Effect of Short-Term Organic Matter Returns on Soil Organic Carbon Fractions, Phosphorus Fractions and Microbial Community in Cold Region of China
Abstract
:1. Introduction
2. Materials and Methods
2.1. Experimental Design
2.2. Plant and Soil Sampling
2.3. Analysis Method of Soil C and P Fractions
2.4. Soil Bacterial DNA Extraction and Sequencing
2.5. Data Analysis
3. Results
3.1. Rice Yield
3.2. Soil TOC and Active SOC Fractions
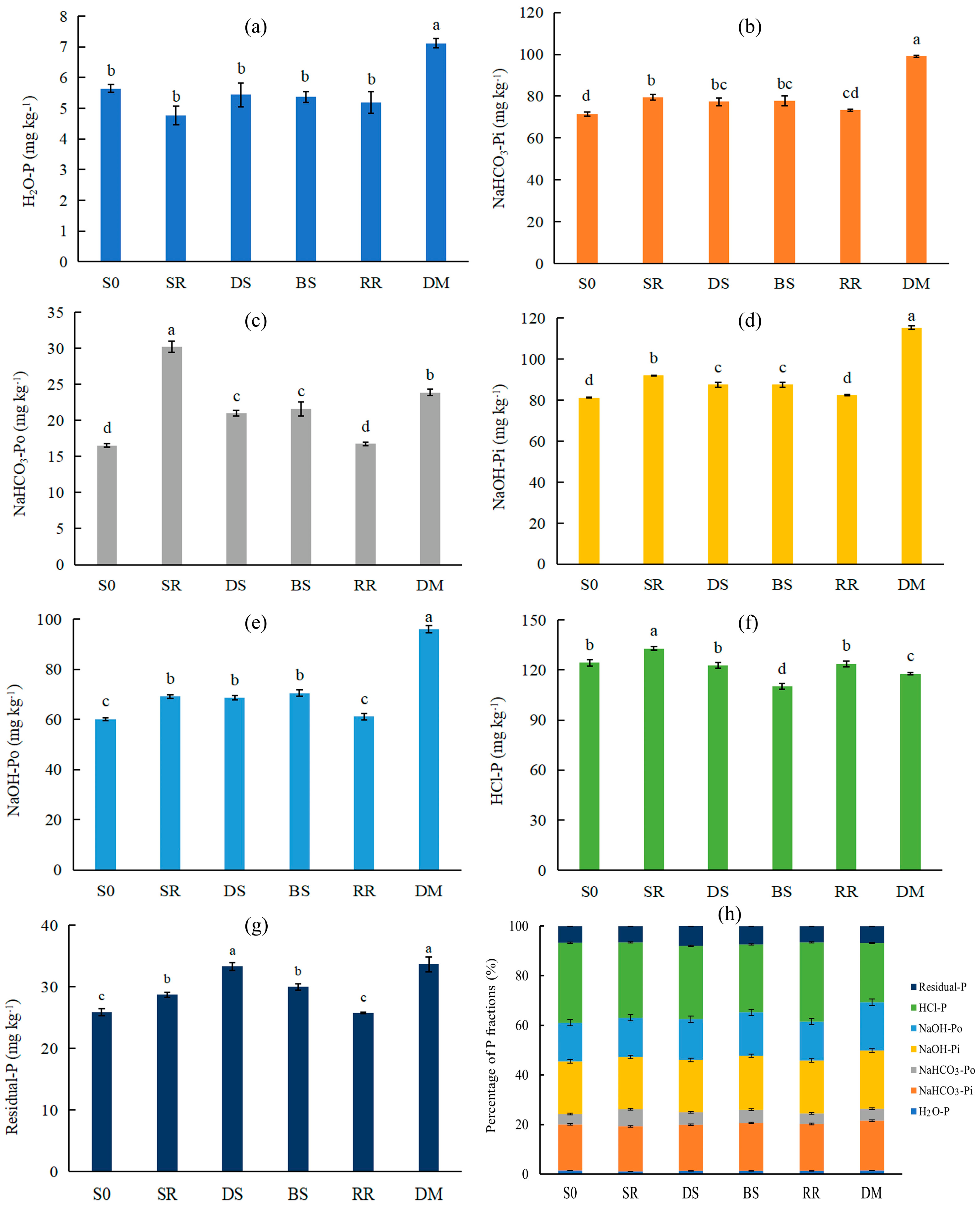
3.3. Soil P Contents
3.4. Correlation between Rice Yield, SOC Fractions and P Contents
3.5. Microbial Richness and Diversity
3.6. Composition of the Microbial Community
3.7. Relationship between the Soil Microbial Community and Environmental Factors
4. Discussion
4.1. Changes in Rice Yield
4.2. Changes in SOC Fractions
4.3. Changes in Soil P Content
4.4. Correlations between Rice Yield, SOC Fractions and P Fractions
4.5. Changes in Microbial Community Composition
4.6. Relationship between Soil C and P Fractions and Soil Microbial Communities
5. Conclusions
Supplementary Materials
Author Contributions
Funding
Data Availability Statement
Conflicts of Interest
References
- Xu, X.; Pei, J.; Xu, Y.; Wang, J. Soil organic carbon depletion in global Mollisols regions and restoration by management practices: a review. J. Soils Sediments 2020, 20, 1173–1181. [Google Scholar] [CrossRef]
- Xie, Z.; Zhu, J.; Liu, G.; Cadisch, G.; Hasegawa, T.; Chen, C.; Sun, H.; Tang, H.; Zeng, Q. Soil organic carbon stocks in China and changes from 1980s to 2000s. Glob. Chang. Biol. 2007, 13, 1989–2007. [Google Scholar] [CrossRef]
- Johnston, A.E.; Poulton, P.R.; Coleman, K. Soil organic matter: its importance in sustainable agriculture and carbon dioxide fluxes. Adv. Agron. 2009, 101, 1–57. [Google Scholar]
- Sądej, W.; Żołnowski, A.C. Comparison of the effect of various long-term fertilization systems on the content and fractional composition of humic compounds in Lessive soil. Plant Soil Environ. 2019, 65, 172–180. [Google Scholar] [CrossRef]
- Sleutel, S.; Neve, S.D.; Singier, B.; Hofman, G. Organic C levels in intensively managed arable soils–long-term regional trends and characterization of fractions. Soil Use Manag. 2006, 22, 188–196. [Google Scholar] [CrossRef]
- Benbi, D.K.; Senapati, N. Soil aggregation and carbon and nitrogen stabilization in relation to residue and manure application in rice–wheat systems in northwest India. Nutr. Cycl. Agroecosyst. 2010, 87, 233–247. [Google Scholar] [CrossRef]
- Wang, W.; Lai, D.Y.F.; Wang, C.; Pan, T.; Zeng, C. Effects of rice straw incorporation on active soil organic carbon pools in a subtropical paddy field. Soil Tillage Res. 2015, 152, 8–16. [Google Scholar] [CrossRef]
