A Method for Estimating Alfalfa (Medicago sativa L.) Forage Yield Based on Remote Sensing Data
Abstract
:1. Introduction
2. Materials and Methods
2.1. Study Area
2.2. Data
2.2.1. Field Survey Data
2.2.2. Satellite Remote Sensing Data
2.3. Methods
2.3.1. Vegetation Indices
2.3.2. Alfalfa Forage Yield Inversion Model
3. Results
3.1. Alfalfa Forage Yield and AGB Variation Characteristics
3.1.1. Alfalfa Forage Yield of the Different Alfalfa Sampling Plots
3.1.2. Temporal Variation Characteristics of Alfalfa AGB in Different Sampling Plots
3.1.3. Spatial Variation Characteristics of Alfalfa AGB in Different Sampling Plots
3.2. Correlation between Different Remote Sensing Indices and Alfalfa Forage Yield/AGB
3.2.1. Correlation between Different Band Reflectances and Alfalfa Forage Yield/AGB
3.2.2. Correlation between Different Vegetation Indices and Alfalfa Forage Yield/AGB
3.2.3. Regression Analysis of Different Vegetation Indices and Alfalfa Forage Yield/AGB
3.3. Alfalfa Forage Yield Inversion Model
3.3.1. Alfalfa Forage Yield Inversion Model Based on a Single Parameter
3.3.2. Alfalfa Forage Yield Inversion Model Based on Multiple Parameters
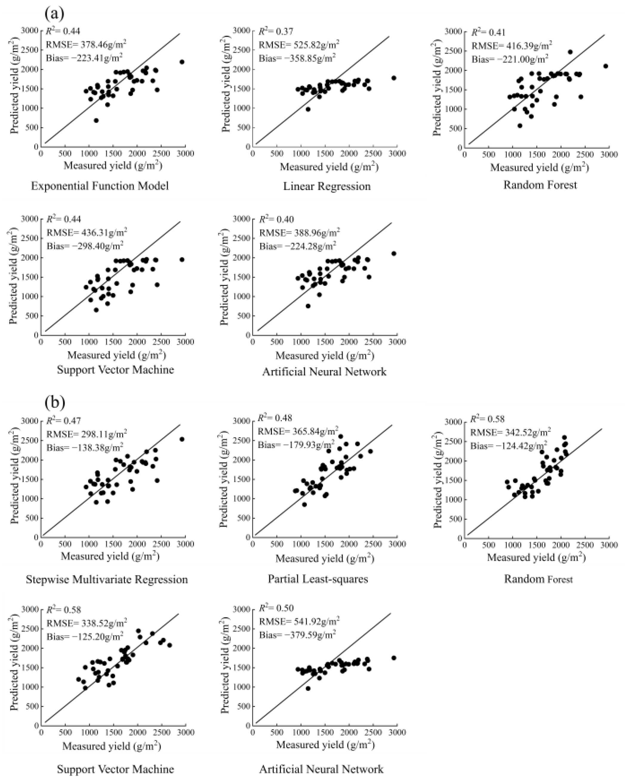
3.3.3. Accuracy Evaluation of the Annual Alfalfa Forage Yield Inversion Model
4. Discussion
5. Conclusions
Supplementary Materials
Author Contributions
Funding
Data Availability Statement
Conflicts of Interest
References
- Testa, G.; Gresta, F.; Cosentino, S.L. Dry matter and qualitative characteristics of alfalfa as affected by harvest times and soil water content. Eur. J. Agron. 2011, 34, 144–152. [Google Scholar] [CrossRef]
- Jia, X.; Zhang, Z.; Wang, Y. Forage yield, canopy characteristics, and radiation interception of ten alfalfa varieties in an arid environment. Plants 2022, 11, 1112. [Google Scholar] [CrossRef]
- Arshad, M.; Feyissa, B.A.; Amyot, L.; Aung, B.; Hannoufa, A. MicroRNA156 improves drought stress tolerance in alfalfa (Medicago sativa) by silencing SPL13. Plant Sci. 2017, 258, 122–136. [Google Scholar] [CrossRef]
- Lei, Y.; Hannoufa, A.; Yu, P. The use of gene modification and advanced molecular structure analyses towards improving alfalfa forage. Int. J. Mol. Sci. 2017, 18, 298. [Google Scholar] [CrossRef]
- Wang, Q.; Zou, Y. China’s alfalfa market and imports: Development, trends, and potential impacts of the U.S.–China trade dispute and retaliations. J. Integr. Agric. 2020, 19, 1149–1158. [Google Scholar] [CrossRef]
- Bai, Z.; Lee, M.R.F.; Ma, L.; Ledgard, S.; Oenema, O.; Velthof, G.L.; Ma, W.; Guo, M.; Zhao, Z.; Wei, S.; et al. Global environmental costs of China’s thirst for milk. Glob. Chang. Biol. 2018, 24, 2198–2211. [Google Scholar] [CrossRef]
- Wang, Y.; Zhao, Y.; Xue, F.; Nan, X.; Wang, H.; Hua, D.; Liu, J.; Yang, L.; Jiang, L.; Xiong, B. Nutritional value, bioactivity, and application potential of Jerusalem artichoke (Helianthus tuberosus L.) as a neotype feed resource. Anim. Nutr. 2020, 6, 429–437. [Google Scholar] [CrossRef]
