Effects of Drip Tape Layout and Flow Rate on Water and Nitrogen Distributions within the Root Zone and Summer Maize Yield in Sandy Tidal Soil
Abstract
:1. Introduction
2. Materials and Methods
2.1. Experimental Site
2.2. Experimental Design and Field Management
2.3. Soil Water, Ammonium Nitrogen, and Nitrate Nitrogen Contents
2.4. Dry Matter
2.5. Grain Yield and Nitrogen–Water Efficiencies
2.6. Statistical Analysis
3. Results
3.1. Weather and Irrigation
3.2. Soil Water Distribution
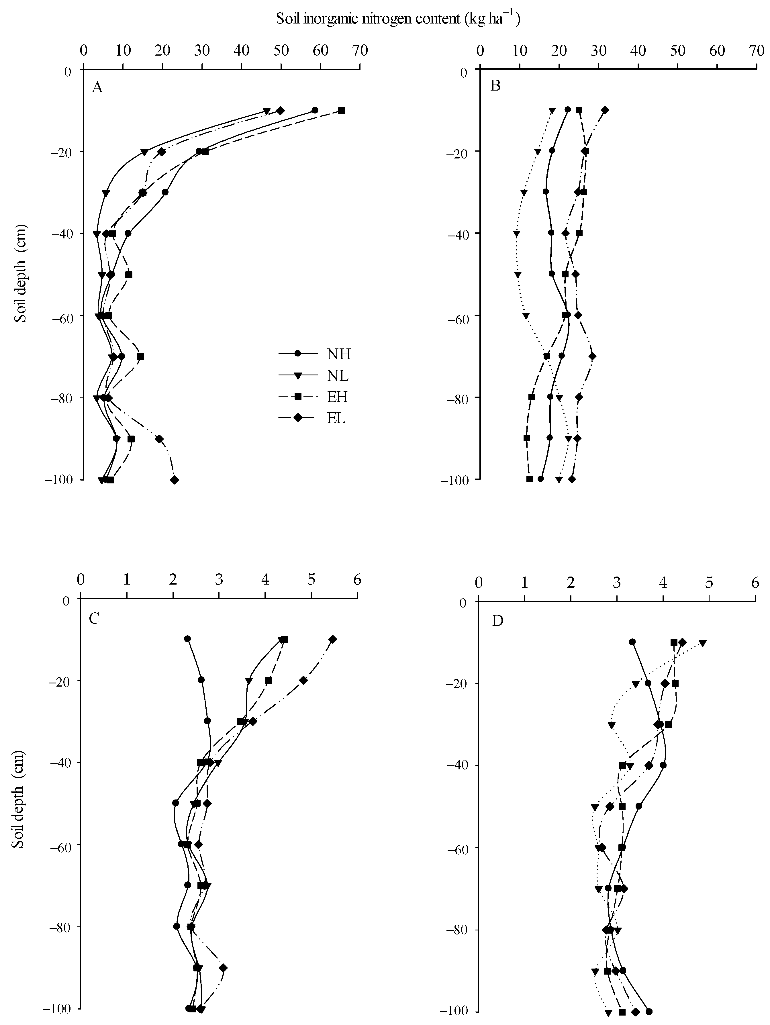
3.3. Nitrate Nitrogen Distribution
3.4. Ammonium Nitrogen Distribution
3.5. Residual Amount of Inorganic Nitrogen
3.6. Dry Matter Accumulation (DMA)
3.7. Yield and Yield Components
3.8. Water Use Efficiency and Nitrogen Fertilizer Partial Productivity
4. Discussion
4.1. Effects of Various Drip Tape Layouts and Drip Emitter Flow Rates on Soil Water Distribution
4.2. Effects of Different Drip Tape Layout and Flow Rate on Soil Available Nitrogen Distribution and Residue
4.3. Effects of Different Drip Tape Layouts and Drip Emitter Flow Rates on Maize Yield, Irrigation WUE, and PFP
5. Conclusions
Author Contributions
Funding
Data Availability Statement
Conflicts of Interest
References
- Wu, J.-Z.; Zhang, J.; Ge, Z.-M.; Xing, L.-W.; Han, S.-Q.; Shen, C.; Kong, F.-T. Impact of climate change on maize yield in China from 1979 to 2016. J. Integr. Agric. 2021, 20, 289–299. [Google Scholar] [CrossRef]
- Xing, N.; Zhang, Y.; Wang, L. The Study on Dryland Agriculture in North China; Chinese Agriculture Press: Beijing, China, 2001. [Google Scholar]
- Matson, P.A.; Naylor, R.; Ortiz-Monasterio, I. Integration of environmental, agronomic, and economic aspects of fertilizer management. Science 1998, 280, 112–115. [Google Scholar] [CrossRef] [PubMed]
- Siyal, A.A.; Bristow, K.L.; Šimůnek, J. Minimizing nitrogen leaching from furrow irrigation through novel fertilizer placement and soil surface management strategies. Agric. Water Manag. 2012, 115, 242–251. [Google Scholar] [CrossRef]
- Bai, S.; Kang, Y.; Wan, S. Drip fertigation regimes for winter wheat in the North China Plain. Agric. Water Manag. 2020, 228, 105885. [Google Scholar] [CrossRef]
- Xu, S.; Wei, Y.; Laghari, A.H.; Yang, X.; Wang, T. Modelling effect of different irrigation methods on spring maize yield, water and nitrogen use efficiencies in the North China Plain. Math Biosci Eng 2021, 18, 9651–9668. [Google Scholar] [CrossRef] [PubMed]
- Li, H.; Mei, X.; Wang, J.; Huang, F.; Hao, W.; Li, B. Drip fertigation significantly increased crop yield, water productivity and nitrogen use efficiency with respect to traditional irrigation and fertilization practices: A meta-analysis in China. Agric. Water Manag. 2021, 244, 106534. [Google Scholar] [CrossRef]
- Wu, D.; Xu, X.; Chen, Y.; Shao, H.; Sokolowski, E.; Mi, G. Effect of different drip fertigation methods on maize yield, nutrient and water productivity in two-soils in Northeast China. Agric. Water Manag. 2019, 213, 200–211. [Google Scholar] [CrossRef]
