Effect of Water-Fertilizer Coupling on the Growth and Physiological Characteristics of Young Apple Trees
Abstract
:1. Introduction
2. Materials and Methods
2.1. Experimental Site Description
2.2. Experimental Design
2.3. Measurement Methods
2.3.1. Plant Growth and Basal Stem Growth
2.3.2. Leaf Area
2.3.3. Chlorophyll SPAD Value
2.3.4. Photosynthetic Characteristics and Water Use Efficiency (WUE)
2.3.5. Dry Matter (DM), Water Consumption (ET), and Crop Water Productivity (CWP)
2.4. Statistical Analysis
3. Results
3.1. Plant Growth
3.2. Basal Stem Growth
3.3. Leaf Area
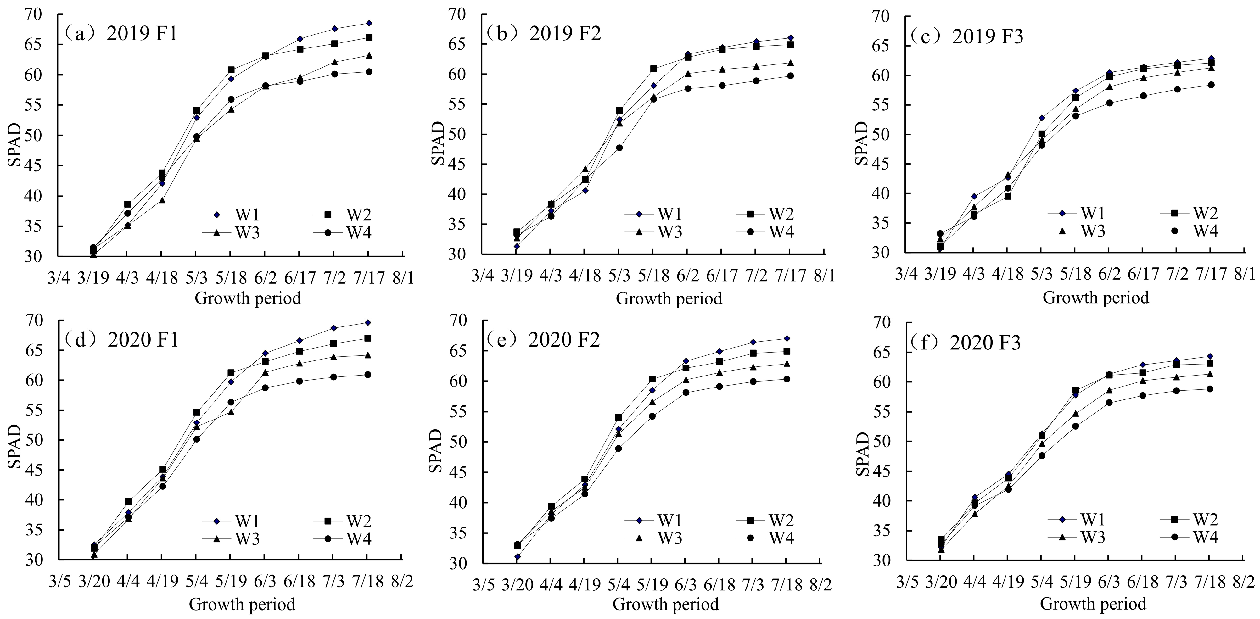
3.4. SPAD
3.5. Dry Matter (DM), Water Consumption (ET) and Crop Water Productivity (CWP)
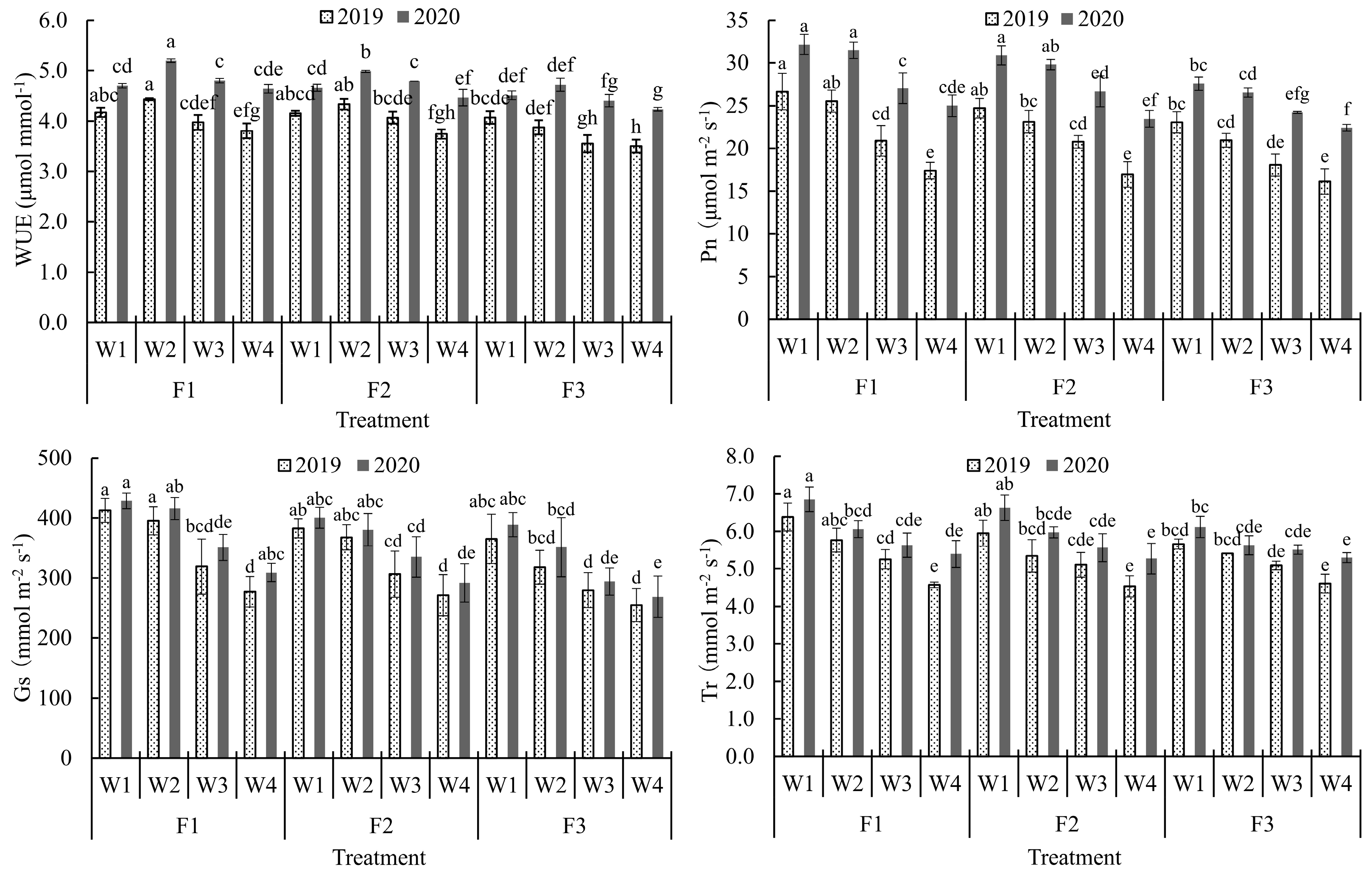
3.6. Photosynthetic Characteristics and Water Use Efficiency (WUE)
3.7. Correlations between Plant Growth and Other Physiological Indicators
3.8. Correlation between Leaf Area and Other Physiological Indicators

3.9. Correlation between Dry Matter (DM) and Other Indicators
4. Discussion
4.1. Effect of Water-Fertilizer Coupling on the Growth and Dry Matter (DM) of Young Apple Trees
4.2. Effect of Water-Fertilizer Coupling on Water Consumption (ET) and Water Productivity (WP) of Young Apple Trees
4.3. Effect of Water-Fertilizer Coupling on Photosynthetic Characteristics and Water Use Efficiency (WUE) of Young Apple Trees
4.4. Correlations among Growth, Leaf Area, Dry Matter (DM), and Physiological Indicators of Young Apple Plants under Coupled Water and Fertilizer Conditions
5. Conclusions
Author Contributions
Funding
Data Availability Statement
Conflicts of Interest
References
- Musacchi, S.; Serra, S. Apple fruit quality: Overview on pre-harvest factors. Sci. Hortic. 2018, 234, 409–430. [Google Scholar] [CrossRef]
- Giaretta, A.G.; Schulz, M.; Silveira, T.T.; de Oliveira, M.V.; Patrício, M.J.; Gonzaga, L.V.; Fett, R.; da Silva, E.L.; Wazlawik, E. Apple intake improves antioxidant parameters in hemodialysis patients without affecting serum potassium levels. Nutr. Res. 2019, 64, 56–63. [Google Scholar] [CrossRef] [PubMed]
- FAO (Food and Agriculture Organization). FAO Statistical Databases. 2020. Available online: http://www.fao.org (accessed on 25 October 2022).
- Huo, X.; Liu, T.; Liu, J.; Wei, Y.; Yao, X.; Ma, X.; Lu, F. China Apple Industry Development Report in 2020. China Fruit Veg. 2023, 42, 1–6. (In Chinese) [Google Scholar]
- Wang, N.; Wolf, J.; Zhang, F.S. Towards sustainable intensification of apple production in China—Yield gaps and nutrient use efficiency in apple farming systems. J. Integr. Agric. 2016, 15, 716–725. [Google Scholar] [CrossRef]
- Zhang, B.; Su, S.; Duan, C.; Feng, H.; Chau, W.; He, J.; Hill, R.; Wu, S.; Zou, Y. Effects of partial organic fertilizer replacement combined with rainwater collection system on soil water, nitrate-nitrogen and apple yield of rainfed apple orchard in the Loess Plateau of China: A 3-year field experiment. Agric. Agric. Water Manag. Manag. 2022, 260, 107295. [Google Scholar] [CrossRef]
- Seleiman, M.F.; Al-Suhaibani, N.; Ali, N.; Akmal, M.; Alotaibi, M.; Refay, Y.; Turgay, T.; Hafiz, H.; Battaglia, M. Drought stress impacts on plants and different approaches to alleviate its adverse effects. Plants 2021, 10, 259. [Google Scholar] [CrossRef] [PubMed]
- Parthasarathi, T.; Vanitha, K.; Mohandass, S.; Vered, E. Evaluation of drip irrigation system for water productivity and yield of rice. Agron. J. 2018, 110, 2378–2389. [Google Scholar] [CrossRef]