- Liu, M.; Yang, M.; Yang, H. Biomass production and nutritional characteristics of quinoa subjected to cutting and sowing date in the midwestern China. Grassl. Sci. 2020, 67, n215–n224. [Google Scholar] [CrossRef]
- Feng, L.; Zhang, Z.; Ma, Y.; Du, Q.; Williams, P.; Drewry, J.; Luck, B. Alfalfa yield prediction using uav-based hyperspectral imagery and ensemble learning. Remote Sens. 2020, 12, 2028. [Google Scholar] [CrossRef]
- Noland, R.L.; Wells, M.S.; Coulter, J.A.; Tiede, T.; Baker, J.M.; Martinson, K.L.; Sheaffer, C.C. Estimating alfalfa yield and nutritive value using remote sensing and air temperature. Field Crops Res. 2018, 222, 189–196. [Google Scholar] [CrossRef]
- Wang, R.; Shi, F.; Xu, D. The extraction method of alfalfa (Medicago sativa L.) mapping using different remote sensing data sources based on vegetation growth properties. Land 2022, 11, 1996. [Google Scholar] [CrossRef]
- Mulianga, B.; Bégué, A.; Simoes, M.; Todoroff, P. Forecasting regional sugarcane yield based on time integral and spatial aggregation of MODIS NDVI. Remote Sens. 2013, 5, 2184–2199. [Google Scholar] [CrossRef]
- Cai, Y.; Guan, K.; Peng, J.; Wang, S.; Seifert, C.; Wardlow, B.; Li, Z. A high-performance and in-season classification system of field-level crop types using time-series Landsat data and a machine learning approach. Remote Sens. Environ. 2018, 210, 35–47. [Google Scholar] [CrossRef]
- Xie, Y.; Sha, Z.; Yu, M. Remote sensing imagery in vegetation mapping: A review. J. Plant Ecol. 2008, 1, 9–23. [Google Scholar] [CrossRef]
- Jin, X.; Kumar, L.; Li, Z.; Feng, H.; Xu, X.; Yang, G.; Wang, J. A review of data assimilation of remote sensing and crop models. Eur. J. Agron. 2018, 92, 141–152. [Google Scholar] [CrossRef]
- Wang, X.; Yu, S.; Wen, Z.; Zhang, L.; Fang, C.; Jiang, L. Application of modern GIS and remote sensing technology based on big data analysis in intelligent agriculture. J. Indian Soc. Remote Sens. 2022, 1–11. [Google Scholar] [CrossRef]
- Atzberger, C. Advances in remote sensing of agriculture: Context description, existing operational monitoring systems and major information needs. Remote Sens. 2013, 5, 949–981. [Google Scholar] [CrossRef]
- Meroni, M.; Marinho, E.; Sghaier, N.; Verstrate, M.M.; Leo, O. Remote sensing based yield estimation in a stochastic framework—Case study of durum wheat in Tunisia. Remote Sens. 2013, 5, 539–557. [Google Scholar] [CrossRef]
- Mahlayeye, M.; Darvishzadeh, R.; Nelson, A. Cropping patterns of annual crops: A remote sensing review. Remote Sens. 2022, 14, 2404. [Google Scholar] [CrossRef]
- Kamble, B.; Irmak, A.; Hubbard, K.; Gowda, P. Irrigation scheduling using remote sensing data assimilation approach. Adv. Remote Sens. 2013, 02, 258–268. [Google Scholar] [CrossRef]
