Next Article in Journal
Impact of Fusarium Head Blight on Wheat Flour Quality: Examination of Protease Activity, Technological Quality and Rheological Properties
Next Article in Special Issue
Intensification of Pasture-Based Animal Production System Has Little Short-Term Effect on Soil Carbon Stock in the Southern Brazilian Highland
Previous Article in Journal
Estimation of Chlorophyll Content in Soybean Crop at Different Growth Stages Based on Optimal Spectral Index
Previous Article in Special Issue
Methane Uptake and Nitrous Oxide Emission in Saline Soil Showed High Sensitivity to Nitrogen Fertilization Addition
 
 
Font Type:
Arial Georgia Verdana
Font Size:
Aa Aa Aa
Line Spacing:
Column Width:
Background:
Article

Investigation of Soil Microbial Communities Involved in N Cycling as Affected by the Long-Term Use of the N Stabilizers DMPP and NBPT

Beijing Key Laboratory of Farmland Soil Pollution Prevention, Remediation College of Resources and Environmental Sciences, China Agricultural University, Beijing 100193, China
*
Author to whom correspondence should be addressed.
Agronomy 2023, 13(3), 659; https://doi.org/10.3390/agronomy13030659
Submission received: 28 December 2022 / Revised: 11 February 2023 / Accepted: 23 February 2023 / Published: 24 February 2023

Abstract

Both, 3,4-dimethylpyrazole phosphate (DMPP) and N-(n-butyl) thiophosphoric triamide (NBPT) are commonly used as nitrogen (N) stabilizers, and are often used in agriculture to reduce nitrogen (N) loss from soils by inhibiting soil nitrification and by slowing down urea hydrolysis, respectively. The current knowledge gap concerns how soil microbial communities involved in N cycling are affected by the long-term use of DMPP and NBPT. The present field study explored the inter-annual variation of nitrous oxide (N2O) emissions and the responses of ammonia oxidizers (AOA, AOB encoded by the amoA gene), nitrite-oxidizing bacteria (NOB, encoded by the nxrA and nxrB genes), and denitrifier (encoded by the narG and nosZ genes) populations following a long-term (8 years) addition of DMPP and NBPT. The results showed that the reduction in N2O emissions by DMPP and NBPT increased year on year. The AOB population diversity significantly increased (p < 0.05) after a long-term urea application but decreased after DMPP addition. The long-term application of urea increased the potential nitrification rate (PNR) by the enrichment of the genera with a high ammonia oxidation capacity in the AOB population. In contrast, DMPP addition weakened this effect and formed a population with a low ammonia oxidation capacity. Variations in the NOB population were mainly associated with fertilizer-induced changes in substrate NO2, whereas DMPP and NBPT had minor impacts on the NOB population. Additionally, the change in the denitrification population was indirectly affected by the soil ammonium (NH4+) content with a long-term N stabilizer application. These findings provide a new interpretation related to the response mechanisms of the nitrifier and denitrifier populations for the long-term use of N stabilizers in soils.

1. Introduction

Over the last four decades, the use of synthetic nitrogen (N) fertilizer in the world’s agricultural industry has increased sharply for feeding the increasing world population [1]. However, about 50% of the applied N leaks from the agro-production system through ammonia (NH3) volatilization, nitrous oxide (N2O) emissions, and nitrate (NO3) leaching [2,3]. N2O is a potent greenhouse gas and its global warming potential is about 265 times greater than that of carbon dioxide (CO2) over a 100-year time span [4]. About 50–60% of the global N2O emissions are estimated to come from agricultural soil [5].
Soil microorganisms play a key role in soil N transformation and ecosystem stability, and N2O emissions from soil have been linked to specific functional groups [6,7,8]. N2O is primarily produced by microbially mediated nitrification and denitrification [9]. Nitrification has been thought to oxidate NH3 to NO3 via nitrite (NO2). The first step of nitrification is ammonia oxidation to NO2, which is regulated by the amoA gene encoding the NH3 monooxygenase (AMO) in ammonia-oxidizing bacteria (AOB) and ammonia-oxidizing archaea (AOA) [10,11]. The second step of nitrification, i.e., NO2 oxidation to NO3, is regulated by nitrite-oxidizing bacteria (NOB) [12]. Denitrification is the process of converting NO3 back to N2O and dinitrogen gas (N2) via NO2, nitric oxide (NO) [10]. The first step is carried out by nitrate reductase, encoded by narG genes, while the final step is carried out by N2O reductase, which is encoded by nosZ genes [13,14].
A growing body of work has highlighted the efficacy of nitrification and urease inhibitors on increasing N use efficiency (NUE) and decreasing N2O emissions in various agricultural activities [15,16,17]. As one of the most efficient nitrification inhibitors identified to date, 3,4-dimethylpyrazole phosphate (DMPP) is generally considered to deactivate AMO [15,16]. Previous studies found an increase of 12~31% in NUE and a 63% mitigation of N2O emissions with DMPP addition [17,18,19]. N-(n-butyl) thiophosphoric triamide (NBPT) is the only commercially available urease inhibitor designed to delay the rate of urea hydrolysis to ammonium (NH4+) by blocking the soil urease activity [20,21]. NBPT has also been shown to cause a reduction in N2O emissions by about 28% [22]. However, the efficacy of N stabilizers is variable across the soil type and application years [23,24]. For example, a four-year experiment showed that the mitigation of DMPP on N2O enhanced over time [25], while a six-year experiment found that the reduction in N2O by DMPP increased first and then decreased [26]. This perceived variation in their effectiveness for N2O emission reduction is most likely due to different environmental conditions and microbial activity caused by different application years [17,27,28].
Many studies have shown that the effect of an N stabilizer on gene abundance is short-lived [8,26,29]. According to Tosi et al. [8], nitrification and urease inhibitors only temporarily inhibit nitrifying and denitrifying genes following application on the ninth day. However, these N stabilizers may indirectly affect the soil microbial community by modifying the N availability and physicochemical properties [29,30]. For instance, long-term repeated applications of DMPP could slow down the trend of soil acidification, consequently maintaining the amount of soil indigenous bacteria [31] and significantly reducing the total nitrogen (TN), thereby affecting the community composition [32]. NBPT is thought to be capable of avoiding the accumulation of NH4+, which is considered a key factor in influencing the ammonia oxidizer population [33,34]. Recent studies have shown the impacts of N stabilizers on non-target soil microbiota, NOB, and denitrifiers, which are fueled by substrates produced during ammonia oxidation [35,36]. Liu et al. [37] reported that DMPP and NBPT alleviated NO2 accumulation, which is toxic to NOB. Other studies found that DMPP had no significant effects on NOB abundance [38,39]. Tedeschi et al. [40] deemed that DMPP appeared to have a negative impact on non-target microorganisms, as well as on their functions, when it accumulated in excessive doses in the soil. Conversely, Kong et al. [41] found that DMPP did not exert significant negative impacts on non-target soil functions or on the microbial community. Similarly, several studies also showed that NBPT has an adverse effect on denitrifiers [37,42,43], but others believed that NBPT had no effect on the denitrifier population [44,45]. These inconsistent and sometimes contrasting results together with potential legacy effects make it necessary to explore the response of non-target microbes to long-term applications of N fertilizer with stabilizers in agricultural soils.
Specifically, although several studies have investigated the effects of DMPP and NBPT on soil microbial communities [9,46,47], there is a lack of information available on the response of soil nitrifiers and denitrifiers following the repeated application of urea with DMPP or NBPT. Therefore, the objectives of the study were to investigate the following: (1) how the ammonia oxidizer population is impacted by the long-term application of the N stabilizer, and (2) whether there is an impact of the repeated use of N stabilizers on the non-target microbial population. It was hypothesized that (1) DMPP and NBPT would inhibit specific microbial taxa in the ammonia oxidizer population, thus reducing soil ammonia oxidation, and (2) that the long-term application of DMPP and NBPT would have a non-target effect on denitrifier. The present work used an 8-year field experiment to measure the changes in soil chemical properties and the diversity and composition of ammonia oxidizer, NOB, and denitrifier populations in calcareous soil following the application of urea (U), urea + DMPP (NI), and urea + NBPT (UI).

