13 b | 1.63 a | 1.22 b |
| T5—rock powder + fertil. (50%) + T. harzianum + B. subtilis | 29 b | 1.49 b | 30 a | 0.13 d | 1.72 a | 1.09 b |
| Standard error | 5.9 | 1.3 | 2.5 | 0.4 | 2.6 | 1.5 |
| CV (%) | 11.48 | 18.24 | 6.53 | 15.41 | 13.98 | 10.43 |
Disclaimer/Publisher’s Note: The statements, opinions and data contained in all publications are solely those of the individual author(s) and contributor(s) and not of MDPI and/or the editor(s). MDPI and/or the editor(s) disclaim responsibility for any injury to people or property resulting from any ideas, methods, instructions or products referred to in the content. |
© 2023 by the authors. Licensee MDPI, Basel, Switzerland. This article is an open access article distributed under the terms and conditions of the Creative Commons Attribution (CC BY) license (https://creativecommons.org/licenses/by/4.0/).
Share and Cite
Silva, P.H.V.; Souza, A.G.V.; de Araujo, L.D.; Frezarin, E.T.; de Souza, G.V.L.; da Silveira, C.M.; Rigobelo, E.C. Trichoderma harzianum and Bacillus subtilis in Association with Rock Powder for the Initial Development of Maize Plants. Agronomy 2023, 13, 872. https://doi.org/10.3390/agronomy13030872
Silva PHV, Souza AGV, de Araujo LD, Frezarin ET, de Souza GVL, da Silveira CM, Rigobelo EC. Trichoderma harzianum and Bacillus subtilis in Association with Rock Powder for the Initial Development of Maize Plants. Agronomy. 2023; 13(3):872. https://doi.org/10.3390/agronomy13030872
Chicago/Turabian StyleSilva, Pedro Henrique Vinha, Ane Gabriele Vaz Souza, Lilian Dutra de Araujo, Edvan Teciano Frezarin, Gabriel Vinicius Lima de Souza, Cesar Martoreli da Silveira, and Everlon Cid Rigobelo. 2023. "Trichoderma harzianum and Bacillus subtilis in Association with Rock Powder for the Initial Development of Maize Plants" Agronomy 13, no. 3: 872. https://doi.org/10.3390/agronomy13030872
APA StyleSilva, P. H. V., Souza, A. G. V., de Araujo, L. D., Frezarin, E. T., de Souza, G. V. L., da Silveira, C. M., & Rigobelo, E. C. (2023). Trichoderma harzianum and Bacillus subtilis in Association with Rock Powder for the Initial Development of Maize Plants. Agronomy, 13(3), 872. https://doi.org/10.3390/agronomy13030872