- Bolton, D.K.; Friedl, M.A. Forecasting crop yield using remotely sensed vegetation indices and crop phenology metrics. Agric. For. Meteorol. 2013, 173, 74–84. [Google Scholar] [CrossRef]
- Islam, M.D.; Di, L.; Qamer, F.M.; Shrestha, S.; Guo, L.; Lin, L.; Mayer, T.J.; Phalke, A.R. Rapid rice yield estimation using integrated remote sensing and meteorological data and machine learning. Remote Sens. 2023, 15, 2374. [Google Scholar] [CrossRef]
- Fan, X.; He, G.; Zhang, W.; Long, T.; Zhang, X.; Wang, G.; Sun, G.; Zhou, H.; Shang, Z.; Tian, D.; et al. Sentinel-2 images based modeling of grassland above-ground biomass using random forest algorithm: A case study on the Tibetan Plateau. Remote Sens. 2022, 12, 5321. [Google Scholar] [CrossRef]
- Bognár, P.; Ferencz, C.S.; Pásztor, S.; Molnár, G.; Timár, G.; Hamar, D.; Lichtenberger, J.; Székely, B.; Steinbach, P.; Ferencz, O.E. Yield forecasting for wheat and corn in Hungary by satellite remote sensing. Int. J. Remote Sens. 2011, 32, 4759–4767. [Google Scholar] [CrossRef]
- Weiss, M.; Jacob, F.; Duveiller, G. Remote sensing for agricultural applications: A meta-review. Remote Sens. Environ. 2020, 236, 111402. [Google Scholar] [CrossRef]
- Kayad, A.G.; Al-Gaadi, K.A.; Tola, E.; Madugundu, R.; Zeyada, A.M.; Kalaitzidis, C. Assessing the spatial variability of alfalfa yield using satellite imagery and ground-based data. PLoS ONE 2016, 11, e0157166. [Google Scholar] [CrossRef]
- Azadbakht, M.; Ashourloo, D.; Aghighi, H.; Homayouni, S.; Hahrabi, H.S.; Matkan, A.; Radiom, S. Alfalfa yield estimation based on time series of Landsat 8 and PROBA-V images: An investigation of machine learning techniques and spectral-temporal features. Remote Sens. Appl. Soc. Environ. 2022, 25, 2352–9385. [Google Scholar] [CrossRef]
- Zhou, Y.; Colton Flynn, K.; Gowda, H.P.; Wagle, P.; Ma, S.; Kakani, G.V.; Jean, L.; Steiner, J.L. The potential of active and passive remote sensing to detect frequent harvesting of alfalfa. Int. J. Appl. Earth Obs. Geoinf. 2021, 104, 102539. [Google Scholar] [CrossRef]
- Liao, L.; Song, J.; Wang, J.; Xiao, Z.; Wang, J. Bayesian method for building frequent Landsat-like NDVI datasets by integrating MODIS and Landsat NDVI. Remote Sens. 2016, 8, 452. [Google Scholar] [CrossRef]
- Huete, A.J.C.; Liu, H. Development of vegetation and soil indices for MODIS-EOS. Remote Sens. Environ. 1994, 49, 224–234. [Google Scholar] [CrossRef]
- McFeeters, S.K. The use of the Normalized Difference Water Index (NDWI) in the delineation of open water features. Int. J. Remote Sens. 2007, 17, 1425–1432. [Google Scholar] [CrossRef]
- Xu, D.; Wang, C.; Chen, J.; Shen, M.; Shen, B.; Yan, R.; Li, Z.; Karnieli, A.; Chen, J.; Yan, Y.; et al. The superiority of the normalized difference phenology index (NDPI) for estimating grassland aboveground fresh biomass. Remote Sens. Environ. 2021, 264, 112578. [Google Scholar] [CrossRef]
