Inoculum of a Native Microbial Starter Cocktail to Optimize Fine-Aroma Cocoa (Theobroma cacao) Bean Fermentation
Abstract
:1. Introduction
2. Materials and Methods
2.1. Inoculum Preparation
2.2. Geographical Location of the Study
2.3. Inoculation and Beans Sampling during Fermentation
2.4. Temperature, pH, and Water Content
2.5. Quantification of Population Dynamics
2.6. Biochemical Characteristics
2.6.1. Sugar Concentration
2.6.2. Organic Acids Concentration
2.7. Total Polyphenol Content
2.8. Fermentation Percentage
2.9. Data Analysis, Experimental Design, and Statistical Analysis
- Y_ijk = Random variable.
- μ = Overall mean.
- P_i = Effect of the ith type of inoculant.
- S_(k(i)) = Error for the type of inoculant.
- T_j = Effect of the i-th hour of fermentation.
- [(PT)]_ij = Effect of the interaction Type of inoculant × Fermentation time.
- e_ijk = Error for fermentation time.
3. Results
3.1. Variation of Temperature and pH during Fermentation
3.2. Quantification of Population Dynamics during Fermentation
3.3. Variation in Concentrations of Sugars, Organic Acids, and Polyphenols
3.4. Fermentation Percentage
4. Discussion
4.1. Variation of Temperature and pH during Fermentation
4.2. Quantification of Population Dynamics during Fermentation
4.3. Variation in Concentrations of Sugars, Organic Acids, and Polyphenols
4.4. Fermentation Percentage
5. Conclusions
Author Contributions
Funding
Data Availability Statement
Acknowledgments
Conflicts of Interest
References
- Agricultura e Industria Manufacturera, Cultivo de Cacao. Elaboración de Cacao, Chocolate. Ficha Sectorial, Cacao y Chocolate, Subgerencia de Análisis de Productos y Servicios; Corporación Financiera Nacional (CFN). 2022. Available online: https://www.cfn.fin.ec/wp-content/uploads/downloads/biblioteca/2022/fichas-sectoriales-2-trimestre/Ficha-Sectorial-Cacao.pdf (accessed on 26 May 2023).
- Fowler, M.; Coutel, F. Cocoa beans: From tree to factory. In Beckett’s Industrial Chocolate Manufacture and Use, 5th ed.; Beckett, S., Fowler, M., Ziegler, G., Eds.; John Wiley & Sons Ltd.: Hoboken, NJ, USA, 2017; pp. 9–49. [Google Scholar] [CrossRef]
- Ganeswari, I.; Khairul Bariah, S.; Amizi, M.; Sim, K. Effects of different fermentation approaches on the microbiological and physicochemical changes during cocoa bean fermentation. Int. Food Res. J. 2015, 1, 70–76. [Google Scholar]
- Ozturk, G.; Young, G.M. Food Evolution: The impact of society and science on the fermentation of cocoa beans. Compr. Rev. Food Sci. Food Saf. 2017, 16, 431–455. [Google Scholar] [CrossRef] [PubMed]
- Nielsen, D. The microbiology of Ghanaian cocoa fermentations. Int. J. Food Microbiol. 2007, 114, 168–186. [Google Scholar] [CrossRef]
- Nigam, P.; Singh, A. Cocoa and Coffee Fermentations. In Encyclopedia of Food Microbiology, 2nd ed.; Batt, C., Lou Tortorello, M., Eds.; Academic Press: London, UK; Burlington, NJ, USA; San Diego, CA, USA, 2014; pp. 485–492. [Google Scholar]
- Camu, N.; De Winter, T.; Verbrugghe, K.; Cleenwerck, I.; Vandamme, P.; Takrama, J.S.; Vancanneyt, M.; De Vuyst, L. Dynamics and biodiversity of populations of lactic acid bacteria and acetic acid bacteria involved in spontaneous heap fermentation of cocoa beans in Ghana. Appl. Environ. Microbiol. 2007, 73, 1809–1824. [Google Scholar] [CrossRef] [PubMed]
