Optimized Farmland Mulching Improves Rainfed Maize Productivity by Regulating Soil Temperature and Phenology on the Loess Plateau in China
Abstract
1. Introduction
2. Materials and Methods
2.1. Site Description
2.2. Experimental Design
2.3. Sampling and Measurement
2.3.1. Soil Temperature and Moisture
2.3.2. Maize Development Stage Evaluation
2.3.3. Plant Height, Leaf Area Index (LAI), and Chlorophyll Relative Content (SPAD Value)
2.3.4. Aboveground Dry Matter Accumulation
2.3.5. Maize Yield Determination
2.3.6. Evapotranspiration (ET), Water Use Efficiency (WUE), and Precipitation Use Efficiency (PUE)
2.3.7. Economic Benefits
2.4. Statistical Analysis
3. Results
3.1. Soil Hydrothermal Dynamics
3.1.1. Soil Moisture
3.1.2. Soil Temperature
3.2. Maize Phenology
3.3. Maize Growth Dynamics
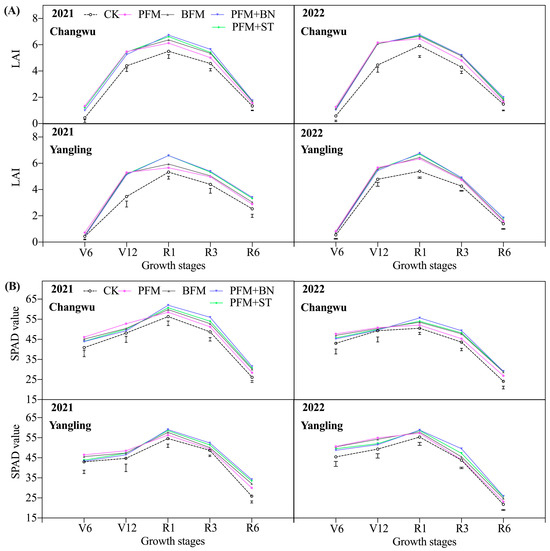
3.3.1. Plant Height, Leaf Area Index (LAI), and Chlorophyll Relative Content (SPAD Value)
3.3.2. Aboveground Dry Matter Accumulation
3.4. Yield Components and Grain Yield
3.5. ET, WUE, and PUE
3.6. Economic Benefits
4. Discussion
4.1. Soil Hydrothermal Conditions
4.2. Maize Phenology, and Growth Dynamics
4.3. Maize Grain Yield, WUE, and PUE
4.4. Economic Benefits
5. Conclusions
Supplementary Materials
Author Contributions
Funding
Data Availability Statement
Conflicts of Interest
References
- van Dijk, M.; Morley, T.; Rau, M.-L.; Saghai, Y. A meta-analysis of projected global food demand and population at risk of hunger for the period 2010–2050. Nat. Food 2021, 2, 494–501. [Google Scholar] [CrossRef] [PubMed]
- Wang, F.; Harindintwali, J.D.; Wei, K.; Shan, Y.; Mi, Z.; Costello, M.J.; Grunwald, S.; Feng, Z.; Wang, F.; Guo, Y.; et al. Climate change: Strategies for mitigation and adaptation. Innov. Geosci. 2023, 1, 100015. [Google Scholar] [CrossRef]
- Chimwamurombe, P.M.; Mataranyika, P.N. Factors influencing dryland agricultural productivity. J. Arid Environ. 2021, 189, 104489. [Google Scholar] [CrossRef]
- Huang, G.; Chen, W.; Li, F. Rainfed Farming Systems in the Loess Plateau of China; Springer: Berlin/Heidelberg, Germany, 2011; pp. 643–669. ISBN 978-1-4020-9131. Available online: https://link.springer.com/chapter/10.1007/978-1-4020-9132-2_23 (accessed on 10 April 2018).
