Characterisation of Organic Olive Farmers in the Framework of M11 of the Common Agricultural Policy
Abstract
:1. Introduction
Role of Agricultural Policies in Andalusian Olive Farming
2. Materials and Methods
2.1. Selection of the Subjects to Be Investigated
- Type 1: Low-yield olive orchard: the olive orchard yield is 775 kg of olives per hectare or less, or it is cultivated in zones with poor soil quality and climatic conditions or high slope zones.
- Type 2: High-slope olive orchard: the soil and climatic conditions are better than those of the previous type, but the land slope is equal to or more than 20%. As a result of the high slope, it is not possible to mechanise olive harvesting.
- Type 3: Extensive olive orchard with a density equal to or lower than 150 olive trees per hectare: the land slope is lower than 20%, and harvesting by mechanisation is possible.
- Type 4: Extensive olive orchard with medium density: the land slope is lower than 20%, and the planting density is between 150 and 180 olive trees per hectare.
- Type 5: Intensive olive orchard: the planting density is between 180 and 325 olive trees per hectare, and it is located in flatlands.
- Type 6: Super-intensive olive orchard: the planting density is higher than 325 olive trees per hectare, and it is located in flatlands.
2.2. Detection of Information Gaps to Design the Questionnaire
- Personal innovativeness: this feature shared by the farm owner and farm manager indicated the propensity to change the agricultural tools and methods in order to improve productivity and save time, effort and money. The development of innovations usually involves some risks because they may be associated with investments, complex techniques or lack of information.
- Risk aversion: similar to the previous feature, it was shared by the farm owner and farm manager. In this project, risk aversion was understood as the tendency of the farmer to invest in machinery, farmlands or innovations at the expense of incurring some debt. Therefore, risk aversion and personal innovativeness are significantly interlinked. This parameter was measured with lottery-choice [30] and multi-item scale questions.
- Coordinates and areas of the parcels: both parameters were closely related, and they were necessary to create a bank of parcels to generate the synthetic population.
- Biomass level: this variable referred to the management of pruning residue (branches and leaves). It was considered an innovative action that could reduce the costs of purchasing manure.
- Age: the age of the olive grove was a standard input for the biophysical models.
- Exploitation costs: since disaggregated data on the costs of olive exploitations were not sourced, it was necessary to collect these data to prepare and simulate the economic dimension of the holding.
- Belonging to an environmentally protected area: for benefiting from M11 economic support, agricultural holdings that belong to environmentally protected areas received priority. These areas were Natura 2000 Network, a network of ecological protected areas in Europe; wetlands of international importance that fall under the RAMSAR designation (Convention on Wetlands of International Importance, especially as Waterfowl Habitats [31]) and “nitrogen vulnerable” areas, which were those territorial surfaces whose runoff or seepage influences from agricultural sources might contribute to nitrate contamination of water bodies.
2.3. Design of Questionnaires and Conduction of the Survey Campaigns to Carry out Participatory Research Activities
- In principle, the survey was designed to be completed over the phone and via telematics due to the COVID situation in 2020. This questionnaire version was used to conduct a pilot survey to a small percentage of the target population by phone. However, some problems were encountered during that process: the questionnaires were too extensive to answer by phone. It was necessary to adapt the format or the way of answering.
- Some questions needed visual support to be completely understood; otherwise, the interviewee might not have answered them or have given answers that distort the results.
- Many farmers were unaware of some of the asked data, such as the belonging to nature protection areas and the breakdown of the olive exploitation costs.
- To mitigate these problems, the following changes were therefore introduced:
- The questionnaire length was reduced.
- Surveys were conducted in person.
- For questions that farmers did not know the answers to, two mitigation actions were implemented. First, the pollster verified the answers to the question related to the farm belonging to protected natural areas because, as will be explained below, agricultural technicians know the areas extremely well. Second, in order to obtain the cost breakdown of the olive grove holdings, short questionnaires were sent to agricultural technicians within some cooperatives located in the region where the surveys were performed. In addition, information was extracted from previous studies in order to make an estimated breakdown. Finally, it should be noted that these questions were not removed from the questionnaire, as it was expected that some farmers would be able to answer them. As such, it was interesting to understand the percentage of farmers who were unable to respond to these questions.