- De Vuyst, L.; Weckx, S. The cocoa bean fermentation process: From ecosystem analysis to starter culture development. J. Appl. Microbiol. 2016, 121, 5–17. [Google Scholar] [CrossRef]
- Ardhana, M.; Fleet, G. The microbial ecology of cocoa bean fermentations in Indonesia. Int. J. Food Microbiol. 2003, 86, 87–99. [Google Scholar] [CrossRef]
- Zheng, J.; Wittouck, S.; Salvetti, E.; Franz, C.M.; Harris, H.M.; Mattarelli, P.; O’toole, P.W.; Pot, B.; Vandamme, P.; Walter, J.; et al. A taxonomic note on the genus Lactobacillus: Description of 23 novel genera, emended description of the genus Lactobacillus Beijerink 1901, and union of Lactobacillaceae and Leuconostocaceae. Int. J. Syst. Evol. Microbiol. 2020, 70, 2782–2858. [Google Scholar] [CrossRef]
- Zambrano, G. Evaluación de la Influencia del Proceso de Beneficio del Cacao (Theobroma cacao) CCN-51 de Altura en su Calidad Final, Mediante el Análisis Físico, Físico-Químico y Sensorial. Bachelor´s Thesis, Universidad Central del Ecuador, Quito, Ecuador, 2018; pp. 29–32. Available online: http://www.dspace.uce.edu.ec/bitstream/25000/16624/1/T-UCE-0008-CQU-044.pdf (accessed on 9 May 2023).
- Figueroa, C.; Mota, J.F.; Hernández, Z.; González, O.; Cocolin, L.; Suárez, M. The challenges and perspectives of the selection of starter cultures for fermented cocoa beans. Int. J. Food Microbiol. 2019, 301, 41–50. [Google Scholar] [CrossRef]
- Yánez-Mendizábal, V.; Falconi, C.E.; Palacios, H. Identification of microbial population in two fine cocoa varieties during the commercial fermentation process. Food Microbiol. Saf. 2023, accepted. [Google Scholar]
- Falconí, C.E.; Yánez-Mendizábal, V.; Claudio, D.R. Native Bacillus subtilis strains efficiently control lupin anthracnose both under greenhouse and in field conditions. Int. J. Adv. Sci. Eng. Inf. Technol. 2022, 12, 2519–2526. [Google Scholar] [CrossRef]
- Yánez-Mendizábal, V.; Falconí, C.E.; Kanaley, K. Production optimization of antifungal lipopeptides by Bacillus subtilis CtpxS2-1 using low-cost optimized medium. Biol. Control 2023, 185, 105306. [Google Scholar] [CrossRef]
- Dotan, S.; Amaya, J.; Fredy, N.; Palacios, B. Plan de Desarrollo y Ordenamiento Territorial 2015–2020. Gobierno Autónomo Descentralizado del Cantón Vinces. Vinces, Ecuador. 2015. Available online: http://app.sni.gob.ec/sni-link/sni/PORTAL_SNI/data_sigad_plus/sigadplusdiagnostico/1260001030001_Diagnostico%20Territorial%20del%20Cant%C3%B3n%20Vinces%202015_2020_04-04-2016_15-59-59.pdf (accessed on 29 May 2023).
- Ho, V.T.; Zhao, J.; Graham, F. Yeasts are essential for cocoa bean fermentation. Int. J. Food Microbiol. 2014, 174, 72–87. [Google Scholar] [CrossRef] [PubMed]
- Violeta, N.; Trandafir, I.; Ionica, M. HPLC Organic Acid Analysis in Different Citrus Juices under Reversed Phase Conditions. Not. Bot. Horti Agrobot. Cluj-Napoca 2010, 38, 44–48. [Google Scholar] [CrossRef]
- Carrillo, L.; Londoño, J.; Gil, A. Comparison of polyphenol, methylxanthines and antioxidant activity in Theobroma cacao beans from different cocoa-growing areas in Colombia. Food Res. Int. 2014, 60, 273–280. [Google Scholar] [CrossRef]
- INEN. NORMA TÉCNICA ECUATORIANA NTE INEN 176, Cocoa Beans Requirements, Sexta Revisión. Quito, Ecuador. 2021. Available online: https://corpalmesa.com/wp-content/uploads/2021/07/CORPALMESAnte_inen_.pdf (accessed on 4 September 2023).