- Irmak, S.; Mohammed, A.T.; Kukal, M.S. Maize response to coupled irrigation and nitrogen fertilization under center pivot, subsurface drip and surface (furrow) irrigation: Growth, development and productivity. Agric. Water Manag. 2022, 263, 107457. [Google Scholar] [CrossRef]
- Xiao, C.; Zou, H.; Fan, J.; Zhang, F.; Li, Y.; Sun, S.; Pulatov, A. Optimizing irrigation amount and fertilization rate of drip-fertigated spring maize in northwest China based on multi-level fuzzy comprehensive evaluation model. Agric. Water Manag. 2021, 257, 107157. [Google Scholar] [CrossRef]
- Wang, H.; Cheng, M.; Zhang, S.; Fan, J.; Feng, H.; Zhang, F.; Wang, X.; Sun, L.; Xiang, Y. Optimization of irrigation amount and fertilization rate of drip-fertigated potato based on Analytic Hierarchy Process and Fuzzy Comprehensive Evaluation methods. Agric. Water Manag. 2021, 256, 107130. [Google Scholar] [CrossRef]
- Casamali, B.; van Iersel, M.W.; Chavez, D.J. Nitrogen Partitioning in Young “Julyprince” Peach Trees Grown with Different Irrigation and Fertilization Practices in the Southeastern United States. Agronomy 2021, 11, 350. [Google Scholar] [CrossRef]
- Jamshidi, S.; Zand-Parsa, S.; Kamgar-Haghighi, A.A.; Shahsavar, A.R.; Niyogi, D. Evapotranspiration, crop coefficients, and physiological responses of citrus trees in semi-arid climatic conditions. Agric. Water Manag. 2020, 227, 105838. [Google Scholar] [CrossRef]
- Bhatt, R.; Singh, J.; Laing, A.M.; Meena, R.S.; Alsanie, W.F.; Gaber, A.; Hossain, A. Potassium and water-deficient conditions influence the growth, yield and quality of ratoon sugarcane (Saccharum officinarum L.) in a semi-arid agroecosystem. Agronomy 2021, 11, 2257. [Google Scholar] [CrossRef]
- Parvizi, H.; Sepaskhah, A.R.; Ahmadi, S.H. Effect of drip irrigation and fertilizer regimes on fruit yields and water productivity of a pomegranate (Punica granatum (L.) cv. Rabab) orchard. Agric. Water Manag. 2014, 146, 45–56. [Google Scholar] [CrossRef]
- Guo, X.; Zhang, Y.; Wei, X.; Li, Y.; Wei, T.; Zhang, X. Water-carbon Coupling of Plant Leaf and Whole-plant and Their Relationship. J. Earth Sci. Environ. 2023, 45, 991–1001. [Google Scholar]
- Abdel-Sattar, M.; Almutairi, K.F.; Aboukarima, A.M.; El-Mahrouky, M. Impact of organic manure on fruit set, fruit retention, yield, and nutritional status in pomegranate (Punica granatum L. “Wonderful”) under water and mineral fertilization deficits. PeerJ 2021, 9, e10979. [Google Scholar] [CrossRef] [PubMed]
- Schiattone, M.I.; Viggiani, R.; Di Venere, D.; Sergio, L.; Cantore, V.; Todorovic, M.; Perniola, M.; Candido, V. Impact of irrigation regime and nitrogen rate on yield, quality and water use efficiency of wild rocket under greenhouse conditions. Sci. Hortic. 2018, 229, 182–192. [Google Scholar] [CrossRef]
- Quaggio, J.A.; Souza, T.R.; Zambrosi, F.C.; Mattos, D., Jr.; Boaretto, R.M.; Silva, G. Citrus fruit yield response to nitrogen and potassium fertilization depends on nutrient-water management system. Sci. Hortic. 2019, 249, 329–333. [Google Scholar] [CrossRef]
- Peng, Y.; Fei, L.; Liu, X.; Sun, G.; Hao, K.; Cui, N.; Zhao, L.; Liu, L.; Jie, F. Coupling of regulated deficit irrigation at maturity stage and moderate fertilization to improve soil quality, mango yield and water-fertilizer use efficiency. Sci. Hortic. 2023, 307, 111492. [Google Scholar] [CrossRef]
- Zhang, S.; Chen, S.; Hu, T.; Geng, C.; Liu, J. Optimization of irrigation and nitrogen levels for a trade-off: Yield, quality, water use efficiency and environment effect in a drip-fertigated apple orchard based on TOPSIS method. Sci. Hortic. 2023, 309, 111700. [Google Scholar] [CrossRef]
