Height Estimation of Soil Erosion in Olive Groves Using a Time-of-Flight Sensor
Abstract
1. Introduction
2. Materials and Methods
2.1. Site Location
2.2. Sampling System
2.3. Extracting Height Parameters from 3D Olive Tree Models
2.4. Statistical Analysis
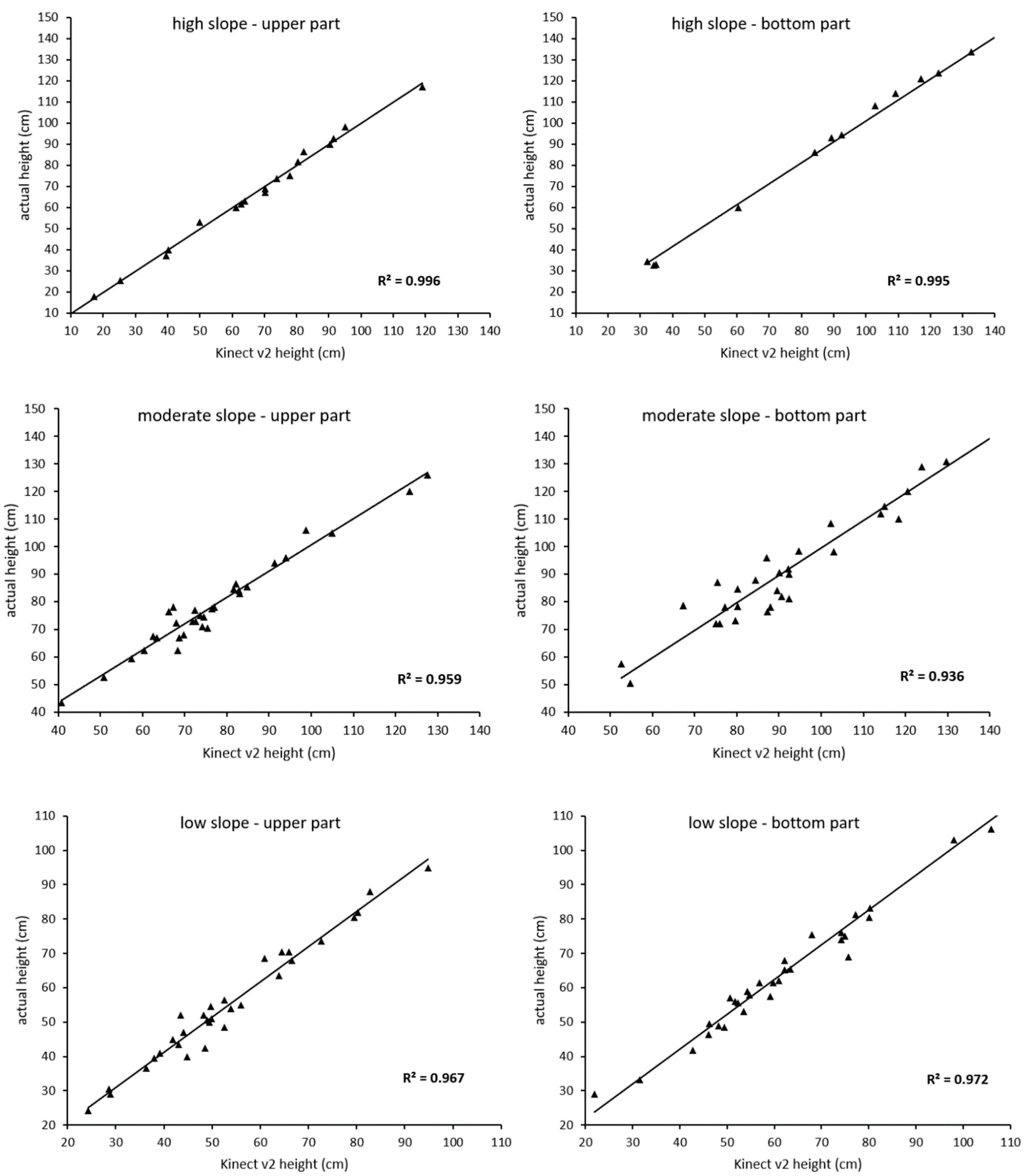
3. Results
4. Discussion
5. Conclusions
Author Contributions
Funding
Acknowledgments
Conflicts of Interest
Appendix A

Appendix B

References
- Fraga, H.; Moriondo, M.; Leolini, L.; Santos, J.A. Mediterranean Olive Orchards under Climate Change: A Review of Future Impacts and Adaptation Strategies. Agronomy 2021, 11, 56. [Google Scholar] [CrossRef]
- Vanwalleghem, T.; Amate, J.I.; de Molina, M.G.; Fernández, D.S.; Gómez, J.A. Quantifying the effect of historical soil management on soil erosion rates in Mediterranean olive orchards. Agric. Ecosyst. Environ. 2011, 142, 341–351. [Google Scholar] [CrossRef]
- Taguas, E.V. Vulnerability of olive orchards under the current CAP (Common Agricultural Policy) regulations on soil erosion: A study case in Southern Spain. Land Use Policy 2015, 42, 683–694. [Google Scholar] [CrossRef]
- García Brenes, M.D. El olivar en Andalucía y el sistema de protección de la Unión Europea. Prob. Ciudad. México 2006, 37, 153–176. (In Spanish) [Google Scholar] [CrossRef]
- Beniston, J.W.; Shipitalo, M.J.; Lal, R.; Dayton, E.A.; Hopkins, D.W.; Jones, F.; Joynes, A.; Dungait, J.A.J. Carbon and macronutrient losses during accelerated erosion under different tillage and residue management. Eur. J. Soil Sci. 2015, 66, 218–225. [Google Scholar] [CrossRef]
- Infante-Amate, J. The Ecology and History of the Mediterranean Olive Grove: The Spanish Great Expansion, 1750–2000. Rural. Hist. 2012, 23, 161–184. [Google Scholar] [CrossRef]
- Govers, G.; Gobin, A.; Cerdan, O.; Van Rompaey, A.; Kirkby, M.; Irvine, B.; Le Bissonnais, Y.; Daroussin, J.; King, D.; Jones, R. Pan-European Soil Rrosion Risk Assessment for Europe: The PESERA Map; JRC: Ispra, Italy, 2003. [Google Scholar]
- Quinton, J.N. Reducing predictive uncertainty in model simulations: A comparison of two methods using the European Soil Erosion Model. CATENA 1997, 30, 101–117. [Google Scholar] [CrossRef]
- Dunjó, G.; Pardini, G.; Gispert, M. The role of land use–land cover on runoff generation and sediment yield at a microplot scale, in a small Mediterranean catchment. J. Arid. Environ. 2004, 57, 239–256. [Google Scholar] [CrossRef]