- Coexca. Instructivo Control Calidad/Coexca. Colombia Exporta Cacao Fino y de Aroma. Colombia. 2017, pp. 19–26. Available online: https://www.swisscontact.org/_Resources/Persistent/5/6/1/6/5616ce94e66df97f365ec26cdf9ad999fef0bc18/InstructivoControlCalidad.pdf (accessed on 5 September 2023).
- Mayo, B.; Flórez, A. Lactic Acid Bacteria: Lactobacillus plantarum. In Encyclopedia of Dairy Sciences, 3rd ed.; McSweeney, P.L.H., McNamara, J.P., Eds.; Academic Press: Cambridge, MA, USA, 2022; pp. 206–217. [Google Scholar] [CrossRef]
- Muñoz, A.; Gómez, S. Análisis Comparativo de la Diversidad Microbiana y la Producción de Compuestos Bioquímicos de Cacao (Theobroma cacao L.) Variedades Nacional y Trinitario ccn-51 durante la Fermentación. Bachelor´s Thesis, Universidad de las Américas, Quito, Ecuador, 2020; pp. 27–32. Available online: https://dspace.udla.edu.ec/handle/33000/12186 (accessed on 14 May 2023).
- Sharmistha, S.; Tanmay, S.; Runu, C.; Maksim, R.; Mohammad, A.S.; Muthu, T.; Kannan, R.R.R. Dark chocolate: An overview of its biological activity, processing, and fortification approaches. Curr. Res. Food Sci. 2022, 5, 1916–1943. [Google Scholar] [CrossRef]
- Colonges, K.; Seguine, E.; Saltos, A.; Davrieux, F.; Minier, J.; Jimenez, J.C.; Lahon, M.C.; Calderon, D.; Subia, C.; Sotomayor, I.; et al. Diversity and determinants of bitterness, astringency, and fat content in cultivated Nacional and native Amazonian cocoa accessions from Ecuador. Plant Genome 2022, 15, e20218. [Google Scholar] [CrossRef]
- Janek, K.; Niewienda, A.; Wöstemeyer, J.; Voigt, J. The cleavage specificity of the aspartic protease of cocoa beans involved in the generation of the cocoa-specific aroma precursors. Food Chem. 2016, 211, 320–328. [Google Scholar] [CrossRef]
- Cempaka, L.; Aliwarga, L.; Purwo, S. Dynamics of cocoa bean pulp degradation during cocoa bean fermentation: Effects of yeast starter culture addition. J. Math. Fundam. Sci. 2014, 46, 14–25. [Google Scholar] [CrossRef]
- Voigt, J. Chocolate and Cocoa Aroma. In Chocolate in Health and Nutrition, Primera ed.; Watson, R., Preedy, V., Zibadi, S., Eds.; Humana Press: New York, NY, USA, 2013; pp. 89–93. [Google Scholar] [CrossRef]