- Mo, F.; Han, J.; Wen, X.; Xiukang, W.; Li, P.; Nangia, V.; Jia, Z.; Xiong, Y.; Liao, Y. Quantifying regional effects of plastic mulch on soil nitrogen pools, cycles, and fluxes in rain-fed Agro-ecosystems of the Loess Plateau. L. Degrad. Dev. 2020, 31, 1675–1687. [Google Scholar] [CrossRef]
- He, Q.; Zhou, G. The climatic suitability for maize cultivation in China. Chin. Sci. Bull. 2012, 57, 395–403. [Google Scholar] [CrossRef]
- Tian, L.; Yu, S.; Zhang, L.; Yang, J.; Feng, B.; Song, Y. Effects of mulching types on the yield and water utilization by broomcorn millet (Panicum Miliaceum): Results of a study in the Loess Plateau, China. J. Environ. Manag. 2023, 345, 118856. [Google Scholar] [CrossRef]
- Qin, X.; Li, Y.; Han, Y.; Hu, Y.; Li, Y.; Wen, X.; Liao, Y.; Siddique, K.H.M. Ridge-furrow mulching with black plastic film improves maize yield more than white plastic film in dry areas with adequate accumulated temperature. Agric. For. Meteorol. 2018, 262, 206–214. [Google Scholar] [CrossRef]
- Han, X.; Feng, Y.; Zhao, J.; Ren, A.; Lin, W.; Sun, M.; Gao, Z. Hydrothermal conditions impact yield, yield gap and water use efficiency of dryland wheat under different mulching practice in the Loess Plateau. Agric. Water Manag. 2022, 264, 107422. [Google Scholar] [CrossRef]
- Wang, J.; Xie, J.; Li, L.; Samuel, A. Review on the fully mulched ridge-furrow system for maize sustainable production on the semiarid Loess Plateau. J. Integr. Agric. 2022, 22, 1277–1290. [Google Scholar] [CrossRef]
- Wang, N.; Chen, H.; Ding, D.; Zhang, T.; Li, C.; Luo, X.; Chu, X.; Feng, H.; Wei, Y.; Siddique, K.H.M. Plastic film mulching affects field water balance components, grain yield, and water productivity of rainfed maize in the Loess Plateau, China: A synthetic analysis of multi-site observations. Agric. Water Manag. 2022, 266, 107570. [Google Scholar] [CrossRef]
- Ding, D.; Feng, H.; Zhao, Y.; Hill, R.L.; Yan, H.; Chen, H.; Hou, H.; Chu, X.; Liu, J.; Wang, N.; et al. Effects of continuous plastic mulching on crop growth in a winter wheat-summer maize rotation system on the Loess Plateau of China. Agric. For. Meteorol. 2019, 271, 385–397. [Google Scholar] [CrossRef]
- Li, S.; Ding, F.; Flury, M.; Wang, Z.; Xu, L.; Li, S.; Jones, D.L.; Wang, J. Macro- and microplastic accumulation in soil after 32 years of plastic film mulching. Environ. Pollut. 2022, 300, 118945. [Google Scholar] [CrossRef] [PubMed]
- He, G.; Wang, Z.; Hui, X.; Tingmiao, H.; Luo, L. Black film mulching can replace transparent film mulching in crop production. F. Crop. Res. 2021, 261, 108026. [Google Scholar] [CrossRef]
- Ali, S.; Xu, Y.; Jia, Q.; Ma, X.; Ahmad, I.; Adnan, M.; Rushingabigwi, G.; Ren, X.; Zhang, P.; Cai, T.; et al. Interactive effects of plastic film mulching with supplemental irrigation on winter wheat photosynthesis, chlorophyll fluorescence and yield under simulated precipitation conditions. Agric. Water Manag. 2018, 207, 1–14. [Google Scholar] [CrossRef]
- Zhao, H.; Wang, R.Y.; Ma, B.L.; Xiong, Y.C.; Qiang, S.C.; Wang, C.L.; Liu, C.A.; Li, F.M. Ridge-furrow with full plastic film mulching improves water use efficiency and tuber yields of potato in a semiarid rainfed ecosystem. F. Crop. Res. 2014, 161, 137–148. [Google Scholar] [CrossRef]
- Zhang, S.; Sadras, V.; Chen, X.; Zhang, F. Water use efficiency of dryland maize in the Loess Plateau of China in response to crop management. F. Crop. Res. 2014, 163, 55–63. [Google Scholar] [CrossRef]
- Xue, J.Q.; Zhang, R.H.; Feng-Yan, L.I.; Zhang, X.H. Current status, problem and strategy of maize breeding in Shannxi province. J. Maize Sci. 2008, 16, 139–141, (In Chinese with English Abstract). [Google Scholar]