2. Materials and Methods

2.1. Soil Collection Site Description

Soil samples were collected from a long-term field experiment with a winter wheat—summer maize rotation production system conducted at the Agroecosystem Experimental Station of China Agricultural University, Huantai County, Shandong Province, China (36.57° N, 117.59° E). The region has a typical temperate monsoon climate with an annual mean temperature and precipitation of 12.5 °C and 543 mm, respectively [48]. The soil type was classified as aquic inceptisol (calcareous and clay loam) [49], with a dry bulk density (BD) of 1.55 g cm−3 and a pH of 7.8 [50]. In line with local farming practices, winter wheat was sown in mid-October and harvested in early June of the following year, while summer maize was sown in mid to late June and harvested at the end of September. The field experiment was established in June 2012 and the four treatments were as follows: (i) the study control with no fertilizer N input (CK); (ii) urea (U); (iii) urea with NBPT (UI); and (iv) urea with DMPP (NI) (DMPP and NBPT were purchased from Yucang Biochemical Technology Co., Ltd., Lianyungang, China). Urea was applied at a rate of 300 kg N ha−1 per season, according to the local conventional fertilization guidelines. DMPP and NBPT were added at rates of 1% and 0.4% of applied N, respectively, according to the typical recommended rate [51,52,53]. There were 12 plots (8 m × 7.5 m) and each treatment had three replicates. For all N-fertilized treatments, N fertilizer was applied at a ratio of 1:1 as basal fertilizer and topdressing. Additionally, the field received 75 mm of irrigation immediately after fertilization in both the wheat and maize seasons. In addition to this initial irrigation protocol, further irrigation was implemented based on soil moisture and crop growth (75 mm each time).
Five topsoil samples (0–20 cm depth) were collected at random from each plot after wheat harvest (9th June 2020) on 16th June 2020, and they were homogenized to make a composite sample, after which they were transported in an ice box to the laboratory for analysis. Before analysis, the soil composite sample was divided into two parts, one that was stored at −20 °C for DNA extraction and another that was air-dried, passed through a 2 mm sieve and then used to measure soil properties and potential nitrification rates (PNR). Supplementary Table S1 shows the primary physicochemical properties of the upper soil layer (0–20 cm) among treatments at the time of sampling.

2.2. N2O Emissions In Situ Measurements

N2O fluxes were measured in situ from the 16 June 2012 to the 5 June 2015 using the opaque static chamber system [50]. In each experimental plot, a square stainless-steel static chamber was permanently installed and five 20 mL gas samples (0, 8, 16, 24, and 32 min after chamber closure) were collected from the headspace using 35 mL polypropylene syringes on each sampling day. Gas samples were collected every day within 7 d after a fertilization or irrigation event and then twice a week during other periods. In particular, gases were sampled once a week in the winter season (the 15 December to the 1 March of the following year). Gas samples were obtained from 9:00 to 11:00 am (Beijing time) on each sampling day. All gas samples were stored in glass vials (10 mL) and analyzed with an Agilent 7820A gas chromatograph (Agilent Company, Shanghai, China) within 24 h of sampling. The N2O fluxes and cumulative emissions were calculated using the linear model and linear interpolation method [54,55]. The N2O emission factor (EF) was calculated using Equation (1):
EF   ( % ) = N 2 O N   N 2 O 0 R N × 100
where N2ON represents the annual cumulative N2O emission (kg N ha−1) under the N treatments (U, UI, and NI treatments), respectively; N2O0 is the annual cumulative N2O emission (kg N ha−1) under the CK treatment and RN is the N application rate (kg N ha−1). The mitigation of N2O emissions from NI and UI treatments were calculated using Equation (2):
N 2 O   mitigation   ( % ) = N 2 O U   N 2 O NIorUI N 2 O U   N 2 O CK × 100 %
where N2OU, N2ONiorUI, and N2OCK represent the annual cumulative N2O emission (kg N ha−1) from the U treatment, NI or UI treatments, and the CK treatment, respectively [56].

2.3. Potential Nitrification Rates Assay (PNR)

A 5 g subsample (equivalent to oven-dried soil weight) from each composite sample was taken for the determination of soil PNR depending on the chlorate inhibition method described by [57]. Briefly, the soil samples were placed in 120 mL serum bottles to be pre-incubated for 3 days in the dark aerobic condition at 25 °C. After pre-incubation, 20 mL mixture of ammonium sulfate ((NH4)2SO4, 1 mM) and potassium chlorate (KCLO3, 15 mg mL−1) were added to the bottles to repress NO2 oxidation. The serum bottles were shaken at 200 rpm under dark condition at 25 °C for 72 h. During incubation, 1 mL of supernatant was taken at 0.5, 24, 48, and 72 h and was centrifuged at 14,000 rpm for 5 min to analyze NO2 by diazotization coincidence spectrophotometry at a wavelength of 540 nm. Soil PNR was represented by the accumulation rates of NO2.

2.4. DNA Extraction

Genomic DNA was extracted from soil samples using a Fast DNA® SPIN Kit for soil (MP Biomedicals, Solon, OH, USA) according to the manufacturer’s instructions. Soil DNA quality was checked on 1% agarose gels and DNA concentration and purity were determined using a NanoDrop 2000 UV–Vis spectrophotometer (Thermo Scientific, Wilmington, DE, USA).

2.5. Illumina MiSeq Sequencing and Bioinformatics Analysis

The diversity and community structure of the bacterial community, i.e., those containing archaeal amoA, bacterial amoA, nxrA, nxrB, narG, and nosZ, were analyzed via high-throughput sequencing. The primers for PCR amplification are shown in Supplementary Table S2. PCR was conducted under the following conditions: initial denaturation at 95 °C for 3 min, followed by 35 cycles of denaturing at 95 °C for 30 s, annealing at 55 °C for 30 s and extension at 72 °C for 45 s, then final extension at 72 °C for 10 min. Upon completion of the reaction cycle it ended at 10 °C. PCR was conducted using an ABI GeneAmp® 9700 thermal cycler (Thermo Fisher Scientific, Waltham, DE, USA). The PCR mixtures contained 4 μL of 5 × TransStart FastPfu buffer, 2 μL of 2.5 mM dNTPs, 0.8 μL forward primer (5 μM), 0.8 μL reverse primer (5 μM), 0.4 μL TransStart FastPfu DNA Polymerase, and 10 ng template DNA diluted to 20 μL with ddH2O. All PCR were performed in triplicates. PCR products were purified using an AxyPrep DNA Gel Extraction Kit (Axygen Biosciences, Union City, CA, USA), according to manufacturer’s instructions, and were then quantified with a Quantus™ Fluorometer (Promega, Madison, WI, USA).
Purified amplicons were pooled in equimolar concentrations, then paired-end sequenced on an Illumina MiSeq PE300 platform (Illumina, San Diego, CA, USA), according to standard protocols by Majorbio Bio-Pharm Technology Co., Ltd. (Shanghai, China). The raw sequencing reads were demultiplexed, quality-filtered by fastp [58], and merged by FLASH [59] with the following standards: (1) the 300 bp reads were truncated at any site receiving an average quality score of <20 over a 50 bp sliding window, the truncated reads shorter than 50 bp were discarded, and the reads containing ambiguous characters were also discarded; and (2) only overlapping sequences longer than 10 bp were assembled according to their overlapped sequence. The maximum mismatch ratio of overlap region is 0.2. Reads that could not be assembled were discarded, and (3) samples were distinguished according to the barcode and primers, and the sequence direction was adjusted for exact barcode matching and a 2-nucleotide mismatch in primer matching. Operational taxonomic units (OTUs) were clustered using a 97% similarity cut-off in UPARSE [60], and chimeric sequences were identified and removed.
The RDP Classifier [60] was used to classify and annotate the representative sequences of archaeal amoA, bacterial amoA, and nosZ based on fgr functional gene database derived from GenBank (http://fungene.cme.msu.edu/, accessed on 13 January 2022), using confidence threshold of 0.7. The representative sequences of nxrA, nxrB, and narG were annotated by Basic Local Alignment Search Tool (BLAST) nucleotide algorithm against the GenBank non-redundant nucleotide database (nt) provided by NCBI (http://www.ncbi.nlm.nih.gov/, accessed on 13 January 2022). The raw reads produced in the study were submitted to the NCBI Sequence Read Archive (SRA) database (accession number: SRP321929). All microbial population data were analyzed on the free online platform provided by Majorbio (www.majorbio.com, accessed on 13 January 2022).

2.6. Statistical Analysis

The diversity, richness, and evenness of soil functional genes were expressed as the Shannon, Chao1, and Heip indexes following analysis of the microbial α-diversity [61,62,63,64]. One-way analysis of variance (ANOVA) and the least significant difference (LSD) test were conducted to identify statistically significant differences at p < 0.05 in soil properties, PNR, and population diversity indexes among all treatments using SPSS 21.0 (IBM Corp., Armonk, NY, USA). The treatment-specific N-cycling microbial population structures were represented by nonmetric multidimensional scaling plots (NMDS), which were based on Bray–Curtis dissimilarity matrices. AOB representative sequences of OTUs (more than 97% of total OTUs) and corresponding reference sequences downloaded from NCBI (https://www.ncbi.nlm.nih.gov/, accessed on 4 November 2022) were taxonomically classified by the construction of neighbor-joining phylogenetic trees with MEGA 11.0 and the reliability of the phylogenetic reconstructions was evaluated by bootstrapping (1000 replicates). The nomenclature for AOB clusters was defined based on previous studies [65,66,67]. A redundancy analysis (RDA) was conducted using Canoco software (version 5.0, Microcomputer Power, Clover Lane Ithaca, NY, USA) to relate the variation in taxonomic abundance with environmental variables.

