Responses of Crop and Soil Phosphorus Fractions to Long-Term Fertilization Regimes in a Loess Soil in Northwest China
Abstract
:1. Introduction
2. Materials and Methods
2.1. Study Site & Experimental Design
2.2. Soil Sampling and Analysis
2.3. Crop Measurements
2.4. Data Processing
2.5. Statistical Analysis
3. Results
3.1. Crop Yield, P Uptake, and P Budget
3.2. Phosphorus Fraction at Surface Soil Layer
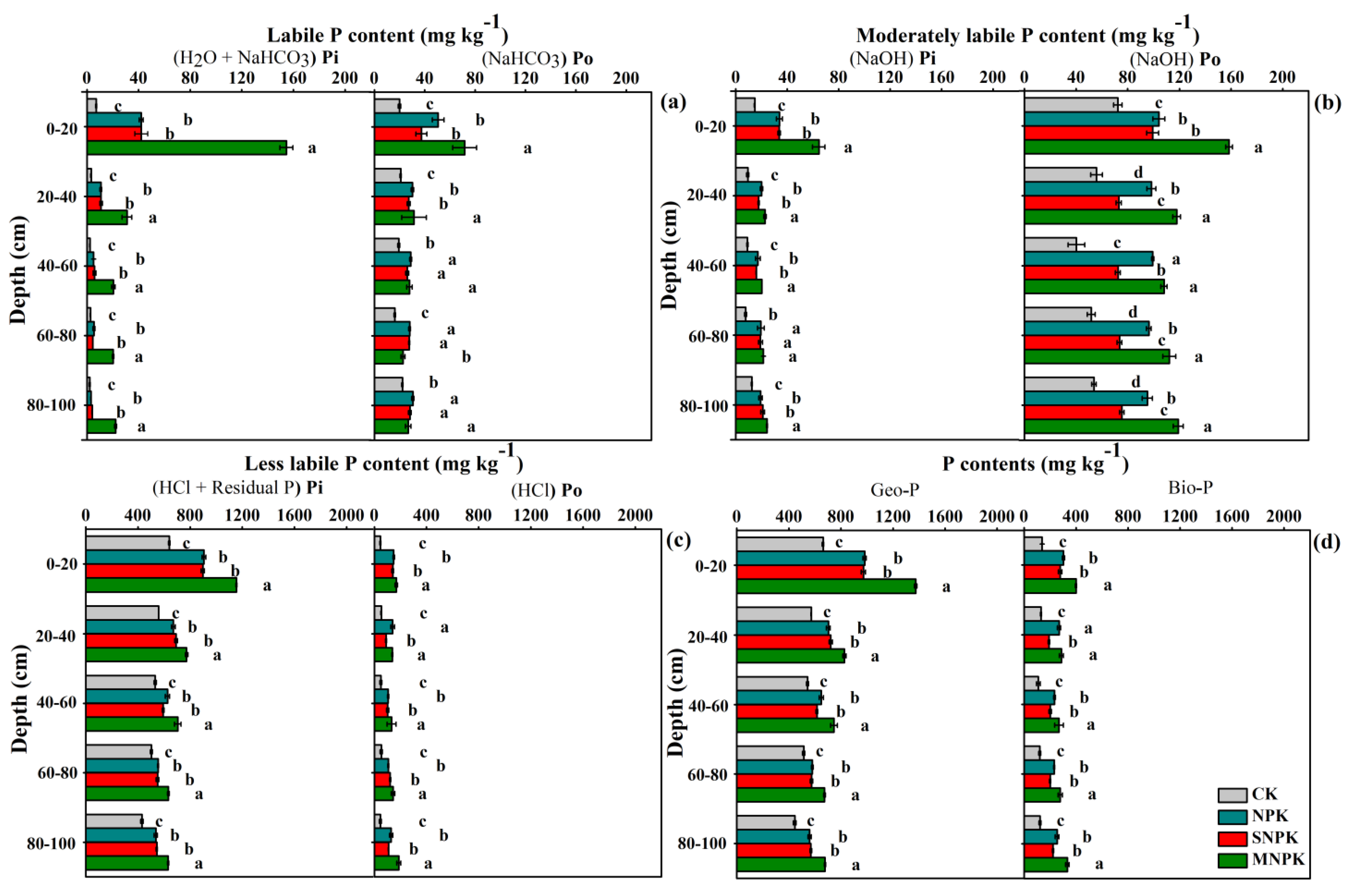
3.3. Phosphorus Fractions in the Soil Profile
3.4. Relationships among Soil Olsen-P, CaCl2-P, and P Fractions
3.5. Relationship between P Uptake, Crop Yield, and P Fractions
4. Discussion
4.1. Crop Yield, P Uptake, and Critical Soil P Content
4.2. Soil P Transformation and Migration
5. Conclusions
Supplementary Materials
Author Contributions
Funding
Data Availability Statement
Acknowledgments
Conflicts of Interest
References
- Tian, X.Y.; Engel, B.A.; Qian, H.Y.; Hua, E.; Sun, S.K.; Wang, Y.B. Will reaching the maximum achievable yield potential meet future global food demand? J. Clean. Prod. 2021, 294, 126285. [Google Scholar] [CrossRef]
- Chen, X.; Yan, X.; Wang, M.; Cai, Y.; Weng, X.; Su, D.; Guo, J.; Wang, W.; Hou, Y.; Ye, D.; et al. Long-term excessive phosphorus fertilization alters soil phosphorus fractions in the acidic soil of pomelo orchards. Soil Till. Res. 2022, 215, 105214. [Google Scholar] [CrossRef]
- Yan, X.J.; Yang, W.H.; Chen, X.H.; Wang, M.K.; Wang, W.Q.; Ye, D.L.; Wu, L.Q. Soil phosphorus pools, bioavailability and environmental risk in response to the phosphorus supply in the red soil of Southern China. Int. J. Environ. Res. Public Health. 2020, 17, 7384. [Google Scholar] [CrossRef]
- Pizzeghello, D.; Berti, A.; Nardi, S.; Morari, F. Relationship between soil test phosphorus and phosphorus release to solution in three soils after long-term mineral and manure application. Agric. Ecosyst. Environ. 2016, 233, 214–223. [Google Scholar] [CrossRef]
- Yan, Z.; Chen, S.; Biswanath, D.; Debjani, S.; Chen, Q. Phosphorus transformation response to soil properties changes induced by manure application in a calcareous soil. Geoderma 2018, 322, 163–171. [Google Scholar] [CrossRef]
- Zhang, W.; Zhang, Y.; An, Y.; Chen, X. Phosphorus fractionation related to environmental risks resulting from intensive vegetable cropping and fertilization in a subtropical region. Environm. Pollut. 2021, 269, 116098. [Google Scholar] [CrossRef]
- Yan, X.; Wei, Z.; Hong, Q.; Lu, Z.; Wu, J. Phosphorus fractions and sorption characteristics in a subtropical paddy soil as influenced by fertilizer sources. Geoderma 2017, 295, 80–85. [Google Scholar] [CrossRef]
- Lu, R.K. Soil and Agro-Chemistry Analytical Methods; China Agricultural Science and Technology Press: Beijing, China, 1999; Volume 29, pp. 166–185. (In Chinese) [Google Scholar]
- Shen, Y.; Duan, Y.; McLaughlin, N.; Huang, S.; Guo, D.; Xu, M. Phosphorus desorption from calcareous soils with different initial Olsen-P levels and relation to phosphate fractions. J. Soils Sediments 2019, 19, 2997–3007. [Google Scholar] [CrossRef]
