Rape Straw Biochar Application Enhances Cadmium Immobilization by Promoting Formation of Sulfide and Poorly Crystallized Fe Oxide in Paddy Soils
Abstract
:1. Introduction
2. Materials and Methods
2.1. Soil and Biochar
2.2. Anaerobic Incubation
2.3. Chemical Analyses
2.4. Electrochemical Analysis
2.5. Phospholipid Fatty Acid (PLFA) Analysis
2.6. Statistical Analysis
3. Results
3.1. Changes in Cd2+, DOC, Fe2+ and SO42− Concentrations in Pore Water
3.2. Changes in pH and Eh in Soil
3.3. Change in the Proportion of Cd Fractions in Flooding Soil
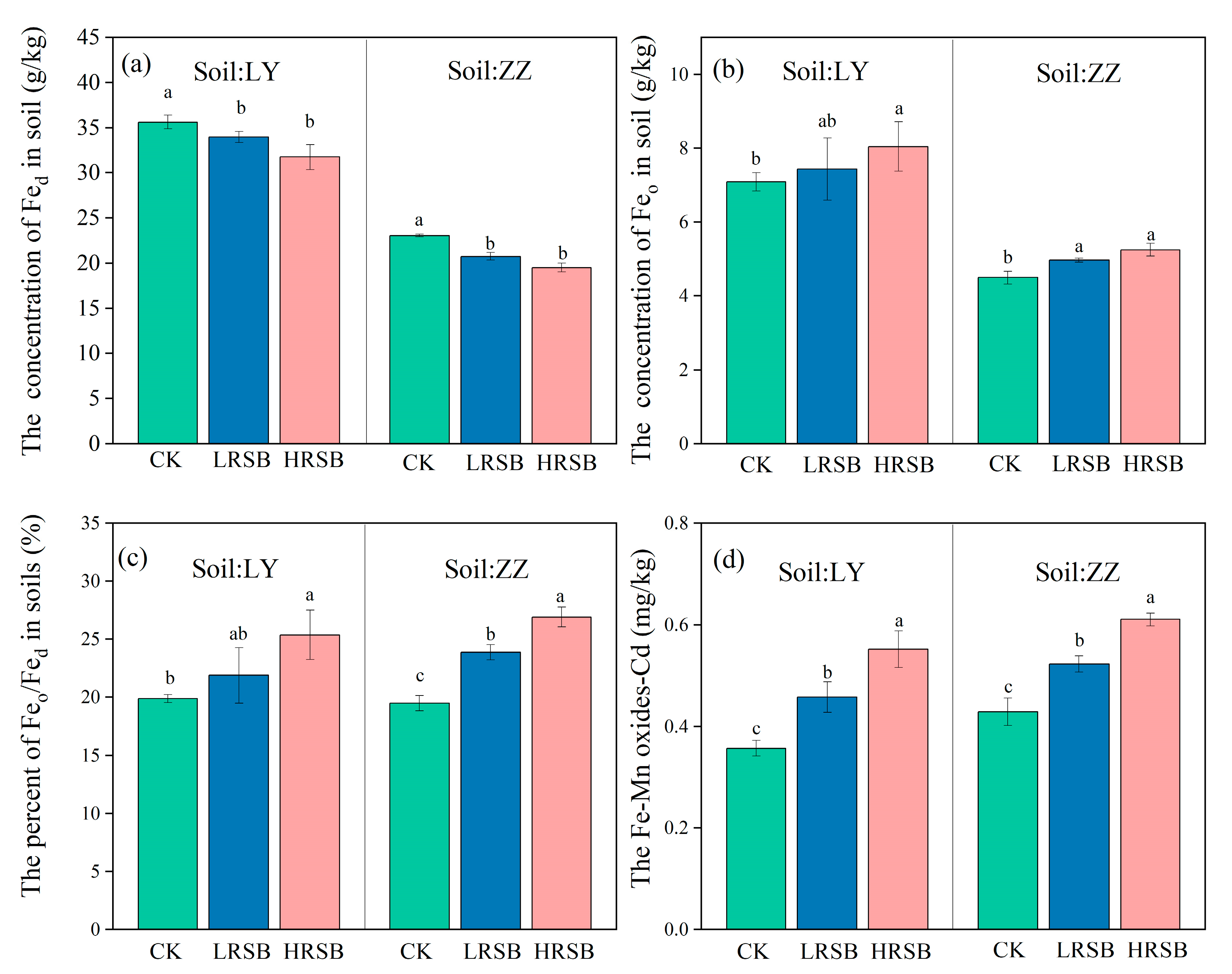
3.4. Change in the Concentrations of Poorly Crystallized Fe Oxide (Feo) and Fe-Mn Oxides Cd in Flooding Soil
3.5. Concentrations of Acid-Soluble Cd and AVS in Soils
3.6. Change in Soil Microbial PLFAs
4. Discussion
5. Conclusions
Supplementary Materials
Author Contributions
Funding
Data Availability Statement
Conflicts of Interest
References
- Zhao, F.; Wang, P. Arsenic and cadmium accumulation in rice and mitigation strategies. Plant Soil 2019, 446, 1–21. [Google Scholar] [CrossRef]
- Wang, J.; Wang, P.; Gu, Y.; Kopittke, P.M.; Zhao, F.; Wang, P. Iron-Manganese (Oxyhydro)oxides, rather than oxidation of sulfides, determine mobilization of Cd during soil drainage in paddy soil systems. Environ. Sci. Technol. 2019, 53, 2500–2508. [Google Scholar] [CrossRef] [PubMed]
- Song, Y.; Wang, Y.; Mao, W.; Sui, H.; Yong, L.; Yang, D.; Jiang, D.; Zhang, L.; Gong, Y. Dietary cadmium exposure assessment among the Chinese population. PLoS ONE 2017, 12, e0177978. [Google Scholar] [CrossRef] [PubMed]
- Jing, F.; Chen, C.; Chen, X.; Liu, W.; Wen, X.; Hu, S.; Yang, Z.; Guo, B.; Xu, Y.; Yu, Q. Effects of wheat straw derived biochar on cadmium availability in a paddy soil and its accumulation in rice. Environ. Pollut. 2020, 257, 113592. [Google Scholar] [CrossRef]
- Li, S.; Chen, S.; Wang, M.; Lei, X.; Zheng, H.; Sun, X.; Wang, L.; Han, Y. Redistribution of iron oxides in aggregates induced by pe+pH variation alters Cd availability in paddy soils. Sci. Total Environ. 2021, 752, 142164. [Google Scholar] [CrossRef]
- Dar, S.A.; Kleerebezem, R.; Stams, A.J.M.; Kuenen, J.G.; Muyzer, G. Competition and coexistence of sulfate-reducing bacteria, acetogens and methanogens in a lab-scale anaerobic bioreactor as affected by changing substrate to sulfate ratio. Appl. Microbiol. Biotechnol. 2008, 78, 1045–1055. [Google Scholar] [CrossRef] [PubMed]
- Xu, X.; Wang, P.; Zhang, J.; Chen, C.; Wang, Z.; Kopittke, P.M.; Kretzschmar, R.; Zhao, F. Microbial sulfate reduction decreases arsenic mobilization in flooded paddy soils with high potential for microbial Fe reduction. Environ. Pollut. 2019, 251, 952–960. [Google Scholar] [CrossRef]
- Fulda, B.; Voegelin, A.; Kretzschmar, R. Redox-controlled changes in cadmium solubility and solid-phase speciation in a paddy soil as affected by reducible sulfate and copper. Environ. Sci. Technol. 2013, 47, 12775–12783. [Google Scholar] [CrossRef]