3. Results

3.1. Soil PNR and Inter-Annual Variation of N2O

The soil’s cumulative N2O emissions were significantly decreased by the DMPP and NBPT addition (Table 1). In 2012–2016, the cumulative annual N2O emissions followed the order, U > UI > NI > CK. On average, the soil N2O emissions increased by 2.65 kg N ha−1 from the U treatment annually. In contrast, the NI and UI annually significantly reduced the cumulative N2O emissions by 56% and 29% on average, respectively (p < 0.05). Furthermore, the N2O mitigation in NI and UI treatments was enhanced from 71% and 35.3% (2012–2013) to 89.9% and 52.6% (2015–2016), separately. A two-way analysis of variance (ANOVA) showed significant differences of the effect of the N stabilizer addition on reducing N2O emissions over the years (Table 2).
Soil PNR was 31.1 mg NO2-N kg−1 soil d−1 in the CK treatment, and the U treatment had a significantly higher PNR than the CK treatment (Figure 1). The NI treatment reduced PNR by 28.6% compared to the U treatment (37.1 mg NO2-N kg−1 soil d−1). However, there was no difference in the PNR observed between the UI- and U-treated soil. In addition, the PNR was positively correlated with cumulative N2O emissions (Table S3).

3.2. The Response of α-Diversity of Nitrifiers and Denitrifiers to Long-Term Application of Urea with N Stabilizer

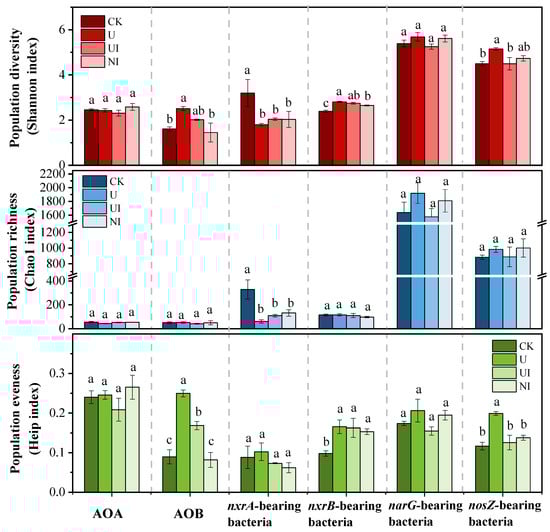
The α-diversity of the AOB population was notably affected by the long-term application of urea and N stabilizers, but no such effect was observed on AOA (Figure 2). Urea significantly increased the diversity (Shannon index) and evenness (Heip index) of AOB, but DMPP weakened these effects on the diversity and evenness of AOB (p < 0.05), resulting in levels similar to those in the CK treatment. The evenness of the AOB population in the UI treatment was significantly lower than those in the U treatment, but there was no significant difference in the AOB population diversity between the UI and U treatments.
Long-term application of urea significantly reduced the diversity and richness (Chao1 index) of nxrA-bearing bacteria, but significantly increased the diversity and evenness of nxrB-bearing bacteria compared with CK (p < 0.05). The DMPP addition slightly reduced the diversity of nxrB-bearing bacteria (p < 0.05), but neither DMPP nor NBPT had obvious effects on the α-diversity of nxrA-bearing bacteria. Urea significantly stimulated the diversity and evenness of nosZ-bearing denitrifiers, but the NBPT addition eliminated these effects. The UI treatment tended to have a stronger negative effect on narG-bearing denitrifiers than NI.

3.3. Variations in Nitrifier and Denitrifier Population Composition

NMDS analysis was performed to visualize changes in the community composition among treatments (Figure 3). A clear separation among the four treatments was observed for the AOB population, while no differences in the AOA population composition were found among treatments. The population compositions of nxrA-bearing and nxrB-bearing bacteria were separated along NMDS1 under a long-term urea addition. In the nxrA-bearing population, no separation was observed among the U, UI, and NI treatments, whereas the nxrB-bearing population was separated along NMDS2 after UI addition. However, the population compositions of the U, UI, and NI treatments were isolated from each other in the narG-bearing and nosZ-bearing denitrifier populations.
The genera with an abundance greater than 0.01 were used for a microbial population composition analysis. Urea and stabilizers both had no effect on the population composition of AOA (Figure 4). For the AOB population, Nitrosospira was the main genus of AOB, and the phylogenetic tree showed that the representative sequences of AOB were affiliated with the Nitrosospira cluster 3a, Nitrosospira cluster 3b, and Nitrosospira cluster 4 (Figure S1). The two most abundance clusters were Nitrosospira cluster 3a and Nitrosospira cluster 3b for all treatments (Figure 4, Table S4). Urea significantly increased the relative abundance of the Nitrosospira cluster 3b and decreased the Nitrosospira cluster 3a. In contrast, DMPP and NBPT decreased the Nitrosospira cluster 3a, increased the Nitrosospira cluster 3b, and weakened the effect of urea on the AOB population.
Urea had an effect on the NOB population composition, but DMPP and NBPT had no effect. Urea increased the relative abundance of Nitrobacter, the dominant genus in the nxrA-bearing bacterial population and decreased the relative abundance of Nitrospira, the main genus in the nxrB-bearing bacterial population. However, DMPP and NBPT had no significant effect on the population composition of the nxrA-bearing and nxrB-bearing bacteria at the genus level.
Among the narG-bearing denitrifiers, N stabilizers and urea had an opposing effect on the population composition. For example, urea significantly reduced the relative abundance of Pseudolabrys while increased the relative abundance of Nocardioides (p < 0.05). On the contrary, DMPP and NBPT additions increased the relative abundance of Pseudolabrys and decreased Nocardioides. Similarly, in the nosZ-bearing denitrifier population, urea significantly decreased the abundance of unclassified Proteobacteria and increased the abundance of unclassified Alphaproteobacteria (p < 0.05). However, DMPP and NBPT additions decreased the abundance of unclassified Alphaproteobacteria compared with the U treatment.

3.4. Linkage between Microbial Population and Soil Properties

The relationship between the variations in the population structure and environmental factors was assessed by RDA (Figure 5). The first two axes explained 80.3% of the total variation among AOB population. The altered AOB population was significantly associated with TN (F = 10.5, P = 0.018, and explain % = 50.5%), the available soil potassium (AK, F = 7.2, P = 0.022, and explain % = 41.9%), and the soil PNR (F = 4.4, P = 0.042, and explain % = 22.4%). The Nitrosospira cluster 3b and Nitrosospira cluster 3a were positively and negatively correlated with PNR, respectively. For the NOB population, the samples from the CK treatment were different from the ones of others on the first axis. The NO2 (F = 27, P = 0.004, and explain % = 72.9%) and AK (F = 9.2, P = 0.01, and explain % = 47.8%) were the most significant factors for influencing the nxrA-bearing and nxrB-bearing bacterial populations, respectively. The dominant genus of the nxrA-bearing bacterial population, Nitrobacter, was positively correlated with NO2 and negatively correlated with AK. In contrast, the dominant genus of the nxrB-bearing bacterial population, Nitrospira, was negatively correlated with NO2 and positively correlated with AK. The first two axes explained 75.5% and 82.4% of the total variation among the narG-bearing and nosZ-bearing denitrifier populations, respectively. The soil NH4+ concentration may be a factor affecting these two types of denitrifier populations. Most genera had a positive correlation with NH4+ in the narG-bearing denitrifier population belonging to Actinobacteria phylum, while a negative correlation with NH4+ belonged to Proteobacteria phylum. The response of genera in nosZ-bearing denitrifer populations was different, although they were almost members of Proteobacteria phylum.

4. Discussion

4.1. Effects of DMPP and NBPT on Ammonia Oxidizers Population

Numerous studies have already reported that AOB are functionally more important in a nutrient-rich agricultural soil than in a nutrient poor equivalent [34,68,69]. DMPP decreased AOB-amoA abundance and had a better inhibition effect on nitrification in alkaline soil [35,42]. The results indicated that the long-term urea application increased AOB diversity with a significant increase in the soil PNR, which were similar with the previous findings [35,42], while the DMPP addition decreased AOB diversity and weakened the soil PNR significantly, but had no impact on the AOA population (Figure 2 and Figure 3). Indeed, the AOB diversity in this study was positively correlated with soil PNR (Table S3). The soil PNR was calculated based on the equation presented by Hu et al., 2015 [57], using the accumulation NO2 production with the chlorate addition. NO2 is the product of ammonia oxidation. Thus, DMPP decreased the soil PNR, causing the weakening of the ability of soil to produce NO2, which also means the weakening of ammonia oxidation. As a result, the long-term application of DMPP not only reduced AOB-amoA gene copy numbers [42,70], but also suppressed the ability of ammonia oxidation by altering the AOB population. By contrast, the AOA population is quite resistant to urea and N stabilizers [34].
The changes in the AOB population composition and soil nitrification capacity under long-term DMPP application might be due to Nitrosospira, as the main genus in AOB population, which were affiliated with several clusters. Long-term urea application increased the abundance of the Nitrosospira cluster 3b and reduced the Nitrosospira cluster 3a, while DMPP mitigated the effect of urea on the two clusters. This supports that the Nitrosospira cluster 3b were more competitive than the Nitrosospira cluster 3a at high ammonia concentrations [71] and indicates that the response to environmental disturbances by different subgroups of a given genus can be different [72]. Interestingly, the Nitrosospira cluster3b was found to be positively correlated with soil PNR, while the Nitrosospira cluster 3a was found to be negatively correlated with soil PNR (Figure 5). This points to the fact that the Nitrosospira cluster 3b may have a stronger capacity of ammonia oxidation. Based on the above results, it is speculated that the application of urea alone resulted in high PNR because of the higher abundance of microorganisms with a higher ammonia oxidation capacity. However, when DMPP was applied with urea, the abundance of microorganisms with a low ammonia oxidation capacity was higher, forming a population with a low ammonia oxidation capacity.
Previous studies have reported that NBPT decreased the abundance of AOB but increased AOA or had no effect on nitrifiers [43,45,47]. In this study, the repeated use of NBPT also had no significant impact on the AOB diversity, but it significantly reduced the evenness of the AOB (Figure 2). The response of the AOB population composition to NBPT is similar to that of DMPP, but NBPT did not reduce the soil PNR (Figure 1). This may be due to the fact that rather than directly affecting AOB, urease inhibitors limited the NH4+ availability for nitrification and the activities of AOB [37,42,47]. However, the rate of nitrification in the soil might be reportedly less rapid than that of urea hydrolysis [44]; therefore, the consumption rates of NH4+ might still be slower than the rates of urea hydrolysis to NH4+. If so, NH4+ availability would not be the limiting factor of ammonia oxidation, even though NBPT was present. The differences in the response of the soil PNR to DMPP and NBPT also provided an explanation for the previous results obtained from the same field experiment used for this study, in which DMPP showed a better effect on the mitigation of N2O than NBPT [50]. A previous study discovered that DMPP has a deep and negative effect on microbial functional diversity when it accumulates in excessive doses in the soil, limiting the growth and capacity of soil microorganism communities to utilize different substrates [40]. Thus, it is speculated that repeated applications may amplify this negative effect. This may be a factor that causes the interannual varieties of N2O emission mitigation by N stabilizers.

