Integrating Spectral, Textural, and Morphological Data for Potato LAI Estimation from UAV Images
Abstract
:1. Introduction
2. Materials and Methods
2.1. Study Area and Experimental Design
2.2. Data Collection
2.2.1. UAV Image Acquisition and Processing
2.2.2. Ground Data Acquisition and Processing
2.3. Parameter Extraction
2.3.1. Selection of Vegetation Indices
2.3.2. Acquisition of Texture Features
2.3.3. Potato-Plant-Height Extraction at Different Growth Stages
2.4. Modeling and Assessment
2.4.1. Feature-Screening Methods
2.4.2. Modeling Methodology
- (1)
- PLSR is a statistical method that attempts to find a linear regression model between the set of observed variables (X) and the set of predictor variables (Y) that optimizes prediction by minimizing the sum of the squares of prediction errors. In some complex problems, the PLSR model has advantages over the multiple linear regression model.
- (2)
- The RF model is a prediction model based on decision trees using the Ensemble Learning strategy. It combines the prediction results of multiple decision trees to improve the prediction accuracy and robustness of the overall model. Its characteristics give it excellent performance in solving various prediction problems, including classification and regression problems.
- (3)
- SVR is an application of SVM to regression problems. SVR provides an effective way to keep the prediction error for the training samples within a given threshold while keeping the model complexity as small as possible. SVR can handle high-dimensional data and has good performance for nonlinear problems. Data are robust to nonlinear problems and have good generalization capabilities.
- (4)
- XGBoost is an efficient machine learning algorithm based on gradient-boosting decision trees, which has shown excellent performance in many machine learning tasks, including classification, regression, and sorting problems. It employs a forward stepwise addition strategy that corrects the prediction errors of all previous trees by continuously adding new trees.
2.4.3. Model Validation and Evaluation
3. Results
3.1. LAI and Plant Height of Potatoes at Different Growth Stages
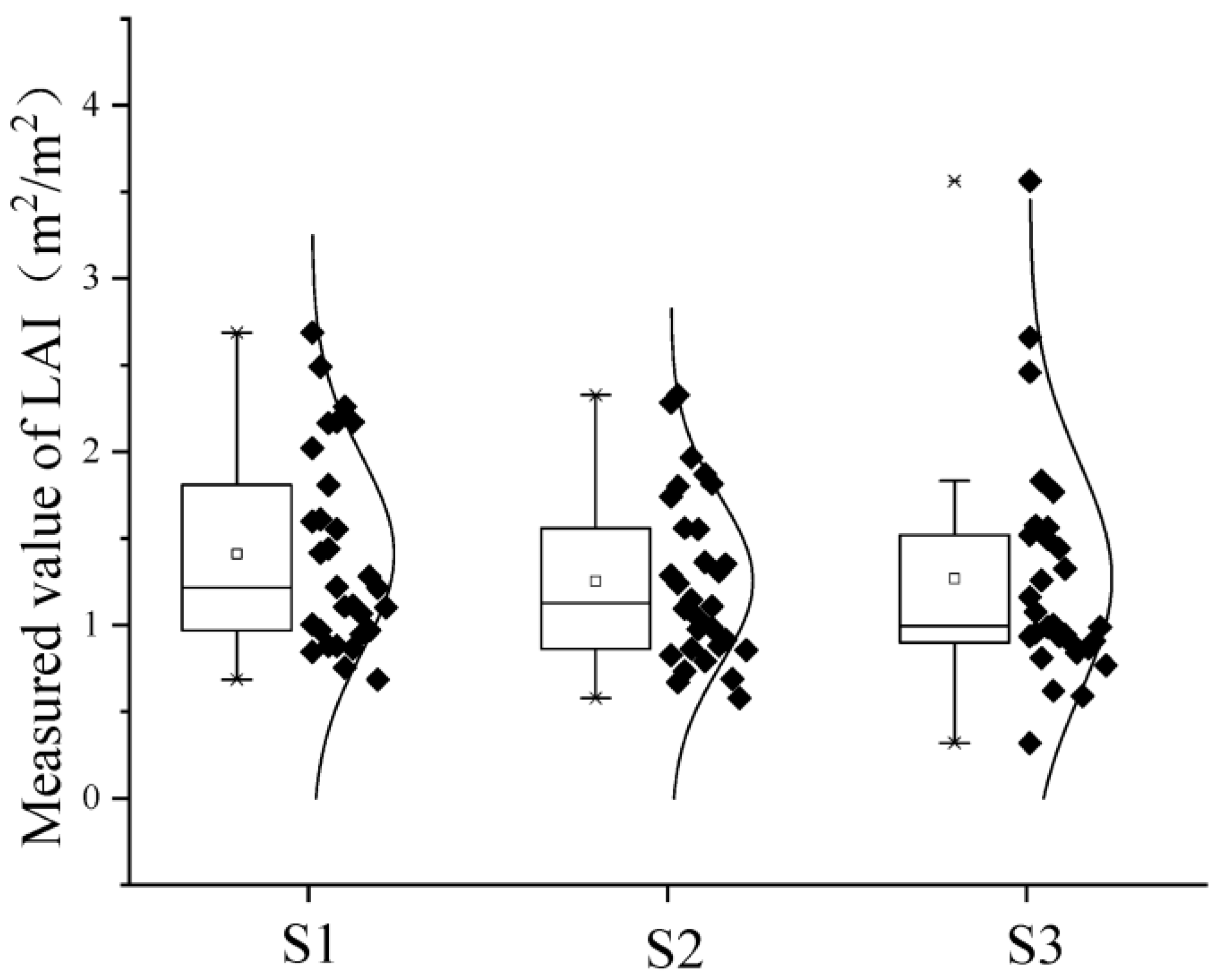
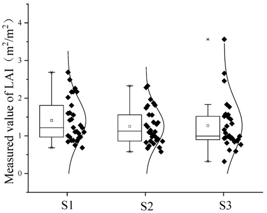
3.1.1. Distribution of LAI in Potatoes at Different Growth Stages
3.1.2. Distribution of Plant Height of Potato Plants at Different Growth Stages
3.2. Validation of Potato-Plant-Height Extraction
3.3. Materiality Analysis
3.4. Model Feature Selection and Modeling
4. Discussion
4.1. Spectral and Textural Materiality Ranking with LAI Using SVR-RFE
4.2. Effects of Texture and Plant Height on the Accuracy of Estimating Potato LAI at Different Growth Stages
4.3. Impact of Different Models on the Accuracy of LAI Inversion
4.4. Limitations and Prospects
5. Conclusions
Author Contributions
Funding
Data Availability Statement
Acknowledgments
Conflicts of Interest
References