3. Results
3.1. Personal Data and Position Distribution
3.2. Cultivated Crop
3.3. Production
3.4. Acceptance of the Measure
3.5. Farmer’s Knowledge
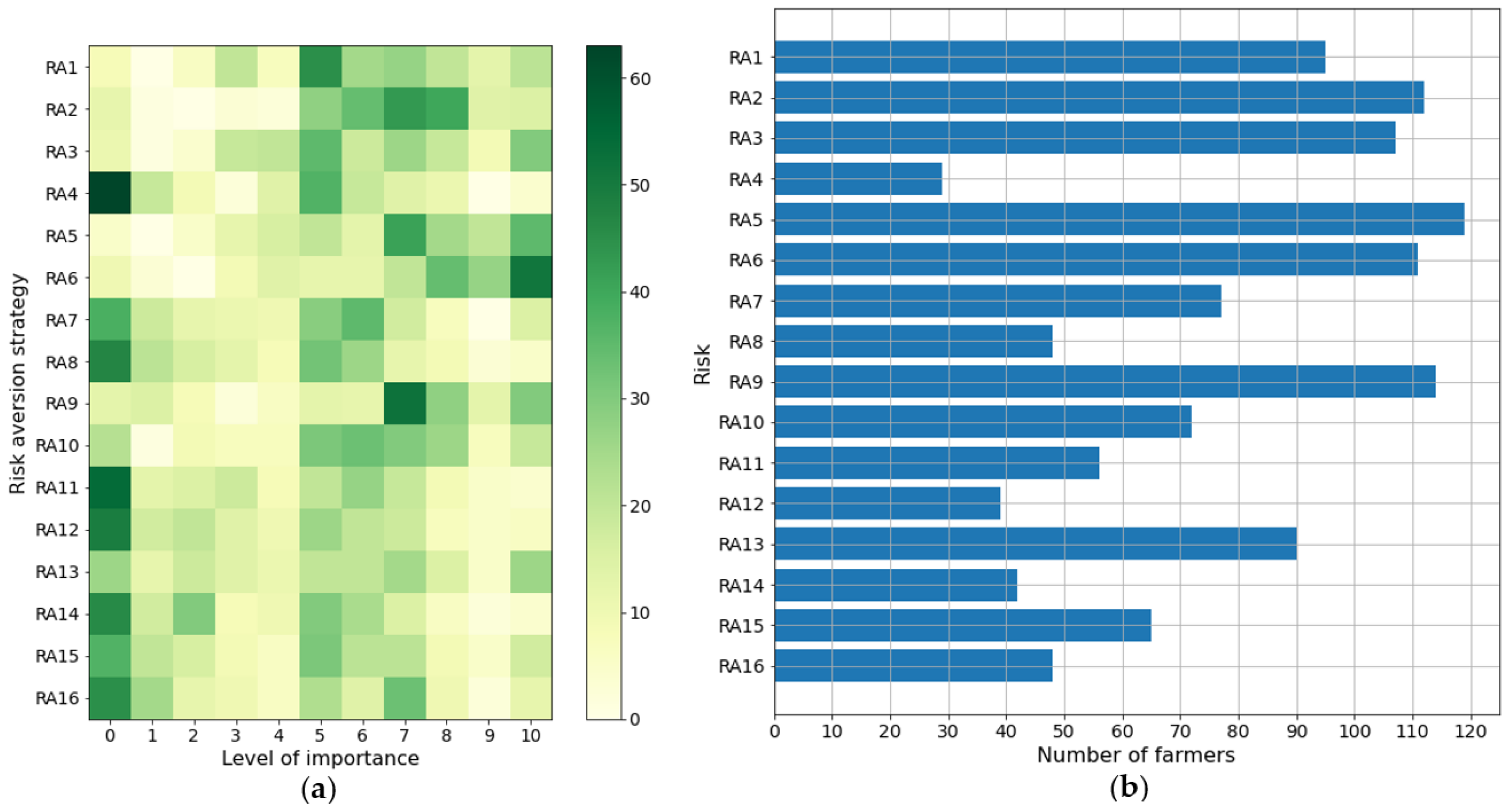
3.6. Innovation and Risk Aversion
4. Discussion
Implications and Limitations of the Study
5. Conclusions
Author Contributions
Funding
Data Availability Statement
Conflicts of Interest
Appendix A
| Innovation | Description |
|---|---|
| Inn1 | Erosion control actions |
| Inn2 | Use of deficit irrigation practices on water-scarce farms |
| Inn3 | Olive orchard waste composting practices |
| Inn4 | Disease and/or pest control by plant cover and/or antagonistic fungi |
| Inn5 | Innovation in automatic and/or Smart irrigation systems |
| Inn6 | Use of integrated equipment for bunching, chopping and management of pruning residues |
| Inn7 | Use a mobile app, including weather forecasting or machinery monitoring, as an aid to agronomic practices. |
| Inn8 | Use of drones and other equipment for precision farming |
| Inn9 | Implementation of business lines that represent alternative sources of income (Ecotourism, Cosmetics, etc.) |
| Inn10 | Conducting training courses for all types of personnel. |
| Innovation | Description |
|---|---|
| RA1 | Liquidity–keep cash on hand |
| RA2 | Prevent/reduce crop diseases and pets |
| RA3 | Manage debt to ensure solvency |
| RA4 | Buying farm business insurance |
| RA5 | Producing at lowest possible cost |
| RA6 | Take off-farm work |
| RA7 | Buying personal insurance |
| RA8 | Renting machinery and/or land is safer than buying them |
| RA9 | Hiring agronomical consulstancies |
| RA10 | Diversifying agricultural holding activities so as not to depend only on agricultural yield (rural tourism eco-cosmetic, etc.) |
| RA11 | Sharing ownership of equipment or operating jointly with other farmers |