- Huang, H.; Chen, H.; Kopittke, P.M.; Kretzschmar, R.; Zhao, F.; Wang, P. The voltaic effect as a novel mechanism controlling the remobilization of cadmium in paddy soils during drainage. Environ. Sci. Technol. 2021, 55, 1750–1758. [Google Scholar] [CrossRef]
- Wang, G.; Hu, Z.; Li, S.; Wang, Y.; Sun, X.; Zhang, X.; Li, M. Sulfur controlled cadmium dissolution in pore water of cadmium-contaminated soil as affected by DOC under waterlogging. Chemosphere 2020, 240, 124846. [Google Scholar] [CrossRef]
- Cudennec, Y.; Lecerf, A. The transformation of ferrihydrite into goethite or hematite, revisited. J. Solid State Chem. 2006, 179, 716–722. [Google Scholar] [CrossRef]
- Guo, S.; Liu, Z.; Li, Q.; Yang, P.; Wang, L.; He, B.; Xu, Z.; Ye, J.; Zeng, E.Y. Leaching heavy metals from the surface soil of reclaimed tidal flat by alternating seawater inundation and air drying. Chemosphere 2016, 157, 262–270. [Google Scholar] [CrossRef] [PubMed]
- Zhao, X.; Yuan, Z.; Wang, S.; Zhang, G.; Qu, S.; Wang, Y.; Liu, S.; Pan, Y.; Lin, J.; Jia, Y. The fate of co-existent cadmium and arsenic during Fe(II)-induced transformation of As(V)/Cd(II)-bearing ferrihydrite. Chemosphere 2022, 301, 134665. [Google Scholar] [CrossRef] [PubMed]
- Tessier, A.; Fortin, D.; Belzile, N.; DeVitre, R.R.; Leppard, G.G. Metal sorption to diagenetic iron and manganese oxyhydroxides and associated organic matter: Narrowing the gap between field and laboratory measurements. Geochim. Cosmochim. Acta 1996, 60, 387–404. [Google Scholar] [CrossRef]
- Muehe, E.M.; Obst, M.; Hitchcock, A.; Tyliszczak, T.; Behrens, S.; Schröder, C.; Byrne, J.M.; Michel, F.M.; Krämer, U.; Kappler, A. Fate of Cd during microbial Fe(III) mineral reduction by a novel and Cd-tolerant Geobacter Species. Environ. Sci. Technol. 2013, 47, 14099–14109. [Google Scholar] [CrossRef] [PubMed]
- Zhang, C.; Katayama, A. Humin as an Electron Mediator for Microbial Reductive Dehalogenation. Environ. Sci. Technol. 2012, 46, 6575–6583. [Google Scholar] [CrossRef]
- Chen, S.; Chen, L.; Wang, D.; Wang, M. Low pe+pH induces inhibition of cadmium sulfide precipitation by methanogenesis in paddy soil. J. Hazard. Mater. 2022, 437, 129297. [Google Scholar] [CrossRef]
- Sui, F.; Wang, J.; Zuo, J.; Joseph, S.; Munroe, P.; Drosos, M.; Li, L.; Pan, G. Effect of amendment of biochar supplemented with Si on Cd mobility and rice uptake over three rice growing seasons in an acidic Cd-tainted paddy from central South China. Sci. Total Environ. 2020, 709, 136101. [Google Scholar] [CrossRef]
- Van Poucke, R.; Ainsworth, J.; Maeseele, M.; Ok, Y.S.; Meers, E.; Tack, F.M.G. Chemical stabilization of Cd-contaminated soil using biochar. Appl. Geochem. 2018, 88, 122–130. [Google Scholar] [CrossRef]