- Zhang, H.; Xu, F.; Wu, Y.; Hu, H.-H.; Dai, X.-F. Progress of potato staple food research and industry development in China. J. Integr. Agric. 2017, 16, 2924–2932. [Google Scholar] [CrossRef]
- Jia, J.; Yang, D.; Li, J.; Li, Y. Research and comparative analysis about potato production situation between China and continents in the world. Agric. Eng. 2011, 1, 84–86. [Google Scholar]
- Zhao, Y.; Meng, Y.; Han, S.; Feng, H.; Yang, G.; Li, Z. Should phenological information be applied to predict agronomic traits across growth stages of winter wheat? Crop J. 2022, 10, 1346–1352. [Google Scholar] [CrossRef]
- Sishodia, R.P.; Ray, R.L.; Singh, S.K. Applications of Remote Sensing in Precision Agriculture: A Review. Remote Sens. 2020, 12, 3136. [Google Scholar] [CrossRef]
- Qi, H.; Zhu, B.; Wu, Z.; Liang, Y.; Li, J.; Wang, L.; Chen, T.; Lan, Y.; Zhang, L. Estimation of Peanut Leaf Area Index from Unmanned Aerial Vehicle Multispectral Images. Sensors 2020, 20, 6732. [Google Scholar] [CrossRef] [PubMed]
- Zheng, G.; Moskal, L.M. Retrieving leaf area index (LAI) using remote sensing: Theories, methods and sensors. Sensors 2009, 9, 2719–2745. [Google Scholar] [CrossRef] [PubMed]
- Breda, N.J. Ground-based measurements of leaf area index: A review of methods, instruments and current controversies. J. Exp. Bot. 2003, 54, 2403–2417. [Google Scholar] [CrossRef]
- Battude, M.; Al Bitar, A.; Morin, D.; Cros, J.; Huc, M.; Marais Sicre, C.; Le Dantec, V.; Demarez, V. Estimating maize biomass and yield over large areas using high spatial and temporal resolution Sentinel-2 like remote sensing data. Remote Sens. Environ. 2016, 184, 668–681. [Google Scholar] [CrossRef]
- Croft, H.; Arabian, J.; Chen, J.M.; Shang, J.; Liu, J. Mapping within-field leaf chlorophyll content in agricultural crops for nitrogen management using Landsat-8 imagery. Precis. Agric. 2019, 21, 856–880. [Google Scholar] [CrossRef]
- Moharana, S.; Dutta, S. Spatial variability of chlorophyll and nitrogen content of rice from hyperspectral imagery. ISPRS J. Photogramm. Remote Sens. 2016, 122, 17–29. [Google Scholar] [CrossRef]
- Duan, S.-B.; Li, Z.-L.; Wu, H.; Tang, B.-H.; Ma, L.; Zhao, E.; Li, C. Inversion of the PROSAIL model to estimate leaf area index of maize, potato, and sunflower fields from unmanned aerial vehicle hyperspectral data. Int. J. Appl. Earth Obs. Geoinf. 2014, 26, 12–20. [Google Scholar] [CrossRef]
- Clevers, J.; Kooistra, L.; van den Brande, M. Using Sentinel-2 Data for Retrieving LAI and Leaf and Canopy Chlorophyll Content of a Potato Crop. Remote Sens. 2017, 9, 405. [Google Scholar] [CrossRef]
- Li, F.; Piasecki, C.; Millwood, R.J.; Wolfe, B.; Mazarei, M.; Stewart, C.N., Jr. High-Throughput Switchgrass Phenotyping and Biomass Modeling by UAV. Front. Plant Sci. 2020, 11, 574073. [Google Scholar] [CrossRef] [PubMed]