- Yadvinder, S.; Bijay, S.; Timsina, J. Crop residue management for nutrient cycling and improving soil productivity in rice-based cropping systems in the tropics. Adv. Agron. 2005, 85, 269–407. [Google Scholar]
- Huang, W.; Wu, J.; Pan, X.; Tan, X.; Zeng, Y.; Shi, Q.; Liu, T.; Zeng, Y. Effects of long-term straw return on soil organic carbon fractions and enzyme activities in a double-cropped rice paddy in South China. J. Integr. Agric. 2021, 20, 236–247. [Google Scholar] [CrossRef]
- Yan, D.; Wang, D.; Yang, L. Long-term effect of chemical fertilizer, straw, and manure on labile organic matter fractions in a paddy soil. Biol. Fertil. Soils 2007, 44, 93–101. [Google Scholar] [CrossRef]
- Sanyal, S.K.; De Datta, S.K. Chemistry of Phosphorus Transformations in Soil: Advances in Soil Science; Springer: New York, NY, USA, 1991; Volume 16. [Google Scholar]
- Malik, M.A.; Marschner, P.; Khan, K.S. Addition of organic and inorganic P sources to soil–Effects on P pools and microorganisms. Soil Biol. Biochem. 2012, 49, 106–113. [Google Scholar] [CrossRef]
- Wei, Z.; Wu, J.; Yan, X.; Ni, G. Phosphorus and carbon status of a paddy soil under different fertilization regimes. J. Soils Sediments 2016, 16, 1727–1734. [Google Scholar] [CrossRef]
- Gupta, R.K.; Yadvinder, S.; Ladha, J.K.; Bijay, S.; Singh, J.; Singh, G.; Pathak, H. Yield and phosphorus transformations in a rice wheat system with crop residue and phosphorus management. Soil Sci. Soc. Am. J. 2007, 71, 1500–1507. [Google Scholar] [CrossRef]
- Regmi, A.P.; Ladha, J.K.; Pathak, H.; Pasuquin, E.; Bueno, C.; Dawe, D.; Hobbs, P.R.; Joshy, D.; Maskey, S.L.; Pandey, S.P. Yield and soil fertility trends in a 20-year rice–rice–wheat experiment in Nepal. Soil Sci. Soc. Am. J. 2002, 66, 857–867. [Google Scholar] [CrossRef]
- Zhong, W.; Gu, T.; Wang, W.; Zhang, B.; Lin, X.; Huang, Q.; Shen, W. The effects of mineral fertilizer and organic manure on soil microbial community and diversity. Plant Soil 2010, 326, 511–522. [Google Scholar] [CrossRef]
- Wu, M.; Qin, H.; Chen, Z.; Wu, J.; Wei, W. Effect of long-term fertilization on bacterial composition in rice paddy soil. Biol. Fertil. Soils 2011, 47, 397–405. [Google Scholar] [CrossRef]
- Sun, J.; Zhang, Q.; Zhou, J.; Wei, Q. Pyrosequencing technology reveals the impact of different manure doses on the bacterial community in apple rhizosphere soil. Appl. Soil Ecol. 2014, 78, 28–36. [Google Scholar] [CrossRef]
- Dong, W.; Zhang, X.; Dai, X.; Fu, X.; Yang, F.; Liu, X.; Sun, X.; Wen, X.; Schaeffer, S. Changes in soil microbial community composition in response to fertilization of paddy soils in subtropical China. Appl. Soil Ecol. 2014, 84, 140–147. [Google Scholar] [CrossRef]