- Santander, M.; Rodríguez, J.; Vaillant, F.; Escobar, S. An overview of the physical and biochemical transformation of cocoa seeds to beans and to chocolate: Flavor formation. Crit. Rev. Food Sci. Nutr. 2019, 60, 1593–1613. [Google Scholar] [CrossRef]
- Sârbu, I.; Csutak, O. The microbiology of cocoa fermentation. Caffeinated Cocoa Based Beverages 2019, 8, 423–446. [Google Scholar] [CrossRef]
- Sandhya, M.V.S.; Yallappa, B.S.; Varadaraj, M.C.; Puranaik, J.; Jaganmohan, R.; Janardhan, P.; Murthy Pushpa, S. Inoculum of the starter consortia and interactive metabolic process in enhancing quality of cocoa bean (Theobroma cacao) fermentation. LWT—Food Sci. Technol. 2016, 65, 731–738. [Google Scholar] [CrossRef]
- Saunshi, Y.P.; Sagar Sandhya, M.V.; Rastogi, N.K.; Murthy, P.S. Starter consortia for on-farm cocoa fermentation and their quality attributes. Prep. Biochem. Biotechnol. 2020, 50, 272–280. [Google Scholar] [CrossRef] [PubMed]
- Schwan, R.F. Cocoa fermentations conducted with a defined microbial cocktail inoculum. Appl. Environ. Microbiol. 1998, 44, 1477–1483. [Google Scholar] [CrossRef] [PubMed]
- Visintin, S.; Ramos, L.; Batista, N.; Dolci, P.; Schwan, F.; Cocolin, L. Impact of Saccharomyces cerevisiae and Torulaspora delbrueckii starter cultures on cocoa beans fermentation. Int. J. Food Microbiol. 2017, 257, 31–40. [Google Scholar] [CrossRef] [PubMed]
- Illeghems, K.; Pelicaen, R.; De Vuyst, L.; Weckx, S. Assessment of the contribution of cocoa-derived strains of Acetobacter ghanensis and Acetobacter senegalensis to the cocoa bean fermentation process through a genomic approach. Food Microbiol. 2016, 58, 68–78. [Google Scholar] [CrossRef]
- Ramos, N.; Castro, A.; Juárez, J.; de la Cruz, O.; Rodríguez, N.; Blancas, J.; Navarro, A. Evaluación de ocratoxina a en Theobroma cacao l. “cacao blanco” durante el proceso de cosecha, fermentado, secado y almacenado. Rev. Soc. Química Del Perú 2016, 82, 431–439. [Google Scholar] [CrossRef]
- Ruggirello, M.; Nucera, D.; Cannoni, M.; Peraino, A.; Rosso, F.; Fontana, M.; Cocolin, L.; Dolci, P. Antifungal activity of yeasts and lactic acid bacteria isolated from cocoa bean fermentations. Food Res. Int. 2019, 115, 519–525. [Google Scholar] [CrossRef]
- Romanensa, E.; Freimüller, S.; Volland, A.; Stevens, M.; Krähenmann, U.; Isele, D.; Fischer, B.; Meile, L.; Schwenninger, S. Screening of lactic acid bacteria and yeast strains to select adapted antifungal co-cultures for cocoa bean fermentation. Int. J. Food Microbiol. 2019, 290, 262–272. [Google Scholar] [CrossRef]