- Bu, L.D.; Liu, J.L.; Zhu, L.; Luo, S.S.; Chen, X.P.; Li, S.Q.; Lee Hill, R.; Zhao, Y. The effects of mulching on maize growth, yield and water use in a semi-arid region. Agric. Water Manag. 2013, 123, 71–78. [Google Scholar] [CrossRef]
- Liu, C.A.; Jin, S.L.; Zhou, L.M.; Jia, Y.; Li, F.M.; Xiong, Y.C.; Li, X.G. Effects of plastic film mulch and tillage on maize productivity and soil parameters. Eur. J. Agron. 2009, 31, 241–249. [Google Scholar] [CrossRef]
- Mo, F.; Li, X.-Y.; Niu, F.-J.; Zhang, C.-R.; Li, S.-K.; Zhang, L.; Xiong, Y. Alternating small and large ridges with full film mulching increase linseed (Linum Usitatissimum L.) productivity and economic benefit in a rainfed semiarid environment. F. Crop. Res. 2018, 219, 120–130. [Google Scholar] [CrossRef]
- Hu, Y.; Ma, P.; Duan, C.; Wu, S.; Feng, H.; Zou, Y. Black plastic film combined with straw mulching delays senescence and increases summer maize yield in northwest China. Agric. Water Manag. 2020, 231, 106031. [Google Scholar] [CrossRef]
- Zhang, S.; Zhang, G.; Xia, Z.; Wu, M.; Bai, J. Optimizing plastic mulching improves the growth and increases grain yield and water use efficiency of spring maize in dryland of the Loess Plateau in China. Agric. Water Manag. 2022, 271, 107769. [Google Scholar] [CrossRef]
- Bu, L.; Zhu, L.; Liu, J.; Luo, S.; Chen, X.; Li, S. Source-sink capacity responsible for higher maize yield with removal of plastic film. Agron. J. 2013, 105, 591–598. [Google Scholar] [CrossRef]
- El-Beltagi, H.S.; Basit, A.; Mohamed, H.I.; Ali, I.; Ullah, S.; Kamel, E.A.R.; Shalaby, T.A.; Ramadan, K.M.A.; Alkhateeb, A.A.; Ghazzawy, H.S. Mulching as a sustainable water and soil saving practice in agriculture: A review. Agronomy 2022, 12, 1881. [Google Scholar] [CrossRef]
- Ji, S.; Unger, P.W. Soil water accumulation under different precipitation, potential evaporation, and straw mulch conditions. Soil Sci. Soc. Am. J. 2001, 65, 442–448. [Google Scholar] [CrossRef]
- Rahman, M.A.; Chikushi, J.; Saifizzaman, M.; Lauren, J.G. Rice straw mulching and nitrogen response of no-till wheat following rice in Bangladesh. F. Crop. Res. 2005, 91, 71–81. [Google Scholar] [CrossRef]
- Huang, F.; Zihan, L.; Zhang, P.; Jia, Z. Hydrothermal effects on maize productivity with different planting patterns in a rainfed farmland area. Soil Tillage Res. 2021, 205, 104794. [Google Scholar] [CrossRef]
- Zhao, Z.-Y.; Wang, P.-Y.; Xiong, X.-B.; Zhou, R.; Zhu, Y.; Wang, Y.-B.; Wang, N.; Kiprotich, W.; Xue, W.; Cao, J.; et al. Can shallow-incorporated organic mulching replace plastic film mulching for irrigated maize production systems in arid environments? F. Crop. Res. 2023, 297, 108931. [Google Scholar] [CrossRef]
- Wang, M.; Liu, Z.; Zhai, B.; Zhu, Y.; Xu, X. Long-term straw mulch underpins crop yield and improves soil quality more efficiently than plastic mulch in different maize and wheat systems. F. Crop. Res. 2023, 300, 109003. [Google Scholar] [CrossRef]
- Si, L.; Xia, Z.; Jin, Y.; Chen, G.; Wang, G.; Lu, H.; Xue, J. Impacts of different mulching patterns on root-shoot growth of spring maize and water use efficiency in dry land. Crops 2020, 1, 146–153, (In Chinese with English Abstract). [Google Scholar] [CrossRef]
- Moreno, M.M.; Moreno, A. Effect of different biodegradable and polyethylene mulches on soil properties and production in a tomato crop. Sci. Hortic. 2008, 116, 256–263. [Google Scholar] [CrossRef]
- Acharya, C.L.; Hati, K.M.; Bandyopadhyay, K.K. Mulches. In Encyclopedia of Soils in the Environment; Hillel, D.B.T.-E., Ed.; Elsevier: Oxford, UK, 2005; pp. 521–532. ISBN 978-0-12-348530-4. [Google Scholar]
