Effects of Cellulosic Carbon Addition on Nitrogen Removal from Simulated Dry Land Drainage, and Its Environmental Effects
Abstract
:1. Introduction
- (1)
- Investigate the dynamic changes in ammonia/nitrate and greenhouse gas emissions in water bodies resulting from the addition of three cellulosic carbon sources during summer and winter.
- (2)
- Compare denitrification rates with different cellulosic carbon additions in simulating dry land drainage.
- (3)
- Assess environmental effects, primarily concerning phenolic acid and COD, associated with the introduction of cellulosic carbon.
2. Materials and Methods
2.1. Experiment Design
2.2. Sample Collection and Determination
2.3. Denitrification Test
2.3.1. Sample Collection and Cultivation
2.3.2. Calculation of the Conversion of Electronic Signal Values and Concentrations
2.4. Data Processing and Analysis
3. Results
3.1. N Removal
3.1.1. Winter Test
3.1.2. Summer Test
3.2. Greenhouse Gas Emission
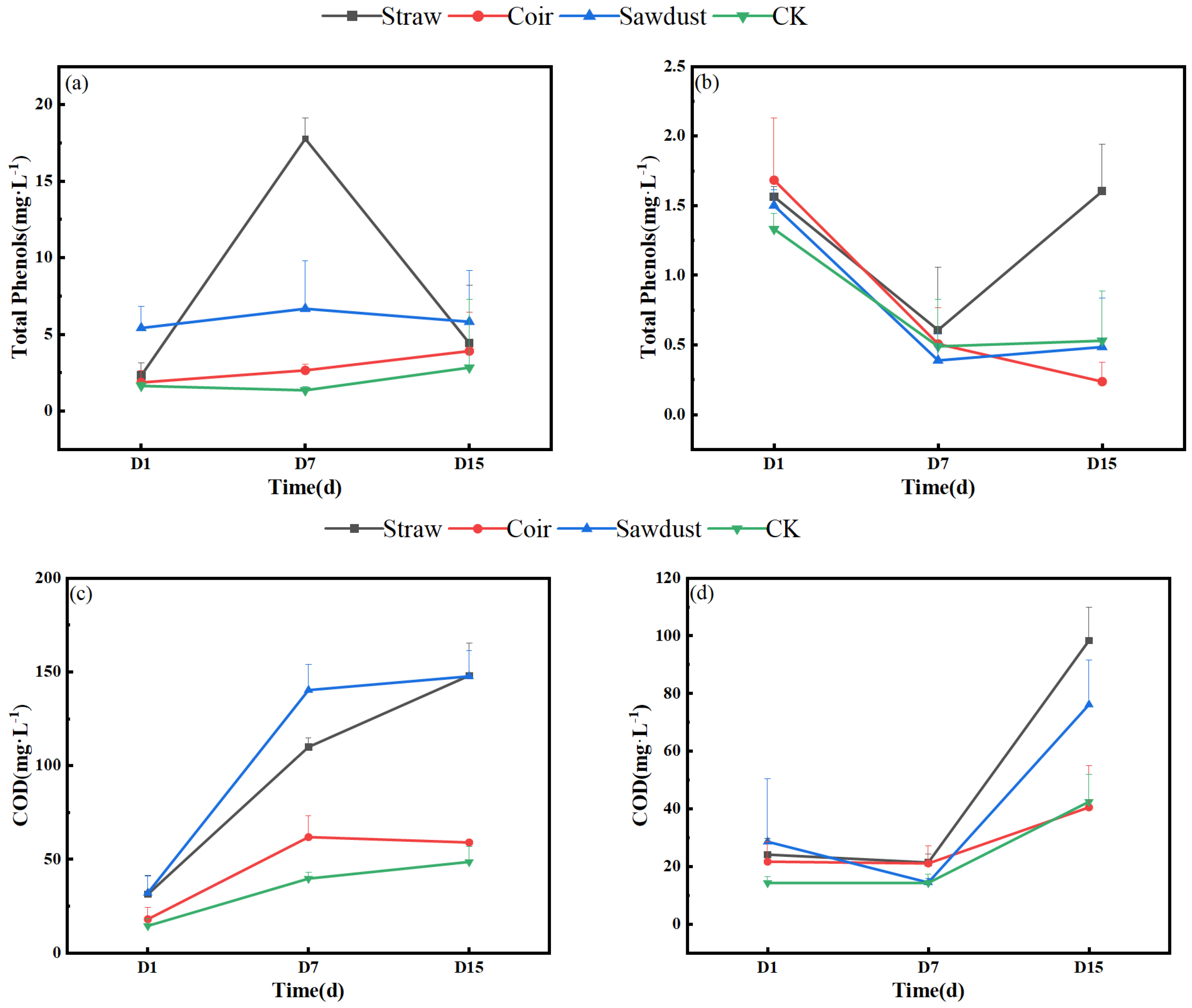
3.3. Changes in Total Phenolic Acid and COD
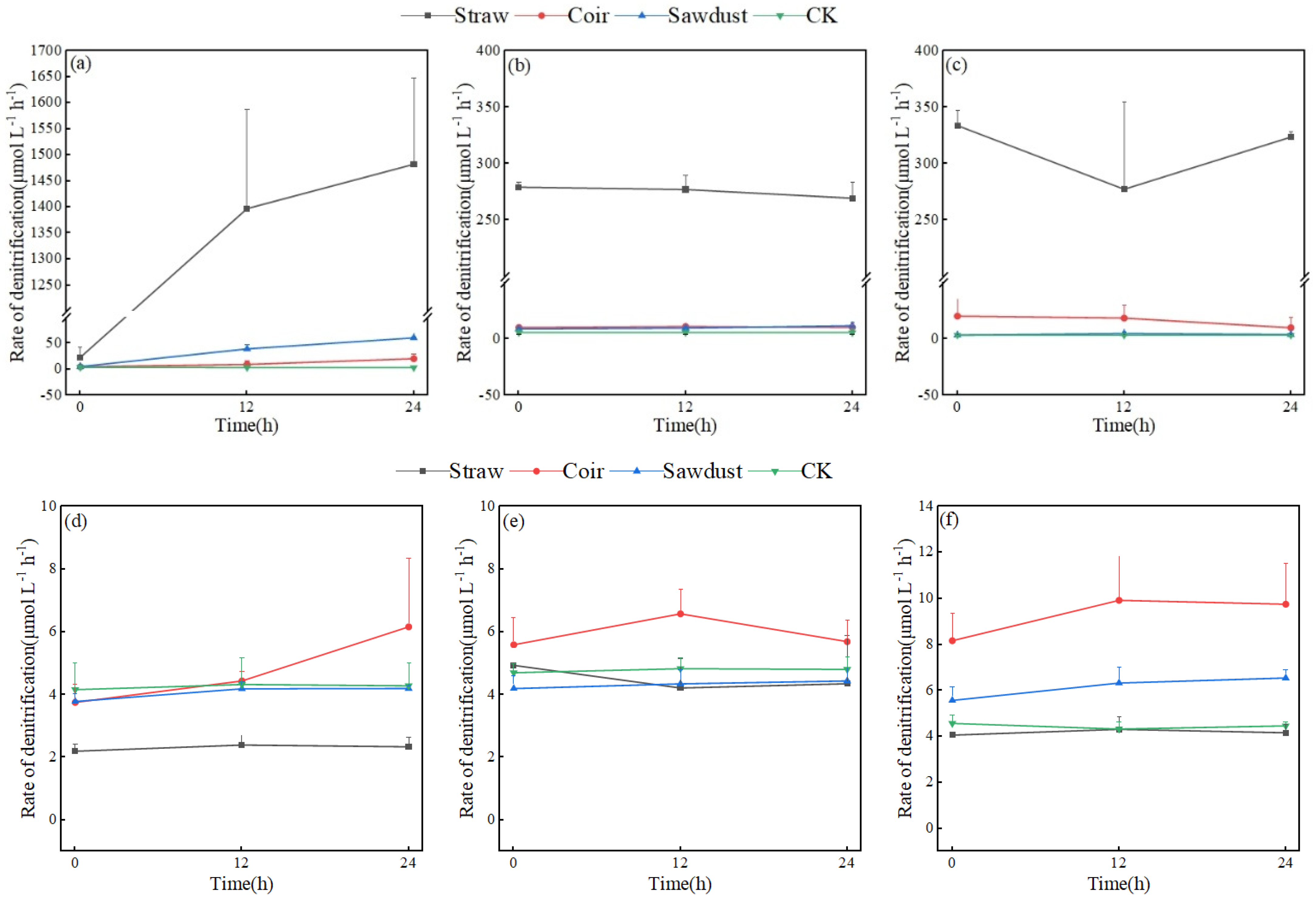
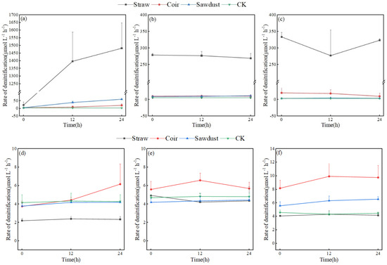
3.4. Variation in Denitrification Rate of the Water Body
3.5. Correlation Analysis of Denitrification Rate and Environmental Factors
4. Discussion
4.1. Effect of Cellulosic Carbon Addition on N Removal from Water Bodies
4.2. Effect of Cellulosic Carbon Addition on Denitrification
4.3. Environmental Impact of Carbon Source Addition
5. Conclusions
- (1)
- Seasonal Differences: Seasonal variations were observed in the effects of cellulosic carbon addition on N removal and greenhouse gas emissions. The addition of straw was effective in removing NO3−-N in both seasons. However, in summer, it led to a significant release of NH4+-N in the early stages of the experiment.