- Yang, X.; Pan, H.; Shaheen, S.M.; Wang, H.; Rinklebe, J. Immobilization of cadmium and lead using phosphorus-rich animal-derived and iron-modified plant-derived biochars under dynamic redox conditions in a paddy soil. Environ. Int. 2021, 156, 106628. [Google Scholar] [CrossRef]
- Sui, F.; Kang, Y.; Wu, H.; Li, H.; Wang, J.; Joseph, S.; Munroe, P.; Li, L.; Pan, G. Effects of iron-modified biochar with S-rich and Si-rich feedstocks on Cd immobilization in the soil-rice system. Ecotoxicol. Environ. Saf. 2021, 225, 112764. [Google Scholar] [CrossRef] [PubMed]
- Hu, H.; Xi, B.; Tan, W. Effects of sulfur-rich biochar amendment on microbial methylation of mercury in rhizosphere paddy soil and methylmercury accumulation in rice. Environ. Pollut. 2021, 286, 117290. [Google Scholar] [CrossRef] [PubMed]
- Churka Blum, S.; Lehmann, J.; Solomon, D.; Caires, E.F.; Alleoni, L.R.F. Sulfur forms in organic substrates affecting S mineralization in soil. Geoderma 2013, 200–201, 156–164. [Google Scholar] [CrossRef]
- Wang, J.; Yuan, R.; Zhang, Y.; Si, T.; Li, H.; Duan, H.; Li, L.; Pan, G. Biochar decreases Cd mobility and rice (Oryza sativa L.) uptake by affecting soil iron and sulfur cycling. Sci. Total Environ. 2022, 836, 155547. [Google Scholar] [CrossRef]
- Hu, H.; Li, Z.; Xi, B.; Xu, Q.; Tan, W. Responses of bacterial taxonomic attributes to mercury species in rhizosphere paddy soil under natural sulphur-rich biochar amendment. Ecotoxicol. Environ. Saf. 2022, 229, 113058. [Google Scholar] [CrossRef]
- Knudsen, J.N.; Jensen, P.A.; Lin, W.; Frandsen, F.J.; Dam-Johansen, K. Sulfur transformations during thermal conversion of herbaceous biomass. Energy Fuels 2004, 18, 810–819. [Google Scholar] [CrossRef]
- Zhao, B.; Xu, H.; Zhang, T.; Nan, X.; Ma, F. Effect of pyrolysis temperature on sulfur content, extractable fraction and release of sulfate in corn straw biochar. RSC Adv. 2018, 8, 35611–35617. [Google Scholar] [CrossRef]
- Sun, T.; Levin, B.D.A.; Guzman, J.J.L.; Enders, A.; Muller, D.A.; Angenent, L.T.; Lehmann, J. Rapid electron transfer by the carbon matrix in natural pyrogenic carbon. Nat. Commun. 2017, 8, 14873. [Google Scholar] [CrossRef]
- Kappler, A.; Wuestner, M.L.; Ruecker, A.; Harter, J.; Halama, M.; Behrens, S. Biochar as an electron shuttle between bacteria and Fe(III) minerals. Environ. Sci. Technol. Lett. 2014, 1, 339–344. [Google Scholar] [CrossRef]
- Xu, W.; Pignatello, J.J.; Mitch, W.A. Role of black carbon electrical conductivity in mediating Hexahydro-1,3,5-trinitro-1,3,5-triazine (RDX) transformation on carbon surfaces by sulfides. Environ. Sci. Technol. 2013, 47, 7129–7136. [Google Scholar] [CrossRef]
- Prévoteau, A.; Ronsse, F.; Cid, I.; Boeckx, P.; Rabaey, K. The electron donating capacity of biochar is dramatically underestimated. Sci. Rep. 2016, 6, 32870. [Google Scholar] [CrossRef] [PubMed]
- Bi, Y.; Kuzyakov, Y.; Cai, S.; Zhao, X. Accumulation of organic compounds in paddy soils after biochar application is controlled by iron hydroxides. Sci. Total Environ. 2021, 764, 144300. [Google Scholar] [CrossRef] [PubMed]