- Saberioon, M.M.; Amin, M.S.M.; Anuar, A.R.; Gholizadeh, A.; Wayayok, A.; Khairunniza-Bejo, S. Assessment of rice leaf chlorophyll content using visible bands at different growth stages at both the leaf and canopy scale. Int. J. Appl. Earth Obs. Geoinf. 2014, 32, 35–45. [Google Scholar] [CrossRef]
- Yue, J.; Feng, H.; Yang, G.; Li, Z. A Comparison of Regression Techniques for Estimation of Above-Ground Winter Wheat Biomass Using Near-Surface Spectroscopy. Remote Sens. 2018, 10, 66. [Google Scholar] [CrossRef]
- Bendig, J.; Yu, K.; Aasen, H.; Bolten, A.; Bennertz, S.; Broscheit, J.; Gnyp, M.L.; Bareth, G. Combining UAV-based plant height from crop surface models, visible, and near infrared vegetation indices for biomass monitoring in barley. Int. J. Appl. Earth Obs. Geoinf. 2015, 39, 79–87. [Google Scholar] [CrossRef]
- Du, L.; Yang, H.; Song, X.; Wei, N.; Yu, C.; Wang, W.; Zhao, Y. Estimating leaf area index of maize using UAV-based digital imagery and machine learning methods. Sci. Rep. 2022, 12, 15937. [Google Scholar] [CrossRef]
- Hasan, U.; Sawut, M.; Chen, S. Estimating the Leaf Area Index of Winter Wheat Based on Unmanned Aerial Vehicle RGB-Image Parameters. Sustainability 2019, 11, 6829. [Google Scholar] [CrossRef]
- Yamaguchi, T.; Tanaka, Y.; Imachi, Y.; Yamashita, M.; Katsura, K. Feasibility of Combining Deep Learning and RGB Images Obtained by Unmanned Aerial Vehicle for Leaf Area Index Estimation in Rice. Remote Sens. 2020, 13, 84. [Google Scholar] [CrossRef]
- Liu, Y.; Feng, H.; Yue, J.; Jin, X.; Li, Z.; Yang, G. Estimation of potato above-ground biomass based on unmanned aerial vehicle red-green-blue images with different texture features and crop height. Front. Plant Sci. 2022, 13, 938216. [Google Scholar] [CrossRef]
- Fortin, J.G.; Anctil, F.; Parent, L.E. Comparison of Multiple-Layer Perceptrons and Least Squares Support Vector Machines for Remote-Sensed Characterization of In-Field LAI Patterns—A Case Study with Potato. Can. J. Remote Sens. 2014, 40, 75–84. [Google Scholar] [CrossRef]
- Fan, Y.; Feng, H.; Yue, J.; Liu, Y.; Jin, X.; Xu, X.; Song, X.; Ma, Y.; Yang, G. Comparison of Different Dimensional Spectral Indices for Estimating Nitrogen Content of Potato Plants over Multiple Growth Periods. Remote Sens. 2023, 15, 602. [Google Scholar] [CrossRef]
- Liu, S.; Li, L.; Gao, W.; Zhang, Y.; Liu, Y.; Wang, S.; Lu, J. Diagnosis of nitrogen status in winter oilseed rape (Brassica napus L.) using in-situ hyperspectral data and unmanned aerial vehicle (UAV) multispectral images. Comput. Electron. Agric. 2018, 151, 185–195. [Google Scholar] [CrossRef]
- Qiao, L.; Gao, D.; Zhao, R.; Tang, W.; An, L.; Li, M.; Sun, H. Improving estimation of LAI dynamic by fusion of morphological and vegetation indices based on UAV imagery. Comput. Electron. Agric. 2022, 192, 106603. [Google Scholar] [CrossRef]
- Lu, Z.; Deng, L.; Lu, H. An Improved LAI Estimation Method Incorporating with Growth Characteristics of Field-Grown Wheat. Remote Sens. 2022, 14, 4013. [Google Scholar] [CrossRef]