- (2)
- Greenhouse Gas Emissions: With the exception of sawdust addition, the introduction of cellulosic carbon did not significantly increase greenhouse gas emissions in summer. This suggests that, when properly managed, the addition of these materials can help improve N removal without substantially contributing to greenhouse gas emissions.
- (3)
- Denitrification Rate: The addition of straw significantly increased the denitrification rate, with a rapid initial increase to more than 1400 μmol·L−1·h−1, followed by a sustained promotion of denitrification at a rate of about 300 μmol·L−1·h−1 for an extended period. These denitrification rates were much higher than those achieved with coir and wood chips.
- (4)
- Environmental Impact: Unfortunately, the addition of straw in the summer led to an increase in COD and total phenolic acid concentrations in the water, indicating a negative environmental impact in terms of water quality. In contrast, cellulosic carbon sources were found to be more effective and less environmentally impactful in lower temperature seasons.
Supplementary Materials
Author Contributions
Funding
Data Availability Statement
Acknowledgments
Conflicts of Interest
References
- Ma, L. Study on the Effect of Organic Fertilizer Dosed with Nitrogen Fertilizer and Nitrogen Destination of Organic Fertilizer in Dryland Wheat Fields Based on ~(15)N Marker. Ph.D. Dissertation, Northwest Agriculture and Forestry University, Xianyang, China, 2022. [Google Scholar]
- Zhang, A.; Yang, S.; Yang, Z.; Wang, W. Transform waste straw into water-holding fertilizer: A targeted modification strategy of functional groups. React. Funct. Polym. 2023, 186, 105571. [Google Scholar] [CrossRef]
- Guo, L.; Zhao, J. Effect of burning straw in rural areas on ecological environment quality. Arab. J. Geosci. 2021, 14, 1357. [Google Scholar] [CrossRef]
- Zhang, K.; Yang, S.; Wang, W.; Luo, H.; Chen, W.; Zhang, X.; Xiao, W. Bioelectrochemical processes and cellulosic carbon source enhance the autotrophic and heterotrophic denitrification of low C/N ratio wastewater in tidal flow constructed wetland-microbial fuel cells. J. Clean. Prod. 2022, 363, 132368. [Google Scholar] [CrossRef]
- Tao, Y.; Dai, Y.; Zhang, Z.; Geng, M.; Liu, F.; Na, H.; Zhu, J. Formation of hydroxyl-rich carbon layer coated silica microspheres and its application to enhance hydrolysis of cellulose to sugar. Carbon 2023, 202, 276–285. [Google Scholar] [CrossRef]
- Zhao, Y.J.; Hui, Z.; Chao, X.; Nie, E.; Li, H.J.; He, J.; Zheng, Z. Efficiency of two-stage combinations of subsurface vertical down-flow and up-flow constructed wetland systems for treating variation in influent C/N ratios of domestic wastewater. Ecol. Eng. 2020, 37, 1546–1554. [Google Scholar] [CrossRef]
- von Ahnen, M.; Dalsgaard, J.; Pedersen, P.B. Effect of different C/N ratios and hydraulic retention times on denitrification in Saline, recirculating aquaculture system effluents. Aquac. Eng. 2021, 94, 102170. [Google Scholar] [CrossRef]
- Zhang, H.Y.; Yang, Q.X.; Yang, Q.; Ren, L.P.; Wang, J.G.; Ren, D. Composition and photochemical activity characterization of dissolved organic matter from straw sources in aqueous environments. Chin. Environ. Sci. 2020, 40, 2521–2528. [Google Scholar]