- Bian, R.; Joseph, S.; Cui, L.; Pan, G.; Li, L.; Liu, X.; Zhang, A.; Rutlidge, H.; Wong, S.; Chia, C.; et al. A three-year experiment confirms continuous immobilization of cadmium and lead in contaminated paddy field with biochar amendment. J. Hazard. Mater. 2014, 272, 121–128. [Google Scholar] [CrossRef] [PubMed]
- Lu, R.K. Analysis Methods of Soil Agricultural Chemistry; China Agricultural Science and Technology Publishing House: Beijing, China, 1999. (In Chinese) [Google Scholar]
- Liu, C.; Yu, H.; Liu, C.; Li, F.; Xu, X.; Wang, Q. Arsenic availability in rice from a mining area: Is amorphous iron oxide-bound arsenic a source or sink? Environ. Pollut. 2015, 199, 95–101. [Google Scholar] [CrossRef]
- Burton, E.D.; Sullivan, L.A.; Bush, R.T.; Johnston, S.G.; Keene, A.F. A simple and inexpensive chromium-reducible sulfur method for acid-sulfate soils. Appl. Geochem. 2008, 23, 2759–2766. [Google Scholar] [CrossRef]
- Sungur, A.; Soylak, M.; Ozcan, H. Investigation of heavy metal mobility and availability by the BCR sequential extraction procedure: Relationship between soil properties and heavy metals availability. Chem. Speciat. Bioavailab. 2014, 26, 219–230. [Google Scholar] [CrossRef]
- Yuan, Y.; Bolan, N.; Prévoteau, A.; Vithanage, M.; Biswas, J.K.; Ok, Y.S.; Wang, H. Applications of biochar in redox-mediated reactions. Bioresour. Technol. 2017, 246, 271–281. [Google Scholar] [CrossRef]
- Klüpfel, L.; Keiluweit, M.; Kleber, M.; Sander, M. Redox properties of plant biomass-derived black carbon (Biochar). Environ. Sci. Technol. 2014, 48, 5601–5611. [Google Scholar] [CrossRef]
- Xu, X.; Cao, X.; Zhao, L. Comparison of rice husk- and dairy manure-derived biochars for simultaneously removing heavy metals from aqueous solutions: Role of mineral components in biochars. Chemosphere 2013, 92, 955–961. [Google Scholar] [CrossRef]
- Feng, C.; Li, F.; Mai, H.; Li, X. Bio-Electro-Fenton Process Driven by Microbial Fuel Cell for Wastewater Treatment. Environ. Sci. Technol. 2010, 44, 1875–1880. [Google Scholar] [CrossRef]
- Borch, T.; Kretzschmar, R.; Kappler, A.; Cappellen, P.V.; Ginder-Vogel, M.; Voegelin, A.; Campbell, K. Biogeochemical redox processes and their impact on contaminant dynamics. Environ. Sci. Technol. 2010, 44, 15–23. [Google Scholar] [CrossRef] [PubMed]
- de Livera, J.; McLaughlin, M.J.; Hettiarachchi, G.M.; Kirby, J.K.; Beak, D.G. Cadmium solubility in paddy soils: Effects of soil oxidation, metal sulfides and competitive ions. Sci. Total Environ. 2011, 409, 1489–1497. [Google Scholar] [CrossRef] [PubMed]
- Zhang, X.; Yu, H.; Li, F.; Fang, L.; Liu, C.; Huang, W.; Du, Y.; Peng, Y.; Xu, Q. Behaviors of heavy metal(loid)s in a co-contaminated alkaline paddy soil throughout the growth period of rice. Sci. Total Environ. 2020, 716, 136204. [Google Scholar] [CrossRef] [PubMed]