| RA12 | Buying productive factor (e.g., fertilizers) when they are cheap and storing them for future use. |
| RA13 | Hiring economic and or accounting consultancies |
| RA14 | Ensuring surplus of machinery capacity and/or stock of spare parts |
| RA15 | Investing part of the benefits off-farm (stock market, real state, etc.) |
| RA16 | Organizing the farm as a corporation to reduce exposure of personal equity. |
Appendix B


References
- Ministerio de Agricultura Pesca y Alimentación. Agencia de Información y Control Alimentarios Aceite de Oliva 2023. Available online: https://www.aica.gob.es/ (accessed on 13 October 2023).
- UNESCO World Heritage Centre. The Olive Grove Landscapes of Andalusia; UNESCO World Heritage Centre: Paris, France, 2017. [Google Scholar]
- Moreno, M.G.; del Paso, R.L.; Benítez, F.B.; Casquero, F.C.; Reina, C.D.; García, F.M.; López, J.A.M.; Montañez, R.D.; Jobacho, L.R.; García, A.C.; et al. El Sector Agrario en Andalucía 2021; Analistas Económicos de Andalucía: Andalusia, Spain, 2021. [Google Scholar]
- Consejería de Agricultura Pesca y Desarrollo Rural. Plan Director del Olivar Andaluz; Consejería de Agricultura Pesca y Desarrollo Rural: Seville, Spain, 2015. [Google Scholar]
- Pleguezuelo, C.R.R.; Zuazo, V.H.D.; Martínez, J.R.F.; Peinado, F.J.M.; Martín, F.M.; Tejero, I.F.G. Organic olive farming in Andalusia, Spain. A review. Agron. Sustain. Dev. 2018, 38, 20. [Google Scholar] [CrossRef]
- Consejería de Agricultura Pesca y Desarrollo Rural. El Sector Agrario y Pesquero en Andalucía; Consejería de Agricultura Pesca y Desarrollo Rural: Seville, Spain, 2022. [Google Scholar]
- Junta de Andalucia Ley 5/2011, de 6 de Octubre, del Olivar de Andalucía. 2011. Available online: https://www.juntadeandalucia.es/boja/2011/205/1 (accessed on 13 October 2023).