- Lovelock, C.E.; Ball, M.C.; Feller, I.C.; Engelbrecht, B.M.; Ling Ewe, M. Variation in hydraulic conductivity of mangroves: Influence of species, salinity, and nitrogen and phosphorus availability. Physiol. Plant. 2006, 127, 457–464. [Google Scholar] [CrossRef]
- Li, Y.; Liu, X.; Fang, H.; Shi, L.; Yue, X.; Yang, Q. Exploring the coupling mode of irrigation method and fertilization rate for improving growth and water-fertilizer use efficiency of young mango tree. Sci. Hortic. 2021, 286, 110211. [Google Scholar] [CrossRef]
- Wang, H.; Wu, L.; Cheng, M.; Fan, J.; Zhang, F.; Zou, Y.; Chau, H.W.; Gao, Z.; Wang, X. Coupling effects of water and fertilizer on yield, water and fertilizer use efficiency of drip-fertigated cotton in northern Xinjiang, China. Field Crops Res. 2018, 219, 169–179. [Google Scholar] [CrossRef]
- Guo, J.; Fan, J.; Xiang, Y.; Zhang, F.; Yan, S.; Zhang, X.; Zheng, J.; Li, Y.; Tang, Z.; Li, Z. Coupling effects of irrigation amount and nitrogen fertilizer type on grain yield, water productivity and nitrogen use efficiency of drip-irrigated maize. Agric. Water Manag. 2022, 261, 107389. [Google Scholar] [CrossRef]
- Yan, S.; Wu, Y.; Fan, J.; Zhang, F.; Qiang, S.; Zheng, J.; Xiang, Y.; Guo, J.; Zou, H. Effects of water and fertilizer management on grain filling characteristics, grain weight and productivity of drip-fertigated winter wheat. Agric. Water Manag. 2019, 213, 983–995. [Google Scholar] [CrossRef]
- Panigrahi, P.; Srivastava, A.K. Water and nutrient management effects on water use and yield of drip irrigated citrus in vertisol under a sub-humid region. J. Integr. Agric. 2017, 16, 1184–1194. [Google Scholar] [CrossRef]
- Jayakumar, M.; Janapriya, S.; Surendran, U. Effect of drip fertigation and polythene mulching on growth and productivity of coconut (Cocos nucifera L.), water, nutrient use efficiency and economic benefits. Agric. Water Manag. 2017, 182, 87–93. [Google Scholar]
- Zhou, H.M.; Zhang, S.; Du, X.W.; Niu, X.L.; Wang, S.S.; Xie, X.L. Effects of Water and Fertilizer Coupling on Growth and Physiological Characteristics of Young Apple Tree under Drip Irrigation. Trans. Chin. Soc. Agric. Mach. 2021, 52, 337–348. [Google Scholar]
- Oweis, T.Y.; Farahani, H.J.; Hachum, A.Y. Evapotranspiration and water use of full and deficit irrigated cotton in the Mediterranean environment in northern Syria. Agric. Water Manag. 2011, 98, 1239–1248. [Google Scholar] [CrossRef]
- Xu, D.; Gong, S.H.; Li, Y.N.; Liu, Y. Overview of recent study on improvement approaches and methods for crop water productivity. J. Hydraul. Eng. 2010, 41, 631–639. (In Chinese) [Google Scholar]
- Ali, M.H.; Talukder, M.S.U. Increasing water productivity in crop production—A synthesis. Agric. Water Manag. 2008, 95, 1201–1213. [Google Scholar] [CrossRef]
- Kiymaz, S.; Ertek, A. Yield and quality of sugar beet (Beta vulgaris L.) at different water and nitrogen levels under the climatic conditions of Kırsehir, Turkey. Agric. Water Manag. 2015, 158, 156–165. [Google Scholar] [CrossRef]
- Parkash, V.; Singh, S.; Deb, S.K.; Ritchie, G.L.; Wallace, R.W. Effect of deficit irrigation on physiology, plant growth, and fruit yield of cucumber cultivars. Plant Stress 2021, 1, 100004. [Google Scholar] [CrossRef]
- Zhao, Z.P.; Sha, Y.; Fen, L.; Puhui, J.; Xiaoying, W.; Yan’an, T. Effects of chemical fertilizer combined with organic manure on Fuji apple quality, yield and soil fertility in apple orchard on the Loess Plateau of China. Int. J. Agric. Biol. Eng. 2014, 7, 45–55. [Google Scholar]