- Herndon, E.; AlBashaireh, A.; Singer, D.; Roy Chowdhury, T.; Gu, B.; Graham, D. Influence of iron redox cycling on organo-mineral associations in Arctic tundra soil. Geochim. Cosmochim. Acta 2017, 207, 210–231. [Google Scholar] [CrossRef]
- Frierdich, A.J.; Helgeson, M.; Liu, C.; Wang, C.; Rosso, K.M.; Scherer, M.M. Iron Atom Exchange between Hematite and Aqueous Fe(II). Environ. Sci. Technol. 2015, 49, 8479–8486. [Google Scholar] [CrossRef]
- Cao, X.; Ma, L.; Gao, B.; Harris, W. Dairy-manure derived biochar effectively sorbs lead and atrazine. Environ. Sci. Technol. 2016, 43, 3285–3291. [Google Scholar] [CrossRef]
- Cui, X.; Fang, S.; Yao, Y.; Li, T.; Ni, Q.; Yang, X.; He, Z. Potential mechanisms of cadmium removal from aqueous solution by Canna indica derived biochar. Sci. Total Environ. 2016, 562, 517–525. [Google Scholar] [CrossRef]
- Baltrėnaitė-Gedienė, E.; Marčiulaitienė, E.; Pranskevičius, M.; Titova, J.; Bhatnagar, A.; Abu-Danso, A.E. Physicochemical Properties of Pyrogenic Carbonaceous Product, Biochar, Syngenetically Modified for Its Use in Adsorption Systems. J. Environ. Eng. 2020, 146, 04020078. [Google Scholar] [CrossRef]
- Albert, H.A.; Li, X.; Jeyakumar, P.; Wei, L.; Huang, L.; Huang, Q.; Kamran, M.; Shaheen, S.M.; Hou, D.; Rinklebe, J.; et al. Influence of biochar and soil properties on soil and plant tissue concentrations of Cd and Pb: A meta-analysis. Sci. Total Environ. 2021, 755, 142582. [Google Scholar] [CrossRef]
- Mason, Y.; Ammann, A.A.; Ulrich, A.; Sigg, L. Behavior of heavy metals, nutrients, and major components during roof runoff infiltration. Environ. Sci. Technol. 1999, 33, 1588–1597. [Google Scholar] [CrossRef]
- Chen, D.; Liu, X.; Bian, R.; Cheng, K.; Zhang, X.; Zheng, J.; Joseph, S.; Crowley, D.; Pan, G.; Li, L. Effects of biochar on availability and plant uptake of heavy metals-A meta-analysis. J. Environ. Manag. 2018, 222, 76–85. [Google Scholar] [CrossRef] [PubMed]
- Gao, L.; Deng, J.; Huang, G.; Li, K.; Cai, K.; Liu, Y.; Huang, F. Relative distribution of Cd2+ adsorption mechanisms on biochars derived from rice straw and sewage sludge. Bioresour. Technol. 2019, 272, 114–122. [Google Scholar] [CrossRef] [PubMed]
- Joseph, S.; Husson, O.; Graber, E.; van Zwieten, L.; Taherymoosavi, S.; Thomas, T.; Nielsen, S.; Ye, J.; Pan, G.; Chia, C.; et al. The Electrochemical Properties of Biochars and How They Affect Soil Redox Properties and Processes. Agronomy 2015, 5, 322–340. [Google Scholar] [CrossRef]
- Li, S.; Chen, S.; Wang, M.; Lei, X.; Zheng, H.; Sun, X.; Wang, L.; Han, Y. Iron fractions responsible for the variation of Cd bioavailability in paddy soil under variable pe+pH conditions. Chemosphere 2020, 251, 126355. [Google Scholar] [CrossRef]