- Zhao, Y.; Wang, P.; Li, J.; Chen, Y.; Ying, X.; Liu, S. The effects of two organic manures on soil properties and crop yields on a temperate calcareous soil under a wheat–maize cropping system. Eur. J. Agron. 2009, 31, 36–42. [Google Scholar] [CrossRef]
- Beri, V.; Sidhu, B.S.; Bahl, G.S.; Bhat, A.K. Nitrogen and phosphorus transformations as affected by crop residue management practices and their influence on crop yield. Soil Use Manag. 1995, 11, 51–54. [Google Scholar] [CrossRef]
- Huang, S.; Zeng, Y.; Wu, J.; Shi, Q.; Pan, X. Effect of crop residue retention on rice yield in China: A meta-analysis. Field Crops Res. 2013, 154, 188–194. [Google Scholar] [CrossRef]
- Bai, J.; Ouyang, H.; Deng, W.; Zhu, Y.; Zhang, X.; Wang, Q. Spatial distribution characteristics of organic matter and total nitrogen of marsh soils in river marginal wetlands. Geoderma 2005, 124, 181–192. [Google Scholar] [CrossRef]
- Lu, R. Methods of Agricultural Chemical Analysis of Soil; China Agricultural Science and Technology Press: Beijing, China, 2000. [Google Scholar]
- Yan, S.; Song, J.; Fan, J.; Yan, C.; Dong, S.; Ma, C.; Gong, Z. Changes in soil organic carbon fractions and microbial community under rice straw return in Northeast China. Glob. Ecol. Conserv. 2020, 22, e00962. [Google Scholar] [CrossRef]
- Yan, C.; Yan, S.; Jia, T.; Dong, S.; Ma, C.; Gong, Z. Decomposition characteristics of rice straw returned to the soil in northeast China. Nutr. Cycl. Agroecosyst. 2019, 114, 211–224. [Google Scholar] [CrossRef]
- Bai, Y.; Wang, L.; Lu, Y.; Yang, L.; Zhou, L.; Ni, L.; Cheng, M. Effects of long-term full straw return on yield and potassium response in wheat-maize rotation. J. Integr. Agric. 2015, 14, 2467–2476. [Google Scholar] [CrossRef]
- Vance, E.D.; Brookes, P.C.; Jenkinson, D.S. An extraction method for measuring soil microbial biomass C. Soil Biol. Biochem. 1987, 19, 703–707. [Google Scholar] [CrossRef]
- Vieira, F.C.B.; Bayer, C.; Zanatta, J.A.; Dieckow, J.; Mielniczuk, J.; He, Z.L. Carbon management index based on physical fractionation of soil organic matter in an Acrisol under long-term no-till cropping systems. Soil Tillage Res. 2007, 96, 195–204. [Google Scholar] [CrossRef]
- Cambardella, C.A.; Elliott, E.T. Particulate soil organic matter change across a grassland cultivation sequence. Soil Sci. Soc. Am. J. 1992, 56, 777–783. [Google Scholar] [CrossRef]
- Hedley, M.J.; Stewart, J.W.B.; Chauhan, B.S. Changes in inorganic and organic soil phosphorus fractions induced by cultivation practices and by laboratory incubations. Soil Sci. Soc. Am. J. 1982, 46, 970–976. [Google Scholar] [CrossRef]