- Huete, A.R. A soil-adjusted vegetation index (SAVI). Remote Sens. Environ. 1988, 25, 295–309. [Google Scholar] [CrossRef]
- Guo, S.; Ruan, B.; Chen, H.; Guan, X.; Wang, S.; Xu, N.; Li, Y. Characterizing the spatiotemporal evolution of soil salinization in Hetao Irrigation District (China) using a remote sensing approach. Int. J. Remote Sens. 2018, 39, 6805–6825. [Google Scholar] [CrossRef]
- Sow, M.; Mbow, C.; Hély, C.; Fensholt, R.; Sambou, B. Estimation of herbaceous fuel moisture content using vegetation indices and land surface temperature from MODIS data. Remote Sens. 2013, 5, 2617–2638. [Google Scholar] [CrossRef]
- Ceccato, P.; Gobron, N.; Flasse, S.; Pinty, B.; Tarantola, S. Designing a spectral index to estimate vegetation water content from remote sensing data: Part 1Theoretical approach. Remote Sens. Environ. 2002, 82, 188–197. [Google Scholar] [CrossRef]
- Ettehadi Osgouei, P.; Kaya, S.; Sertel, E.; Alganci, U. Separating built-up areas from bare land in mediterranean cities using Sentinel-2A imagery. Remote Sens. 2019, 11, 345. [Google Scholar] [CrossRef]
- Gitelson, A.; Merzlyak, M.N. Spectral reflectance changes associated with autumn senescence of Aesculus hippocastanum L. and Acer platanoides L. Leaves. spectral features and relation to Chlorophyll estimation. J. Plant Physiol. 1994, 143, 286–292. [Google Scholar] [CrossRef]
- Ievinsh, G. Water Content of Plant Tissues: So Simple That Almost Forgotten? Plants 2023, 12, 1238. [Google Scholar] [CrossRef]
- Catherine, M.; Karl, S.; Abdou, B.; Heather, M.; Jean-Claude, D. Validation of a hyperspectral curve-correlationting model for the estimation of plant water content of agricultural canopies. Remote Sens. Environ. 2003, 87, 148–160. [Google Scholar] [CrossRef]
- Aklilu Tesfaye, A.; Gessesse Awoke, B. Evaluation of the saturation property of vegetation indices derived from sentinel-2 in mixed crop-forest ecosystem. Spat. Inf. Res. 2021, 29, 109–121. [Google Scholar] [CrossRef]
- Todd, S.W.; Hoffer, R.M.; Milchunas, D.G. Biomass estimation on grazed and ungrazed rangelands using spectral indices. Int. J. Remote Sens. 1988, 19, 427–438. [Google Scholar] [CrossRef]
- Thenkabail, P.S.; Smith, R.B.; De Pauw, E. Hyperspectral vegetation indices and their relationships with agricultural crop characteristics. Remote Sens. Environ. 2000, 71, 158–182. [Google Scholar] [CrossRef]
- Chen, J.; Gu, S.; Shen, M.; Tang, Y.; Matsushita, B. Estimating aboveground biomass of grassland having a high canopy cover: An exploratory analysis of in situ hyperspectral data. Int. J. Remote Sens. 2009, 30, 6497–6517. [Google Scholar] [CrossRef]
- Mutanga, O.; Skidmore, A.K. Narrow band vegetation indices overcome the saturation problem in biomass estimation. Int. J. Remote Sens. 2004, 25, 3999–4014. [Google Scholar] [CrossRef]