- Mbah, C.N.; Nwite, J.N.; Njoku, C.; Ibeh, L.M.; Igwe, T.S. Physical properties of an ultisol under plastic film and no-mulches and their effect on the yield of maize. World J. Agric. Sci. 2010, 6, 160–165. [Google Scholar]
- Mo, F.; Wang, J.Y.; Zhou, H.; Luo, C.L.; Zhang, X.F.; Li, X.Y.; Li, F.M.; Xiong, L.B.; Kavagi, L.; Nguluu, S.N.; et al. Ridge-furrow plastic-mulching with balanced fertilization in rainfed maize (Zea Mays L.): An adaptive management in east African Plateau. Agric. For. Meteorol. 2017, 236, 100–112. [Google Scholar] [CrossRef]
- Somanathan, H.; Sathasivam, R.; Sivaram, S.; Mariappan Kumaresan, S.; Muthuraman, M.S.; Park, S.U. An update on polyethylene and biodegradable plastic mulch films and their impact on the environment. Chemosphere 2022, 307, 135839. [Google Scholar] [CrossRef] [PubMed]
- IPCC. Climate Change 2021: The Physical Science Basis. Contribution of Working Group I to the Sixth Assessment Report of the Intergovernmental Panel on Climate Change; Technical Summary; Cambridge University Press: Cambridge, UK, 2021. [Google Scholar]
- Pastor, A.V.; Palazzo, A.; Havlik, P.; Biemans, H.; Wada, Y.; Obersteiner, M.; Kabat, P.; Ludwig, F. The global nexus of food–trade–water sustaining environmental flows by 2050. Nature 2019, 2, 499–507. [Google Scholar] [CrossRef]
- Tigchelaar, M.; Battisti, D.; Naylor, R.; Ray, D. Future warming increases probability of globally synchronized maize production shocks. Proc. Natl. Acad. Sci. USA 2018, 115, 201718031. [Google Scholar] [CrossRef]
- Bao, S. Soil and Agricultural Chemistry Analysis; China Agricultural Press: Beijing, China, 2000; pp. 355–356. [Google Scholar]
- Li, M.S.; Wang, Y.M.; Zhou, L.X. Effect of different covered materials on water and temperature of soil growth and development as well as yield in spring corn field. Res. Soil Water Conserv. 1995, 2, 18–22. [Google Scholar]
- Gardner, W.H. Water content in methods of soil analysis. In Physical and Mineralogical Methods; American Society of Agronomy: Madison, WI, USA, 1986; pp. 493–544. [Google Scholar]
- Ritchie, S.W.; Hanway, J.J.; Benson, G.O. How a Corn Plant Develops; Iowa State University Press: Ames, IA, USA, 1992. [Google Scholar]
- Fitria. A coefficient for computing leaf area in hybrid corn. J. Chem. Inf. Model. 2013, 53, 1689–1699. [Google Scholar]
- Mo, F.; Wang, J.; Xiong, Y.; Nguluu, S.; Li, F.-M. Ridge-furrow mulching system in semiarid Kenya: A promising solution to improve soil water availability and maize productivity. Eur. J. Agron. 2016, 80, 124–136. [Google Scholar] [CrossRef]
- Liu, P.; Wang, H.; Li, L.; Liu, X.; Qian, R.; Wang, J.; Yan, X.; Cai, T.; Zhang, P.; Jia, Z.; et al. Ridge-furrow mulching system regulates hydrothermal conditions to promote maize yield and efficient water use in rainfed farming area. Agric. Water Manag. 2020, 232, 106041. [Google Scholar] [CrossRef]
- Gholamhoseini, M.; Dolatabadian, A.; Habibzadeh, F. Ridge-furrow planting system and wheat straw mulching effects on dryland sunflower yield, soil temperature, and moisture. Agron. J. 2019, 111, 3383–3392. [Google Scholar] [CrossRef]
- Abu-Awwad, A. Irrigation water management for efficient water use in Mulched Onion. J. Agron. Crop. Sci. 2001, 183, 1–7. [Google Scholar] [CrossRef]
- Fang, Z.X.; Zhang, W.M.; Brandt, M.; Abdi, A.M.; Fensholt, R. Globally increasing atmospheric aridity over the 21st century. Earth’s Futur. 2022, 10, e2022EF003019. [Google Scholar] [CrossRef]
- Liu, C.-A.; Siddique, K. Does plastic mulch improve crop yield in semiarid farmland at high altitude? Agron. J. 2015, 107, 1724–1732. [Google Scholar] [CrossRef]