- Caporaso, J.G.; Lauber, C.L.; Walters, W.A.; Berg-Lyons, D.; Lozupone, C.A.; Turnbaugh, P.J.; Fierer, N.; Knight, R. Global patterns of 16S rRNA diversity at a depth of millions of sequences per sample. Proc. Natl. Acad. Sci. USA 2011, 108 (Suppl. 1), 4516–4522. [Google Scholar] [CrossRef]
- Cui, Y.; Meng, J.; Wang, Q.; Zhang, W.; Cheng, X.; Chen, W. Effects of straw and biochar addition on soil nitrogen, carbon, and super rice yield in cold waterlogged paddy soils of North China. J. Integr. Agric. 2017, 16, 1064–1074. [Google Scholar] [CrossRef]
- Tanji, K.K.; Gao, S.; Scardaci, S.C.; Chow, A.T. Characterizing redox status of paddy soils with incorporated rice straw. Geoderma 2003, 114, 333–353. [Google Scholar] [CrossRef]
- Gao, S.; Tanji, K.K.; Scardaci, S.C. Impact of rice straw incorporation on soil redox status and sulfide toxicity. Agron. J. 2004, 96, 70–76. [Google Scholar] [CrossRef]
- Shan, Y.; Cai, Z.; Han, Y.; Johnson, S.E.; Buresh, R.J. Organic acid accumulation under flooded soil conditions in relation to the incorporation of wheat and rice straws with different C:N ratios. Soil Sci. Plant Nutr. 2008, 54, 46–56. [Google Scholar] [CrossRef]
- Bhattacharyya, P.; Nayak, A.K.; Shahid, M.; Tripathi, R.; Mohanty, S.; Kumar, A.; Raja, R.; Panda, B.B.; Lal, B.; Gautam, P.; et al. Effects of 42-year long-term fertilizer management on soil phosphorus availability, fractionation, adsorption–desorption isotherm and plant uptake in flooded tropical rice. Crop J. 2015, 3, 387–395. [Google Scholar] [CrossRef]
- Zhang, P.; Wei, T.; Li, Y.; Wang, K.; Jia, Z.; Han, Q.; Ren, X. Effects of straw incorporation on the stratification of the soil organic C, total N and C:N ratio in a semiarid region of China. Soil Tillage Res. 2015, 153, 28–35. [Google Scholar] [CrossRef]
- Hao, M.; Hu, H.; Liu, Z.; Dong, Q.; Sun, K.; Feng, Y.; Li, G.; Ning, T. Shifts in microbial community and carbon sequestration in farmland soil under long-term conservation tillage and straw returning. Appl. Soil Ecol. 2019, 136, 43–54. [Google Scholar] [CrossRef]
- Chen, Z.; Wang, H.; Liu, X.; Zhao, X.; Lu, D.; Zhou, J.; Li, C. Changes in soil microbial community and organic carbon fractions under short-term straw return in a rice–wheat cropping system. Soil Tillage Res. 2017, 165, 121–127. [Google Scholar] [CrossRef]
- Liu, M.; Hu, F.; Chen, X.; Huang, Q.; Jiao, J.; Zhang, B.; Li, H. Organic amendments with reduced chemical fertilizer promote soil microbial development and nutrient availability in a subtropical paddy field: The influence of quantity, type and application time of organic amendments. Appl. Soil Ecol. 2009, 42, 166–175. [Google Scholar] [CrossRef]