- Yan, P.; Han, Q.; Feng, Y.; Kang, S. Estimating LAI for Cotton Using Multisource UAV Data and a Modified Universal Model. Remote Sens. 2022, 14, 4272. [Google Scholar] [CrossRef]
- Zhang, Y.; Ta, N.; Guo, S.; Chen, Q.; Zhao, L.; Li, F.; Chang, Q. Combining Spectral and Textural Information from UAV RGB Images for Leaf Area Index Monitoring in Kiwifruit Orchard. Remote Sens. 2022, 14, 1063. [Google Scholar] [CrossRef]
- Zhang, X.; Zhang, K.; Wu, S.; Shi, H.; Sun, Y.; Zhao, Y.; Fu, E.; Chen, S.; Bian, C.; Ban, W. An Investigation of Winter Wheat Leaf Area Index Fitting Model Using Spectral and Canopy Height Model Data from Unmanned Aerial Vehicle Imagery. Remote Sens. 2022, 14, 5087. [Google Scholar] [CrossRef]
- Wu, S.; Deng, L.; Guo, L.; Wu, Y. Wheat leaf area index prediction using data fusion based on high-resolution unmanned aerial vehicle imagery. Plant Methods 2022, 18, 68. [Google Scholar] [CrossRef]
- Liu, Y.; Feng, H.; Yue, J.; Li, Z.; Yang, G.; Song, X.; Yang, X.; Zhao, Y. Remote-sensing estimation of potato above-ground biomass based on spectral and spatial features extracted from high-definition digital camera images. Comput. Electron. Agric. 2022, 198, 107089. [Google Scholar] [CrossRef]
- Yu, T.; Zhou, J.; Fan, J.; Wang, Y.; Zhang, Z. Potato Leaf Area Index Estimation Using Multi-Sensor Unmanned Aerial Vehicle (UAV) Imagery and Machine Learning. Remote Sens. 2023, 15, 4108. [Google Scholar] [CrossRef]
- Michel, L.; Makowski, D. Comparison of statistical models for analyzing wheat yield time series. PLoS ONE 2013, 8, e78615. [Google Scholar] [CrossRef] [PubMed]
- Johannes, M.; Brase, J.C.; Frohlich, H.; Gade, S.; Gehrmann, M.; Falth, M.; Sultmann, H.; Beissbarth, T. Integration of pathway knowledge into a reweighted recursive feature elimination approach for risk stratification of cancer patients. Bioinformatics 2010, 26, 2136–2144. [Google Scholar] [CrossRef] [PubMed]
- Zhang, Z.; Pasolli, E.; Crawford, M.M. An Adaptive Multiview Active Learning Approach for Spectral–Spatial Classification of Hyperspectral Images. IEEE Trans. Geosci. Remote Sens. 2020, 58, 2557–2570. [Google Scholar] [CrossRef]
- Kawashima, S.; Nakatani, M. An Algorithm for Estimating Chlorophyll Content in Leaves Using a Video Camera. Ann. Bot. 1998, 81, 49–54. [Google Scholar] [CrossRef]
- Meyer, G.; Mehta, T.; Kocher, M.; Mortensen, D.; Samal, A. Textural imaging and discriminant analysis for distinguishingweeds for spot spraying. Trans. ASAE 1998, 41, 1189–1197. [Google Scholar] [CrossRef]
- Meyer, G.E.; Neto, J.C. Verification of color vegetation indices for automated crop imaging applications. Comput. Electron. Agric. 2008, 63, 282–293. [Google Scholar] [CrossRef]
- Woebbecke, D.M.; Meyer, G.E.; Von Bargen, K.; Mortensen, D.A. Color Indices for Weed Identification under Various Soil, Residue, and Lighting Conditions. Trans. ASAE 1995, 38, 259–269. [Google Scholar] [CrossRef]