- Zhang, S.; Bai, J.; Zhang, G.; Xia, Z.; Wu, M.; Lu, H. Negative effects of soil warming, and adaptive cultivation strategies of maize: A review. Sci. Total Environ. 2023, 862, 160738. [Google Scholar] [CrossRef]
- Zhang, S.; Xia, Z.; Wang, Q.; Fu, Y.; Zhang, G.; Lu, H. Soil cooling can improve maize root-shoot growth and grain yield in warm climate. Plant Physiol. Biochem. 2023, 200, 107762. [Google Scholar] [CrossRef]
- Ghawi, I.; Battikhi, A. Effect of plastic mulch on squash (Cucurbita Pepo L.): Germination, root distribution, and soil temperature under trickle irrigation in the Jordan Valley. J. Agron. Crop. Sci. 2008, 160, 208–215. [Google Scholar] [CrossRef]
- Wu, Y.; Perry, K.; Ristaino, J. Estimating temperature of mulched and bare soil from meteorological data. Agric. For. Meteorol. 1996, 81, 299–323. [Google Scholar] [CrossRef]
- Olivera, A.; Bonet, J.; Palacio, L.; Liu, B.; Colinas, C. Weed control modifies tuber melanosporum mycelial expansion in young Oak Plantations. Ann. For. Sci. 2014, 71, 495–504. [Google Scholar] [CrossRef]
- Fu, Y.F.; Si, L.Y.; Jin, Y.; Xia, Z.Q.; Wang, Q.; Lu, H.D. Efficacy of black plastic film mulching as a cultivation strategy to cope with leaf senescence and increase yield of rainfed spring Maize (Zea Mays L.). Soil Use Manag. 2022, 38, 1044–1053. [Google Scholar] [CrossRef]
- Subrahmaniyan, K.; Zhou, W. Soil temperature associated with degradable, non-degradable plastic and organic mulches and their effect on biomass production, enzyme activities and seed yield of winter rapeseed (Brassica Napus L.). J. Sustain. Agric. 2008, 32, 611–627. [Google Scholar] [CrossRef]
- Horton, R.; Bristow, K.; Kluitenberg, G.; Sauer, T. Crop residue effects on surface radiation and energy balance–Review. Theor. Appl. Climatol. 1996, 54, 27–37. [Google Scholar] [CrossRef]
- Li, S.X.; Wang, Z.H.; Li, S.Q.; Gao, Y.J.; Tian, X.H. Effect of plastic sheet mulch, wheat straw mulch, and maize growth on water loss by evaporation in dryland areas of China. Agric. Water Manag. 2013, 116, 39–49. [Google Scholar] [CrossRef]
- Soni, P.; Salokhe, V.M.; Tantau, H.J. Effect of screen mesh size on vertical temperature distribution in naturally ventilated tropical greenhouses. Biosyst. Eng. 2005, 92, 469–482. [Google Scholar] [CrossRef]
- Castellano, S.; Mugnozza, G.S.; Russo, G.; Briassoulis, D.; Mistriotis, A.; Hemming, S.; Waaijenberg, D. Plastic nets in agriculture: A general review of types and applications. Appl. Eng. Agric. 2008, 24, 799–808. [Google Scholar] [CrossRef]
- Richardson, A.; Keenan, T.; Migliavacca, M.; Ryu, Y.; Sonnentag, O.; Toomey, M. Climate change, phenology, and phenological control of vegetation feedbacks to the climate system. Agric. For. Meteorol. 2013, 169, 156–173. [Google Scholar] [CrossRef]
- White, M.A.; de Beurs, K.; Didan, K.; Inouye, D.; Richardson, A.; Jensen, O.; Magnuson, J.; O’Keefe, J.; Zhang, G.; Nemani, R.; et al. Intercomparison, interpretation, and assessment of spring phenology in north America estimated from remote sensing for 1982–2006. Glob. Chang. Biol. 2008, 2008, B54C-05. [Google Scholar] [CrossRef]
- Yazdanpanah, M.; Azadi, Y.; Mahmoudi, H. Understanding Smallholder Farmers’ Adaptation Behaviors through Climate Change Beliefs, Risk Perception, Trust, and Psychological Distance: Evidence from Wheat Growers in Iran. J. Environ. Manag. 2019, 250, 109456. [Google Scholar] [CrossRef]
- Hu, X.; Huang, Y.; Sun, W.; Yu, L. Shifts in cultivar and planting date have regulated rice growth duration under climate warming in China since the early 1980s. Agric. For. Meteorol. 2017, 247, 34–41. [Google Scholar] [CrossRef]
- Tollenaar, M.; Lee, E. Physiological dissection of grain yield in maize by examining genetic improvement and heterosis. Maydica 2006, 51, 399. [Google Scholar]