- Luo, G.W.; Ling, N.; Nannipieri, P.; Chen, H.; Raza, W.; Wang, M.; Guo, S.W.; Shen, Q.R. Long-term fertilization regimes affect the composition of the alkaline phosphomonoesterase encoding microbial community of a vertisol and its derivative soil fractions. Biol. Fertil. Soils 2017, 53, 375–388. [Google Scholar] [CrossRef]
- Xie, L.H.; Lv, J.L.; Zhang, Y.P.; Liu, X.W.; Liu, L.H. Influence of long-term fertilization on phosphorus fertility of calcareous soil II. Inorganic and organic phosphorus. Chin. J. Appl. Ecol. 2004, 15, 790–794. (In Chinese) [Google Scholar]
- Liu, J.; Li, C.Y.; Xing, Y.W.; Wang, Y.; Xue, Y.L.; Wang, C.R.; Dang, T.H. Effects of long-term fertilization on soil organic phosphorus fractions and wheat yield in farmland of Loess Plateau. Chin. J. Appl. Ecol. 2020, 31, 157–164. (In Chinese) [Google Scholar]
- Aulakh, M.S.; Kabba, B.S.; Baddesha, H.S.; Bahl, G.S.; Gill, M.P.S. Crop yields and phosphorus fertilizer transformations after 25 years of applications to a subtropical soil under groundnut-based cropping systems. Field Crops Res. 2003, 83, 283–296. [Google Scholar] [CrossRef]
- Zhu, X.; Fang, X.; Wang, L.; Xiang, W.; Alharbi, H.A.; Lei, P.; Kuzyakov, Y. Regulation of soil phosphorus availability and composition during forest succession in subtropics. For. Ecol. Manag. 2021, 502, 119706. [Google Scholar] [CrossRef]
- Tian, J.; Boitt, G.; Black, A.; Wakelin, S.; Condron, L.M.; Chen, L. Accumulation and distribution of phosphorus in the soil profile under fertilized grazed pasture. Agric. Ecosyst. Environ. 2017, 239, 228–235. [Google Scholar] [CrossRef]
- Liu, X.; Bi, Q.; Qiu, L.; Li, K.; Yang, X.; Lin, X. Increased risk of phosphorus and metal leaching from paddy soils after excessive manure application: Insights from a mesocosm study. Sci. Total Environ. 2019, 666, 778–785. [Google Scholar] [CrossRef] [PubMed]
- Qiong, W.; Qin, Z.; Zhang, W.; Chen, Y.; Zhu, P.; Peng, C.; Wang, L.P.; Zhang, S.; Gilles, C. Effect of long-term fertilization on phosphorus fractions in different soil layers and their quantitative relationships with soil properties. J. Integr. Agric. 2022, 21, 2720–2733. [Google Scholar] [CrossRef]
- Johnston, A.E.; Poulton, P.R.; White, R.P. Plant-available soil phosphorus. Part II: The response of arable crops to Olsen P on a sandy clay loam and a silty clay loam. Soil Use Manag. 2013, 29, 12–21. [Google Scholar] [CrossRef]
- Hua, K.; Zhang, W.; Guo, Z.; Wang, D.; Oenema, O. Evaluating crop response and environmental impact of the accumulation of phosphorus due to long-term manuring of vertisol soil in northern China. Agric. Ecosyst. Environ. 2015, 219, 101–110. [Google Scholar] [CrossRef]
- Manschadi, A.M.; Kaul, H.P.; Vollmann, J.; Eitzinger, J.; Wenzel, W. Reprint of Developing phosphorus-efficient crop varieties—An interdisciplinary research framework. Field Crops Res. 2014, 165, 49–60. [Google Scholar] [CrossRef]