- Schwan, R.; Wheals, A. The Microbiology of cocoa fermentation and its role in chocolate quality. Crit. Rev. Food Sci. Nutr. 2004, 44, 205–221. [Google Scholar] [CrossRef]
- Gálvez, S.L.; Loiseau, G.; Paredes, J.L.; Barel, M.; Guiraud, J.P. Study on the microflora and biochemistry of cocoa fermentation in the Dominican Republic. Int. J. Food Microbiol. 2007, 114, 124–130. [Google Scholar] [CrossRef]
- García-Gonzalez, E.; Mendez-Orejuela, J.H.; Sierra-Banguera, J.S.; Chamorro-Moreno, D.I.; Ordoñez-Narváez, G.A.; Ochoa-Muñoz, A.F.; Montalvo-Rodriguez, C. Ecology and population dynamics of yeast starter cultures in cocoa beans fermentation. BioTechnologia 2022, 103, 343–353. [Google Scholar] [CrossRef] [PubMed]
- Batista, N.N.; Lacerda, C.; Dias, D.; Carla, A.; Marques, A.; Freitas, R. Dynamic behavior of Saccharomyces cerevisiae, Pichia kluyveri and Hanseniaspora uvarum during spontaneous and inoculated cocoa fermentations and their effect on sensory characteristics of chocolate. LWT—Food Sci. Technol. 2015, 63, 221–227. [Google Scholar] [CrossRef]
- Bastos, V.S.; Santos, M.F.S.; Gomes, L.P.; Leite, A.M.O.; Paschoalin, V.M.F.; Del Aguila, E.M. Analysis of the cocobiota and metabolites of Moniliophthora perniciosa-resistant (Theobroma cacao L.) beans during spontaneous fermentation in Southern Brazil. J. Sci. Food Agric. 2018, 98, 4963–4970. [Google Scholar] [CrossRef] [PubMed]
- Bickel Haase, T.; Schweiggert-Weisz, U.; Ortner, E.; Zorn, H.; Naumann, S. Aroma properties of cocoa fruit pulp from different origins. Molecules 2021, 26, 7618. [Google Scholar] [CrossRef]
- Papalexandratou, Z.; Dennis, S.; Nielsen, D.S. It’s Gettin’ Hot in here: Breeding robust yeast starter cultures for cocoa fermentation. Trends Microbiol. 2016, 24, 168–170. [Google Scholar] [CrossRef]
- Cempaka, L.; Rahmawati, E.A.; David, W.A. Sensory profiles of chocolate drinks made from commercial fermented cocoa powder and unfermented cocoa beans. Curr. Res. Nutr. Food Sci. 2021, 9, 988–999. [Google Scholar] [CrossRef]
- Ooi, T.; Ting, A.; Siow, L. Influence of selected native yeast starter cultures on the antioxidant activities, fermentation index and total soluble solids of Malaysia cocoa beans: A simulation study. LWT—Food Sci. Technol. 2020, 122, 108977. [Google Scholar] [CrossRef]