- Liu, W.; Hou, P.; Liu, G.; Yang, Y.; Guo, X.; Ming, B.; Xie, R.; Wang, K.; Liu, Y.; Li, S. Contribution of total dry matter and harvest index to maize grain yield—A multisource data analysis. Food Energy Secur. 2020, 9, e256. [Google Scholar] [CrossRef]
- Zhang, L.; Zhou, X.; FAan, Y.; Fu, J.; Hou, P.; Yang, H.; Qi, H. Post-silking nitrogen accumulation and remobilization are associated with green leaf persistence and plant density in maize. J. Integr. Agric. 2019, 18, 1882–1892. [Google Scholar] [CrossRef]
- Li, C.; Luo, X.; Wang, N.; Wu, W.; Li, Y.; Quan, H.; Zhang, T.; Ding, D.; Dong, Q.; Feng, H. Transparent plastic film combined with deficit irrigation improves hydrothermal status of the soil-crop system and spring maize growth in arid areas. Agric. Water Manag. 2022, 265, 107536. [Google Scholar] [CrossRef]
- Zheng, J.; Fan, J.; Zhou, M.; Zhang, F.; Liao, Z.; Lai, Z.; Yan, S.; Guo, J.; Li, Z.; Xiang, Y. Ridge-Furrow plastic film mulching enhances grain yield and yield stability of rainfed maize by improving resources capture and use efficiency in a semi-humid drought-prone region. Agric. Water Manag. 2022, 269, 107654. [Google Scholar] [CrossRef]
- Dang, J.; Liang, W.; Wang, G.; Shi, P.; Wu, D. A preliminary study of the effects of plastic film-mulched raised beds on soil temperature and crop performance of early-sown short-season spring maize (Zea Mays L.) in the north China plain. Crop. J. 2016, 4, 331–337. [Google Scholar] [CrossRef][Green Version]
- Zhang, Y.-L.; Wang, F.-X.; Shock, C.C.; Yang, K.-J.; Kang, S.-Z.; Qin, J.-T.; Li, S.-E. Influence of different plastic film mulches and wetted soil percentages on potato grown under drip irrigation. Agric. Water Manag. 2017, 180, 160–171. [Google Scholar] [CrossRef]
- Gan, Y.; Siddique, K.H.M.; Turner, N.C.; Li, X.G.; Niu, J.Y.; Yang, C.; Liu, L.; Chai, Q. Ridge-Furrow Mulching Systems-An Innovative Technique for Boosting Crop Productivity in Semiarid Rain-Fed Environments; Elsevier: Amsterdam, The Netherlands, 2013; Volume 118, ISBN 9780124059429. [Google Scholar]
- Jasechko, S.; Sharp, Z.; Gibson, J.; Birks, S.; Yi, Y.; Fawcett, P. Terrestrial water fluxes dominated by transpiration. Nature 2013, 496, 347–350. [Google Scholar] [CrossRef]
- Li, C.; Wang, C.; Wen, X.; Qin, X.; Liu, Y.; Han, J.; Li, Y.; Liao, Y.; Wu, W. Ridge–Furrow with plastic film mulching practice improves maize productivity and resource use efficiency under the wheat–maize double–cropping system in dry semi–humid areas. F. Crop. Res. 2017, 203, 201–211. [Google Scholar] [CrossRef]
- Cui, J.; Yan, P.; Wang, X.; Yang, J.; Li, Z.; Yang, X.; Sui, P.; Chen, Y. Integrated assessment of economic and environmental consequences of shifting cropping system from wheat-maize to monocropped maize in the North China Plain. J. Clean. Prod. 2018, 193, 524–532. [Google Scholar] [CrossRef]
- Zhang, M.; Song, D.; Pu, X.; Dang, P.; Qin, X.; Siddique, K.H.M. Effect of different straw returning measures on resource use efficiency and spring maize yield under a plastic film mulch system. Eur. J. Agron. 2022, 134, 126461. [Google Scholar] [CrossRef]
- Gang, X.; Huabing, L.; Yufu, P.; Tiezhao, Y.; Xi, Y.; Shixiao, X. Plastic film mulching combined with nutrient management to improve water use efficiency, production of rain-Fed maize and economic returns in semi-Arid regions. F. Crop. Res. 2019, 231, 30–39. [Google Scholar] [CrossRef]
- China Agriculture Press. China Agriculture Yearbook China Statistical Yearbooks Database. 2017. Available online: http://tongji.oversea.cnki.net/oversea/engnavi/navidefault.aspx (accessed on 10 April 2018).