- Wang, R.; Guo, S.; Li, N.; Li, R.; Zhang, Y.; Jiang, J.; Wang, Z.; Liu, Q.; Wu, D.; Sun, Q. Phosphorus accumulation and sorption in calcareous soil under long-term fertilization. PLoS ONE 2015, 10, e0135160. [Google Scholar] [CrossRef]
- Dodd, J.R.; Mallarino, A.P. Soil-test phosphorus and crop grain yield responses to long-term phosphorus fertilization for corn-soybean rotations. Soil Sci. Soc. Am. J. 2005, 69, 1118–1128. [Google Scholar] [CrossRef]
- Steinfurth, K.; Hirte, J.; Morel, C.; Buczko, U. Conversion equations between Olsen-P and other methods used to assess plant available soil phosphorus in Europe—A review. Geoderma 2021, 401, 115339. [Google Scholar] [CrossRef]
- Appelhans, S.C.; Ricardo, J.M.; Pedro, A.B.; Leonardo, E.N. Assessing Organic Phosphorus Contributions for Predicting Soybean Response to fertilization. Soil Sci. Soc. Am. J. 2016, 80, 1688–1697. [Google Scholar] [CrossRef]
- Steinfurth, K.; Gunnar, B.; Pascal, D.; Bettina, E.; Wolfgang, G.; Johannes, H.; Juliane, H.; Bruno, H.; Claire, J.; Dierk, K.; et al. Thresholds of target phosphorus fertility classes in European fertilizer recommendations in relation to critical soil test phosphorus values derived from the analysis of 55 European long-term field experiments. Agric. Ecosyst. Environ. 2022, 332, 107926. [Google Scholar] [CrossRef]
- IUSS Working Group WRB. World Reference Base for Soil Resources: International Soil Classification System for Naming Soils and Creating Legends for Soil Maps; IUSS Working Group WRB: Rome, Italy, 2014. [Google Scholar]
- Cooperative Research Group on Chinese Soil Taxonomy (CRGCST). Chinese Soil Taxonomy; Science Press: Beijing, China, 2001; pp. 246–247. [Google Scholar]
- Zhang, S.L.; Tong, Y.A.; Liang, D.L.; Lu, D.Q.; Emteryd, O. Nitrate-N movement in the soil profile as influenced by rate and timing of nitrogen application. Acta Pedol. Sin. 2004, 41, 270–277. (In Chinese) [Google Scholar]
- Murphy, J.; Riley, J.P. A modified single solution method for the determination of phosphate in natural waters. Anal. Chim. Acta 1962, 27, 31–36. [Google Scholar] [CrossRef]
- Hesketh, N.; Brookes, P.C.; Sharpley, A.N. Development of an indicator for risk of phosphorus leaching. J. Environ. Qual. 2000, 29, 105–110. [Google Scholar] [CrossRef]
- Tiessen, H.; Moir, J.O. Characterization of available P by sequential extraction. Soil Sample Methods Anal. 1993, 7, 5–229. [Google Scholar]
- Environmental Protection Agency. Methods of Chemical Analysis of Water and Wastes; Environmental Protection Agency: Cincinnati, OH, USA, 1997. [Google Scholar]
- Cross, A.F.; Schlesinger, W.H. A literature review and evaluation of the Hedley fractionation: Applications to the biogeochemical cycle of soil phosphorus in natural ecosystems. Geoderma 1995, 64, 197–214. [Google Scholar] [CrossRef]
- Khan, A.; Lu, G.; Ayaz, M.; Zhang, H.; Wang, R.; Lv, F.; Yang, X.; Sun, B.; Zhang, S. Phosphorus efficiency, soil phosphorus dynamics and critical phosphorus level under long-term fertilization for single and double cropping systems. Agric. Ecosyst. Environ. 2018, 256, 1–11. [Google Scholar] [CrossRef]