- Johnson, J.M.F.; Barbour, N.W.; Weyers, S.L. Chemical composition of crop biomass impacts its decomposition. Soil Sci. Soc. Am. J. 2007, 71, 155–162. [Google Scholar] [CrossRef]
- Wang, D.; Lin, J.Y.; Sayre, J.M.; Schmidt, R.; Fonte, S.J.; Rodrigues, J.L.M.; Scow, K.M. Compost amendment maintains soil structure and carbon storage by increasing available carbon and microbial biomass in agricultural soil—A six-year field study. Geoderma 2022, 427, 116117. [Google Scholar] [CrossRef]
- Jiang, B.; Shen, J.; Sun, M.; Hu, Y.; Jiang, W.; Wang, J.; Li, Y.; Wu, J. Soil phosphorus availability and rice phosphorus uptake in paddy fields under various agronomic practices. Pedosphere 2021, 31, 103–115. [Google Scholar] [CrossRef]
- Hua, K.; Zhang, W.; Guo, Z.; Wang, D.; Oenema, O. Evaluating crop response and environmental impact of the accumulation of phosphorus due to long-term manuring of vertisol soil in northern China. Agric. Ecosyst. Environ. 2016, 219, 101–110. [Google Scholar] [CrossRef]
- Damon, P.M.; Bowden, B.; Rose, T.; Rengel, Z. Crop residue contributions to phosphorus pools in agricultural soils: A review. Soil Biol. Biochem. 2014, 74, 127–137. [Google Scholar] [CrossRef]
- Blake, L.; Mercik, S.; Koerschens, M.; Moskal, S.; Poulton, P.R.; Goulding, K.W.T.; Weigel, A.; Powlson, D.S. Phosphorus content in soil, uptake by plants and balance in three European long-term field experiments. Nutr. Cycl. Agroecosyst. 2000, 56, 263–275. [Google Scholar] [CrossRef]
- Pagliari, P.H.; Laboski, C.A.M. Dairy manure treatment effects on manure phosphorus fractionation and changes in soil test phosphorus. Biol. Fertil. Soils 2013, 49, 987–999. [Google Scholar] [CrossRef]
- Ye, D.; Li, T.; Yu, H.; Chen, G.; Zheng, X.; Li, J. P accumulation of Polygonum hydropiper, soil P fractions and phosphatase activity as affected by swine manure. Appl. Soil Ecol. 2015, 86, 10–18. [Google Scholar] [CrossRef]
- Sharma, P.; Mishra, B. Effect of burning rice and wheat crop residues: loss of N, P, K and S from soil and changes in the nutrient availability. J. Indian Soc. Soil Sci. 2001, 49, 425–429. [Google Scholar]
- Reddy, D.D.; Kushwaha, S.; Srivastava, S.; Khamparia, R.S. Long-Term Wheat Residue Management and Supplementary Nutrient Input Effects on Phosphorus Fractions and Adsorption Behavior in a Vertisol. Commun. Soil Sci. Plant Anal. 2014, 45, 541–554. [Google Scholar] [CrossRef]
- Mao, X.; Xu, X.; Lu, K.; Gielen, G.; Luo, J.; He, L.; Donnison, A.; Xu, Z.; Xu, J.; Yang, W.; et al. Effect of 17 years of organic and inorganic fertilizer applications on soil phosphorus dynamics in a rice–wheat rotation cropping system in eastern China. J. Soils Sediments 2015, 15, 1889–1899. [Google Scholar] [CrossRef]