| Sites | pH | Soil Organic Matter (g kg−1) | Total Nitrogen (g kg−1) | Available Nitrogen (mg kg−1) | Available Phosphorus (mg kg−1) | Available Potassium (mg kg−1) |
|---|---|---|---|---|---|---|
| Changwu | 8.5 | 11.34 | 0.98 | 45.11 | 15.32 | 137.98 |
| Yangling | 7.3 | 12.19 | 1.31 | 55.29 | 11.39 | 163.23 |
| V6 | V12 | R1 | R3 | R6 | |
|---|---|---|---|---|---|
| ANOVA | |||||
| Year (Y) | *** | NS | *** | *** | *** |
| Site (S) | * | *** | *** | *** | *** |
| Treatment (T) | *** | *** | *** | *** | *** |
| Y × S | NS | *** | *** | *** | *** |
| Y × T | * | *** | ** | ** | ** |
| S × T | NS | NS | NS | NS | NS |
| Y × S × T | NS | *** | NS | NS | NS |
| V6 | V12 | R1 | R3 | R6 | ||||||
|---|---|---|---|---|---|---|---|---|---|---|
| LAI | SPAD Value | LAI | SPAD Value | LAI | SPAD Value | LAI | SPAD Value | LAI | SPAD Value | |
| ANOVA | ||||||||||
| Year (Y) | *** | *** | *** | *** | ** | *** | *** | *** | *** | *** |
| Site (S) | ** | ** | *** | NS | * | NS | *** | * | *** | NS |
| Treatment (T) | *** | *** | *** | ** | *** | *** | *** | *** | *** | *** |
| Y × S | *** | ** | NS | *** | NS | *** | NS | NS | *** | ** |
| Y × T | *** | NS | NS | NS | NS | NS | NS | NS | NS | NS |
| S × T | NS | NS | NS | NS | NS | NS | NS | NS | NS | NS |
| Y × S × T | * | NS | *** | NS | NS | NS | NS | NS | NS | NS |
| V6 | V12 | R1 | R3 | R6 | |
|---|---|---|---|---|---|
| ANOVA | |||||
| Year (Y) | ** | *** | *** | *** | *** |
| Site (S) | *** | *** | *** | *** | *** |
| Treatment (T) | *** | *** | *** | *** | *** |
| Y × S | NS | *** | NS | NS | NS |
| Y × T | * | NS | NS | NS | NS |
| S × T | *** | NS | NS | NS | ** |
| Y × S × T | *** | NS | NS | NS | NS |
| Kernel Number Per Ear | 1000-Kernel Dry Weight | Grain Yield | |
|---|---|---|---|
| ANOVA | |||
| Year (Y) | *** | *** | *** |
| Site (S) | *** | *** | *** |
| Treatment (T) | *** | *** | *** |
| Y × S | NS | *** | *** |
| Y × T | NS | *** | NS |
| S × T | *** | *** | *** |
| Y × S × T | ** | ** | NS |
| Year | Site | Treatment | ET (mm) | WUE (kg ha−1 mm−1) | PUE (kg ha−1 mm−1) |
|---|---|---|---|---|---|
| 2021 | Changwu | CK | 324.94 ± 10.38 ab | 27.09 ± 1.39 c | 28.87 ± 1.06 c |
| PFM | 312.14 ± 3.09 b | 33.16 ± 1.43 b | 35.60 ± 1.29 b | ||
| BFM | 322.04 ± 4.88 ab | 36.49 ± 2.16 ab | 40.31 ± 1.15 a | ||
| PFM + BN | 324.28 ± 5.85 ab | 39.89 ± 1.12 a | 41.23 ± 1.16 a | ||
| PFM + ST | 334.06 ± 10.17 a | 37.72 ± 0.99 a | 40.57 ± 1.07 a | ||
| Yangling | CK | 344.82 ± 9.59 a | 21.14 ± 0.64 c | 22.68 ± 0.77 c | |
| PFM | 334.04 ± 6.42 ab | 26.58 ± 1.10 b | 27.61 ± 0.64 b | ||
| BFM | 329.61 ± 4.71 b | 27.98 ± 1.2 b | 28.68 ± 0.89 b | ||
| PFM + BN | 327.72 ± 8.07 b | 33.92 ± 0.95 a | 34.37 ± 1.07 a | ||