- Meyer, G.E.; Hindman, T.W.; Laksmi, K. Machine vision detection parameters for plant species identification. In Proceedings of the Precision Agriculture and Biological Quality; SPIE: Bellingham, WA, USA, 1999; pp. 327–335. [Google Scholar]
- McNairn, H.; Protz, R. Mapping Corn Residue Cover on Agricultural Fields in Oxford County, Ontario, Using Thematic Mapper. Can. J. Remote Sens. 2014, 19, 152–159. [Google Scholar] [CrossRef]
- Gitelson, A.A.; Kaufman, Y.J.; Stark, R.; Rundquist, D. Novel algorithms for remote estimation of vegetation fraction. Remote Sens. Environ. 2002, 80, 76–87. [Google Scholar] [CrossRef]
- Wan, Z.; Wang, P.; Li, X. Using MODIS Land Surface Temperature and Normalized Difference Vegetation Index products for monitoring drought in the southern Great Plains, USA. Int. J. Remote Sens. 2010, 25, 61–72. [Google Scholar] [CrossRef]
- Huete, A.; Liu, H.; De Lira, G.; Batchily, K.; Escadafal, R. A soil color index to adjust for soil and litter noise in vegetation index imagery of arid regions. In Proceedings of the IGARSS’94-1994 IEEE International Geoscience and Remote Sensing Symposium, Pasadena, CA, USA, 8–12 August 1994; pp. 1042–1043. [Google Scholar]
- Cai, J.; Luo, J.; Wang, S.; Yang, S. Feature selection in machine learning: A new perspective. Neurocomputing 2018, 300, 70–79. [Google Scholar] [CrossRef]
- Moghimi, A.; Yang, C.; Marchetto, P.M. Ensemble Feature Selection for Plant Phenotyping: A Journey from Hyperspectral to Multispectral Imaging. IEEE Access 2018, 6, 56870–56884. [Google Scholar] [CrossRef]
- Samb, M.L.; Camara, F.; Ndiaye, S.; Slimani, Y.; Esseghir, M.A. A novel RFE-SVM-based feature selection approach for classification. Int. J. Adv. Sci. Technol. 2012, 43, 27–36. [Google Scholar]
- Woebbecke, D.; Meyer, G.; Von Bargen, K.; Mortensen, D. Shape features for identifying young weeds using image analysis. Trans. ASAE 1995, 38, 271–281. [Google Scholar] [CrossRef]
- Zhou, Y.; Lao, C.; Yang, Y.; Zhang, Z.; Chen, H.; Chen, Y.; Chen, J.; Ning, J.; Yang, N. Diagnosis of winter-wheat water stress based on UAV-borne multispectral image texture and vegetation indices. Agric. Water Manag. 2021, 256, 107076. [Google Scholar] [CrossRef]
- Sun, X.; Yang, Z.; Su, P.; Wei, K.; Wang, Z.; Yang, C.; Wang, C.; Qin, M.; Xiao, L.; Yang, W. Non-destructive monitoring of maize LAI by fusing UAV spectral and textural features. Front. Plant Sci. 2023, 14, 1158837. [Google Scholar] [CrossRef]
- Duan, B.; Liu, Y.; Gong, Y.; Peng, Y.; Wu, X.; Zhu, R.; Fang, S. Remote estimation of rice LAI based on Fourier spectrum texture from UAV image. Plant Methods 2019, 15, 124. [Google Scholar] [CrossRef]
- Li, S.; Yuan, F.; Ata-UI-Karim, S.T.; Zheng, H.; Cheng, T.; Liu, X.; Tian, Y.; Zhu, Y.; Cao, W.; Cao, Q. Combining color indices and textures of UAV-based digital imagery for rice LAI estimation. Remote Sens. 2019, 11, 1763. [Google Scholar] [CrossRef]
- Liu, S.; Zeng, W.; Wu, L.; Lei, G.; Chen, H.; Gaiser, T.; Srivastava, A.K. Simulating the leaf area index of rice from multispectral images. Remote Sens. 2021, 13, 3663. [Google Scholar] [CrossRef]