- Afoakwa, E.O.; Quao, J.; Takrama, J.; Budu, A.S.; Saalia, F.K. Chemical composition and physical quality characteristics of Ghanaian cocoa beans as affected by pulp pre-conditioning and fermentation. J. Food Sci. Technol. 2013, 50, 1097–1105. [Google Scholar] [CrossRef]
- Viesser, J.; Pereira, G.; de Carvalho, D.; Vandenberghe, L.; Azevedo, V.; Brenig, B.; de Carvalho, D.; Rogez, H.; Góes-Neto, A.; Soccol, C. Exploring the contribution of fructophilic lactic acid bacteria to cocoa beans fermentation: Isolation, selection and evaluation. Food Res. Int. 2020, 136, 109478. [Google Scholar] [CrossRef]
- Kresnowati, M.T.A.P.; Suryani, L.; Affifah, M. Improvement of cocoa beans fermentation by LAB starter addition. J. Med. Bioeng. 2013, 2, 274–278. [Google Scholar] [CrossRef]
- Puerari, C.; Teixeira Magalhães, K.; Freitas Schwan, R. New cocoa pulp-based kefir beverages: Microbiological, chemical composition and sensory analysis. Food Res. Int. 2012, 48, 634–640. [Google Scholar] [CrossRef]
- López, M.; Criollo, J.; Hernández, M.; Lozano, M. Physicochemical and microbiological dynamics of the fermentation of the CCN51 cocoa material in three maturity stages. Rev. Bras. Frutic. 2019, 41, 1–13. [Google Scholar] [CrossRef]
- El Salous, A.; Angulo, A.; Solís, L. Acceleration of cocoa fermentation through the action of bacteria (Acetobacter aceti) and yeast (Saccharomyces cerevisiae). Espirales Rev. Multidiscip. Investig. Científica 2019, 3, 1–20. [Google Scholar] [CrossRef]
- Fonseca, D.; López, D.; Ortíz, S.; Nuñez, C.; Lozano, D. Effect of addition of a specific mixture of yeast, lactic and acetic bacteria in the fermentation process to improve the quality and flavor of cocoa beans in Colombia. Pelita Perkeb. (Coffee Cocoa Res. J.) 2020, 36, 154–172. [Google Scholar] [CrossRef]




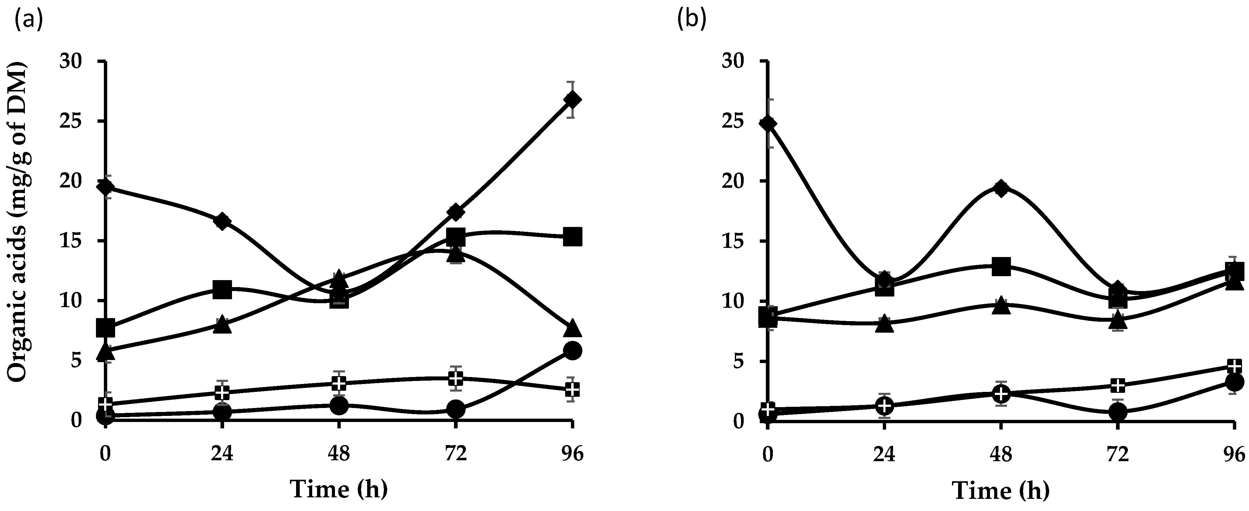
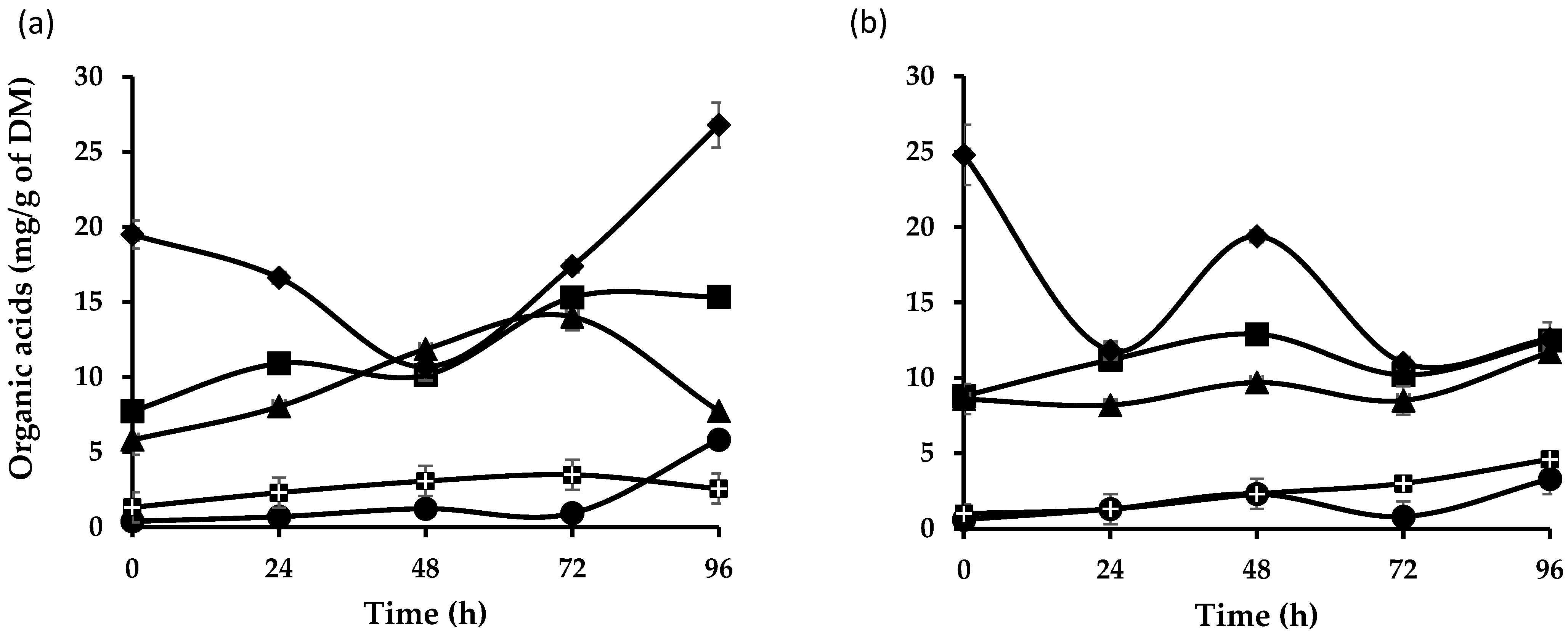
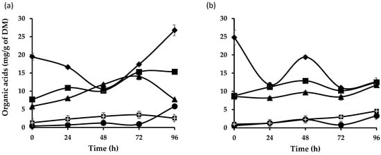
) acids during bean fermentation of the Nacional cocoa variety, comparing spontaneous fermentation (a) to microbial cocktail fermentation with a starter culture (b). Values represent the means of eight replicates and vertical bars indicate the standard deviation of the means.