| PFM + ST | 325.58 ± 6.21 b | 33.11 ± 1.02 a | 33.75 ± 0.73 a | ||
| 2022 | Changwu | CK | 312.45 ± 9.34 a | 22.51 ± 1.37 c | 24.55 ± 1.59 c |
| PFM | 313.92 ± 6.79 a | 28.98 ± 0.66 b | 31.52 ± 0.82 b | ||
| BFM | 314.74 ± 8.61 a | 33.95 ± 1.03 a | 36.76 ± 1.26 a | ||
| PFM + BN | 312.65 ± 4.64 a | 35.24 ± 1.23 a | 38.17 ± 1.47 a | ||
| PFM + ST | 307.44 ± 5.64 a | 35.19 ± 0.86 a | 37.49 ± 0.99 a | ||
| Yangling | CK | 362.63 ± 10.21 a | 19.11 ± 0.19 c | 20.31 ± 0.71 c | |
| PFM | 348.30 ± 12.00 a | 23.00 ± 1.48 b | 23.66 ± 0.72 b | ||
| BFM | 348.97 ± 9.50 a | 22.82 ± 1.12 b | 24.03 ± 0.86 b | ||
| PFM + BN | 351.63 ± 12.74 a | 28.87 ± 1.54 a | 29.50 ± 0.90 a | ||
| PFM + ST | 359.63 ± 10.79 a | 27.50 ± 1.49 a | 28.05 ± 1.47 a | ||
| ANOVA | |||||
| Year (Y) | ** | *** | *** | ||
| Site (S) | *** | *** | *** | ||
| Treatment (T) | * | *** | *** | ||
| Y × S | *** | NS | NS | ||
| Y × T | NS | NS | NS | ||
| S × T | NS | *** | *** | ||
| Y × S × T | ** | * | NS | ||
Disclaimer/Publisher’s Note: The statements, opinions and data contained in all publications are solely those of the individual author(s) and contributor(s) and not of MDPI and/or the editor(s). MDPI and/or the editor(s) disclaim responsibility for any injury to people or property resulting from any ideas, methods, instructions or products referred to in the content. |
© 2023 by the authors. Licensee MDPI, Basel, Switzerland. This article is an open access article distributed under the terms and conditions of the Creative Commons Attribution (CC BY) license (https://creativecommons.org/licenses/by/4.0/).
Share and Cite
Zhang, S.; Xia, Z.; Zhang, G.; Bai, J.; Wu, M.; Lu, H. Optimized Farmland Mulching Improves Rainfed Maize Productivity by Regulating Soil Temperature and Phenology on the Loess Plateau in China. Agronomy 2023, 13, 2790. https://doi.org/10.3390/agronomy13112790
Zhang S, Xia Z, Zhang G, Bai J, Wu M, Lu H. Optimized Farmland Mulching Improves Rainfed Maize Productivity by Regulating Soil Temperature and Phenology on the Loess Plateau in China. Agronomy. 2023; 13(11):2790. https://doi.org/10.3390/agronomy13112790
Chicago/Turabian StyleZhang, Shibo, Zhenqing Xia, Guixin Zhang, Jingxuan Bai, Mengke Wu, and Haidong Lu. 2023. "Optimized Farmland Mulching Improves Rainfed Maize Productivity by Regulating Soil Temperature and Phenology on the Loess Plateau in China" Agronomy 13, no. 11: 2790. https://doi.org/10.3390/agronomy13112790
APA StyleZhang, S., Xia, Z., Zhang, G., Bai, J., Wu, M., & Lu, H. (2023). Optimized Farmland Mulching Improves Rainfed Maize Productivity by Regulating Soil Temperature and Phenology on the Loess Plateau in China. Agronomy, 13(11), 2790. https://doi.org/10.3390/agronomy13112790