- Kumar, R.; Pareek, N.K.; Kumar, U.; Javed, T.; Al-Huqail, A.A.; Rathore, V.S.; Nangia, V.; Choudhary, A.; Nanda, G.; Ali, H.M.; et al. Coupling effects of nitrogen and irrigation levels on growth attributes, nitrogen use efficiency, and economics of cotton. Front. Plant Sci. 2022, 13, 890181. [Google Scholar] [CrossRef] [PubMed]
- Gundlur, S.S.; Rajkumara, S.; Neelakanth, J.K.; Ashoka, P.; Khot, A.B. Water and nutrient requirement of bt cotton under vertisols of Malaprabha command. Karnataka J. Agric. Sci. 2013, 26, 368–371. [Google Scholar]
- Liu, X.G.; Xu, H.; Cheng, J.; Jin, L.; Yang, Q.; Huang, Z. Coupling effects of water and fertilization on growth and water use of Coffea arabica seedling. J. Zhejiang Univ. (Agric. Life Sci.) 2014, 40, 33–40. [Google Scholar]
- Zhou, H.; Niu, X.; Yan, H.; Zhao, N.; Zhang, F.; Wu, L.; Yin, D.; Kjelgren, R. Interactive effects of water and fertilizer on yield, soil water and nitrate dynamics of young apple tree in semiarid region of northwest China. Agronomy 2019, 9, 360. [Google Scholar] [CrossRef]
- Dai, Z.G.; FEI, L.J.; Jian, Z.E.N.G.; Huang, D.L.; Teng, L.I.U. Optimization of water and nitrogen management for surge-root irrigated apple trees in the Loess Plateau of China. J. Integr. Agric. 2021, 20, 260–273. [Google Scholar] [CrossRef]
- Wang, L.X.; Li, Z.; Jiang, X.; Meng, W.; Chen, W. Effects of different water and fertilizer conditions on growth, yield and quality of greenhouse cucumber. J. Shenyang Agric. Univ. 2019, 50, 78–86. (In Chinese) [Google Scholar]
- Cao, X.; Feng, Y.; Li, H.; Zheng, H.; Wang, J.; Tong, C. Effects of subsurface drip irrigation on water consumption and yields of alfalfa under different water and fertilizer conditions. J. Sens. 2021, 2021, 6617437. [Google Scholar] [CrossRef]
- Liu, Y.N.; Bai, M.J.; Zhang, B.Z.; Wu, X.B.; Shi, Y. lmpact of Different Water-nitrogen Couplings on Yield and Water-nitrogen Productivity of Golden Pear. J. Irrig. Drain. 2020, 39, 68–75. (In Chinese) [Google Scholar]
- Li, H.; Liu, H.; Gong, X.; Li, S.; Pang, J.; Chen, Z.; Sun, J. Optimizing irrigation and nitrogen management strategy to trade off yield, crop water productivity, nitrogen use efficiency and fruit quality of greenhouse grown tomato. Agric. Water Manag. 2021, 245, 106570. [Google Scholar] [CrossRef]
- Zhang, Y.; Wang, J.; Gong, S.; Xu, D.; Sui, J. Nitrogen fertigation effect on photosynthesis, grain yield and water use efficiency of winter wheat. Agric. Water Manag. 2017, 179, 277–287. [Google Scholar] [CrossRef]
- Li, Y.; Song, H.; Zhou, L.; Xu, Z.; Zhou, G. Vertical distributions of chlorophyll and nitrogen and their associations with photosynthesis under drought and rewatering regimes in a maize field. Agric. For. Meteorol. 2019, 272, 40–54. [Google Scholar] [CrossRef]
- Guizani, M.; Dabbou, S.; Maatallah, S.; Montevecchi, G.; Hajlaoui, H.; Rezig, M.; Helal, A.N.; Kilani-Jaziri, S. Physiological responses and fruit quality of four peach cultivars under sustained and cyclic deficit irrigation in center-west of Tunisia. Agric. Water Manag. 2019, 217, 81–97. [Google Scholar] [CrossRef]
- Yang, Q.; Zhang, F.; Li, F. Effect of different drip irrigation methods and fertilization on growth, physiology and water use of young apple tree. Sci. Hortic. 2011, 129, 119–126. [Google Scholar] [CrossRef]
- Zhang, S.; Li, Y. Study on effects of fertilizing on crop yield and its mechanism to raise water use efficiency. Res. Soil Water Conserv. 1996, 3, 185–191. (In Chinese) [Google Scholar]
- Radin, J.W.; Matthews, M.A. Water transport properties of cortical cells in roots of nitrogen-and phosphorus-deficient cotton seedlings. Plant Physiol. 1989, 89, 264–268. [Google Scholar] [CrossRef]