4.2. Effects of DMPP and NBPT on Nitrite-Oxidizing Bacteria Population

In this study, Nitrobacter and Nitrospira were the core genera in the nxrA-bearing bacteria and nxrB-bearing bacteria populations, respectively (Figure 4). In the present study, urea significantly increased the Nitrobacter abundance and decreased the Nitrospira abundance (Figure 4). This suggests that N inputs may be an important effect factor for both nxrA-bearing bacteria and nxrB-bearing bacteria populations in this study. Furthermore, RDA indicated that variability in the Nitrobacter and Nitrospira populations was significantly (p < 0.05) positively and negatively correlated with the NO2 content (Figure 5), respectively. It is likely that Nitrobacter have a lower affinity than Nitrospira for N substrates and are thus, generally favored by higher substrate concentrations [73,74]. Besides NO2, it cannot be ignored that the changes in the NOB population also correlated with AK (Figure 5). This result was also observed in a previous study by [75], but the influence mechanism is still unclear.
It is surprising that DMPP and NBPT had minor impacts on the NOB population in this study. Liu et al. [37] also reported similar results. Eleftheria et al. [35] found that DMPP suppressed Nitrobacter only at the high dose rate (96% of applied N). These results suggest that long-term additions of DMPP and NBPT could not inhibit the NOB population at the dose rate of this study and that the effect of the N input on the NOB population is much greater than that of N stabilizers. In addition, in a previous study, nitrifier denitrification was likely to be the major source of N2O peak emission. While, DMPP have a dual inhibitory effect on nitrifier denitrification, i.e., reducing the supply of nitrite and inhibiting ammonia-oxidizing bacteria activities [76]. This agrees with the present study, as nitrifier populations decreased the ammonia oxidation ability of the AOB population (NO2 producers), but had no effect on the NOB population (NO2 consumers) and thus, avoided the accumulation of NO2 and reduced the risk of N2O emission [77,78].

4.3. Effects of DMPP and NBPT on Denitrifier Populations

Nitrification and urease inhibitors are generally considered to impact nitrification rather than denitrification [42]. However, it is found that DMPP and NBPT can reduce the abundance of denitrification genes, although this effect was transient [8,37]. These stabilizers could indirectly affect the denitrifier population by modifying the N availability. There was a negative effect of the N stabilizer on the α-diversity of both narG-bearing and nosZ-bearing denitrifiers, especially NBPT (Figure 2), which might be ascribed to denitrification substrate reduction. Previous studies have shown that NBPT and DMPP inhibited NH4+ production and consumption, respectively [18,33].
This study found that the genera that positively related to NH4+ (e.g., Nocardioides) showed a positive response to urea and a negative response to DMPP and NBPT (Figure 5 and Figure S2). It was speculated that NH4+ might be an important factor affecting the narG-bearing denitrifier population in the soil with long-term applications of N stabilizers, which has also been confirmed by RDA analysis (p < 0.05) (Figure 5). Ramotowski et al. [79] also found that non-target effects of nitrification inhibitors were primarily associated with the percentage of NH4+ in inorganic N. These results imply that DMPP and NBPT could weaken the effects of urea input on the narG-bearing denitrifier population. Unlike the narG-bearing denitrifier population, neither the NBPT nor DMPP addition weakened the effects of urea on the nosZ-bearing denitrifier population, suggesting that key factors other than NH4+ such as soil oxygen content regulated the nosZ-bearing denitrifier population in this study. The nosZ gene is sensitive to oxygen [80], and its activity could be inhibited under aerobic conditions [81]. NBPT and DMPP addition can slow the formation of an anaerobic environment in soil and thus inhibit the growth of denitrifiers with the nosZ genotype. In addition, it is noteworthy that the nosZ-bearing denitrifiers responded differently to N stabilizers although they belong to the same phylum. The different responses were overlooked easily when only focusing on the gene abundance, whereas the differences may be the strategy of sustaining stability for the community to resist disturbances. Further studies are needed to better understand the response patterns of specific functional groups to N stabilizers, especially the long-term applications.

5. Conclusions

Long-term applications of DMPP and NBPT considerably reduced the diversity and affected the structure of the AOB population. These results demonstrated that the DMPP addition led to a significant reduction in PNR (p < 0.05) by enriching the Nitrospira cluster 3a with a lower ammonia oxidization capacity and alleviating the impact of urea on the AOB population. The effect of either DMPP or NBPT on the composition of the NOB population can be neglected. For denitrifiers, NH4+ was shown to be an important factor that explained the variations in the narG-bearing denitrifier population in this soil with long-term N stabilizer applications. These results provide a new perspective, suggesting the potential for using N stabilizers as a remedial measure for soil microbial ecosystems that have been disturbed by long-term fertilizer applications.

Supplementary Materials

The following supporting information can be downloaded at: https://www.mdpi.com/article/10.3390/agronomy13030659/s1. Figure S1: Phylogenetic trees (NJ) of the partial AOB amoA gene sequences; Figure S2: Heatmap depicting significant differentially abundant genera (relative abundance > 0.01%) between pairs of treatments; Table S1: Physical and chemical properties of different treated soil (0–20 cm) before sampling; Table S2: The primer sets used for analyzing the population with AOA-amoA, AOB-amoA, nxrA, nxrB, narG, and nosZ genes; Table S3: Pearson’s correlation coefficients (r) between soil PNR and cumulative N2O emissions, and microbial population diversity (Shannon index); Table S4: Information of AOB operational units (OTUs) in different treatments. Please refer to [82,83,84,85,86,87].

Author Contributions

Conceptualization, R.L.; formal analysis, W.Z.; funding acquisition, R.L. and F.M.; resources, X.Y. and X.X.; writing—original draft, W.Z.; writing—review and editing, Y.M., B.N. and R.L. All authors have read and agreed to the published version of the manuscript.

Funding

This research was funded by both the National Natural Science Foundation of China (No.42007031) and the National Key Research and Development Program of China (2016YFD0800104, 2017YFD0800605).

Data Availability Statement

Not applicable.

Conflicts of Interest

The authors declare no conflict of interest.