- Guo, L.; Cao, H.; Helgason, W.D.; Yang, H.; Wu, X.; Li, H. Effect of drip-line layout and irrigation amount on yield, irrigation water use efficiency, and quality of short-season tomato in Northwest China. Agric. Water Manag. 2022, 270, 107731. [Google Scholar] [CrossRef]
- Wang, H.; Cao, H.; Jiang, F.; Wang, X.; Gao, Y. Analysis of Soil Moisture, Temperature, and Salinity in Cotton Field under Non-Mulched Drip Irrigation in South Xinjiang. Agriculture 2022, 12, 1589. [Google Scholar] [CrossRef]
- Elmaloglou, S.; Soulis, K.X.; Dercas, N. Simulation of Soil Water Dynamics Under Surface Drip Irrigation from Equidistant Line Sources. Water Resour. Manag. 2013, 27, 4131–4148. [Google Scholar] [CrossRef]
- Hou, Y.; Li, Q.; Kong, L.; Qin, Y.; Wang, M.; Yu, L.; Wang, L.; Yin, C. Effects of different slow/controlled release nitrogen fertilizers on spring maize nitrogen uptake and utilization, soil inorganic nitrogen and nitrogen balance. Sci. Agric. Sin 2018, 51, 3928–3940. [Google Scholar]
- Wang, H.; Wang, X.; Zhao, S. Distribution of soil water and nitrate in Lou soil under drip fertigation. Acta Agric. Boreali-Occident. Sin. 2008, 17, 309–314. [Google Scholar]
- Zhang, M.-m.; Dang, P.-f.; Li, Y.-z.; Qin, X.-l.; Siddique, K.H.M. Better tillage selection before ridge—Furrow film mulch can facilitate root proliferation, and increase nitrogen accumulation, translocation and grain yield of maize in a semiarid area. J. Integr. Agric. 2023, 22, 1658–1670. [Google Scholar] [CrossRef]
- Bandyopadhyay, K.K.; Misra, A.K.; Ghosh, P.K.; Hati, K.M.; Mandal, K.G.; Moahnty, M. Effect of irrigation and nitrogen application methods on input use efficiency of wheat under limited water supply in a Vertisol of Central India. Irrig. Sci. 2009, 28, 285–299. [Google Scholar] [CrossRef]
- Irmak, S.; Djaman, K.; Rudnick, D.R. Effect of full and limited irrigation amount and frequency on subsurface drip-irrigated maize evapotranspiration, yield, water use efficiency and yield response factors. Irrig. Sci. 2016, 34, 271–286. [Google Scholar] [CrossRef]
- Ma, S.; Tong, L.; Kang, S.; Wang, S.; Wu, X.; Cheng, X.; Li, Q. Optimal coupling combinations between dripper discharge and irrigation interval of maize for seed production under plastic film-mulched drip irrigation in an arid region. Irrig. Sci. 2021, 40, 177–189. [Google Scholar] [CrossRef]
- Elmaloglou, S.T.; Malamos, N. Estimation of Width and Depth of the Wetted Soil Volume Under a Surface Emitter, Considering Root Water-Uptake and Evaporation. Water Resour. Manag. 2006, 21, 1325–1340. [Google Scholar] [CrossRef]
- Guo, S.; Zhu, H.; Dang, T.; Wu, J.; Liu, W.; Hao, M.; Li, Y.; Syers, J.K. Winter wheat grain yield associated with precipitation distribution under long-term nitrogen fertilization in the semiarid Loess Plateau in China. Geoderma 2012, 189–190, 442–450. [Google Scholar] [CrossRef]
- Kilic, M. A new analytical method for estimating the 3D volumetric wetting pattern under drip irrigation system. Agric. Water Manag. 2020, 228, 105898. [Google Scholar] [CrossRef]