- Sun, G.Z.; Liu, X.G.; Yu, X.D.; Peng, Y.L.; Leng, X.X.; Huang, Y.F.; Yang, Q.L. Effects of moistube patterns and fertilization levels on growth and physiological characteristics of blueberry. Chin. J. Ecol. 2019, 38, 604. (In Chinese) [Google Scholar]
- Wang, C.; She, H.Z.; Liu, X.B.; Hu, D.; Ruan, R.W.; Shao, M.B.; Zhang, L.Y.; Zhou, L.B.; Zhang, G.B.; Wu, D.Q.; et al. Effects of fertilization on leaf photosynthetic characteristics and grain yield in tartary buckwheat Yunqiao1. Photosynthetica 2017, 55, 77–84. [Google Scholar] [CrossRef]
- Verma, K.K.; Liu, X.H.; Wu, K.C.; Singh, R.K.; Song, Q.Q.; Malviya, M.K.; Song, X.-P.; Singh, P.; Verma, C.L.; Li, Y.-R. The impact of silicon on photosynthetic and biochemical responses of sugarcane under different soil moisture levels. Silicon 2020, 12, 1355–1367. [Google Scholar] [CrossRef]
- Sun, G.; Li, Y.; Liu, X.; Cui, N.; Gao, Y.; Yang, Q. Effect of moistube fertigation on infiltration and distribution of water-fertilizer in mixing waste biomass soil. Sustainability 2019, 11, 6757. [Google Scholar] [CrossRef]
- Huo, Z.; Sun, Z.; Xing, X.; Wei, X.; Li, X.; Liu, C.; Xue, G.; Xu, S.; Yang, T. Effects of water and fertilizer integration on growth, morphology, physiology and photosynthetic characteristics of flue-cured tobacco in the North China. Chin. J. Eco-Agric. 2017, 25, 1317–1325. (In Chinese) [Google Scholar]
- An, N.; Palmer, C.M.; Baker, R.L.; Markelz, R.C.; Ta, J.; Covington, M.F.; Maloof, J.N.; Welch, S.M.; Weinig, C. Plant high-throughput phenotyping using photogrammetry and imaging techniques to measure leaf length and rosette area. Comput. Electron. Agric. 2016, 127, 376–394. [Google Scholar] [CrossRef]
- Zhou, H.; Niu, X.; Yan, H.; Zhao, L.; Zhao, N.; Xiang, Y. Effects of water and fertilizer coupling on growth and photosynthetic characteristics of young apple tree. J. Henan Agric. Sci. 2019, 48, 112–119. (In Chinese) [Google Scholar]






| Soil Property | Value |
|---|---|
| Soil texture | cinnamon soil |
| Soil organic matter | 12.6 g kg−1 |
| Nitrate nitrogen | 16.4 mg kg−1 |
| Ammonium nitrogen | 8.3 mg kg−1 |
| Total nitrogen | 1.0 g kg−1 |
| Available nitrogen | 58.6 mg kg−1 |
| Available phosphorus | 13.2 mg kg−1 |
| Available potassium | 198 mg kg−1 |
| Field capacity | 24.1% |
| PH | 8.03 |
| Fertilizer Treatment (N-P2O5-K2O) | Irrigation Treatment | ||||
|---|---|---|---|---|---|
| W1 | W2 | W3 | W4 | ||
| F1 | 27-9-9 g | 75~90% Fs | 65~80% Fs | 55~70% Fs | 45~60% Fs |
| F2 | 18-9-9 g | ||||
| F3 | 9-9-9 g | ||||
| Year | Fertilization Level | Irrigation Level | Budding and Flowering Stage (cm) | Shoot Growth Stage (cm) | Fruit-Setting and Expansion Stage (cm) | Mature Period (cm) | Whole Reproductive Period (cm) |
|---|---|---|---|---|---|---|---|
| 2019 | F1 | W1 | 10.2 ± 0.8 ab | 14.5 ± 0.9 ab | 11.8 ± 1.3 ab | 7.4 ± 1.1 ab | 43.8 ± 4.2 ab |
| W2 | 10.9 ± 1.4 a | 15.4 ± 1.0 a | 13.1 ± 1.1 a | 7.6 ± 1.1 a | 47.0 ± 4.7 a | ||
| W3 | 8.6 ± 1.60 abc | 14.0 ± 0.5 abc | 10.8 ± 1.6 abc | 6.9 ± 0.8 ab | 40.1 ± 4.5 abc | ||
| W4 | 6.9 ± 0.8 cd | 12.6 ± 0.3 bcd | 9.1 ± 0.9 bcd | 5.7 ± 0.4 abcd | 34.2 ± 2.7 bcd | ||
| F2 | W1 | 8.4 ± 1.4 abc | 14.0 ± 0.6 abc | 10.4 ± 0.9 abc | 6.7 ± 1.2 abc | 39.4 ± 4.1 abc | |
| W2 | 8.8 ± 1.3 abc | 15.0 ± 0.6 a | 11.3 ± 1.9 abc | 7.2 ± 1.7 ab | 42.3 ± 5.4 ab | ||
| W3 | 7.7 ± 1.7 bcd | 13.4 ± 0.5 abcd | 9.8 ± 0.9 bc | 4.9 ± 1.1 bcd | 35.7 ± 4.2 bc | ||
| W4 | 7.1 ± 1.6 cd | 12.0 ± 0.5 cde | 8.9 ± 1.1 cd | 4.3 ± 0.9 cd | 32.1 ± 4.1 cd | ||