- Yang, X.; Chen, X.; Yang, X. Effect of organic matter on phosphorus adsorption and desorption in a black soil from Northeast China. Soil Tillage Res. 2019, 187, 85–91. [Google Scholar] [CrossRef]
- Yang, Z.; Zhang, Y.; Wang, Y.; Zhang, H.; Zhu, Q.; Yan, B.; Fei, J.; Xiangmin, R.; Peng, J.; Luo, G. Intercropping regulation of soil phosphorus composition and microbially-driven dynamics facilitates maize phosphorus uptake and productivity improvement. Field Crops Res. 2022, 287, 108666. [Google Scholar] [CrossRef]
- Li, T.; Gao, J.; Bai, L.; Wang, Y.; Huang, J.; Kumar, M.; Zeng, X. Influence of green manure and rice straw management on soil organic carbon, enzyme activities, and rice yield in red paddy soil. Soil Tillage Res. 2019, 195, 104428. [Google Scholar] [CrossRef]
- Benbi, D.K.; Brar, K.; Toor, A.S.; Sharma, S. Sensitivity of labile soil organic carbon pools to long-term fertilizer, straw and manure management in rice-wheat system. Pedosphere 2015, 25, 534–545. [Google Scholar] [CrossRef]
- Daquiado, A.R.; Kuppusamy, S.; Kim, S.Y.; Kim, J.H.; Yoon, Y.E.; Kim, P.J.; Oh, S.H.; Kwak, Y.S.; Lee, Y.B. Pyrosequencing analysis of bacterial community diversity in long-term fertilized paddy field soil. Appl. Soil Ecol. 2016, 108, 84–91. [Google Scholar] [CrossRef]
- Kumar, A.; Kushwaha, K.K.; Singh, S.; Shivay, Y.S.; Meena, M.C.; Nain, L. Effect of paddy straw burning on soil microbial dynamics in sandy loam soil of Indo-Gangetic plains. Environ. Technol. Innov. 2019, 16, 100469. [Google Scholar] [CrossRef]
- Wang, J.; Song, Y.; Ma, T.; Raza, W.; Li, J.; Howland, J.G.; Huang, Q.; Shen, Q. Impacts of inorganic and organic fertilization treatments on bacterial and fungal communities in a paddy soil. Appl. Soil Ecol. 2017, 112, 42–50. [Google Scholar] [CrossRef]
- Podosokorskaya, O.A.; Bonch-Osmolovskaya, E.A.; Novikov, A.A.; Kolganova, T.V.; Kublanov, I.V. Ornatilinea apprima gen. nov., sp. nov., a cellulolytic representative of the class Anaerolineae. Int. J. Syst. Evol. Microbiol. 2013, 63, 86–92. [Google Scholar] [CrossRef]
- Zhang, Q.; Liang, G.; Guo, T.; He, P.; Wang, X.; Zhou, W. Evident variations of fungal and actinobacterial cellulolytic communities associated with different humified particle-size fractions in a long-term fertilizer experiment. Soil Biol. Biochem. 2017, 113, 1–13. [Google Scholar] [CrossRef]
- Tian, W.; Wang, L.; Li, Y.; Zhuang, K.; Li, G.; Zhang, J.; Xiao, X.; Xi, Y. Responses of microbial activity, abundance, and community in wheat soil after three years of heavy fertilization with manure-based compost and inorganic nitrogen. Agric. Ecosyst. Environ. 2015, 213, 219–227. [Google Scholar] [CrossRef]