- Li, M.; Kang, S.; Sun, H. Relationships between dripper discharge and soil wetting pattern for drip irrigation. Trans. Chin. Soc. Agric. Eng. 2006, 22, 32–35. [Google Scholar]
- Elmaloglou, S.; Diamantopoulos, E. Soil water dynamics under surface trickle irrigation as affected by soil hydraulic properties, discharge rate, dripper spacing and irrigation duration. Irrig. Drain. 2009, 59, 254–263. [Google Scholar] [CrossRef]
- Zhang, Y.; Feng, S.; Wang, F.; Feng, R.; Nie, W. Effects of drip discharge flux and soil wetted percentage on drip irrigated potato growth with film mulch. Agric. Water Manag. 2022, 272, 107847. [Google Scholar] [CrossRef]
- Naglič, B.; Kechavarzi, C.; Coulon, F.; Pintar, M. Numerical investigation of the influence of texture, surface drip emitter discharge rate and initial soil moisture condition on wetting pattern size. Irrig. Sci. 2014, 32, 421–436. [Google Scholar] [CrossRef]
- Kuscu, H.; Turhan, A.; Ozmen, N.; Aydinol, P.; Demir, A.O. Optimizing levels of water and nitrogen applied through drip irrigation for yield, quality, and water productivity of processing tomato (Lycopersicon esculentum Mill.). Hortic. Environ. Biotechnol. 2014, 55, 103–114. [Google Scholar] [CrossRef]
- Li, Y.-J.; Yuan, B.-Z.; Bie, Z.-L.; Kang, Y. Effect of drip irrigation criteria on yield and quality of muskmelon grown in greenhouse conditions. Agric. Water Manag. 2012, 109, 30–35. [Google Scholar] [CrossRef]
- Firouzabadi, A.G.; Baghani, J.; Jovzi, M.; Albaji, M. Effects of wheat row spacing layout and drip tape spacing on yield and water productivity in sandy clay loam soil in a semi-arid region. Agric. Water Manag. 2021, 251, 106868. [Google Scholar] [CrossRef]
- Zheng, J.; Huang, G.; Jia, D.; Wang, J.; Mota, M.; Pereira, L.S.; Huang, Q.; Xu, X.; Liu, H. Responses of drip irrigated tomato (Solanum lycopersicum L.) yield, quality and water productivity to various soil matric potential thresholds in an arid region of Northwest China. Agric. Water Manag. 2013, 129, 181–193. [Google Scholar] [CrossRef]
- Skaggs, T.H.; Trout, T.J.; Rothfuss, Y. Drip Irrigation Water Distribution Patterns: Effects of Emitter Rate, Pulsing, and Antecedent Water. Soil Sci. Soc. Am. J. 2010, 74, 1886–1896. [Google Scholar] [CrossRef]
- Cheng, Y.; Zhang, T.; Hu, X.; Liu, Z.; Liang, Q.; Yan, S.; Feng, H.; Siddique, K.H.M. Drip fertigation triggered by soil matric potential reduces residual soil nitrate content and improves maize nitrogen uptake and yield stability in an arid area. Eur. J. Agron. 2023, 150, 126932. [Google Scholar] [CrossRef]
- Dai, Z.; Hu, J.; Fan, J.; Fu, W.; Wang, H.; Hao, M. No-tillage with mulching improves maize yield in dryland farming through regulating soil temperature, water and nitrate-N. Agric. Ecosyst. Environ. 2021, 309, 107288. [Google Scholar] [CrossRef]
- Jungk, A. Root hairs and the acquisition of plant nutrients from soil. J. Plant Nutr. Soil Sci. 2001, 164, 121–129. [Google Scholar] [CrossRef]
- He, Y.; Xi, B.; Li, G.; Wang, Y.; Jia, L.; Zhao, D. Influence of drip irrigation, nitrogen fertigation, and precipitation on soil water and nitrogen distribution, tree seasonal growth and nitrogen uptake in young triploid poplar (Populus tomentosa) plantations. Agric. Water Manag. 2021, 243, 106460. [Google Scholar] [CrossRef]