- European Commission Olive Oil in the EU. Available online: https://agriculture.ec.europa.eu/farming/crop-productions-and-plant-based-products/olive-oil_en (accessed on 13 October 2023).
- Consejería de Agricultura Pesca y Desarrollo Rural. Aforo de Producción del Olivar de Almazara en Andalucía. Campaña 2020–2021; Consejería de Agricultura Pesca y Desarrollo Rural: Seville, Spain, 2021. [Google Scholar]
- Dirección General de Producciones y Mercados Agrarios. Ficha Sectorial—OTE Olivar. 2021. Available online: https://www.mapa.gob.es/es/agricultura/temas/producciones-agricolas/informesectorialoteolivar_junio_2020_tcm30-540720.pdf (accessed on 13 October 2023).
- European Commission. Agriculture and Rural Development 2023. Available online: https://commission.europa.eu/publications/management-plan-2023-agriculture-and-rural-development_en (accessed on 13 October 2023).
- Regional Ministry of Agriculture Fisheries and Rural Development M11—Organic Agriculture 2017. Available online: https://www.juntadeandalucia.es/organismos/agriculturapescaaguaydesarrollorural/areas/politica-agraria-comun/ayudas-pac/paginas/suaa-m11-agricultura-ecologica-2017.html (accessed on 13 October 2023).
- Regional Ministry of Agriculture Fisheries and Rural Development Anexo Capitulo 8.2 Medida 11 2015. Available online: https://www.juntadeandalucia.es/organismos/economiahaciendayfondoseuropeos/areas/fondos-europeos-andalucia/normativa-programacion/programacion/programacion-2014-2020/paginas/programacion-fondo-agricola.html (accessed on 13 October 2023).
- Parra-Lopez, C.; De-Haro-Giménez, T.; Calatrava-Requena, J. Diffusion and adoption of organic farming in the Southern Spanish olive groves. J. Sustain. Agric. 2007, 30, 105–151. [Google Scholar] [CrossRef]
- Parra López, C.; Calatrava Requena, J. Factors related to the adoption of organic farming in Spanish olive orchards. Spanish J. Agric. Res. 2005, 3, 5. [Google Scholar] [CrossRef]
- Sousa, A.A.R.; Parra-López, C.; Sayadi-Gmada, S.; Barandica, J.M.; Rescia, A.J. Evaluation of the objectives and concerns of farmers to apply different agricultural managements in olive groves: The case of estepa region (southern, spain). Land 2020, 9, 366. [Google Scholar] [CrossRef]
- LeyvaJ., C.; MartínezJ.A., F.; RoaM.C., G. Analysis of the adoption of soil conservation practices in olive groves: The case of mountainous areas in Southern Spain. Spanish J. Agric. Res. 2007, 5, 249–258. [Google Scholar] [CrossRef]
- Cabrera, E.; Gallardo-Cobos, R.; Gomez-Limon, J. La sostenibilidad del olivar: Producción convencional vs. ecológica en Los Pedroches. Inf. Técnica Econ. Agrar. 2013, 109, 345–369. [Google Scholar] [CrossRef]
- European Parliament. Council of the European Union Regulation (EU) No 1303/2013; European Parliament: Strasbourg, France, 2013.
- Ministerio de Agricultural Pesa y Alimentación Plan Estratégico de la PAC 2023. Available online: https://www.mapa.gob.es/es/pac/pac-2023-2027/plan-estrategico-pac.aspx#:~:text=El%20Plan%20Estrat%C3%A9gico%20de%20la%20PAC%20de%20Espa%C3%B1a,PAC%20y%20la%20ambici%C3%B3n%20del%20Pacto%20Verde%20Europeo (accessed on 13 October 2023).
- European Parliament. Council of the European Union Regulation (EU) No 1305/2013; European Parliament: Strasbourg, France, 2013.
- Directorate General of European Funds of the Ministry of Finance and European Financing. Regional Government of Andalusia Rural Development Programme of Andalusia 2014–2022; Directorate General of European Funds of the Ministry of Finance and European Financing: Andalusia, Spain, 2022. [Google Scholar]
- Directorate General of Rural Development and Forestry Policy. Ministry of Agriculture Fisheries and Food National Rural Development Programme 2014–2022; Directorate General of Rural Development and Forestry Policy: Andalucía, Spain, 2023. [Google Scholar]
- European Parliament. Council of the European Union Regulation (EU) 2018/848; European Parliament: Strasbourg, France, 2018.