- Ward, N.L.; Challacombe, J.F.; Janssen, P.H.; Bernard, H.; Coutinho, P.M.; Martin, W.; Gary, X.; Haft, D.H.; Michelle, S.; Jonathan, B. Three genomes from the phylum Acidobacteria provide insight into the lifestyles of these microorganisms in soils. Appl. Environ. Microbiol. 2009, 75, 2046. [Google Scholar] [CrossRef] [PubMed]
- Liu, C.; Ding, N.; Fu, Q.; Brookes, P.C.; Xu, J.; Guo, B.; Lin, Y.; Li, H.; Li, N. The influence of soil properties on the size and structure of bacterial and fungal communities along a paddy soil chronosequence. Eur. J. Soil Biol. 2016, 76, 9–18. [Google Scholar] [CrossRef]
- Hu, X.; Gu, H.; Liu, J.; Wei, D.; Zhu, P.; Cui, X.A.; Zhou, B.; Chen, X.; Jin, J.; Liu, X.; et al. Metagenomics reveals divergent functional profiles of soil carbon and nitrogen cycling under long-term addition of chemical and organic fertilizers in the black soil region. Geoderma 2022, 418, 115846. [Google Scholar] [CrossRef]
- Zhao, J.; Ni, T.; Li, J.; Lu, Q.; Fang, Z.; Huang, Q.; Zhang, R.; Li, R.; Shen, B.; Shen, Q. Effects of organic–inorganic compound fertilizer with reduced chemical fertilizer application on crop yields, soil biological activity and bacterial community structure in a rice–wheat cropping system. Appl. Soil Ecol. 2016, 99, 1–12. [Google Scholar] [CrossRef]
- Petriglieri, F.; Nierychlo, M.; Nielsen, P.H.; McIlroy, S.J. In situ visualisation of the abundant Chloroflexi populations in full-scale anaerobic digesters and the fate of immigrating species. PLoS ONE 2018, 13, e0206255. [Google Scholar] [CrossRef]
- Hu, J.; Lin, X.; Wang, J.; Chu, H.; Yin, R.; Zhang, J. Population size and specific potential of P-mineralizing and -solubilizing bacteria under long-term P-deficiency fertilization in a sandy loam soil. Pedobiologia 2009, 53, 49–58. [Google Scholar] [CrossRef]
- Mander, C.; Wakelin, S.; Young, S.; Condron, L.; O’Callaghan, M. Incidence and diversity of phosphate-solubilising bacteria are linked to phosphorus status in grassland soils. Soil Biol. Biochem. 2012, 44, 93–101. [Google Scholar] [CrossRef]
- Kucey, R.M.N. Phosphate-solubilizing bacteria and fungi in various cultivated and virgin Alberta soils. Can. J. Soil Sci. 1983, 63, 671–678. [Google Scholar] [CrossRef]
- Ding, J.; Xin, J.; Ma, M.; Zhou, B.; Guan, D.; Zhao, B.; Jing, Z.; Cao, F.; Li, L.; Li, J. Effect of 35 years inorganic fertilizer and manure amendment on structure of bacterial and archaeal communities in black soil of northeast China. Appl. Soil Ecol. 2016, 105, 187–195. [Google Scholar] [CrossRef]








| Organic Matter Returned | Total P | Total N | Total K | TOC |
|---|---|---|---|---|
| Rice straw | 1.16 | 11.13 | 15.40 | 419.34 |
| Decomposed rice straw | 0.52 | 9.25 | 0.60 | 431.79 |
| Rice straw ash | 8.97 | 9.80 | 71.27 | 134.62 |