- Tedesco, D.; Nieto, L.; Hernández, C.; Rybecky, J.F.; Min, D.; Sharda, A.; Hamilton, K.J.; Ciampitti, I.A. Remote sensing on alfalfa as an approach to optimize production outcomes: A review of evidence and directions for future assessments. Remote Sens. 2022, 14, 4940. [Google Scholar] [CrossRef]







| Index Name | Formula | Sentinel Bands | Reference |
|---|---|---|---|
| NDVI | 4, 8A | [29] | |
| EVI | 2, 4, 8A | [30] | |
| NDWI | 3, 8A | [31] | |
| NDPI | 8A, 11 | [32] | |
| SAVI | 4, 8A | [33] | |
| MSAVI | 4, 8A | [34] | |
| NDII | 8A, 11 | [35] | |
| GVMI | 8A, 11 | [36] | |
| NDVIRE | 8A, 5 | [37] | |
| ND705 | 5, 6 | [38] |
| Index | Plot 23 | Plot 24 | Plot 25 | Plot 27 | Plot 36 | Plot 37 | Plot 39 | Plot 61 | Plot 64 | |
|---|---|---|---|---|---|---|---|---|---|---|
| First-harvest time | Average fresh weight (g/m2) | 2462.71 | 2289.00 | 1817.29 | 1806.57 | 1973.57 | 1127.86 | 1001.67 | 1752.86 | 1844.29 |
| Fresh weight standard deviation (g/m2) | 331.29 | 177.82 | 272.37 | 269.32 | 376.96 | 233.57 | 162.99 | 221.73 | 319.01 | |
| Average dry weight (g/m2) | 435.62 | 376.53 | 354.35 | 291.94 | 346.77 | 212.17 | 195.12 | 304.75 | 354.99 | |
| Dry weight standard deviation (g/m2) | 39.30 | 41.51 | 38.32 | 45.47 | 63.90 | 37.02 | 28.81 | 31.83 | 43.18 | |
| Second-harvest time | Average fresh weight (g/m2) | 1978.57 | 1860.00 | 1941.43 | 2175.57 | 1673.57 | 1721.43 | 1686.86 | 1997.86 | 2311.43 |
| Fresh weight standard deviation (g/m2) | 183.27 | 207.65 | 174.78 | 266.47 | 139.93 | 90.82 | 173.13 | 233.45 | 175.42 | |
| Average dry weight (g/m2) | 258.88 | 251.11 | 261.68 | 287.63 | 233.44 | 245.74 | 268.61 | 306.84 | 314.17 | |
| Dry weight standard deviation (g/m2) | 21.40 | 27.21 | 22.38 | 32.29 | 28.60 | 29.97 | 32.28 | 38.28 | 19.87 | |
| Third-harvest time | Average fresh weight (g/m2) | 1407.14 | 1388.57 | 1197.14 | 1285.71 | 1239.29 | 1141.43 | 1098.57 | 1502.86 | 1325.00 |
| Fresh weight standard deviation (g/m2) | 75.55 | 173.68 | 212.68 | 142.84 | 142.72 | 55.05 | 114.88 | 153.29 | 158.22 | |
| Average dry weight (g/m2) | 245.44 | 248.82 | 213.88 | 215.41 | 202.02 | 194.00 | 175.68 | 244.52 | 238.52 | |
| Dry weight standard deviation (g/m2) | 20.62 | 28.15 | 26.75 | 30.03 | 28.10 | 17.60 | 24.91 | 23.93 | 16.64 | |
| Total | Fresh weight (g/m2) | 5848.42 | 5537.57 | 4955.86 | 5267.85 | 4886.43 | 3990.72 | 3787.10 | 5253.58 | 5480.72 |
| Dry weight (g/m2) | 939.94 | 876.46 | 829.91 | 794.98 | 782.23 | 651.91 | 639.41 | 856.11 | 907.68 |
| First-Harvest Time | Second-Harvest Time | Third-Harvest Time | |||||||
|---|---|---|---|---|---|---|---|---|---|
| Model | R2 | RMSE (g/m2) | Bias (g/m2) | R2 | RMSE (g/m2) | Bias (g/m2) | R2 | RMSE (g/m2) | Bias (g/m2) |