- Junta de Andalucía Orden de 26 de mayo de 2015, Por la Que se Aprueban en la Comunidad Autónoma de Andalucía las Bases Reguladoras Para la Concesión de Subvenciones a la Medida 10: Agro-Environment and Climate, Incluida en el Programa de Desarrollo Rural de Andalucía 2014–2020, y 2015. Available online: https://www.juntadeandalucia.es/boja/2015/102/2 (accessed on 13 October 2023).
- Junta de Andalucía SIGPAC Web 2023. Available online: https://ws128.juntadeandalucia.es/agriculturaypesca/sigpac/index.xhtml (accessed on 13 October 2023).
- Junta de Andalucía SIPEA Web 2023. Available online: https://ws142.juntadeandalucia.es/agriculturaypesca/roae/ (accessed on 13 October 2023).
- Regional Ministry of Agriculture Livestock Fisheries and Sustainable Development. Caracterización del Sector Agrario y Pesquero de Andalucía; Regional Government of Andalusia: Andalusia, Spain, 2019.
- Regional Ministry of Agriculture Livestock Fisheries and Sustainable Development Oficinas Comarcales Agrarias de Andalucía 2015. Available online: https://ws229.juntadeandalucia.es/agenciaagrariaypesquera/ova/ova/mapa_ocas_andalucia (accessed on 13 October 2023).
- Iyer, P.; Bozzola, M.; Hirsch, S.; Meraner, M.; Finger, R. Measuring Farmer Risk Preferences in Europe: A Systematic Review. J. Agric. Econ. 2020, 71, 3–26. [Google Scholar] [CrossRef]
- UNESCO Convention on Wetlands of International Importance especially as Waterfowl Habitat 1971. Available online: https://en.unesco.org/about-us/legal-affairs/convention-wetlands-international-importance-especially-waterfowl-habitat (accessed on 13 October 2023).
- Consejería de Economia, Hacienda y Fondos Europeos. Evaluacion de Resultados del Programa de Desarrollo Rural de Andalucía (2014–2020). Available online: https://www.juntadeandalucia.es/organismos/economiahaciendayfondoseuropeos/areas/fondos-europeos-andalucia/seguimiento-evaluacion/informes-evaluacion/informes-evaluacion-2014-2020.html (accessed on 13 October 2023).
- European Commission. Communication from the Commission to the European Parliament, the Council, the European Economic and Social Committee and the Committee of the Regions Empty on an Action Plan for the Development of Organic Production 2021. Available online: https://eur-lex.europa.eu/legal-content/EN/TXT/?uri=CELEX:52021DC0141R(01) (accessed on 13 October 2023).
- Ministerio de Agricultura, Pesca y Alimentación. Análisis de la Caracterización y Proyección de la Producción Ecológica en España en 2020. Available online: https://www.mapa.gob.es/es/prensa/211217analisiscaracterizacionproduccionecologica2020_tcm30-583761.pdf#:~:text=El%20Ministerio%20de%20Agricultura%2C%20Pesca%20y%20Alimentaci%C3%B3n%20publicado,diferenciado%20dentro%20del%20conjunto%20del%20sistema%20alimentario%20espa%C3%B1ol (accessed on 13 October 2023).