| Name | Parameter |
|---|---|
| Image sensor | CMOS: 20 million effective pixels |
| Lens | FOV 84° |
| ISO range | 1100–1600 |
| Maximum photo resolution | 4000 × 3000 |
| Vegetation Index | Calculations | References |
|---|---|---|
| R | ||
| G | ||
| B | ||
| r | R/(R + G + B) | |
| g | G/(R + G + B) | |
| b | B/(R + G + B) | |
| r/b | r/b | |
| g/b | g/b | |
| r/g | r/g | |
| r + b | r + b | |
| g + b | g + b | |
| g − b | g − b | |
| r − b | r − b | |
| (r − g − b)/(r + g) | (r − g − b)/(r + g) | |
| Kawashima Index (IKAW) | (r − b)/(r + b) | [35] |
| Excess Red Vegetation Index (EXG) | 2 × g − b − r | [36] |
| Green–Red Vegetation Index (GRVI) | (g − r)/(g + r) | [37] |
| Modified Green–Red Vegetation Index (MGRVI) | (g × g − r × r)/(g × g + r × r) | [37] |
| Red–Green–Blue Vegetation Index (RGBVI) | (g × g − b × r)/(g × g + b × r) | [37] |
| Excess Red Index (EXR) | 1.4 × r − g | [37] |
| Excess Green Minus Excess Red Index (EXGR) | EXG-1.4 × r-g | [37] |
| Woebbecke Index (WI) | (g − b)/(r − g) | [38] |
| Normalized Difference Index (NDI) | (r − g)/(r + g + 0.01) | [39] |
| Visible Atmospherically Resistant Index (VARI) | (g − r)/(g + r − b) | [40] |
| Excess Green Minus Excess Red Index (EXRG) | 3 × g − 2.4 × r − b | [41] |
| Green Leaf Area Index (GLA) | (2 × g − r + b)/(2 × g + r + b) | [42] |
| Green Leaf Index (GLI) | (2 × g − r-b)/(2 × g + r + b) | [42] |
| Color Index of Vegetation Extract (CIVE) | 0.441 × r − 0.881 × g − 0.3856 × b + 18.78745 | [43] |
| Texture Index | Calculations | References |
|---|---|---|
| Kawashima Index (TIKAW) | (T(r) − T(b))/(T(r) + T(b)) | [35] |
| Excess Red Vegetation Index (TEXG) | 2 × T(g) − T(b) − T(r) | [36] |
| Green–Red Vegetation Index (TGRVI) | (T(g) − T(r))/(T(g) + T(r)) | [37] |
| Modified Green–Red Vegetation Index (TMGRVI) | (T(g) × T(g) − T(r) × T(r))/(T(g) × T(g) + T(r) × T(r)) | [37] |
| Red–Green–Blue Vegetation Index (TRGBVI) | (T(g) × T(g) − T(b) × T(r))/(T(g) × T(g) + T(b) × T(r)) | [37] |
| Excess Red Index (TEXR) | 1.4 × T(r) − T(g) | [37] |
| Excess Green Minus Excess Red Index (TEXGR) | TEXT − 1.4 × T(r) − T(g) | [37] |
| Woebbecke Index (TWI) | (T(g) − T(b))/(T(r) − T(g)) | [38] |
| Normalized Difference Index (TNDI) | (T(r) − T(g))/(T(r) + T(g) + 0.01) | [39] |
| Visible Atmospherically Resistant Index (TVARI) | (T(g) − T(r))/(T(g) + T(r) − T(b)) | [40] |
| Excess Green Minus Excess Red Index (TEXRG) | 3 × T(g)−2.4 × T(r) − T(b) | [41] |
| Green Leaf Area Index (TGLA) | (2 × T(g) − T(r) + T(b))/(2 × T(g) + T(r) + T(b)) | [42] |
| Green Leaf Index (TGLI) | (2 × T(g) − T(r) − T(b))/(2 × T(g) + T(r) + T(b)) | [42] |
| Color Index of Vegetation Extract (TCIVE) | 0.441 × T(r) − 0.881 × T(g) − 0.3856 × T(b) + 18.78745 | [43] |
| RANK | S1 | S2 | S3 | RANK | S1 | S2 | S3 |
|---|---|---|---|---|---|---|---|
| 1 | v-12 | v-8 | d-8 | 57 | c-6 | cor-6 | s-6 |