- Galloway, J.N.; Townsend, A.R.; Erisman, J.W.; Bekunda, M.; Cai, Z.; Freney, J.R.; Martinelli, L.A.; Seitzinger, S.P.; Sutton, M.A. Transformation of the nitrogen cycle: Recent trends, questions, and potential solutions. Science 2008, 320, 889–892. [Google Scholar] [CrossRef] [PubMed]
- Quan, H.; Wu, L.; Ding, D.; Yang, Z.; Wang, N.; Chen, G.; Li, C.; Dong, Q.G.; Feng, H.; Zhang, T.; et al. Interaction between soil water and fertilizer utilization on maize under plastic mulching in an arid irrigation region of China. Agric. Water Manag. 2022, 265, 107494. [Google Scholar] [CrossRef]
- Yan, S.; Wu, Y.; Fan, J.; Zhang, F.; Paw, U.K.T.; Zheng, J.; Qiang, S.; Guo, J.; Zou, H.; Xiang, Y.; et al. A sustainable strategy of managing irrigation based on water productivity and residual soil nitrate in a no-tillage maize system. J. Clean. Prod. 2020, 262, 121279. [Google Scholar] [CrossRef]
- Wang, D.; Yu, Z.; White, P.J. The effect of supplemental irrigation after jointing on leaf senescence and grain filling in wheat. Field Crops Res. 2013, 151, 35–44. [Google Scholar] [CrossRef]
- Wang, F.; Xie, R.; Ming, B.; Wang, K.; Hou, P.; Chen, J.; Liu, G.; Zhang, G.; Xue, J.; Li, S. Dry matter accumulation after silking and kernel weight are the key factors for increasing maize yield and water use efficiency. Agric. Water Manag. 2021, 254, 106938. [Google Scholar] [CrossRef]
- Wan, W.; Zhao, Y.; Wang, Z.; Li, L.; Jing, J.; Lv, Z.; Diao, M.; Li, W.; Jiang, G.; Wang, X.; et al. Mitigation fluctuations of inter-row water use efficiency of spring wheat via narrowing row space in enlarged lateral space drip irrigation systems. Agric. Water Manag. 2022, 274, 107958. [Google Scholar] [CrossRef]
- Abbate, P.E.; Dardanelli, J.L.; Cantarero, M.G.; Maturano, M.; Melchiori, R.J.M.; Suero, E.E. Climatic and Water Availability Effects on Water-Use Efficiency in Wheat. Crop Sci. 2004, 44, 474–483. [Google Scholar] [CrossRef]
- Si, Z.; Zain, M.; Mehmood, F.; Wang, G.; Gao, Y.; Duan, A. Effects of nitrogen application rate and irrigation regime on growth, yield, and water-nitrogen use efficiency of drip-irrigated winter wheat in the North China Plain. Agric. Water Manag. 2020, 231, 106002. [Google Scholar] [CrossRef]
- Chen, R.; Cheng, W.; Cui, J.; Liao, J.; Fan, H.; Zheng, Z.; Ma, F. Lateral spacing in drip-irrigated wheat: The effects on soil moisture, yield, and water use efficiency. Field Crops Res. 2015, 179, 52–62. [Google Scholar] [CrossRef]








| Treatments | Drip Tape Layout | Drip Flow Rate |
|---|---|---|
| NH | one tape serving for two crop rows (40 + 80 cm) | 2.0 L/h |
| NL | one tape serving for two crop rows (40 + 80 cm) | 1.3 L/h |
| EH | one tape serving for each crop row (60 cm) | 2.0 L/h |
| EL | one tape serving for each crop row (60 cm) | 1.3 L/h |
| Meteorological Index | Year | Growth Stage of Summer Maize | ||
|---|---|---|---|---|
| Pre-V12 | V12-R1 | R1-R6 | ||