References

  1. Devaraju, N.; Prudhomme, R.; Lungarska, A.; Wang, X.; Yin, Z.; de Noblet-Ducoudré, N.; Chakir, R.; Jayet, P.A.; Brunelle, T.; Viovy, N.; et al. Quantifying the benefits of reducing synthetic nitrogen application policy on ecosystem carbon sequestration and biodiversity. Sci. Rep. 2022, 12, 20715. [Google Scholar] [CrossRef]
  2. Angus, J.F.; Grace, P.R. Nitrogen balance in Australia and nitrogen use efficiency on Australian farms. Soil Res. 2017, 55, 435–450. [Google Scholar] [CrossRef]
  3. Giuseppe, C.; Colombani, N.; Elisa, S.; Fabio, V.; Anna, F.E.; Micol, M. Reactive nitrogen losses via denitrification assessed in saturated agricultural soils. Geoderma 2019, 37, 91–98. [Google Scholar] [CrossRef]
  4. IPCC. Climate Change 2014. Mitigation of Climate Change. Contribution of Working Group III to the Fifth Assessment Report of the Intergovernmental Panel on Climate Change; Edenhofer, O., Pichs-Madruga, R., Sokona, Y., Farahani, E., Kadner, S., Seyboth, K., Adler, A., Baum, I., Brunner, S., Eickemeier, P., et al., Eds.; Cambridge University Press: Cambridge, UK; New York, NY, USA, 2014; pp. 1281–1304. [Google Scholar]
  5. United States Environmental Protection Agency. Methane and Nitrous Oxide Emissions from Natural Sources. Available online: https://www.researchgate.net/publication/290824404_Methane_and_nitrous_oxide_emissions_from_natural_sources (accessed on 15 December 2022).
  6. Chen, J.H.; Liu, X.Y.; Li, L.Q.; Zheng, J.W.; Qu, J.J.; Zheng, J.F.; Zhang, X.H.; Pan, G.X. Consistent increase in abundance and diversity but variable change in community composition of bacteria in topsoil of rice paddy under short term biochar treatment across three sites from south China. Appl. Soil Ecol. 2015, 91, 68–79. [Google Scholar] [CrossRef]
  7. Martins, C.S.C.; Nazaries, L.; Macdonald, C.A.; Anderson, I.C.; Singh, B.K. Water availability and abundance of microbial groups are key determinants of greenhouse gas fluxes in a dryland forest ecosystem. Soil Biol. Biochem. 2015, 86, 5–16. [Google Scholar] [CrossRef]
  8. Tosi, M.; Brown, S.; Ferrari Machado, P.V.; Wagner-Riddle, C.; Dunfield, K. Short-term response of soil N-cycling genes and transcripts to fertilization with nitrification and urease inhibitors, and relationship with field-scale N2O emissions. Soil Biol. Biochem. 2020, 142, 107703. [Google Scholar] [CrossRef]
  9. Duff, A.M.; Forrestal, P.; Ikoyi, I.; Brennan, F. Assessing the long-term impact of urease and nitrification inhibitor use on microbial community composition, diversity and function in grassland soil. Soil Biol. Biochem. 2022, 170, 108709. [Google Scholar] [CrossRef]
  10. Marcel, M.M.K.; Hannah, K.M.; Boran, K. The Microbial Nitrogen-Cycling Network. Nat. Rev. Microbiol. 2018, 16, 263–276. [Google Scholar] [CrossRef]
  11. Miao, L.; Yang, G.Q.; Tao, T.; Peng, Y.Z. Recent advances in nitrogen removal from landfill leachate using biological treatments—A review. J. Environ. Manag. 2019, 235, 178–185. [Google Scholar] [CrossRef]
  12. Han, S.; Luo, X.S.; Liao, H.; Nie, H.L.; Huang, Q.Y. Nitrospira are more sensitive than Nitrobacter to land management in acid, fertilized soils of a rapeseed-rice rotation field trial. Sci. Total Environ. 2017, 599–600, 135. [Google Scholar] [CrossRef]
  13. Shrewsbury, L.H.; Smith, J.L.; Huggins, D.R.; Carpenter-Boggs, L.; Reardon, C.L. Denitrifier abundance has a greater influence on denitrification rates at larger landscape scales but is a lesser driver than environmental variables. Soil Biol. Biochem. 2016, 103, 221–231. [Google Scholar] [CrossRef]
  14. Philippot, L.; Hallin, S.; Schloter, M. Ecology of denitrifying prokaryotes in agricultural soil. In Advances in Agronomy; Academic Press: Cambridge, MA, USA, 2007; Volume 96, pp. 249–305. [Google Scholar]
  15. Kleineidam, K.; Kosmrlj, K.; Kublik, S.; Palmer, I.; Pfab, H.; Ruser, R.; Fiedler, S.; Schloter, M. Influence of the nitrification inhibitor 3,4-dimethylpyrazole phosphate (DMPP) on ammonia-oxidizing bacteria and archaea in rhizosphere and bulk soil. Chemosphere 2011, 84, 182–186. [Google Scholar] [CrossRef]
  16. Barrena, I.; Sergio, M.; Correa-Galeote, D.; Vega-Mas, I.; Estavillo, J.M. Soil water content modulates the effect of the nitrification inhibitor 3,4-Ddimethylpyrazole phosphate (DMPP) on nitrifying and denitrifying bacteria. Geoderma 2017, 303, 1–8. [Google Scholar] [CrossRef]
  17. Diego, A.; Simon, J.; Alberto, S.; Guillermo, G.; Antonio, V. Meta-analysis of the effect of urease and nitrification inhibitors on crop productivity and nitrogen use efficiency. Agric. Ecosyst. Environ. 2014, 189, 136–144. [Google Scholar] [CrossRef]
  18. Li, T.Y.; Zhang, W.F.; Yin, J.; Chadwick, D.; Norse, D.; Lu, Y.L.; Liu, X.J.; Chen, X.P.; Zhang, F.S.; Powlson, D.; et al. Enhanced-efficiency fertilizers are not a panacea for resolving the nitrogen problem. Glob. Chang. Biol. 2018, 24, e511–e521. [Google Scholar] [CrossRef]
  19. Lei, J.L.; Fan, Q.Y.; Yu, J.Y.; Ma, Y.; Yin, J.H.; Liu, R. A Meta-analysis to examine whether nitrification inhibitors work through selectively inhibiting ammonia-oxidizing bacteria. Front. Microbiol. 2022, 13, 962146. [Google Scholar] [CrossRef] [PubMed]
  20. Harty, M.A.; Forrestal, P.J.; Watson, C.J.; Mcgeough, K.L.; Carolan, R.; Elliot, C.; Krol, D.; Laughlin, R.J.; Richards, K.G.; Lanigan, G.J. Reducing nitrous oxide emissions by changing N fertiliser use from calcium ammonium nitrate (CAN) to urea-based formulations. Sci. Total Environ. 2016, 563–564, 576–586. [Google Scholar] [CrossRef] [PubMed]
  21. Cantarella, H.; Otto, R.; Soares, J.R.; Silva, A.G.D.B. Agronomic efficiency of NBPT as a urease inhibitor: A review. J. Adv. Res. 2018, 13, 19–27. [Google Scholar] [CrossRef] [PubMed]
  22. Xia, L.; Shu, K.L.; Chen, D.; Wang, J.; Quan, T.; Yan, X. Can knowledge-based N management produce more staple grain with lower greenhouse gas emission and reactive nitrogen pollution? A Meta-analysis. Glob. Chang. Biol. 2017, 23, 1917–1925. [Google Scholar] [CrossRef] [PubMed]
  23. Liu, R.; Hayden, H.; Suter, H.; He, J.Z.; Chen, D.L. The effect of nitrification inhibitors in reducing nitrification and the ammonia oxidizer population in three contrasting soils. J. Soils Sediments 2015, 15, 1113–1118. [Google Scholar] [CrossRef]
  24. Chen, D.L.; Suter, H.C.; Islam, A.; Edis, R. Influence of nitrification inhibitors on nitrification and nitrous oxide (N2O) emission from a clay loam soil fertilized with urea. Soil Biol. Biochem. 2010, 42, 660–664. [Google Scholar] [CrossRef]
  25. Weiske, A.; Benckiser, G.; Herbert, T.; Ottow, J. Influence of the nitrification inhibitor 3,4-dimethylpyrazole phosphate (DMPP) in comparison to dicyandiamide (DCD) on nitrous oxide emissions, carbon dioxide fluxes and methane oxidation during 3 years of repeated application in field experiments. Biol. Fertil. Soils 2001, 34, 109–117. [Google Scholar] [CrossRef]
  26. Dong, D.; Yang, W.; Sun, H.; Kong, S.; Xu, H. Nitrous oxide emissions in response to long-term application of the nitrification inhibitor DMPP in an acidic luvisol. Appl. Soil Ecol. 2021, 159, 103861. [Google Scholar] [CrossRef]
  27. Shu, K.L.; Suter, H.; Mosier, A.R.; Chen, D.L. Using nitrification inhibitors to mitigate agricultural N2O emission: A double-edged sword? Glob. Chang. Biol. 2017, 23, 485–489. [Google Scholar] [CrossRef]
  28. Weller, S.; Fischer, A.; Willibald, G.; Navé, B.; Kiese, R. N2O emissions from maize production in south-west Germany and evaluation of N2O mitigation potential under single and combined inhibitor application. Agric. Ecosyst. Environ. 2019, 269, 215–223. [Google Scholar] [CrossRef]
  29. Gong, P.; Zhang, L.L.; Wu, Z.J.; Chen, Z.H.; Chen, L.J. Responses of ammonia-oxidizing bacteria and archaea in two agricultural soils to nitrification inhibitors DCD and DMPP: A pot experiment. Pedosphere 2013, 23, 729–739. [Google Scholar] [CrossRef]
  30. Shi, X.Z.; Hu, H.W.; He, J.Z.; Chen, D.L.; Suter, H.C. Effects of 3,4-dimethylpyrazole phosphate (DMPP) on nitrification and the abundance and community composition of soil ammonia oxidizers in three land uses. Biol. Fertil. Soils 2016, 52, 927–939. [Google Scholar] [CrossRef]
  31. Tao, R.; Li, J.; Hu, B.W.; Chu, G.X. Mitigating N2O emission by synthetic inhibitors mixed with urea and cattle manure application via inhibiting ammonia-oxidizing bacteria, but not archaea, in a calcareous soil. Environ. Pollut. 2021, 273, 116478. [Google Scholar] [CrossRef]
  32. Luchibia, A.O.; Lam, S.K.; Suter, H.; Chen, Q.; O’Mara, B.; He, J.-Z. Effects of repeated applications of urea with DMPP on ammonia oxidizers, denitrifiers, and non-targeted microbial communities of an agricultural soil in queensland, australia. Appl. Soil Ecol. 2020, 147, 103392. [Google Scholar] [CrossRef]
  33. Luchibia, A.O.; Suter, H.; Hu, H.W.; Lam, S.K.; He, J.Z. Responses of ureolytic and nitrifying microbes to urease and nitrification inhibitors in selected agricultural soils in Victoria, Australia. J. Soils Sediments 2020, 20, 1309–1322. [Google Scholar] [CrossRef]
  34. Tao, R.; Li, J.; Hu, B.W.; Chu, G.X. Ammonia-oxidizing bacteria are sensitive and not resilient to organic amendment and Nitrapyrin disturbances, but ammonia-oxidizing archaea are resistant. Goederma 2021, 384, 114814. [Google Scholar] [CrossRef]
  35. Bachtsevani, E.; Papazlatani, C.V.; Rousidou, C.; Lampronikou, E.; Menkissoglu-Spiroudi, U.; Nicol, G.W.; Karpouzas, D.G.; Papadopoulou, E.S. Effects of the nitrification inhibitor 3,4-dimethylpyrazole phosphate (DMPP) on the activity and diversity of the soil microbial community under contrasting soil pH. Biol. Fertil. Soils 2021, 5, 1117–1135. [Google Scholar] [CrossRef]