- Zhu, Y.; Guo, B.; Liu, C.; Lin, Y.; Fu, Q.; Li, N.; Li, H. Soil fertility, enzyme activity, and microbial community structure diversity among different soil textures under different land use types in coastal saline soil. J. Soils Sediments 2021, 21, 2240–2252. [Google Scholar] [CrossRef]
- Dong, Q.; Liu, Y.; Liu, G.; Guo, Y.; Yang, Q.; Shi, J.; Hu, L.; Liang, Y.; Yin, Y.; Cai, Y.; et al. Aging and phytoavailability of newly introduced and legacy cadmium in paddy soil and their bioaccessibility in rice grain distinguished by enriched isotope tracing. J. Hazard. Mater. 2021, 417, 125998. [Google Scholar] [CrossRef]
- Li, Y.; Xu, X.; Suo, L.; Sun, Y.; Sun, N.; Liu, J.; Li, S.; Zou, G.; Liao, S. The Effects of Calcium and Sulfur Fertilizers Accompanied by Different Side Elements on the Growth and Cd Uptake of Spinacia oleracea Grown in Cd-Contaminated Alkaline Soil. Horticulturae 2023, 9, 835. [Google Scholar] [CrossRef]
- Li, J.; Xu, Y. Immobilization of Cd in paddy soil using moisture management and amendment. Environ. Sci. Pollut. Res. 2015, 22, 5580–5586. [Google Scholar] [CrossRef]
- Vargas, M.; Kashefi, K.; Blunt-Harris, E.L.; Lovley, D.R. Microbiological evidence for Fe(III) reduction on early Earth. Nature 1998, 395, 6697. [Google Scholar] [CrossRef]
- Akai, J.; Kanekiyo, A.; Hishida, N.; Ogawa, M.; Naganuma, T.; Fukuhara, H.; Anawar, H.N. Biogeochemical characterization of bacterial assemblages in relation to release of arsenic from South East Asia (Bangladesh) sediments. Appl. Geochem. 2008, 23, 3177–3186. [Google Scholar] [CrossRef]
- Aeschbacher, M.; Vergari, D.; Schwarzenbach, R.P.; Sander, M. Electrochemical Analysis of Proton and Electron Transfer Equilibria of the Reducible Moieties in Humic Acids. Environ. Sci. Technol. 2011, 45, 8385–8394. [Google Scholar] [CrossRef] [PubMed]
- Tong, H.; Hu, M.; Li, F.B.; Liu, C.S.; Chen, M.J. Biochar enhances the microbial and chemical transformation of pentachlorophenol in paddy soil. Soil Biol. Biochem. 2014, 70, 142–150. [Google Scholar] [CrossRef]
- Xiao, L.; Guan, D.; Peart, M.R.; Chen, Y.; Li, Q.; Dai, J. The influence of bioavailable heavy metals and microbial parameters of soil on the metal accumulation in rice grain. Chemosphere 2017, 185, 868–878. [Google Scholar] [CrossRef]
- Xu, S.; Adhikari, D.; Huang, R.; Zhang, H.; Tang, Y.; Roden, E.; Yang, Y. Biochar-facilitated microbial reduction of hematite. Environ. Sci. Technol. 2016, 50, 2389–2395. [Google Scholar] [CrossRef] [PubMed]
- Weber, F.; Hofacker, A.F.; Voegelin, A.; Kretzschmar, R. Temperature dependence and coupling of iron and arsenic reduction and release during flooding of a contaminated soil. Environ. Sci. Technol. 2010, 44, 116–122. [Google Scholar] [CrossRef] [PubMed]
- Burton, E.D.; Bush, R.T.; Johnston, S.G.; Sullivan, L.A.; Keene, A.F. Sulfur biogeochemical cycling and novel Fe-S mineralization pathways in a tidally re-flooded wetland. Geochim. Cosmochim. Acta 2011, 75, 3434–3451. [Google Scholar] [CrossRef]