- Beaufoy, G. The environmental impact of olive oil production in the European Union: Practical options for improving the environmental impact. European Forum for Nature Conservation and Pastoralism; Association for Agro-Rural Policy Analysis and Reform: Peterborough, UK, 2001. [Google Scholar]
- De la Rosa, D.; Diaz-Pereira, E.; Mayol, F.; Czyz, E.A.; Dexter, A.R.; Dumitru, E.; Enache, R.; Fleige, H.; Horn, R.; Rajkay, K.; et al. SIDASS project: Part 2. Soil erosion as a function of soil type and agricultural management in a Sevilla olive area, southern Spain. Soil Tillage Res. 2005, 82, 19–28. [Google Scholar] [CrossRef]
- Scheidel, A.; Krausmann, F. Diet, trade and land use: A socio-ecological analysis of the transformation of the olive oil system. Land Use Policy 2011, 28, 47–56. [Google Scholar] [CrossRef]
- Papiernik, S.K. Soil properties and productivity as affected by topsoil movement within an eroded landform. Soil Tillage Res. 2009, 102, 67–77. [Google Scholar] [CrossRef]
- Berger, G.; Kaechele, H.; Pfeffer, H. The greening of the European common agricultural policy by linking the European-wide obligation of set-aside with voluntary agri-environmental measures on a regional scale. Environ. Sci. Policy 2006, 9, 509–524. [Google Scholar] [CrossRef]
- Evrard, O.; Bielders, C.L.; Vandaele, K.; van Wesemael, B. Spatial and temporal variation of muddy floods in central Belgium, off-site impacts and potential control measures. CATENA 2007, 70, 443–454. [Google Scholar] [CrossRef]
- Gómez, J.A.; Sobrinho, T.A.; Giráldez, J.V.; Fereres, E. Soil management effects on runoff, erosion and soil properties in an olive grove of Southern Spain. Soil Tillage Res. 2009, 102, 5–13. [Google Scholar] [CrossRef]
- Schoorl, J.M.; Veldkamp, A. Linking land use and landscape process modelling: A case study for the Álora region (south Spain). Agric. Ecosyst. Environ. 2001, 85, 281–292. [Google Scholar] [CrossRef]
- Gómez, J.A.; Infante-Amate, J.; De Molina, M.G.; Vanwalleghem, T.; Taguas, E.V.; Lorite, I. Olive Cultivation, its Impact on Soil Erosion and its Progression into Yield Impacts in Southern Spain in the Past as a Key to a Future of Increasing Climate Uncertainty. Agriculture 2014, 4, 170–198. [Google Scholar] [CrossRef]