- He, S. Characterization of N2O Release during Biological Denitrification of Wastewater. Master’s Thesis, Chang’an University, Xi’an, China, 2015. [Google Scholar]
- Cameron, S.G.; Schipper, L.A. Nitrate removal and hydraulic performance of organic carbon for use in denitrification beds. Ecol. Eng. 2010, 36, 1588–1595. [Google Scholar] [CrossRef]
- Li, P.; Peng, Y.; Wang, S.; Liu, Y. N2O emission from partial nitrification and full nitrification in domestic wastewater treatment process. Water 2022, 14, 3195. [Google Scholar] [CrossRef]
- Wei, W.; Tong, J.; Hu, B.X. Study on ecological dynamic model for phytoremediation of farmland drainage water. J. Hydrol. 2019, 578, 124026. [Google Scholar] [CrossRef]
- Fan, H.X.; Xu, L.G.; Zhao, X.; Hu, Y.F. Study on nitrogen loss process in typical rice-wheat crop rotation farmland area in Taihu Lake Basin. J. Ecol. Environ. 2015, 2, 255–262. [Google Scholar]
- Wang, W.; Sardans, J.; Wang, C.; Zeng, C.; Tong, C.; Asensio, D.; Peñuelas, J. Relationships between the potential production of the greenhouse gases CO2, CH4 and N2O and soil concentrations of C, N and P across 26 paddy fields in southeastern China. Atmos. Environ. 2017, 164, 458–467. [Google Scholar] [CrossRef]
- Gao, W.; Wang, X.X.; Xie, J.Z.; Chen, Y.H.; Ni, X.H.; Wang, J.C.; Cao, B. Effects of controlled-release blended fertilizers on crop yield and greenhouse gas emissions in wheat and jade rotation system. Environ. Sci. 2023. [Google Scholar] [CrossRef]
- Blum, U.; Wentworth, T.R.; Klein, K.; Worsham, A.D.; King, L.D.; Gerig, T.M.; Lyu, S.-W. Phenolic acid content of soils from wheat-no till, wheat-conventional till, and fallow-conventional till soybean cropping systems. J. Chem. Ecol. 1991, 17, 1045–1068. [Google Scholar] [CrossRef] [PubMed]
- Li, C.; Xu, H.; Zhan, X.; Zhu, G.; Qin, B.; Zhang, Y. Effects of cyanobacterial blooms on denitrification in the water column of Lake Taihu. Environ. Sci. 2019, 44, 4977–4984. [Google Scholar]
- Zhao, L.F.; Zhu, W.; Gao, Q. Supplementary plant carbon sources to improve nitrogen removal efficiency in artificial wetlands. Journal of the People’s Liberation Army University of Science and Technology. Nat. Sci. Ed. 2009, 6, 644–649. [Google Scholar]
- Picard, C.R.; Fraser, L.H.; Steer, D. The interacting effects of temperature and plant community type on nutrient removal in wetland microcosms. Bioresour. Technol. 2005, 96, 1039–1047. [Google Scholar] [CrossRef]
- Brodrick, S.J.; Cullen, P.; Maher, W. Denitrification in a natural wetland receiving secondary treated effluent. Water Res. 1988, 22, 431–439. [Google Scholar] [CrossRef]
- Christianson, L.E.; Hoover, N.; Bhandari, A.; Helmers, M.J. Technical note: The potential of municipal yard waste to be denitrification bioreactor fill. Appl. Eng. Agric. 2012, 28, 853–859. [Google Scholar] [CrossRef]
- Xu, Y. Effect of pH and temperature on denitrification. Chin. Environ. Sci. 1994, 14, 308–313. [Google Scholar]
- Koskinen, W.C.; Keeney, D.R. Effect of pH on the rate of gaseous products of denitrification in a silt loam soil. Soil Sci. Soc. Am. J. 1982, 46, 1165–1167. [Google Scholar] [CrossRef]