- Waugh, D.L.; Cate, R.B.; Nelson, L.A. Discontinuous models for rapid correlation, interpretation, and utilization of soil analysis and fertilizer response data. In Tech. Bull. 7. International Soil Fertility Evaluation and Improvement Program; North Carolina State University: Raleigh, NC, USA, 1973. [Google Scholar]
- Luo, G.; Li, L.; Friman, V.-P.; Guo, J.; Guo, S.; Shen, Q.; Ling, N. Organic amendments increase crop yields by improving microbe-mediated soil functioning of agroecosystems: A meta-analysis. Soil Biol. Biochem. 2018, 124, 105–115. [Google Scholar] [CrossRef]
- Cai, A.; Xu, M.; Wang, B.; Zhang, W.; Liang, G.; Hou, E.; Luo, Y. Manure acts as a better fertilizer for increasing crop yields than synthetic fertilizer does by improving soil fertility. Soil Till. Res. 2019, 189, 168–175. [Google Scholar] [CrossRef]
- Yang, S.; Li, F.; Malhi, S.S.; Wang, P.; Suo, D.; Wang, J. Long-Term Fertilization Effects on Crop Yield and Nitrate Nitrogen Accumulation in Soil in Northwestern China. Agron. J. 2004, 96, 1039–1049. [Google Scholar] [CrossRef]
- Diacono, M.; Montemurro, F. Long-term effects of organic amendments on soil fertility. A review. Agron. Sustain. Dev. 2010, 30, 401–422. [Google Scholar] [CrossRef]
- Qaswar, M.; Li, D.; Huang, J.; Han, T.; Waqas, A.; Muhammad, A.; Zhang, L.; Du, J.; Zulqarnain, H.K.; Sami, U.; et al. Interaction of liming and long-term fertilization increased crop yield and phosphorus use efficiency (PUE) through mediating exchangeable cations in acidic soil under wheat–maize cropping System. Sci. Rep. 2020, 10, 19828. [Google Scholar] [CrossRef]
- Guo, F.; Yost, R.S.; Hue, N.V.; Evensen, C.I.; Silva, J.A. Changes in phosphorus fractions in soils under intensive plant growth. Soil Sci. Soc. Am. J. 2000, 64, 1681–1689. [Google Scholar] [CrossRef]
- Mahmood, M.; Tian, Y.; Ma, Q.; Ahmed, W.; Mehmood, S.; Hui, X.; Wang, Z. Changes in phosphorus fractions and its availability status in relation to long term P fertilization in loess plateau of China. Agronomy 2020, 10, 1818. [Google Scholar] [CrossRef]
- Samadi, A.; Gilkes, R.J. Phosphorus transformations and their relationships with calcareous soil properties of southern western Australia. Soil Sci. Soc. Am. J. 1999, 63, 809–815. [Google Scholar] [CrossRef]
- Cajuste, L.J.; Laird, R.J.; Cruz, D.J.; Cajuste, J.L. Phosphate availability in tropical soils as related to phosphorus fractions and chemical tests. Commun. Soil Sci. Plant Anal. 1994, 25, 1881–1889. [Google Scholar] [CrossRef]
- Zheng, Z.M.; Macleod, J.A.; Sanderson, J.B.; Lafond, J. Soil phosphorus dynamics after ten annual applications of mineral fertilizers and liquid dairy manure: Fractionation and path analyses. Soil Sci. 2004, 169, 449–456. [Google Scholar] [CrossRef]