- Burton, E.D.; Bush, R.T.; Sullivan, L.A.; Mitchell, D.R.G. Schwertmannite transformation to goethite via the Fe(II) pathway: Reaction rates and implications for iron-sulfide formation. Geochim. Cosmochim. Acta 2008, 72, 4551–4564. [Google Scholar] [CrossRef]
- Meng, S.; Liu, H.; Yang, C.; Wei, Y.; Hou, D. Sorption/desorption differences among three ferrihydrites prepared by different synthesis methods. Appl. Surf. Sci. 2012, 258, 4449–4454. [Google Scholar] [CrossRef]
- Amstaetter, K.; Borch, T.; Kappler, A. Influence of humic acid imposed changes of ferrihydrite aggregation on microbial Fe(III) reduction. Geochim. Cosmochim. Acta 2012, 85, 326–341. [Google Scholar] [CrossRef]
- Mikutta, R.; Baumgärtner, A.; Schippers, A.; Haumaier, L.; Guggenberger, G. Extracellular Polymeric Substances from Bacillus subtilis Associated with Minerals Modify the Extent and Rate of Heavy Metal Sorption. Environ. Sci. Technol. 2012, 46, 3866–3873. [Google Scholar] [CrossRef]
- Zhang, D.; Du, G.; Chen, D.; Shi, G.; Rao, W.; Li, X.; Jiang, Y.; Liu, S.; Wang, D. Effect of elemental sulfur and gypsum application on the bioavailability and redistribution of cadmium during rice growth. Sci. Total Environ. 2019, 657, 1460–1467. [Google Scholar] [CrossRef] [PubMed]
- Zhang, Q.; Chen, H.; Huang, D.; Guo, X.; Xu, C.; Zhu, H.; Li, B.; Liu, T.; Feng, R.; Zhu, Q. Sulfur fertilization integrated with soil redox conditions reduces Cd accumulation in rice through microbial induced Cd immobilization. Sci. Total Environ. 2022, 824, 153868. [Google Scholar] [CrossRef] [PubMed]
- Zhou, Q.H.; He, F.; Wang, Y.F.; Zhang, L.P.; Wu, Z.B. Characteristics of fatty acid methyl esters (FAMEs) and enzymaticactivities in sediments of two eutrophic lakes. Fresenius Environ. Bull. 2009, 18, 1262–1269. [Google Scholar]
- Zhang, Y.; Liu, Y.; Lei, P.; Wang, Y.; Zhong, H. Biochar and nitrate reduce risk of methylmercury in soils under straw amendment. Sci. Total Environ. 2018, 619–620, 384–390. [Google Scholar] [CrossRef]
- Zhu, M.; Lv, X.; Franks, A.E.; Brookes, P.C.; Xu, J.; He, Y. Maize straw biochar addition inhibited pentachlorophenol dechlorination by strengthening the predominant soil reduction processes in flooded soil. J. Hazard. Mater. 2020, 386, 122002. [Google Scholar] [CrossRef]
- Qin, L.; Wang, M.; Sun, X.; Yu, L.; Wang, J.; Han, Y.; Chen, S. Formation of ferrihydrite induced by low pe+pH in paddy soil reduces Cd uptake by rice: Evidence from Cd isotope fractionation. Environ. Pollut. 2023, 328, 121644. [Google Scholar] [CrossRef]
- Zheng, H.; Wang, M.; Chen, S.; Li, S.; Lei, X. Sulfur application modifies cadmium availability and transfer in the soil-rice system under unstable pe+pH conditions. Ecotoxicol. Environ. Saf. 2019, 184, 109641. [Google Scholar] [CrossRef]