| F3 | W1 | 7.6 ± 1.0 bcd | 14.0 ± 0.4 abc | 9.8 ± 0.8 bc | 5.8 ± 1.1 abcd | 37.2 ± 3.3 abc | |
| W2 | 7.2 ± 0.9 bcd | 12.3 ± 1.6 cd | 9.4 ± 0.7 bc | 5.6 ± 1.4 abcd | 34.4 ± 4.7 bcd | ||
| W3 | 6.7 ± 1.0 cd | 11.5 ± 1.5 de | 8.9 ± 0.4 cd | 3.9 ± 0.4 d | 30.9 ± 3.2 cd | ||
| W4 | 5.1 ± 1.0 d | 10.1 ± 1.0 e | 6.4 ± 1.1 d | 3.8 ± 0.5 d | 25.4 ± 3.5 d | ||
| Irrigation | ** | ** | ** | * | ** | ||
| Fertilization | * | * | * | * | ** | ||
| Irrigation×Fertilization | ** | * | ns | ** | ** | ||
| 2020 | F1 | W1 | 12.4 ± 1.0 ab | 17.1 ± 1.1 abc | 14.8 ± 1.6 ab | 9.3 ± 1.3 a | 53.6 ± 5.1 ab |
| W2 | 13.6 ± 1.1 a | 18.1 ± 1.2 a | 16.1 ± 1.4 a | 9.6 ± 1.3 a | 57.3 ± 4.9 a | ||
| W3 | 10.8 ± 1.8 abcd | 16.6 ± 0.7 abc | 13.8 ± 1.9 ab | 8.9 ± 0.9 ab | 50.0 ± 5.4 abc | ||
| W4 | 9.1 ± 1.0 cd | 15.3 ± 0.5 abc | 12.4 ± 1.1 bc | 5.6 ± 0.6 abc | 44.2 ± 3.2 bcd | ||
| F2 | W1 | 10.7 ± 1.6 abcd | 16.7 ± 0.8 abc | 13.4 ± 1.2 ab | 8.7 ± 1.3 abc | 49.3 ± 4.9 abc | |
| W2 | 11.2 ± 1.3 abc | 17.6 ± 0.9 ab | 14.2 ± 2.2 ab | 9.2 ± 1.8 a | 52.2 ± 6.2 abc | ||
| W3 | 10.0 ± 1.9 bcd | 16.0 ± 0.7 abc | 12.7 ± 1.2 ab | 7.0 ± 1.1 abc | 45.7 ± 4.9 abcd | ||
| W4 | 9.4 ± 1.8 bcd | 14.6 ± 0.7 bcd | 11.8 ± 1.3 bc | 6.3 ± 1.1 bc | 42.0 ± 4.9 bcd | ||
| F3 | W1 | 10.0 ± 1.0 bcd | 16.6 ± 0.6 abc | 12.9 ± 1.1 ab | 7.8 ± 1.3 abc | 47.3 ± 3.9 abc | |
| W2 | 9.4 ± 1.1 bcd | 14.9 ± 1.8 bc | 12.4 ± 1.0 bc | 7.6 ± 1.6 abc | 44.3 ± 5.5 bcd | ||
| W3 | 9.0 ± 1.2 cd | 14.1 ± 1.7 cd | 11.8 ± 0.6 bc | 5.9 ± 0.5 c | 40.8 ± 4.0 cd | ||
| W4 | 7.9 ± 0.5 d | 11.8 ± 2.6 d | 9.2 ± 1.6 c | 6.1 ± 0.4 bc | 34.9 ± 5.0 d | ||
| Irrigation | ** | ** | ** | * | ** | ||
| Fertilization | * | ns | * | * | ** | ||
| Irrigation×Fertilization | ** | ns | ns | ** | * | ||
| Year | Fertilization Level | Irrigation Level | Budding and Flowering Stage (mm) | Shoot Growth Stage (mm) | Fruit-Setting and Expansion Stage (mm) | Mature Period (mm) | Whole Reproductive Period (mm) |
|---|---|---|---|---|---|---|---|
| 2019 | F1 | W1 | 1.76 ± 0.16 ab | 1.99 ± 0.17 a | 2.33 ± 0.11 ab | 2.48 ± 0.16 a | 8.55 ± 0.61 ab |
| W2 | 1.82 ± 0.18 a | 2.10 ± 0.16 a | 2.46 ± 0.18 a | 2.52 ± 0.15 a | 8.90 ± 0.67 a | ||
| W3 | 1.49 ± 0.25 abcd | 1.70 ± 0.12 abc | 1.88 ± 0.04 de | 2.03 ± 0.08 cd | 7.10 ± 0.50 bcd | ||
| W4 | 1.11 ± 0.18 cd | 1.27 ± 0.18 d | 1.50 ± 0.17 f | 1.65 ± 0.09 e | 5.52 ± 0.62 ef | ||
| F2 | W1 | 1.68 ± 0.21 ab | 1.95 ± 0.08 ab | 2.25 ± 0.11 abc | 2.35 ± 0.14 ab | 8.23 ± 0.54 abc | |
| W2 | 1.71 ± 0.28 ab | 1.98 ± 0.23 ab | 2.30 ± 0.16 ab | 2.41 ± 0.11 ab | 8.39 ± 0.78 ab | ||
| W3 | 1.38 ± 0.28 abcd | 1.55 ± 0.20 bcd | 1.92 ± 0.10 cde | 1.97 ± 0.12 cd | 6.82 ± 0.69 cde | ||
| W4 | 0.98 ± 0.21 de | 1.19 ± 0.14 d | 1.40 ± 0.16 fg | 1.62 ± 0.04 e | 5.19 ± 0.47 f | ||
| F3 | W1 | 1.59 ± 0.20 abc | 1.90 ± 0.13 ab | 2.06 ± 0.15 bcd | 2.23 ± 0.08 abc | 7.78 ± 0.56 abc | |
| W2 | 1.64 ± 0.21 ab | 1.89 ± 0.13 ab | 2.11 ± 0.17 bcd | 2.14 ± 0.18 bc | 7.77 ± 0.69 abc | ||
| W3 | 1.25 ± 0.19 bcd | 1.36 ± 0.18 cd | 1.72 ± 0.09 ef | 1.76 ± 0.19 ef | 6.08 ± 0.64 def | ||
| W4 | 0.59 ± 0.22 e | 0.72 ± 0.30 e | 1.13 ± 0.22 g | 1.32 ± 0.09 f | 3.75 ± 0.83 g | ||
| Irrigation | ** | ** | ** | ** | ** | ||
| Fertilization | * | ** | ** | * | ** | ||
| Irrigation × Fertilization | ** | * | ** | ns | ** | ||
| 2020 | F1 | W1 | 2.01 ± 0.16 a | 2.18 ± 0.18 ab | 2.74 ± 0.16 a | 2.62 ± 0.19 a | 9.54 ± 0.70 a |
| W2 | 1.93 ± 0.12 ab | 2.28 ± 0.16 a | 2.63 ± 0.13 ab | 2.72 ± 0.18 a | 9.55 ± 0.59 a | ||
| W3 | 1.66 ± 0.13 bc | 1.83 ± 0.05 bcd | 2.16 ± 0.08 cd | 2.15 ± 0.09 cde | 7.79 ± 0.35 bcd | ||
| W4 | 1.26 ± 0.10 de | 1.46 ± 0.19 e | 1.78 ± 0.16 e | 1.81 ± 0.03 fg | 6.31 ± 0.47 ef | ||