| 2 | c-4 | c-12 | v-4 | 58 | v-3 | h-3 | cor-1 |
| 3 | v-4 | c-4 | d-11 | 59 | e-4 | h-11 | v-5 |
| 4 | d-8 | v-11 | m-13 | 60 | s-11 | d-13 | v-9 |
| 5 | v-8 | d-8 | m-7 | 61 | h-2 | e-2 | cor-2 |
| 6 | d-4 | v-12 | m-12 | 62 | v-10 | d-14 | h-7 |
| 7 | m-12 | m-8 | c-8 | 63 | c-10 | m-7 | c-3 |
| 8 | m-4 | d-4 | m-8 | 64 | cor-12 | d-5 | e-11 |
| 9 | m-6 | cor-11 | c-12 | 65 | s-8 | d-9 | c-14 |
| 10 | m-13 | d-12 | v-11 | 66 | v-5 | c-1 | e-8 |
| 11 | c-12 | v-4 | c-11 | 67 | s-13 | cor-12 | h-14 |
| 12 | c-8 | m-12 | m-14 | 68 | v-9 | h-13 | h-6 |
| 13 | m-7 | m-4 | m-10 | 69 | e-3 | m-3 | e-2 |
| 14 | v-2 | s-1 | v-12 | 70 | s-10 | d-11 | h-10 |
| 15 | m-10 | c-10 | c-2 | 71 | s-6 | m-11 | d-13 |
| 16 | c-13 | c-6 | d-4 | 72 | s-1 | v-3 | cor-3 |
| 17 | c-2 | d-3 | v-1 | 73 | cor-8 | h-7 | c-5 |
| 18 | d-12 | v-10 | cor-11 | 74 | d-6 | cor-9 | c-9 |
| 19 | v-13 | c-7 | m-6 | 75 | h-7 | cor-5 | e-1 |
| 20 | c-7 | v-6 | m-11 | 76 | c-5 | h-10 | s-13 |
| 21 | e-1 | cor-7 | m-4 | 77 | d-2 | h-6 | s-5 |
| 22 | v-7 | v-2 | cor-8 | 78 | h-13 | s-11 | s-9 |
| 23 | c-11 | v-7 | cor-7 | 79 | c-9 | s-13 | d-7 |
| 24 | cor-13 | cor-4 | v-8 | 80 | m-2 | s-8 | h-4 |
| 25 | cor-7 | cor-13 | v-13 | 81 | d-10 | s-7 | h-5 |
| 26 | v-1 | e-1 | h-1 | 82 | h-1 | s-3 | d-3 |
| 27 | m-8 | cor-8 | h-11 | 83 | s-7 | c-3 | m-1 |
| 28 | v-11 | m-6 | cor-13 | 84 | e-13 | h-14 | h-9 |
| 29 | cor-3 | c-2 | s-2 | 85 | e-2 | m-2 | h-3 |
| 30 | m-5 | cor-10 | cor-10 | 86 | s-5 | h-12 | d-6 |
| 31 | m-9 | c-11 | v-2 | 87 | d-5 | m-14 | e-6 |
| 32 | c-1 | c-14 | m-5 | 88 | m-3 | h-5 | e-10 |
| 33 | e-11 | d-7 | m-9 | 89 | d-9 | h-9 | s-1 |
| 34 | cor-11 | e-11 | v-10 | 90 | e-7 | e-12 | d-10 |
| 35 | d-11 | h-2 | e-3 | 91 | s-9 | s-14 | e-12 |
| 36 | m-11 | d-10 | cor-6 | 92 | cor-1 | cor-3 | cor-12 |
| 37 | c-14 | c-5 | v-6 | 93 | h-4 | h-4 | e-13 |
| 38 | d-13 | h-1 | h-8 | 94 | m-1 | s-6 | s-11 |
| 39 | s-2 | c-9 | h-2 | 95 | s-4 | e-10 | d-5 |
| 40 | v-14 | c-13 | c-4 | 96 | h-3 | d-2 | s-3 |
| 41 | e-8 | d-6 | c-13 | 97 | s-14 | s-10 | d-9 |
| 42 | d-3 | cor-1 | c-1 | 98 | h-14 | d-1 | e-5 |
| 43 | cor-4 | e-8 | cor-14 | 99 | e-14 | e-6 | e-9 |
| 44 | d-7 | v-14 | v-7 | 100 | e-6 | e-13 | s-8 |
| 45 | cor-6 | v-5 | c-10 | 101 | e-10 | v-1 | d-1 |
| 46 | cor-10 | v-9 | cor-4 | 102 | c-3 | s-12 | h-12 |
| 47 | h-11 | s-2 | h-13 | 103 | h-10 | s-4 | e-4 |
| 48 | cor-14 | m-13 | d-12 | 104 | h-12 | s-9 | d-14 |
| 49 | d-1 | e-3 | m-3 | 105 | e-5 | s-5 | s-14 |
| 50 | h-8 | cor-14 | c-6 | 106 | e-9 | e-5 | v-3 |
| 51 | v-6 | v-13 | m-2 | 107 | cor-2 | e-9 | s-12 |
| 52 | m-14 | h-8 | v-14 | 108 | e-12 | e-7 | e-7 |
| 53 | d-14 | c-8 | c-7 | 109 | s-12 | e-14 | s-4 |
| 54 | cor-5 | m-5 | s-10 | 110 | h-6 | cor-2 | e-14 |
| 55 | s-3 | m-9 | cor-5 | 111 | h-5 | m-1 | s-7 |
| 56 | cor-9 | m-10 | cor-9 | 112 | h-9 | e-4 | d-2 |
| Stage | Tuber Formation | Tuber Growth | Starch Accumulation | ||||||||||