- Wang, K.; Ren, T.; Yan, J.; Zhu, D.; Liao, S.; Zhang, Y.; Lu, Z.; Cong, R.; Li, X.; Lu, J. Straw returning mediates soil microbial biomass carbon and phosphorus turnover to enhance soil phosphorus availability in a rice-oilseed rape rotation with different soil phosphorus levels. Agric. Ecosyst. Environ. 2022, 335, 107991. [Google Scholar] [CrossRef]
- Wyngaard, N.; Cabrera, M.L.; Jarosch, K.A.; Bünemann, E.K. Phosphorus in the coarse soil fraction is related to soil organic phosphorus mineralization measured by isotopic dilution. Soil Biol. Biochem. 2016, 96, 107–118. [Google Scholar] [CrossRef]
- Jordan-Meille, L.; Rubæk, G.H.; Ehlert, P.A.I.; Genot, V.; Hofman, G.; Goulding, K.; Recknagel, J.; Provolo, G.; Barraclough, P. An overview of fertilizer-P recommendations in Europe: Soil testing, calibration and fertilizer recommendations. Soil Use Manag. 2012, 28, 419–435. [Google Scholar] [CrossRef]
- Sucunza, F.A.; Flavio, H.G.; Fernando, O.G.; Miguel, B.; Gerardo, R. Long-term phosphorus fertilization of wheat, soybean and maize on Mollisols: Soil test trends, critical levels and balances. Eur. J. Agron. 2018, 96, 87–95. [Google Scholar] [CrossRef]
- Xi, B.; Zhai, L.M.; Liu, S.; Wang, H.Y.; Luo, C.Y.; Ren, T.Z.; Liu, H.B. Long-term phosphorus accumulation and agronomic and environmental critical phosphorus levels in Haplic Luvisol soil, northern China. J. Integr. Agric. 2016, 15, 200–208. [Google Scholar] [CrossRef]
- Appelhans, S.C.; Pedro, A.B.; Ricardo, J.M.M.; Flavio, G.B. Assessing soil P fractions changes with long- term phosphorus fertilization related to crop yield of soybean and maize. Soil Use Manag. 2020, 56, 524–535. [Google Scholar] [CrossRef]
- Appelhans, S.C.; Pedro, A.B.; Ricardo, J.M.M.; Flavio, H.G.B.; Octavio, P.C. Is the lack of response of maize to fertilization in soils with low Bray1-P related to labile organic phosphorus? J. Soil Sci. Plant Nutr. 2021, 21, 612–621. [Google Scholar] [CrossRef]
- Gao, Z.; Cao, H.; Huang, M.; Bao, M.; Qiu, W.; Liu, J. Winter wheat yield and soil critical phosphorus value response to yearly rainfall and P fertilization on the Loess Plateau of China. Field Crops Res. 2023, 296, 108921. [Google Scholar] [CrossRef]
- Condron, L.M.; Turner, B.L.; Cade-Menun, J. Chemistry and dynamics of soil organic phosphorus. In Phosphorus: Agriculture and the Environment; Sims, J.T., Sharpley, A.N., Eds.; American Society of Agronomy: Madison, WI, USA, 2005; pp. 87–121. [Google Scholar]
- Mallarino, A.P.; Atia, A.M. Correlation of a Resin Membrane Soil Phosphorus Test with Corn Yield and Routine Soil Tests. Soil Sci. Soc. Am. J. 2005, 69, 266–272. [Google Scholar] [CrossRef]
- Luo, G.; Sun, B.; Li, L.; Li, M.; Liu, M.; Zhu, Y.; Guo, S.; Ling, N.; Shen, Q. Understanding how long-term organic amendments increase soil phosphatase activities: Insight into phoD- and phoC-harboring functional microbial populations. Soil Biol. Biochem. 2019, 139, 107632. [Google Scholar] [CrossRef]
- Reddy, D.D.; Rao, A.S.; Takkar, P.N. Effects of continuous use of cattle manure and fertilizer phosphorus on crop yields and soil organic phosphorus in a Vertisol. Bioresour. Technol. 2000, 75, 113–118. [Google Scholar] [CrossRef]