  36. Corrochano-Monsalve, M.; González-Murua, C.; Estavillo, J.M.; Estonba, A.; Zarraonaindia, I. Impact of dimethylpyrazole-based nitrification inhibitors on soil-borne bacteria. Sci. Total Environ. 2021, 792, 148374. [Google Scholar] [CrossRef]
  37. Liu, C.R.; Zhang, Y.S.; Liu, H.R.; Liu, X.Q.; Ren, D.Y.; Wang, L.G.; Guan, D.H.; Li, Z.H.; Zhang, M.C. Fertilizer stabilizers reduce nitrous oxide emissions from agricultural soil by targeting microbial nitrogen transformations. Sci. Total Environ. 2022, 806, 151225. [Google Scholar] [CrossRef] [PubMed]
  38. Ma, W.B.; Jiang, S.J.; Assemien, F.; Qin, M.S.; Ma, B.B.; Xie, Z.; Liu, Y.J.; Feng, H.Y.; Du, G.Z.; Ma, X.J.; et al. Response of microbial functional groups involved in soil N cycle to N, P and NP fertilization in Tibetan alpine meadows. Soil Biol. Biochem. 2016, 101, 195–206. [Google Scholar] [CrossRef]
  39. Liu, C.R.; Liu, H.R.; Liu, X.Q.; Zhang, Y.S.; Wang, L.G.; Guan, D.H.; Al-Kaisi, M.M.; Li, Z.H.; Zhang, M.C. Nitrification inhibitor 3,4-dimethylpyrazole phosphate (DMPP) reduces N2O emissions by altering the soil microbial community in a wheat–maize rotation on the North China Plain. Eur. J. Soil Sci. 2021, 72, 1270–1291. [Google Scholar] [CrossRef]
  40. Tedeschi, A.; Marco, A.D.; Polimeno, F.; Tommasi, P.D.; Maglione, G.; Ottaiano, L.; Arena, C.; Magliulo, V.; Vitale, L. Effects of the fertilizer added with DMPP on soil nitrous oxide emissions and microbial functional diversity. Agriculture 2021, 11, 12. [Google Scholar] [CrossRef]
  41. Kong, X.W.; Duan, Y.F.; Schramm, A.; Eriksen, J.; Petersen, S.O. 3,4-dimethylpyrazole phosphate (DMPP) reduces activity of ammonia oxidizers without adverse effects on non-target soil microorganisms and functions. Appl. Soil Ecol. 2016, 105, 67–75. [Google Scholar] [CrossRef]
  42. Shi, X.Z.; Hu, H.W.; Kelly, K.; Chen, D.L.; He, J.Z.; Suter, H. Response of ammonia oxidizers and denitrifiers to repeated applications of a nitrification inhibitor and a urease inhibitor in two pasture soils. J. Soils Sediments 2017, 17, 974–984. [Google Scholar] [CrossRef]
  43. Castellano-Hinojosa, A.; González-López, J.; Vallejo, A.; Bedmar, E.J. Effect of urease and nitrification inhibitors on ammonia volatilization and abundance of n-cycling genes in an agricultural soil. J. Plant Nutr. Soil Sci. 2020, 183, 99–109. [Google Scholar] [CrossRef]
  44. Fu, Q.L.; Abadie, M.; Blaud, A.; Carswell, A.; Misselbrook, T.H.; Clark, I.M.; Hirsch, P.R. Effects of urease and nitrification inhibitors on soil N, nitrifier abundance and activity in a sandy loam soil. Biol. Fertil. Soils 2020, 56, 185–194. [Google Scholar] [CrossRef]
  45. Meng, X.T.; Li, Y.Y.; Yao, H.Y.; Wang, J.; Dai, F.; Wu, Y.P.; Chapman, S. Nitrification and urease inhibitors improve rice nitrogen uptake and prevent denitrification in alkaline paddy soil. Appl. Soil Ecol. 2020, 154, 103665. [Google Scholar] [CrossRef]
  46. Schmidt, R.; Wang, X.B.; Garbeva, P.; Yergeau, É. The Nitrification inhibitor nitrapyrin has non-target effects on the soil microbial community structure, composition, and functions. Appl. Soil Ecol. 2022, 171, 104350. [Google Scholar] [CrossRef]
  47. Fan, X.P.; Yin, C.; Yan, G.C.; Cui, P.Y.; Shen, Q.; Wang, Q.; Chen, H.; Zhang, N.; Ye, M.J.; Zhao, Y.H.; et al. The contrasting effects of N-(n-butyl) thiophosphoric triamide (NBPT) on N2O emissions in arable soils differing in pH are underlain by complex microbial mechanisms. Sci. Total Environ. 2018, 642, 155–167. [Google Scholar] [CrossRef]
  48. Xu, C.; Han, X.; Ru, S.; Cardenas, L.; Rees, R.M.; Wu, D.; Wu, W.; Meng, F. Crop straw incorporation interacts with N fertilizer on N2O emissions in an intensively cropped farmland. Geoderma 2019, 341, 129–137. [Google Scholar] [CrossRef]
  49. Shi, Y.F.; Wu, W.L.; Meng, F.Q.; Zhang, Z.H.; Wang, D.P. Integrated management practices significantly affect N2O emissions and wheat–maize production at field scale in the North China Plain. Nutr. Cycl. Agroecosyst. 2013, 95, 203–218. [Google Scholar] [CrossRef]
  50. Zhao, Z.C.; Wu, D.; Bol, R.; Shi, Y.F.; Guo, Y.B.; Meng, F.Q.; Wu, W.L. Nitrification inhibitor’s effect on mitigating N2O emissions was weakened by urease inhibitor in calcareous soils. Atmos. Environ. 2017, 166, 142–150. [Google Scholar] [CrossRef]
  51. Pasda, G.; Hähndel, R.; Zerulla, W. Effect of fertilizers with the new nitrification inhibitor DMPP (3,4-dimethylpyrazole phosphate) on yield and quality of agricultural and horticultural crops. Biol. Fertil. Soils 2001, 34, 85–97. [Google Scholar] [CrossRef]
  52. Serna, M.D.; Baňuls, J.; Quiňones, A.; Primo-Millo, E.; Legaz, F. Evaluation of 3,4 dimethylpyrazole phosphate as a nitrification inhibitor in a citrus-cultivated soil. Biol Fertil. Soils 2000, 32, 41–46. [Google Scholar] [CrossRef]
  53. Alberto, S.; Laura, S.; Lourdes, G.; Antonio, V. Gaseous emissions of N2O and NO and NO3 leaching from urea applied with urease and nitrification inhibitors to a maize (Zea mays) crop. Agric. Ecosyst. Environ. 2012, 149, 64–73. [Google Scholar] [CrossRef]
  54. Tan, Y.C.; Wu, D.; Bol, R.; Wu, W.L.; Meng, F.Q. Conservation farming practices in winter wheat–summer maize cropping reduce GHG emissions and maintain high yields. Agric. Ecosyst. Environ. 2019, 272, 266–275. [Google Scholar] [CrossRef]
  55. Hu, X.K.; Su, F.; Ju, X.T.; Gao, B.; Oenema, O.; Christie, P.; Huang, B.X.; Jiang, R.F.; Zhang, F.S. Greenhouse gas emissions from a wheat–maize double cropping system with different nitrogen fertilization regimes. Environ. Pollut. 2013, 176, 198–207. [Google Scholar] [CrossRef]
  56. Dong, D.; Kou, Y.; Yang, W.; Chen, G.; Xu, H. Effects of urease and nitrification inhibitors on nitrous oxide emissions and nitrifying/denitrifying microbial communities in a rainfed maize soil: A 6-year field observation. Soil Tillage Res. 2018, 180, 82–90. [Google Scholar] [CrossRef]
  57. Hu, H.W.; Macdonald, C.A.; Trivedi, P.; Holmes, B.; Bodrossy, L.; He, J.Z.; Singh, B.K. Water addition regulates the metabolic activity of ammonia oxidizers responding to environmental perturbations in dry subhumid ecosystems. Environ. Microbiol. 2015, 17, 444–461. [Google Scholar] [CrossRef]
  58. Chen, S.F.; Zhou, Y.Q.; Chen, Y.R.; Gu, J. fastp: An Ultra-Fast All-in-One FASTQ Preprocessor. Cold Spring Harb. Lab. 2018, 34, i884–i890. [Google Scholar] [CrossRef] [PubMed]
  59. Magoč, T.; Salzberg, S.L. FLASH: Fast length adjustment of short reads to improve genome assemblies. Bioinformatics 2011, 27, 2957–2963. [Google Scholar] [CrossRef] [PubMed]
  60. Wang, Q.; Garrity, G.M.; Tiefje, J.M.; Cole, J.R. Naive Bayesian classifier for rapid assignment of rRNA sequences into the new bacterial taxonomy. Appl. Environ. Microbiol. 2007, 73, 5261–5267. [Google Scholar] [CrossRef] [PubMed]
  61. Shannon, C.E. A mathematical theory of communication. Bell Syst. Tech. J. 1948, 27, 623–656. [Google Scholar] [CrossRef]
  62. Chao, A. Nonparametric estimation of the number of classes in a population. Scand. J. Stat. 1984, 11, 265–270. [Google Scholar]
  63. He, Y.; Zhou, B.J.; Deng, G.H.; Jiang, X.T.; Zhang, H.; Zhou, H.W. Comparison of microbial diversity determined with the same variable tag sequence extracted from two different PCR amplicons. BMC Microbiol. 2013, 13, 208. [Google Scholar] [CrossRef]
  64. Delgado-Baquerizo, M.; Maestre, F.T.; Reich, P.B.; Trivedi, P.; Osanai, Y.; Liu, Y.R.; Hamonts, K.; Jeffries, T.C.; Singh, B.K. Carbon content and climate variability drive global soil bacterial diversity patterns. Ecol. Monogr. 2016, 86, 373–390. [Google Scholar] [CrossRef]
  65. Avrahami, S.; Conrad, R.; Braker, G. Effect of soil ammonium concentration on N2O release and on the community structure of ammonia oxidizers and denitrifiers. Appl. Environ. Microbiol. 2002, 68, 5685–5692. [Google Scholar] [CrossRef]
  66. Pester, M.; Rattei, T.; Flechl, S.; Grngrft, A.; Wagner, M. amoA-based consensus phylogeny of ammonia-oxidizing archaea and deep sequencing of amoA genes from soils of four different geographic regions. Environ. Microbiol. 2012, 14, 525–539. [Google Scholar] [CrossRef] [PubMed]
  67. Zhang, Y.; Chen, L.; Sun, R.; Dai, T.; Tian, J.; Wen, D. Ammonia-oxidizing bacteria and archaea in wastewater treatment plant sludge and nearby coastal sediment in an industrial area in China. Appl. Microbiol. Biotechnol. 2015, 99, 4495–4507. [Google Scholar] [CrossRef] [PubMed]
  68. Di, H.J.; Cameron, K.C.; Shen, J.P.; Winefield, C.S.; O’Callaghan, M.; Bowatte, S.; He, J.Z. Nitrification driven by bacteria and not archaea in nitrogen-rich grassland soils. Nat. Geosci. 2009, 2, 621–624. [Google Scholar] [CrossRef]
  69. Hink, L.; Gubry-Rangin, C.; Nicol, G.W.; Prosser, J.I. The consequences of niche and physiological differentiation of archaeal and bacterial ammonia oxidisers for nitrous oxide emissions. ISME J. 2018, 12, 1084–1093. [Google Scholar] [CrossRef]
  70. Fan, X.P.; Yin, C.; Chen, H.; Ye, M.J.; Zhao, Y.H. The efficacy of 3,4-dimethylpyrazole phosphate on N2O emissions is linked to niche differentiation of ammonia oxidizing archaea and bacteria across four arable soils -sciencedirect. Soil Biol. Biochem. 2019, 130, 82–93. [Google Scholar] [CrossRef]
  71. Maria, T.; Thomas, E.F.; James, I.P. Stable isotope probing analysis of interactions between ammonia oxidizers. Appl. Environ. Microbiol. 2010, 76, 2468–2477. [Google Scholar] [CrossRef]
  72. Zeng, J.; Liu, X.J.; Song, L.; Lin, X.G.; Zhang, H.Y.; Shen, C.C.; Chu, H.Y. Nitrogen fertilization directly affects soil bacterial diversity and indirectly affects bacterial community composition. Soil Biol. Biochem. 2016, 92, 41–49. [Google Scholar] [CrossRef]