| F2 | W1 | 1.90 ± 0.13 ab | 2.14 ± 0.10 ab | 2.59 ± 0.18 ab | 2.47 ± 0.15 abc | 9.10 ± 0.54 ab | |
| W2 | 1.84 ± 0.11 abc | 2.17 ± 0.11 ab | 2.52 ± 0.14 abc | 2.57 ± 0.16 ab | 9.10 ± 0.52 ab | ||
| W3 | 1.53 ± 0.14 cd | 1.68 ± 0.13 cde | 2.21 ± 0.11 cd | 2.06 ± 0.07 def | 7.48 ± 0.45 cde | ||
| W4 | 1.15 ± 0.09 ef | 1.36 ± 0.13 ef | 1.70 ± 0.16 ef | 1.71 ± 0.05 gh | 5.91 ± 0.43 fg | ||
| F3 | W1 | 1.75 ± 0.08 abc | 1.93 ± 0.06 abc | 2.38 ± 0.20 abc | 2.27 ± 0.11 bcd | 8.33 ± 0.45 abc | |
| W2 | 1.69 ± 0.06 bc | 1.97 ± 0.13 abc | 2.33 ± 0.17 bcd | 2.26 ± 0.18 bcd | 8.24 ± 0.55 abc | ||
| W3 | 1.32 ± 0.16 de | 1.49 ± 0.25 de | 2.01 ± 0.10 de | 1.84 ± 0.12 efg | 6.65 ± 0.62 def | ||
| W4 | 0.94 ± 0.22 f | 1.05 ± 0.23 f | 1.42 ± 0.21 f | 1.49 ± 0.23 h | 4.89 ± 0.90 g | ||
| Irrigation | ** | ** | ** | ** | ** | ||
| Fertilization | ** | * | ** | * | ** | ||
| Irrigation × Fertilization | ns | ns | ** | ns | ns | ||
| Year | Fertilization Level | Irrigation Level | Budding and Flowering Stage (m2 plants−1) | Shoot Growth Stage (m2 plants−1) | Fruit-Setting and Expansion Stage (m2 plants−1) | Mature Period (m2 plants−1) |
|---|---|---|---|---|---|---|
| 2019 | F1 | W1 | 1.18 ± 0.09 abc | 1.71 ± 0.14 a | 2.01 ± 0.22 ab | 2.12 ± 0.16 a |
| W2 | 1.29 ± 0.14 a | 1.81 ± 0.15 a | 2.11 ± 0.16 a | 2.19 ± 0.25 a | ||
| W3 | 1.00 ± 0.13 bcde | 1.52 ± 0.15 abc | 1.68 ± 0.13 bcde | 1.74 ± 0.12 bc | ||
| W4 | 0.87 ± 0.13 def | 1.31 ± 0.17 bcde | 1.47 ± 0.19 defg | 1.61 ± 0.14 bcd | ||
| F2 | W1 | 1.11 ± 0.11 abcd | 1.53 ± 0.16 ab | 1.80 ± 0.13 abcd | 1.94 ± 0.22 ab | |
| W2 | 1.19 ± 0.11 ab | 1.60 ± 0.12 ab | 1.87 ± 0.10 abc | 1.96 ± 0.18 ab | ||
| W3 | 0.93 ± 0.11 def | 1.34 ± 0.09 bcde | 1.58 ± 0.16 cdefg | 1.71 ± 0.01 bc | ||
| W4 | 0.80 ± 0.12 ef | 1.16 ± 0.20 de | 1.32 ± 0.16 fg | 1.35 ± 0.17 d | ||
| F3 | W1 | 1.00 ± 0.07 bcde | 1.51 ± 0.11 abcd | 1.70 ± 0.11 bcde | 1.86 ± 0.10 ab | |
| W2 | 0.94 ± 0.08 cdef | 1.35 ± 0.08 bcde | 1.61 ± 0.11 cdef | 1.71 ± 0.01 bc | ||
| W3 | 0.88 ± 0.01 def | 1.17 ± 0.21 cde | 1.40 ± 0.11 efg | 1.49 ± 0.10 cd | ||
| W4 | 0.70 ± 0.08 f | 1.03 ± 0.13 e | 1.23 ± 0.12 g | 1.33 ± 0.05 d | ||
| Irrigation | ** | ** | ** | ** | ||
| Fertilization | * | ** | * | ns | ||
| Irrigation × Fertilization | ** | ns | ** | ns | ||
| 2020 | F1 | W1 | 1.44 ± 0.16 a | 1.92 ± 0.10 ab | 2.27 ± 0.16 ab | 2.41 ± 0.15 ab |
| W2 | 1.35 ± 0.11 ab | 2.05 ± 0.19 a | 2.38 ± 0.13 a | 2.58 ± 0.13 a | ||
| W3 | 1.15 ± 0.10 abcde | 1.67 ± 0.06 bcd | 1.87 ± 0.06 cdef | 2.07 ± 0.11 cd | ||
| W4 | 0.99 ± 0.13 def | 1.28 ± 0.06 fg | 1.66 ± 0.12 efg | 1.85 ± 0.09 def | ||
| F2 | W1 | 1.31 ± 0.14 abc | 1.72 ± 0.13 bcd | 2.06 ± 0.18 abcd | 2.20 ± 0.11 bc | |
| W2 | 1.29 ± 0.12 abc | 1.83 ± 0.18 abc | 2.17 ± 0.15 abc | 2.35 ± 0.12 ab | ||
| W3 | 1.05 ± 0.17 cdef | 1.49 ± 0.09 def | 1.76 ± 0.08 defg | 1.92 ± 0.10 de | ||
| W4 | 0.92 ± 0.10 ef | 1.24 ± 0.06 fg | 1.56 ± 0.17 fg | 1.76 ± 0.05 ef | ||
| F3 | W1 | 1.21 ± 0.07 abcd | 1.57 ± 0.08 cde | 1.94 ± 0.12 bcde | 1.97 ± 0.08 cde | |
| W2 | 1.11 ± 0.01 bcde | 1.63 ± 0.08 cd | 1.94 ± 0.25 bcde | 2.09 ± 0.08 cd | ||
| W3 | 0.90 ± 0.13 ef | 1.32 ± 0.10 efg | 1.66 ± 0.11 efg | 1.78 ± 0.11 ef | ||
| W4 | 0.82 ± 0.11 f | 1.22 ± 0.12 g | 1.47 ± 0.13 g | 1.61 ± 0.09 f | ||
| Irrigation | ** | ** | ** | ** | ||
| Fertilization | * | ** | ** | ** | ||
| Irrigation × Fertilization | ns | * | * | ** | ||
| Year | Fertilization Level | Irrigation Level | Dry Matter (g plants−1) | Water Consumption (L plants−1) | Water Productivity (kg m−3) |
|---|---|---|---|---|---|