- Li, J.B.; Xie, T.; Zhu, H.; Zhou, J.; Li, X.Z. Alkaline phosphatase activity mediates soil organic phosphorus mineralization in a subalpine forest ecosystem. Geoderma 2021, 404, 115376. [Google Scholar] [CrossRef]
- Liao, D.; Zhang, C.; Li, H.; Lambers, H.; Zhang, F. Changes in soil phosphorus fractions following sole cropped and intercropped maize and faba bean grown on calcareous soil. Plant Soil 2020, 448, 587–601. [Google Scholar] [CrossRef]
- Cao, N.; Chen, X.; Cui, Z.; Zhang, F. Change in soil available phosphorus in relation to the phosphorus budget in China. Nutr. Cycl. Agroecosystems 2012, 94, 161–170. [Google Scholar] [CrossRef]
- Tang, X.; Li, J.; Ma, Y.; Hao, X.; Li, X. Phosphorus efficiency in long-term (15 years) wheat-maize cropping systems with various soil and climate conditions. Field Crops Res. 2008, 108, 231–237. [Google Scholar] [CrossRef]
- Aulakh, M.S.; Garg, A.K.; Kabba, B.S. Phosphorus accumulation, leaching and residual effects on crop yields from long-term applications in the subtropics. Soil Use Manag. 2007, 23, 417–427. [Google Scholar] [CrossRef]
- Messiga, A.J.; Ziadi, N.; Plénet, D.; Parent, L.E.; Morel, C. Long-term changes in soil phosphorus status related to P budgets under maize monoculture and mineral P Fertilization. Soil Use Manag. 2010, 26, 354–364. [Google Scholar] [CrossRef]
- Audette, A.; Ivan, P.O.; Les, J.E.; Voroney, R.P. Preliminary validation of a sequential fractionation method to study phosphorus chemistry in a calcareous soil. Chemosphere 2016, 152, 369–375. [Google Scholar] [CrossRef]
- Boniface, R.; Trocmé, S. Enseignements fournis par divers essaies de longue durée sur la fumure phosphatée et potassique: Essais sur la fumure phosphatéeIn: Phosphore et Potassium dans les Relations Sol-plante: Conséquences surla Fertilisation. In Ouvrage Collectif Sous la Direction de Louis Gachon; INRA Editions: Paris, France, 1988; pp. 279–402. [Google Scholar]
- Zhou, Y.L.; Deng, J.; He, W.Y.; Yi, Y.H.; Wang, L.Y.; Zhang, P.C.; Chen, T.G.; Zhao, X.L. Effects of Organic Materials on Organic Phosphorus content in purple soil and phosphorus uptake of corn seedlings. J. Soil Water Conserv. 2015, 29, 6. (In Chinese) [Google Scholar]
- Chakraborty, D.; Rishi, P. Stratification of soil phosphorus forms from long-term repeated poultry litter applications and its environmental implication. Environ. Chall. 2021, 5, 100374. [Google Scholar] [CrossRef]
- Wei, L.; Chen, S.; Cui, J.; Ping, H.; Yuan, C.; Chen, Q. A meta-analysis of arable soil phosphorus pools response to manure application as influenced by manure types, soil properties, and climate. J. Environ. Manag. 2022, 313, 115006. [Google Scholar] [CrossRef]
- Malik, M.A.; Marschner, P.; Khan, K.S. Addition of organic and inorganic P sources to soil—Effects on P pools and microorganisms. Soil Biol. Biochem. 2012, 49, 106–113. [Google Scholar] [CrossRef]