| Decomposed cattle manure | 8.10 | 17.53 | 10.54 | 216.79 |
| Rice root | 1.60 | 6.65 | 2.00 | 431.70 |
| Treatments | TOC (g kg−1) | LFOC (g kg−1) | LOC (g kg−1) | POC (g kg−1) | DOC (mg kg−1) | MBC (mg kg−1) |
|---|---|---|---|---|---|---|
| S0 | 22.88 ± 0.38 cd | 2.06 ± 0.13 d | 5.05 ± 0.01 a | 4.71 ± 0.21 b | 341.43 ± 2.80 c | 55.97 ± 0.66 d |
| SR | 25.16 ± 0.53 a | 3.89 ± 0.15 a | 5.61 ± 0.61 a | 6.63 ± 0.17 a | 389.18 ± 2.74 b | 102.81 ± 2.61 b |
| DS | 24.17 ± 0.44 ab | 3.38 ± 0.40 ab | 5.78 ± 0.11 a | 6.03 ± 0.31 a | 385.92 ± 2.32 b | 104.74 ± 1.32 b |
| BS | 22.24 ± 0.27 d | 2.82 ± 0.23 bc | 5.27 ± 0.13 a | 5.14 ± 0.20 b | 337.55 ± 5.35 c | 45.82 ± 1.75 e |
| RR | 23.46 ± 0.34 bc | 2.16 ± 0.11 cd | 5.08 ± 0.04 a | 4.73 ± 0.16 b | 347.30 ± 2.30 c | 73.52 ± 4.14 c |
| DM | 24.74 ± 0.13 a | 3.67 ± 0.16 a | 5.68 ± 0.09 a | 6.51 ± 0.18 a | 432.97 ± 3.10 a | 115.56 ± 1.30 a |
Disclaimer/Publisher’s Note: The statements, opinions and data contained in all publications are solely those of the individual author(s) and contributor(s) and not of MDPI and/or the editor(s). MDPI and/or the editor(s) disclaim responsibility for any injury to people or property resulting from any ideas, methods, instructions or products referred to in the content. |
© 2023 by the authors. Licensee MDPI, Basel, Switzerland. This article is an open access article distributed under the terms and conditions of the Creative Commons Attribution (CC BY) license (https://creativecommons.org/licenses/by/4.0/).
Share and Cite
Yan, S.; Jiang, H.; Li, J.; Yan, C.; Ma, C.; Zhang, Z.; Gong, Z. Effect of Short-Term Organic Matter Returns on Soil Organic Carbon Fractions, Phosphorus Fractions and Microbial Community in Cold Region of China. Agronomy 2023, 13, 2805. https://doi.org/10.3390/agronomy13112805
Yan S, Jiang H, Li J, Yan C, Ma C, Zhang Z, Gong Z. Effect of Short-Term Organic Matter Returns on Soil Organic Carbon Fractions, Phosphorus Fractions and Microbial Community in Cold Region of China. Agronomy. 2023; 13(11):2805. https://doi.org/10.3390/agronomy13112805
Chicago/Turabian StyleYan, Shuangshuang, Haowen Jiang, Jinwang Li, Chao Yan, Chunmei Ma, Zhongxue Zhang, and Zhenping Gong. 2023. "Effect of Short-Term Organic Matter Returns on Soil Organic Carbon Fractions, Phosphorus Fractions and Microbial Community in Cold Region of China" Agronomy 13, no. 11: 2805. https://doi.org/10.3390/agronomy13112805
APA StyleYan, S., Jiang, H., Li, J., Yan, C., Ma, C., Zhang, Z., & Gong, Z. (2023). Effect of Short-Term Organic Matter Returns on Soil Organic Carbon Fractions, Phosphorus Fractions and Microbial Community in Cold Region of China. Agronomy, 13(11), 2805. https://doi.org/10.3390/agronomy13112805