- Remaili, T.M.; Yin, N.; Bennett, W.W.; Simpson, S.L.; Jolley, D.F.; Welsh, D.T. Contrasting effects of bioturbation on metal toxicity of contaminated sediments results in misleading interpretation of the AVS-SEM metal-sulfide paradigm. Environ. Sci. Process. Impacts 2018, 20, 1285–1296. [Google Scholar] [CrossRef]






| Properties | pH | SOC | DOC | CEC | Total Cd | SO42−-S | Feo | Fed | Sand | Loam | Clay |
|---|---|---|---|---|---|---|---|---|---|---|---|
| (g kg−1) | (g kg−1) | (cmol kg−1) | (mg kg−1) | (mg kg−1) | (g kg−1) | (g kg−1) | (%) | (%) | (%) | ||
| LY | 5.80 | 13.4 | 0.14 | 10.4 | 0.545 | 42.6 | 8.8 | 41.4 | 22.4 | 51.3 | 27.5 |
| ZZ | 5.49 | 14.1 | 0.19 | 11.2 | 0.813 | 43.6 | 4.3 | 30.4 | 16.2 | 61.5 | 23.1 |
| Properties | pH | SOC | DOC | CEC | Total Cd | SO42−-S | EEC | EC |
|---|---|---|---|---|---|---|---|---|
| (g kg−1) | (g kg−1) | (cmol kg−1) | (mg kg−1) | (g kg−1) | (mmol e−1(g biochar)−1) | (scm−1) | ||
| LRSB | 8.2 | 588 | 3.1 | 50.4 | 0.513 | 7.4 | 1.11 | n.d |
| HRSB | 9.2 | 635 | 1.0 | 44.2 | 0.504 | 1.6 | 2.37 | 1.39 |
Disclaimer/Publisher’s Note: The statements, opinions and data contained in all publications are solely those of the individual author(s) and contributor(s) and not of MDPI and/or the editor(s). MDPI and/or the editor(s) disclaim responsibility for any injury to people or property resulting from any ideas, methods, instructions or products referred to in the content. |
© 2023 by the authors. Licensee MDPI, Basel, Switzerland. This article is an open access article distributed under the terms and conditions of the Creative Commons Attribution (CC BY) license (https://creativecommons.org/licenses/by/4.0/).
Share and Cite
Yuan, R.; Si, T.; Lu, Q.; Liu, C.; Bian, R.; Liu, X.; Zhang, X.; Zheng, J.; Cheng, K.; Joseph, S.; et al. Rape Straw Biochar Application Enhances Cadmium Immobilization by Promoting Formation of Sulfide and Poorly Crystallized Fe Oxide in Paddy Soils. Agronomy 2023, 13, 2693. https://doi.org/10.3390/agronomy13112693
Yuan R, Si T, Lu Q, Liu C, Bian R, Liu X, Zhang X, Zheng J, Cheng K, Joseph S, et al. Rape Straw Biochar Application Enhances Cadmium Immobilization by Promoting Formation of Sulfide and Poorly Crystallized Fe Oxide in Paddy Soils. Agronomy. 2023; 13(11):2693. https://doi.org/10.3390/agronomy13112693
Chicago/Turabian StyleYuan, Rui, Tianren Si, Qingquan Lu, Cheng Liu, Rongjun Bian, Xiaoyu Liu, Xuhui Zhang, Jufeng Zheng, Kun Cheng, Stephen Joseph, and et al. 2023. "Rape Straw Biochar Application Enhances Cadmium Immobilization by Promoting Formation of Sulfide and Poorly Crystallized Fe Oxide in Paddy Soils" Agronomy 13, no. 11: 2693. https://doi.org/10.3390/agronomy13112693
APA StyleYuan, R., Si, T., Lu, Q., Liu, C., Bian, R., Liu, X., Zhang, X., Zheng, J., Cheng, K., Joseph, S., Wang, Y., Li, L., & Pan, G. (2023). Rape Straw Biochar Application Enhances Cadmium Immobilization by Promoting Formation of Sulfide and Poorly Crystallized Fe Oxide in Paddy Soils. Agronomy, 13(11), 2693. https://doi.org/10.3390/agronomy13112693