) acids during bean fermentation of the Nacional cocoa variety, comparing spontaneous fermentation (a) to microbial cocktail fermentation with a starter culture (b). Values represent the means of eight replicates and vertical bars indicate the standard deviation of the means.


| Requirements | Unit | Spontaneous Fermentation | Starter Culture | CBAS |
|---|---|---|---|---|
| Maximum humidity | % | 60.64 | 58 | 7 |
| 100 beans weight | g | 106.5 | 109.9 | 100–120 |
| Fermented beans, minimal | % | 57 | 77 | 53 |
| Violet beans, maximum | % | 43 | 20 | 25 |
| Slaty beans, maximum | % | 0 | 3 | 18 |
| Moldy beans, maximum | % | 0 | 0 | 4 |
| Totals (analysis in 100 g) | % | 100 | 100 | 100 |
| Polyphenol content | GA mg/g DM | 11.23 | 16.92 | 25–40 |
Disclaimer/Publisher’s Note: The statements, opinions and data contained in all publications are solely those of the individual author(s) and contributor(s) and not of MDPI and/or the editor(s). MDPI and/or the editor(s) disclaim responsibility for any injury to people or property resulting from any ideas, methods, instructions or products referred to in the content. |
© 2023 by the authors. Licensee MDPI, Basel, Switzerland. This article is an open access article distributed under the terms and conditions of the Creative Commons Attribution (CC BY) license (https://creativecommons.org/licenses/by/4.0/).
Share and Cite
Falconí, C.E.; Yánez-Mendizábal, V.; Haro, R.J.; Claudio, D.R. Inoculum of a Native Microbial Starter Cocktail to Optimize Fine-Aroma Cocoa (Theobroma cacao) Bean Fermentation. Agronomy 2023, 13, 2572. https://doi.org/10.3390/agronomy13102572
Falconí CE, Yánez-Mendizábal V, Haro RJ, Claudio DR. Inoculum of a Native Microbial Starter Cocktail to Optimize Fine-Aroma Cocoa (Theobroma cacao) Bean Fermentation. Agronomy. 2023; 13(10):2572. https://doi.org/10.3390/agronomy13102572
Chicago/Turabian StyleFalconí, César E., Viviana Yánez-Mendizábal, Roberto J. Haro, and Darwin R. Claudio. 2023. "Inoculum of a Native Microbial Starter Cocktail to Optimize Fine-Aroma Cocoa (Theobroma cacao) Bean Fermentation" Agronomy 13, no. 10: 2572. https://doi.org/10.3390/agronomy13102572
APA StyleFalconí, C. E., Yánez-Mendizábal, V., Haro, R. J., & Claudio, D. R. (2023). Inoculum of a Native Microbial Starter Cocktail to Optimize Fine-Aroma Cocoa (Theobroma cacao) Bean Fermentation. Agronomy, 13(10), 2572. https://doi.org/10.3390/agronomy13102572