| 2019 | F1 | W1 | 539.05 ± 18.77 ab | 255.21 ± 11.31 a | 2.12 ± 0.02 d |
| W2 | 543.27 ± 26.87 a | 224.03 ± 9.19 bcd | 2.43 ± 0.02 a | ||
| W3 | 482.88 ± 31.90 bcd | 203.15 ± 13.86 de | 2.38 ± 0.01 ab | ||
| W4 | 416.13 ± 21.92 ef | 178.91 ± 11.00 fgh | 2.33 ± 0.02 ab | ||
| F2 | W1 | 508.71 ± 23.33 abc | 241.02 ± 9.90 ab | 2.11 ± 0.01 d | |
| W2 | 509.20 ± 14.81 abc | 215.15 ± 8.49 cd | 2.37 ± 0.02 ab | ||
| W3 | 459.47 ± 24.96 cde | 192.40 ± 9.21 ef | 2.39 ± 0.01 ab | ||
| W4 | 394.98 ± 36.70 f | 170.42 ± 10.61 gh | 2.32 ± 0.07 b | ||
| F3 | W1 | 504.68 ± 8.49 abc | 233.76 ± 6.65 bc | 2.16 ± 0.03 cd | |
| W2 | 459.52 ± 20.66 cde | 206.63 ± 3.54 de | 2.23 ± 0.06 c | ||
| W3 | 434.82 ± 29.13 def | 185.31 ± 5.55 efg | 2.35 ± 0.09 ab | ||
| W4 | 380.51 ± 14.48 f | 163.44 ± 7.07 h | 2.33 ± 0.01 ab | ||
| Irrigation | ** | ** | ** | ||
| Fertilization | * | * | ns | ||
| Irrigation×Fertilization | * | ns | ns | ||
| 2020 | F1 | W1 | 649.84 ± 22.31 ab | 299.19 ± 8.92 a | 2.17 ± 0.01 c |
| W2 | 654.06 ± 30.41 a | 271.01 ± 11.04 bcd | 2.41 ± 0.01 a | ||
| W3 | 593.67 ± 35.43 abcd | 251.63 ± 17.83 cdef | 2.36 ± 0.03 ab | ||
| W4 | 526.92 ± 25.46 efg | 227.39 ± 14.97 fghi | 2.32 ± 0.04 ab | ||
| F2 | W1 | 609.18 ± 26.03 abc | 284.32 ± 11.55 ab | 2.15 ± 0.01 c | |
| W2 | 609.66 ± 17.51 abc | 258.95 ± 10.84 bcde | 2.36 ± 0.04 ab | ||
| W3 | 559.94 ± 27.65 cdef | 234.20 ± 8.73 efgh | 2.39 ± 0.03 ab | ||
| W4 | 495.45 ± 39.39 fg | 214.22 ± 12.96 hi | 2.31 ± 0.04 b | ||
| F3 | W1 | 586.38 ± 15.60 bcde | 274.93 ± 5.94 abc | 2.14 ± 0.01 c | |
| W2 | 541.22 ± 27.78 def | 245.80 ± 5.66 defg | 2.21 ± 0.06 c | ||
| W3 | 516.52 ± 36.25 fg | 224.48 ± 7.67 ghi | 2.30 ± 0.08 b | ||
| W4 | 467.21 ± 14.52 g | 202.61 ± 9.19 i | 2.31 ± 0.04 b | ||
| Irrigation | ** | ** | ** | ||
| Fertilization | ** | * | ns | ||
| Irrigation ×Fertilization | * | ns | ns | ||
Disclaimer/Publisher’s Note: The statements, opinions and data contained in all publications are solely those of the individual author(s) and contributor(s) and not of MDPI and/or the editor(s). MDPI and/or the editor(s) disclaim responsibility for any injury to people or property resulting from any ideas, methods, instructions or products referred to in the content. |
© 2023 by the authors. Licensee MDPI, Basel, Switzerland. This article is an open access article distributed under the terms and conditions of the Creative Commons Attribution (CC BY) license (https://creativecommons.org/licenses/by/4.0/).
Share and Cite
Zhou, H.; Ma, L.; Zhang, S.; Zhao, L.; Niu, X.; Qin, L.; Xiang, Y.; Guo, J.; Wu, Q. Effect of Water-Fertilizer Coupling on the Growth and Physiological Characteristics of Young Apple Trees. Agronomy 2023, 13, 2506. https://doi.org/10.3390/agronomy13102506
Zhou H, Ma L, Zhang S, Zhao L, Niu X, Qin L, Xiang Y, Guo J, Wu Q. Effect of Water-Fertilizer Coupling on the Growth and Physiological Characteristics of Young Apple Trees. Agronomy. 2023; 13(10):2506. https://doi.org/10.3390/agronomy13102506
Chicago/Turabian StyleZhou, Hanmi, Linshuang Ma, Shuo Zhang, Long Zhao, Xiaoli Niu, Long Qin, Youzhen Xiang, Jinjin Guo, and Qi Wu. 2023. "Effect of Water-Fertilizer Coupling on the Growth and Physiological Characteristics of Young Apple Trees" Agronomy 13, no. 10: 2506. https://doi.org/10.3390/agronomy13102506
APA StyleZhou, H., Ma, L., Zhang, S., Zhao, L., Niu, X., Qin, L., Xiang, Y., Guo, J., & Wu, Q. (2023). Effect of Water-Fertilizer Coupling on the Growth and Physiological Characteristics of Young Apple Trees. Agronomy, 13(10), 2506. https://doi.org/10.3390/agronomy13102506