| Maximum temperature (°C) | 2020 | 34.4 | 32.2 | 34.0 |
| 2021 | 34.8 | 33.7 | 32.8 | |
| Minimum temperature (°C) | 2020 | 16.3 | 21.5 | 8.4 |
| 2021 | 18.0 | 21.1 | 18.2 | |
| Active accumulated tem-perature ≥10 °C(°C d) | 2020 | 1170.3 | 208.7 | 1281.2 |
| 2021 | 1208.4 | 207.6 | 1122.2 | |
| Total rainfall (mm) | 2020 | 420.1 | 56.9 | 170.2 |
| 2021 | 312.7 | 35.8 | 64.2 | |
| Years | Treatments | Ears Number (×104 ha−1) | Kernels Number per Ear | 1000−Grain Weight (g) | Yield (kg ha−1) |
|---|---|---|---|---|---|
| 2020 | NH | 6.85 a | 500 b | 339 a | 11,395 b |
| NL | 6.88 a | 539 a | 348 a | 12,968 a | |
| EH | 6.83 a | 496 b | 333 a | 11,038 b | |
| EL | 6.86 a | 499 b | 347 a | 11,807 b | |
| 2021 | NH | 6.86 a | 509 ab | 269 a | 8529 b |
| NL | 6.92 a | 525 a | 278 a | 9244 a | |
| EH | 6.90 a | 502 ab | 274 a | 8446 b | |
| EL | 6.86 a | 495 b | 276 a | 8600 b |
| Years | Treatments | WUE [kg (mm−1·ha−1)] | PFPN (kg kg−1) |
|---|---|---|---|
| 2020 | NH | 19.95 b | 75.97 b |
| NL | 22.70 a | 86.45 a | |
| EH | 19.32 b | 73.59 b | |
| EL | 20.67 b | 78.71 b | |
| 2021 | NH | 25.33 b | 56.86 b |
| NL | 27.46 a | 61.63 a | |
| EH | 25.09 b | 56.31 b | |
| EL | 25.54 b | 57.33 b |
Disclaimer/Publisher’s Note: The statements, opinions and data contained in all publications are solely those of the individual author(s) and contributor(s) and not of MDPI and/or the editor(s). MDPI and/or the editor(s) disclaim responsibility for any injury to people or property resulting from any ideas, methods, instructions or products referred to in the content. |
© 2023 by the authors. Licensee MDPI, Basel, Switzerland. This article is an open access article distributed under the terms and conditions of the Creative Commons Attribution (CC BY) license (https://creativecommons.org/licenses/by/4.0/).
Share and Cite
Sun, Q.; Zhang, H.; Li, X.; Zhao, Z.; Li, Z.; Zhang, P.; Liu, S.; Jiang, W.; Sun, X. Effects of Drip Tape Layout and Flow Rate on Water and Nitrogen Distributions within the Root Zone and Summer Maize Yield in Sandy Tidal Soil. Agronomy 2023, 13, 2689. https://doi.org/10.3390/agronomy13112689
Sun Q, Zhang H, Li X, Zhao Z, Li Z, Zhang P, Liu S, Jiang W, Sun X. Effects of Drip Tape Layout and Flow Rate on Water and Nitrogen Distributions within the Root Zone and Summer Maize Yield in Sandy Tidal Soil. Agronomy. 2023; 13(11):2689. https://doi.org/10.3390/agronomy13112689
Chicago/Turabian StyleSun, Qing, Hongxiang Zhang, Xuejie Li, Zixuan Zhao, Zengxu Li, Peiyu Zhang, Shutang Liu, Wen Jiang, and Xuefang Sun. 2023. "Effects of Drip Tape Layout and Flow Rate on Water and Nitrogen Distributions within the Root Zone and Summer Maize Yield in Sandy Tidal Soil" Agronomy 13, no. 11: 2689. https://doi.org/10.3390/agronomy13112689
APA StyleSun, Q., Zhang, H., Li, X., Zhao, Z., Li, Z., Zhang, P., Liu, S., Jiang, W., & Sun, X. (2023). Effects of Drip Tape Layout and Flow Rate on Water and Nitrogen Distributions within the Root Zone and Summer Maize Yield in Sandy Tidal Soil. Agronomy, 13(11), 2689. https://doi.org/10.3390/agronomy13112689