- Redel, Y.D.; Rosa, R.; Juan, L.R.; Fernando, B. Phosphorus bioavailability affected by tillage and crop rotation on a Chilean volcanic derived Ultisol. Geoderma 2017, 139, 388–396. [Google Scholar] [CrossRef]
- Chen, G.; Yuan, J.; Zhao, X.; Wang, S.; Zhu, Y.; Wang, Y. Animal manures promoted soil phosphorus transformation via affecting soil microbial community in paddy soil. Sci. Total Environ. 2022, 831, 154917. [Google Scholar] [CrossRef]
- Zhang, S.L.; Li, H.; Yang, X.; Sun, B. Effects of soil management regimes on biochemical properties of a loess soil. J. Soil Sci. Plant Nutr. 2015, 15, 711–725. [Google Scholar] [CrossRef]
- Sato, S.; Solomon, D.; Hyland, C.; Ketterings, Q.M.; Lehmann, J. Phosphorus speciation in manure and manure-amended soils using XANES spectroscopy. Environ. Sci. Technol. 2005, 39, 7485–7491. [Google Scholar] [CrossRef]
- Cao, N.; Zhi, M.; Zhao, W.; Pang, J.; Hu, W.; Zhou, Z.; Meng, Y. Straw retention combined with phosphorus fertilizer promotes soil phosphorus availability by enhancing soil P-related enzymes and the abundance of phoC and phoD genes. Soil Till. Res. 2022, 220, 105390. [Google Scholar] [CrossRef]





| Cropping System | Crop | Treatment | N (kg ha−1) | P (kg ha−1) | K (kg ha−1) |
|---|---|---|---|---|---|
| Winter wheat–summer maize | Wheat | CK | 0 | 0 | 0 |
| N | 165.0 | 0 | 0 | ||
| NK | 165.0 | 0 | 68.5 | ||
| NP | 165.0 | 57.6 | 68.5 | ||
| NPK | 165.0 | 57.6 | 68.5 | ||
| SNPK | 165.0 + 40.4 a | 57.6 + 3.8 a | 68.5 + 85.5 a | ||
| MNPK | 74.3 + 173.2 a | 86.4 + 159.4 a | 102.8 + 208.9 a | ||
| Maize | CK | 0 | 0 | 0 | |
| N | 187.5 | 0 | 0 | ||
| NK | 187.5 | 0 | 77.8 | ||
| NP | 187.5 | 24.6 | 0 | ||
| NPK | 187.5 | 24.6 | 77.8 | ||
| SNPK | 187.5 | 24.6 | 77.8 | ||
| MNPK | 187.5 | 24.6 | 77.8 |
| Years | Items | Treatments | |||||||
|---|---|---|---|---|---|---|---|---|---|
| CK | N | NK | NP | NPK | SNPK | MNPK | |||
| 2010 | Labile P | Pi | 11 ± 2 c | 5 ± 0.2 d | 9 ± 1 cd | 39 ± 2 b | 36 ± 3 b | 37 ± 3 b | 117 ± 4 a |
| Po | 10 ± 2 d | 3 ± 0.2 e | 3 ± 0.4 e | 16 ± 2 bc | 15 ± 9 c | 19 ± 0.3 b | 38 ± 3 a | ||
| Moderately labile P | Pi | 13 ± 1 e | 16 ± 3 d | 16 ± 0.2 d | 27 ± 0.2 b | 25 ± 0.1 bc | 23 ± 0.1 c | 41 ± 1 a | |
| Po | 16 ± 6 cd | 6 ± 3 d | 7 ± 0.3 d | 29 ± 10 bc | 33 ± 13 b | 36 ± 12 b | 45 ± 9 a | ||
| Less-labile P | Pi | 342 ± 68 c | 354 ± 17 c | 340 ± 20 c | 456 ± 35 bc | 515 ± 119 b | 521 ± 141 b | 784 ± 48 a | |
| Po | 17 ± 10 c | 27 ± 8 bc | 32 ± 6 bc | 25 ± 5 bc | 23 ± 3 bc | 17 ± 3 c | 46 ± 4 a | ||
| 2014 | Labile P | Pi | 7 ± 1 c | 6 ± 0.2 c | 11 ± 1 c | 52 ± 6 b | 42 ± 3 b | 42 ± 9 b | 155 ± 9 a |
| Po | 20 ± 2 d | 4 ± 0.2 e | 5 ± 1 e | 42 ± 2 bc | 51 ± 8 b | 37 ± 8 c | 72 ± 16 a | ||
| Moderately labile P | Pi | 15 ± 1 c | 19 ± 2 c | 20 ± 2 c | 39 ± 2 b | 34 ± 4 b | 34 ± 2 b | 65 ± 8 a | |
| Po | 72 ± 6 c | 7 ± 2 d | 9 ± 1 d | 95 ± 9 b | 104 ± 8 b | 99 ± 8 b | 159 ± 4 a | ||
| Less-labile P | Pi | 641 ± 11 c | 394 ± 21 e | 377 ± 18 e | 493 ± 25 d | 906 ± 25 b | 898 ± 22 b | 1155 ± 27 a | |