  73. Schramm, A.; de Beer, D.; van den Heuvel, J.C.; Ottengraf, S.; Amann, R. Microscale distribution of populations and activities of Nitrosospira and Nitrospira spp. along a macroscale gradient in a nitrifying bioreactor: Quantification by in situ hybridization and the use of microsensors. Appl. Environ. Microbiol. 1999, 65, 3690–3696. [Google Scholar] [CrossRef]
  74. Le Roux, X.; Bouskill, N.J.; Niboyet, A.; Barthes, L.; Dijkstra, P.; Field, C.B.; Hungate, B.A.; Lerondelle, C.; Pommier, T.; Tang, J.; et al. Predicting the responses of soil nitrite-oxidizers to multi-factorial global change: A trait-based approach. Front. Microbiol. 2016, 7, 628. [Google Scholar] [CrossRef]
  75. Luo, X.S.; Han, S.; Lai, S.S.; Huang, Q.Y.; Chen, W.L. Long-term straw returning affects Nitrospira-like nitrite oxidizing bacterial community in a rapeseed-rice rotation soil. J. Basic Microbiol. 2017, 57, 309–315. [Google Scholar] [CrossRef]
  76. Wu, D.; Zhao, Z.C.; Han, X.; Meng, F.Q.; Wu, W.L.; Zhou, M.; Brüggemann, N.; Bol, R. Potential dual effect of nitrification inhibitor 3,4-dimethylpyrazole phosphate on nitrifier denitrification in the mitigation of peak N2O emission events in North China Plain cropping systems. Soil Biol. Biochem. 2018, 121, 147–153. [Google Scholar] [CrossRef]
  77. Cao, W.C.; Liu, S.; Qu, Z.; Song, H.; Qin, W.; Guo, J.H.; Chen, Q.; Lin, S.; Wang, J.G. Contribution and driving mechanism of N2O emission bursts in a Chinese vegetable greenhouse after manure application and irrigation. Sustainability 2019, 11, 1624. [Google Scholar] [CrossRef]
  78. Ma, L.; Shan, J.; Yan, X.Y. Nitrite behavior accounts for the nitrous oxide peaks following fertilization in a fluvo-aquic soil. Biol. Fertil. Soils 2015, 51, 563–572. [Google Scholar] [CrossRef]
  79. Ramotowski, D.; Shi, W. Nitrapyrin-based nitrification inhibitors shaped the soil microbial community via controls on soil pH and inorganic N composition. Appl. Soil Ecol. 2022, 170, 104295. [Google Scholar] [CrossRef]
  80. Burgin, A.J.; Groffman, P.M. Soil O2 controls denitrification rates and N2O yield in a riparian wetland. J. Geophys. Res. Biogeosci. 2012, 117, G01010. [Google Scholar] [CrossRef]
  81. Philippot, L.; Mirleau, P.; Mazurier, S.; Siblot, S.; Hartmann, A.; Lemanceau, P.; Germon, J.C. Characterization and transcriptional analysis of pseudomonas fluorescens denitrifying clusters containing the nar, nir, nor and nos genes. Biochim. Biophys. Acta BBA Gene Struct. Expr. 2001, 1517, 436–440. [Google Scholar] [CrossRef]
  82. Francis, C.; Roberts, K.; Beman, J.; Santoro, A.; Oakley, B. Ubiquity and diversity of ammonia-oxidizing archaea in water columns and sediments of the ocean. Proc. Natl. Acad. Sci. USA 2005, 102, 14683–14688. [Google Scholar] [CrossRef]
  83. Rotthauwe, J.; Witzel, K.; Liesack, W. The ammonia monooxygenase structural gene amoA as a functional marker: Molecular fine-scale analysis of natural ammonia-oxidizing populations. Appl Environ. Microbiol. 1997, 63, 4704–4712. [Google Scholar] [CrossRef]
  84. Wertz, S.; Poly, F.; Le Roux, X.; Degrange, V. Development and application of a PCR-denaturing gradient gel electrophoresis tool to study the diversity of Nitrobacter-like nxrA sequences in soil. FEMS Microbiol. Ecol. 2008, 63, 261. [Google Scholar] [CrossRef] [PubMed]
  85. Pester, M.; Maixner, F.; Berry, D.; Rattei, T.; Koch, H.; Lücker, S.; Nowka, B.; Richter, A.; Spieck, E.; Lebedeva, E.; et al. nxrB encoding the beta subunit of nitrite oxidoreductase as functional and phylogenetic marker for nitrite-oxidizing Nitrospira. Environ. Microbiol. 2014, 16, 3055–3071. [Google Scholar] [CrossRef] [PubMed]
  86. Bru, D.; Sarr, A.; Philippot, L. Relative abundances of proteobacterial membrane-bound and periplasmic nitrate reductases in selected environments. Appl. Environ. Microbiol. 2007, 73, 5971–5974. [Google Scholar] [CrossRef] [PubMed]
  87. Kloos, K.; Mergel, A.; Rosch, C.; Bothe, H. Denitrification within the genus Azospirillim and other associative bacteria. Aust. J. Plant. Physiol. 2001, 28, 991–998. [Google Scholar] [CrossRef]
Figure 1. Soil potential nitrification rate across the four treatments. Treatments were CK: no nitrogen fertilizer application; U: urea; UI: urea with 0.4% NBPT; and NI: urea with 1% DMPP. Error bars represent standard errors of. Different lower cases indicate significant differences among treatments.
Figure 1. Soil potential nitrification rate across the four treatments. Treatments were CK: no nitrogen fertilizer application; U: urea; UI: urea with 0.4% NBPT; and NI: urea with 1% DMPP. Error bars represent standard errors of. Different lower cases indicate significant differences among treatments.
Agronomy 13 00659 g001
Figure 2. Diversity, richness, and evenness of AOA, AOB, nxrA-bearing, nxrB-bearing, narG-bearing, and nosZ-bearing bacterial population at the OTU level. CK: no nitrogen fertilizer application; U: urea; UI: urea with NBPT; and NI: urea with DMPP. Error bars represent standard errors of three replicates. Different letters above the bars indicate a significant difference at p < 0.05.
Figure 2. Diversity, richness, and evenness of AOA, AOB, nxrA-bearing, nxrB-bearing, narG-bearing, and nosZ-bearing bacterial population at the OTU level. CK: no nitrogen fertilizer application; U: urea; UI: urea with NBPT; and NI: urea with DMPP. Error bars represent standard errors of three replicates. Different letters above the bars indicate a significant difference at p < 0.05.
Agronomy 13 00659 g002
Figure 3. Non-metric multidimensional scaling (NMDS) analysis at the OTU level of AOA, AOB, nxrA-bearing, nxrB-bearing, narG-bearing, and nosZ-bearing bacterial population. Treatments were as follows: CK: no nitrogen fertilizer application; U: urea; UI: urea with 0.4% NBPT; and NI: urea with 1% DMPP. The additional stress values at the top are the results of analyses of similarities (ANOSIM) with 999 permutations.
Figure 3. Non-metric multidimensional scaling (NMDS) analysis at the OTU level of AOA, AOB, nxrA-bearing, nxrB-bearing, narG-bearing, and nosZ-bearing bacterial population. Treatments were as follows: CK: no nitrogen fertilizer application; U: urea; UI: urea with 0.4% NBPT; and NI: urea with 1% DMPP. The additional stress values at the top are the results of analyses of similarities (ANOSIM) with 999 permutations.
Agronomy 13 00659 g003
Figure 4. The relative abundance of AOA, AOB, nxrA-bearing, nxrB-bearing, narG-bearing, and nosZ-bearing bacterial populations across four treatments on the genus level (relative abundance > 0.01%). Treatments were as follows: CK: no nitrogen fertilizer application; U: urea; UI: urea with NBPT; and NI: urea with DMPP.
Figure 4. The relative abundance of AOA, AOB, nxrA-bearing, nxrB-bearing, narG-bearing, and nosZ-bearing bacterial populations across four treatments on the genus level (relative abundance > 0.01%). Treatments were as follows: CK: no nitrogen fertilizer application; U: urea; UI: urea with NBPT; and NI: urea with DMPP.
Agronomy 13 00659 g004
Figure 5. Redundancy analysis (RDA) illustrating the relationship between environmental variables and the main genera of AOA, AOB, nxrA-bearing, nxrB-bearing, narG-bearing, and nosZ-bearing bacterial populations. The red arrows indicate different environmental factors. The green arrows indicate different genera. PNR: potential nitrification rates; TC: total soil carbon; TN: total soil nitrogen; TOC: total soil organic carbon; AP: available soil phosphorus; AK: available soil potassium; NH4+: ammonium nitrogen; NO2: nitrite nitrogen; and NO3: nitrate nitrogen.
Figure 5. Redundancy analysis (RDA) illustrating the relationship between environmental variables and the main genera of AOA, AOB, nxrA-bearing, nxrB-bearing, narG-bearing, and nosZ-bearing bacterial populations. The red arrows indicate different environmental factors. The green arrows indicate different genera. PNR: potential nitrification rates; TC: total soil carbon; TN: total soil nitrogen; TOC: total soil organic carbon; AP: available soil phosphorus; AK: available soil potassium; NH4+: ammonium nitrogen; NO2: nitrite nitrogen; and NO3: nitrate nitrogen.
Agronomy 13 00659 g005
Table 1. Annual cumulative N2O emission factors of applied N treatments; N2O mitigation of DMPP and NBPT.
Table 1. Annual cumulative N2O emission factors of applied N treatments; N2O mitigation of DMPP and NBPT.
YearTreatmentCumulative N2O EmissionsEFN2O Mitigation
kg N ha−1%%
2012–2013CK1.03 ± 0.06 d
U3.20 ± 0.06 a0.36
NI1.65 ± 0.09 c0.1071.0
UI2.42 ± 0.07 b0.2335.3
2013–2014CK1.07 ± 0.06 d
U3.39 ± 0.12 a0.40
NI1.76 ± 0.09 c0.1370.9
UI2.63 ± 0.22 b0.2733.7
2014–2015CK0.75 ± 0.06 d
U3.92 ± 0.16 a0.53
NI1.43 ± 0.08 c0.1179.0
UI2.65 ± 0.07 b0.3239.7
2015–2016CK1.16 ± 0.14 c
U4.09 ± 0.05 a0.49
NI1.47 ± 0.03 c0.0589.9
UI2.55 ± 0.20 b0.2352.6
Note: values represent means ± standard errors (n = 3). Lower case letters in column indicate significant differences between treatment means (p < 0.05). EF: emission factors; CK: no nitrogen fertilizer application; U: urea; UI: urea with NBPT; and NI: urea with DMPP.
Table 2. Two-way ANOVA analysis for the effects of year and N stabilizer on cumulative N2O emissions.
Table 2. Two-way ANOVA analysis for the effects of year and N stabilizer on cumulative N2O emissions.
FactorsCumulative N2O Emissions kg N ha−1
NIUI
dfFp-ValuedfFp-Value
Year34.413<0.0535.723<0.01
Inhibitor1841.398<0.011123.708<0.01
Year × inhibitor314.201<0.0133.349<0.05
Note: NI: urea with DMPP; UI: urea with NBPT.
Disclaimer/Publisher’s Note: The statements, opinions and data contained in all publications are solely those of the individual author(s) and contributor(s) and not of MDPI and/or the editor(s). MDPI and/or the editor(s) disclaim responsibility for any injury to people or property resulting from any ideas, methods, instructions or products referred to in the content.