| Exp | 0.60 | 338.67 | −113.92 | 0.16 | 392.74 | −146.75 | 0.16 | 273.70 | 186.40 |
| LR | 0.55 | 441.74 | −223.04 | 0.15 | 413.16 | −284.83 | 0.15 | 289.90 | 239.20 |
| RF | 0.60 | 328.11 | −60.00 | 0.07 | 413.32 | −127.80 | 0.13 | 330.88 | 103.65 |
| SVM | 0.61 | 341.99 | −137.90 | 0.15 | 452.72 | −145.90 | 0.16 | 259.98 | 4.34 |
| ANN | 0.59 | 373.64 | −155.24 | 0.15 | 392.21 | −195.20 | 0.16 | 388.80 | −194.17 |
| Input Variables | |||||||
|---|---|---|---|---|---|---|---|
| Variable name | NDWI | GVMI | NDII | NDVIRE | MSAVI | NDPI | B07 |
| Correlation coefficient | −0.79 | 0.78 | 0.76 | 0.77 | 0.75 | 0.74 | 0.8 |
| First-Harvest Time | Second-Harvest Time | Third-Harvest Time | |||||||
|---|---|---|---|---|---|---|---|---|---|
| Model | R2 | RMSE (g/m2) | Bias (g/m2) | R2 | RMSE (g/m2) | Bias (g/m2) | R2 | RMSE (g/m2) | Bias (g/m2) |
| SLR | 0.55 | 368.52 | −32.07 | 0.12 | 364.57 | −118.73 | 0.10 | 250.66 | 94.74 |
| PLSR | 0.58 | 344.80 | −34.13 | 0.12 | 366.19 | 121.04 | 0.10 | 252.39 | 98.27 |
| RF | 0.65 | 332.32 | −2.24 | 0.31 | 253.21 | 48.74 | 0.11 | 236.75 | 43.73 |
| SVM | 0.65 | 329.74 | −0.47 | 0.38 | 249.11 | 38.31 | 0.15 | 230.77 | 33.11 |
| ANN | 0.57 | 432.81 | −214.91 | 0.06 | 421.71 | −318.36 | 0.18 | 235.02 | 173.24 |
Disclaimer/Publisher’s Note: The statements, opinions and data contained in all publications are solely those of the individual author(s) and contributor(s) and not of MDPI and/or the editor(s). MDPI and/or the editor(s) disclaim responsibility for any injury to people or property resulting from any ideas, methods, instructions or products referred to in the content. |
© 2023 by the authors. Licensee MDPI, Basel, Switzerland. This article is an open access article distributed under the terms and conditions of the Creative Commons Attribution (CC BY) license (https://creativecommons.org/licenses/by/4.0/).
Share and Cite
Li, J.; Wang, R.; Zhang, M.; Wang, X.; Yan, Y.; Sun, X.; Xu, D. A Method for Estimating Alfalfa (Medicago sativa L.) Forage Yield Based on Remote Sensing Data. Agronomy 2023, 13, 2597. https://doi.org/10.3390/agronomy13102597
Li J, Wang R, Zhang M, Wang X, Yan Y, Sun X, Xu D. A Method for Estimating Alfalfa (Medicago sativa L.) Forage Yield Based on Remote Sensing Data. Agronomy. 2023; 13(10):2597. https://doi.org/10.3390/agronomy13102597
Chicago/Turabian StyleLi, Jingsi, Ruifeng Wang, Mengjie Zhang, Xu Wang, Yuchun Yan, Xinbo Sun, and Dawei Xu. 2023. "A Method for Estimating Alfalfa (Medicago sativa L.) Forage Yield Based on Remote Sensing Data" Agronomy 13, no. 10: 2597. https://doi.org/10.3390/agronomy13102597
APA StyleLi, J., Wang, R., Zhang, M., Wang, X., Yan, Y., Sun, X., & Xu, D. (2023). A Method for Estimating Alfalfa (Medicago sativa L.) Forage Yield Based on Remote Sensing Data. Agronomy, 13(10), 2597. https://doi.org/10.3390/agronomy13102597