- Liu, B.; Mørkved, P.T.; Frostegård, Å.; Bakken, L.R. Denitrification gene pools, transcription and kinetics of NO, N2O and N2 production as affected by Soil Ph. FEMS Microbiol. Ecol. 2010, 72, 407–417. [Google Scholar] [CrossRef] [PubMed]
- Her, J.J.; Huang, J.S. Influences of carbon source and C/N ratio on nitrate/nitrite denitrification and carbon breakthrough. Bioresour. Technol. 1995, 54, 45–51. [Google Scholar] [CrossRef]
- She, D.; Zhang, L.; Gao, X.; Yan, X.; Zhao, X.; Xie, W.; Cheng, Y.; Xia, Y. Limited n removal by denitrification in agricultural drainage ditches in the Taihu Lake region of China. J. Soils Sediments 2017, 18, 1110–1119. [Google Scholar] [CrossRef]
- Pettit, N.E.; Davies, T.; Fellman, J.B.; Grierson, P.F.; Warfe, D.M.; Davies, P.M. Leaf litter chemistry, decomposition and assimilation by macroinvertebrates in two tropical streams. Hydrobiologia 2011, 680, 63–77. [Google Scholar] [CrossRef]
- Zhao, Y.; Wang, H.; Dong, W.; Chang, Y.; Yan, G.; Chu, Z.; Ling, Y.; Wang, Z.; Fan, T.; Li, C. Nitrogen Removal and microbial community for the treatment of rural domestic sewage with low C/N ratio by A/O biofilter with Arundo donax as carbon source and Filter Media. J. Water Process Eng. 2020, 37, 101509. [Google Scholar] [CrossRef]
- Zhang, X.X.; Zhao, R.X.; Zhao, J.Q. A new species of the genus Pterostichus (Hymenoptera, Staphylinidae). Study on the effect of carbon to nitrogen ratio on NO and N2O accumulation during nitrite denitrification. Water Supply Drain. 2020, 2011, 86–91. [Google Scholar]
- Hasegawa, K.; Hanaki, K.; Matsuo, T.; Hidaka, S. Nitrous oxide from the agricultural water system contaminated with high nitrogen. Chemosphere-Glob. Chang. Sci. 2000, 2, 335–345. [Google Scholar] [CrossRef]
- Dong, H.W. Characterization of CO2, CH4 and N2O fluxes in ditch ecosystems and their influencing factors in the hilly area of central Sichuan. Doctoral Dissertation, Chongqing Normal University, Chongqing, China, 2015. [Google Scholar]






| Group | N | P | K |
|---|---|---|---|
| Straw | 4.572 ± 0.959 | 0.823 ± 0.075 | 22.924 ± 1.630 |
| Coir | 3.349 ± 0.265 | 0.345 ± 0.232 | 0.959 ± 0.018 |
| Sawdust | 0.569 ± 0.123 | 0.109 ± 0.012 | 6.550 ± 1.483 |
| Straw | Coir | Sawdust | CK | ||
|---|---|---|---|---|---|
| Stage I | Total emission of N2O | 15.22 ± 5.33a | 6.87 ± 5.49a | 11.78 ± 4.55a | 5.87 ± 3.01a |
| Total emission of CH4 | 23.28 ± 5.96ab | 16.08 ± 14.88b | 27.03 ± 10.73ab | 50.41 ± 24.88a | |
| GWP | 5117.56 ± 1737.34a | 2449.26 ± 2008.02a | 4186.19 ± 1624.15a | 3009.51 ± 1518.98a | |
| Stage II | Total emission of N2O | 40.37 ± 6.29a | 24.89 ± 8.41a | 9.54 ± 23.43a | 4.49 ± 9.28a |
| Total emission of CH4 | 8.19 ± 3.15a | 7.72 ± 0.28a | 1.57 ± 20.64a | 0.19 ± 2.01a | |
| GWP | 12,235.01 ± 1953.17a | 7610.22 ± 2513.18a | 2882.17 ± 7498.14a | 1342.77 ± 2815.69a | |
| Straw | Coir | Sawdust | CK | ||
|---|---|---|---|---|---|
| Stage I | Total emission of N2O | 11.11 ± 3.37b | 4.18 ± 0.51bc | 43.03 ± 5.41a | 1.02 ± 0.95c |
| Total emission of CH4 | 10.18 ± 0.39a | 3.26 ± 1.45ab | −35.51 ± 5.32c | −12.66 ± 12.43b | |