Share and Cite

MDPI and ACS Style

Zhang, W.; Ma, Y.; Yang, X.; Xu, X.; Ni, B.; Liu, R.; Meng, F. Investigation of Soil Microbial Communities Involved in N Cycling as Affected by the Long-Term Use of the N Stabilizers DMPP and NBPT. Agronomy 2023, 13, 659. https://doi.org/10.3390/agronomy13030659

AMA Style

Zhang W, Ma Y, Yang X, Xu X, Ni B, Liu R, Meng F. Investigation of Soil Microbial Communities Involved in N Cycling as Affected by the Long-Term Use of the N Stabilizers DMPP and NBPT. Agronomy. 2023; 13(3):659. https://doi.org/10.3390/agronomy13030659

Chicago/Turabian Style

Zhang, Wei, Yan Ma, Xuan Yang, Xiuchun Xu, Bang Ni, Rui Liu, and Fanqiao Meng. 2023. "Investigation of Soil Microbial Communities Involved in N Cycling as Affected by the Long-Term Use of the N Stabilizers DMPP and NBPT" Agronomy 13, no. 3: 659. https://doi.org/10.3390/agronomy13030659

APA Style

Zhang, W., Ma, Y., Yang, X., Xu, X., Ni, B., Liu, R., & Meng, F. (2023). Investigation of Soil Microbial Communities Involved in N Cycling as Affected by the Long-Term Use of the N Stabilizers DMPP and NBPT. Agronomy, 13(3), 659. https://doi.org/10.3390/agronomy13030659

Note that from the first issue of 2016, this journal uses article numbers instead of page numbers. See further details here.

Article Metrics

Back to TopTop