- Jhariya, M.K.; Banerjee, A.; Meena, R.S.; Kumar, S.; Raj, A. Sustainable Intensification for Agroecosystem Services and Management: An Overview. In Sustainable Intensification for Agroecosystem Services and Management; Jhariya, M.K., Banerjee, A., Meena, R.S., Kumar, S., Raj, A., Eds.; Springer: Singapore, 2021; pp. 1–35. ISBN 978-981-16-3207-5. [Google Scholar]













| Type | Irrigation Regime | Area (ha) | % |
|---|---|---|---|
| 1 | - | 95,923 | 6.3 |
| 2 | Non-irrigated | 296,978 | 19.5 |
| Irrigated | 57,537 | 3.8 | |
| 3 | Non-irrigated | 472,006 | 31 |
| Irrigated | 251,012 | 16.5 | |
| 4 | Non-irrigated | 68,277 | 4.5 |
| Irrigated | 45,353 | 3 | |
| 5 | Non-irrigated | 90,264 | 5.9 |
| Irrigated | 123,096 | 8.1 | |
| 6 | Non-irrigated | 4989 | 0.3 |
| Irrigated | 16,386 | 1.1 | |
| TOTAL OLIVE GROVE AREA | 1,521,821 | 100 | |
| Type | Mean Yield (kg/ha) | Estimated Mean Yield (kg/ha) |
|---|---|---|
| 1 | 431 | 431 |
| 2 | 3356 | 3356 |
| 3 | 3967 | 4039.5 |
| 4 | 4112 | |
| 5 | 4832 | 5501.5 |
| 6 | 6171 |
| Type | Area (ha) | Production (kg) | Yield (kg/ha) | % of Organic Olive Land | No Conversions | Surveys |
|---|---|---|---|---|---|---|
| 1 | 45,093.4749 | 8,703,679 | 193.014 | 64.3% | 1053 | 105 |
| 2 | 8288.3057 | 16,193,452 | 1953.771 | 11.8% | 220 | 22 |
| 3–4 | 11,557.829 | 22,741,132 | 1967.595 | 16.5% | 461 | 46 |
| 5–6 | 5196.3166 | 40,029,194 | 7703.378 | 7.4% | 164 | 16 |
Disclaimer/Publisher’s Note: The statements, opinions and data contained in all publications are solely those of the individual author(s) and contributor(s) and not of MDPI and/or the editor(s). MDPI and/or the editor(s) disclaim responsibility for any injury to people or property resulting from any ideas, methods, instructions or products referred to in the content. |
© 2023 by the authors. Licensee MDPI, Basel, Switzerland. This article is an open access article distributed under the terms and conditions of the Creative Commons Attribution (CC BY) license (https://creativecommons.org/licenses/by/4.0/).
Share and Cite
Parra Rivero, O.; Ojeda Roldán, Á.; González Álvarez-Ossorio, R.; Staboulis, C.; Natos, D.; Mattas, K.; Bojar, W.; Kuśmierek-Tomaszewska, R.; Baranowski, P.; Krzyszczak, J. Characterisation of Organic Olive Farmers in the Framework of M11 of the Common Agricultural Policy. Agronomy 2023, 13, 2630. https://doi.org/10.3390/agronomy13102630
Parra Rivero O, Ojeda Roldán Á, González Álvarez-Ossorio R, Staboulis C, Natos D, Mattas K, Bojar W, Kuśmierek-Tomaszewska R, Baranowski P, Krzyszczak J. Characterisation of Organic Olive Farmers in the Framework of M11 of the Common Agricultural Policy. Agronomy. 2023; 13(10):2630. https://doi.org/10.3390/agronomy13102630
Chicago/Turabian StyleParra Rivero, Obdulia, Álvaro Ojeda Roldán, Raquel González Álvarez-Ossorio, Christos Staboulis, Dimitrios Natos, Konstadinos Mattas, Waldemar Bojar, Renata Kuśmierek-Tomaszewska, Piotr Baranowski, and Jaromir Krzyszczak. 2023. "Characterisation of Organic Olive Farmers in the Framework of M11 of the Common Agricultural Policy" Agronomy 13, no. 10: 2630. https://doi.org/10.3390/agronomy13102630
APA StyleParra Rivero, O., Ojeda Roldán, Á., González Álvarez-Ossorio, R., Staboulis, C., Natos, D., Mattas, K., Bojar, W., Kuśmierek-Tomaszewska, R., Baranowski, P., & Krzyszczak, J. (2023). Characterisation of Organic Olive Farmers in the Framework of M11 of the Common Agricultural Policy. Agronomy, 13(10), 2630. https://doi.org/10.3390/agronomy13102630