|---|---|---|---|---|---|---|---|---|---|---|---|---|---|
| Mode | VIs | VIs + TIs | VIs + VITs | VIs + VITs + Hdsm | VIs | VIs + TIs | VIs + VITs | VIs + VITs + Hdsm | VIs | VIs + TIs | VIs + VITs | VIs + VITs + Hdsm | |
| PLSR | R2 | 0.67 | 0.71 | 0.74 | 0.76 | 0.4 | 0.6 | 0.6 | 0.61 | 0.43 | 0.69 | 0.74 | 0.75 |
| MAE | 0.26 | 0.25 | 0.23 | 0.22 | 0.29 | 0.26 | 0.25 | 0.25 | 0.37 | 0.27 | 0.25 | 0.25 | |
| RMSE | 0.32 | 0.3 | 0.29 | 0.28 | 0.38 | 0.32 | 0.32 | 0.31 | 0.49 | 0.36 | 0.33 | 0.33 | |
| SVR | R2 | 0.53 | 0.65 | 0.66 | 0.69 | 0.54 | 0.56 | 0.58 | 0.6 | 0.57 | 0.66 | 0.7 | 0.71 |
| MAE | 0.29 | 0.27 | 0.25 | 0.24 | 0.25 | 0.24 | 0.25 | 0.24 | 0.31 | 0.26 | 0.25 | 0.25 | |
| RMSE | 0.38 | 0.33 | 0.33 | 0.31 | 0.35 | 0.34 | 0.33 | 0.32 | 0.43 | 0.38 | 0.36 | 0.35 | |
| RF | R2 | 0.61 | 0.7 | 0.72 | 0.76 | 0.66 | 0.71 | 0.8 | 0.84 | 0.63 | 0.82 | 0.85 | 0.88 |
| MAE | 0.16 | 0.15 | 0.14 | 0.12 | 0.15 | 0.15 | 0.13 | 0.14 | 0.18 | 0.18 | 0.15 | 0.13 | |
| RMSE | 0.35 | 0.3 | 0.29 | 0.27 | 0.3 | 0.27 | 0.23 | 0.21 | 0.4 | 0.28 | 0.25 | 0.23 | |
| XGboost | R2 | 0.71 | 0.87 | 0.87 | 0.92 | 0.69 | 0.71 | 0.78 | 0.83 | 0.76 | 0.86 | 0.92 | 0.93 |
| MAE | 0.24 | 0.18 | 0.16 | 0.12 | 0.25 | 0.22 | 0.19 | 0.17 | 0.21 | 0.2 | 0.14 | 0.14 | |
| RMSE | 0.3 | 0.22 | 0.2 | 0.16 | 0.29 | 0.28 | 0.24 | 0.21 | 0.32 | 0.25 | 0.18 | 0.17 | |
Disclaimer/Publisher’s Note: The statements, opinions and data contained in all publications are solely those of the individual author(s) and contributor(s) and not of MDPI and/or the editor(s). MDPI and/or the editor(s) disclaim responsibility for any injury to people or property resulting from any ideas, methods, instructions or products referred to in the content. |
© 2023 by the authors. Licensee MDPI, Basel, Switzerland. This article is an open access article distributed under the terms and conditions of the Creative Commons Attribution (CC BY) license (https://creativecommons.org/licenses/by/4.0/).
Share and Cite
Bian, M.; Chen, Z.; Fan, Y.; Ma, Y.; Liu, Y.; Chen, R.; Feng, H. Integrating Spectral, Textural, and Morphological Data for Potato LAI Estimation from UAV Images. Agronomy 2023, 13, 3070. https://doi.org/10.3390/agronomy13123070
Bian M, Chen Z, Fan Y, Ma Y, Liu Y, Chen R, Feng H. Integrating Spectral, Textural, and Morphological Data for Potato LAI Estimation from UAV Images. Agronomy. 2023; 13(12):3070. https://doi.org/10.3390/agronomy13123070
Chicago/Turabian StyleBian, Mingbo, Zhichao Chen, Yiguang Fan, Yanpeng Ma, Yang Liu, Riqiang Chen, and Haikuan Feng. 2023. "Integrating Spectral, Textural, and Morphological Data for Potato LAI Estimation from UAV Images" Agronomy 13, no. 12: 3070. https://doi.org/10.3390/agronomy13123070
APA StyleBian, M., Chen, Z., Fan, Y., Ma, Y., Liu, Y., Chen, R., & Feng, H. (2023). Integrating Spectral, Textural, and Morphological Data for Potato LAI Estimation from UAV Images. Agronomy, 13(12), 3070. https://doi.org/10.3390/agronomy13123070