| GWP | 3565.28 ± 1014.01b | 1327.14 ± 188.23bc | 11,935.19 ± 1745.18a | −12.54 ± 593.85c | |
| Stage II | Total emission of N2O | 8.71 ± 2.21a | 2.35 ± 0.28b | 7.00 ± 1.37b | −3.53 ± 2.59c |
| Total emission of CH4 | 11.32 ± 7.33a | 19.29 ± 5.01a | −14.40 ± 9.97b | 17.17 ± 4.55a | |
| GWP | 4022.90 ± 2138.13a | 1245.13 ± 247.43b | 1726.00 ± 657.51b | −622.69 ± 885.57c |
| Rate of Denitrification | Stage I | Stage II | |||||||||||
|---|---|---|---|---|---|---|---|---|---|---|---|---|---|
| Analysis Index | C/N | pH | DO | Temperature | NO3−-N | NH4+-N | C/N | pH | DO | Temperature | NO3−-N | NH4+-N | |
| Straw | P | 0.128 | 0.977 | 0.970 | 0.092 | 0.025 * | 0.758 | 0.853 | 0.965 | 0.070 | 0.421 | 0.985 | 0.705 |
| r2 | −0.980 | −0.036 | 0.047 | −0.989 | 0.999 | 0.371 | 0.229 | 0.055 | −0.994 | 0.789 | 0.024 | 0.448 | |
| Coir | P | 0.267 | 0.612 | 0.118 | 0.008 ** | 0.037 * | 0.300 | 0.768 | 0.161 | 0.741 | 0.988 | 0.025 * | 0.652 |
| r2 | −0.913 | −0.572 | 0.983 | −1.000 | 0.998 | −0.891 | 0.357 | 0.968 | −0.396 | −0.019 | 0.999 | −0.519 | |
| Sawdust | P | 0.188 | 0.097 | 0.006 ** | 0.053 | 0.975 | 0.123 | 0.106 | 0.076 | 0.871 | 0.902 | 0.344 | 0.282 |
| r2 | −0.957 | −0.988 | 1.000 | −0.997 | −0.040 | −0.981 | 0.986 | 0.993 | 0.201 | −0.153 | 0.857 | −0.903 | |
| CK | P | 0.879 | 0.860 | 0.282 | 0.814 | 0.400 | 0.967 | 0.811 | 0.898 | 0.825 | 0.081 | 0.721 | 0.691 |
| r2 | 0.188 | 0.218 | 0.903 | 0.288 | 0.809 | 0.052 | 0.292 | 0.160 | −0.272 | 0.992 | −0.424 | 0.466 | |
Disclaimer/Publisher’s Note: The statements, opinions and data contained in all publications are solely those of the individual author(s) and contributor(s) and not of MDPI and/or the editor(s). MDPI and/or the editor(s) disclaim responsibility for any injury to people or property resulting from any ideas, methods, instructions or products referred to in the content. |
© 2023 by the authors. Licensee MDPI, Basel, Switzerland. This article is an open access article distributed under the terms and conditions of the Creative Commons Attribution (CC BY) license (https://creativecommons.org/licenses/by/4.0/).
Share and Cite
Duan, J.; Cao, P.; Shu, T.; Zhou, B.; Xue, L.; Yang, L. Effects of Cellulosic Carbon Addition on Nitrogen Removal from Simulated Dry Land Drainage, and Its Environmental Effects. Agronomy 2023, 13, 3044. https://doi.org/10.3390/agronomy13123044
Duan J, Cao P, Shu T, Zhou B, Xue L, Yang L. Effects of Cellulosic Carbon Addition on Nitrogen Removal from Simulated Dry Land Drainage, and Its Environmental Effects. Agronomy. 2023; 13(12):3044. https://doi.org/10.3390/agronomy13123044
Chicago/Turabian StyleDuan, Jingjing, Pengpeng Cao, Tong Shu, Beibei Zhou, Lihong Xue, and Linzhang Yang. 2023. "Effects of Cellulosic Carbon Addition on Nitrogen Removal from Simulated Dry Land Drainage, and Its Environmental Effects" Agronomy 13, no. 12: 3044. https://doi.org/10.3390/agronomy13123044
APA StyleDuan, J., Cao, P., Shu, T., Zhou, B., Xue, L., & Yang, L. (2023). Effects of Cellulosic Carbon Addition on Nitrogen Removal from Simulated Dry Land Drainage, and Its Environmental Effects. Agronomy, 13(12), 3044. https://doi.org/10.3390/agronomy13123044