| Po | 46 ± 6 cd | 30 ± 5 d | 50 ± 7 c | 151 ± 14 ab | 149 ± 9 b | 142 ± 13 b | 169 ± 17 a | ||
| Variables | P Fractions | Equations | CC (mg kg−1) | R2 |
|---|---|---|---|---|
| Olsen-P | Labile P | Y1 = 0.3585x − 0.4893 Y2 = 1.4139x + 145.0223 | 93 | 0.83 |
| Moderately labile P | Y1 = 0.3010x − 1.8653 Y2 = 1.3621x + 85.1152 | 85 | 0.86 | |
| Less-labile P | Y1 = 0.0417x − 4.4318 Y2 = 0.6525x − 85.1152 | 635 | 0.84 | |
| CaCl2-P | Labile P | Y1 = 0.0030x − 0.1935 Y2 = 0.0254x + 3.0358 | 99 | 0.86 |
| Moderately labile P | Y1 = 0.0017x − 0.1848 Y2 = 0.0395x + 2.6699 | 70 | 0.74 | |
| Less-labile P | Y1 = 0.0001x − 0.1948 Y2 = 0.0049x + 2.1916 | 474 | 0.69 |
| Crops | P Fractions | Model a | Equations | CC b (mg kg−1) | R2 |
|---|---|---|---|---|---|
| Winter wheat | Labile P | LP | Y = 25.7442 + 0.3864x | 54 | 0.93 |
| QP | Y = 65.807 + 2.890x − 0.018x2 | 74 | 0.83 | ||
| Moderately labile P | LP | Y = 23.6223 + 0.3425x | 48 | 0.66 | |
| QP | Y = 62.708 + 16.101x − 0.502x2 | 57 | 0.63 | ||
| Less-labile P | LL | N/A c | |||
| QP | N/A | ||||
| Summer maize | Labile P | LP | Y = 47.5525 + 0.3032x | 63 | 0.78 |
| QP | Y = 81.485 + 0.303x − 0.076x2 | 127 | 0.76 | ||
| Moderately labile P | LP | Y = 46.5243 + 0.2615x | 49 | 0.49 | |
| QP | Y = 83.446 + 12.708x − 0.086x2 | 63 | 0.46 | ||
| Less-labile P | LL | N/A | |||
| QP | N/A |
Disclaimer/Publisher’s Note: The statements, opinions and data contained in all publications are solely those of the individual author(s) and contributor(s) and not of MDPI and/or the editor(s). MDPI and/or the editor(s) disclaim responsibility for any injury to people or property resulting from any ideas, methods, instructions or products referred to in the content. |
© 2023 by the authors. Licensee MDPI, Basel, Switzerland. This article is an open access article distributed under the terms and conditions of the Creative Commons Attribution (CC BY) license (https://creativecommons.org/licenses/by/4.0/).
Share and Cite
Khan, A.; Yang, X.; Sun, B.; Zhang, S.; He, B. Responses of Crop and Soil Phosphorus Fractions to Long-Term Fertilization Regimes in a Loess Soil in Northwest China. Agronomy 2023, 13, 3072. https://doi.org/10.3390/agronomy13123072
Khan A, Yang X, Sun B, Zhang S, He B. Responses of Crop and Soil Phosphorus Fractions to Long-Term Fertilization Regimes in a Loess Soil in Northwest China. Agronomy. 2023; 13(12):3072. https://doi.org/10.3390/agronomy13123072
Chicago/Turabian StyleKhan, Asif, Xueyun Yang, Benhua Sun, Shulan Zhang, and Binghui He. 2023. "Responses of Crop and Soil Phosphorus Fractions to Long-Term Fertilization Regimes in a Loess Soil in Northwest China" Agronomy 13, no. 12: 3072. https://doi.org/10.3390/agronomy13123072
APA StyleKhan, A., Yang, X., Sun, B., Zhang, S., & He, B. (2023). Responses of Crop and Soil Phosphorus Fractions to Long-Term Fertilization Regimes in a Loess Soil in Northwest China. Agronomy, 13(12), 3072. https://doi.org/10.3390/agronomy13123072