- Wischmeier, W.H. Predicting Rainfall Erosion Losses: A Guide to Conservation Planning; USDA: Washington, DC, USA, 1978; 58p. [Google Scholar]
- Gómez, J.A.; Battany, M.; Renschler, C.S.; Fereres, E. Evaluating the impact of soil management on soil loss in olive orchards. Soil Use Manag. 2003, 19, 127–134. [Google Scholar] [CrossRef]
- Álvarez, S.; Soriano, M.A.; Landa, B.B.; Gómez, J.A. Soil properties in organic olive groves compared with that in natural areas in a mountainous landscape in southern Spain. Soil Use Manag. 2007, 23, 404–416. [Google Scholar] [CrossRef]
- Kragh, M.F.; Christiansen, P.; Laursen, M.S.; Larsen, M.; Steen, K.A.; Green, O.; Karstoft, H.; Jørgensen, R.N. FieldSAFE: Dataset for Obstacle Detection in Agriculture. Sensors 2017, 17, 2579. [Google Scholar] [CrossRef]
- Bash, E.A.; Moorman, B.J.; Gunther, A. Detecting Short-Term Surface Melt on an Arctic Glacier Using UAV Surveys. Remote Sens. 2018, 10, 1547. [Google Scholar] [CrossRef]
- Vergari, F.; Della Seta, M.; Del Monte, M.; Fredi, P.; Lupia Palmieri, E. Long- and short-term evolution of several Mediterranean denudation hot spots: The role of rainfall variations and human impact. Geomorphology 2013, 183, 14–27. [Google Scholar] [CrossRef]
- Frankl, A.; Stal, C.; Abraha, A.; Nyssen, J.; Rieke-Zapp, D.; De Wulf, A.; Poesen, J. Detailed recording of gully morphology in 3D through image-based modelling. CATENA 2015, 127, 92–101. [Google Scholar] [CrossRef]
- Robichaud, P.R.; Molnau, M. Measuring Soil Roughness Changes with An Ultrasonic Prohler. Trans. ASAE 1990, 33, 1851–1858. [Google Scholar] [CrossRef]
- Luong, J.; Destain, M.-F.; Mercatoris, B. Characterisation of structural properties of soil using ultrasonic waves. In 2014 Montreal, Quebec Canada July 13–July 16, 2014; ASABE: St. Joseph, MI, USA, 2014; p. 1. [Google Scholar]
- Rueda-Ayala, V.; Peteinatos, G.; Gerhards, R.; Andújar, D. A non-chemical system for online weed control. Sensors 2015, 15, 7691–7707. [Google Scholar] [CrossRef]
- Kasper, M.; Buchan, G.D.; Mentler, A.; Blum, W.E.H. Influence of soil tillage systems on aggregate stability and the distribution of C and N in different aggregate fractions. Soil Tillage Res. 2009, 105, 192–199. [Google Scholar] [CrossRef]
- Colaço, A.F.; Molin, J.P.; Rosell-Polo, J.R. Application of light detection and ranging and ultrasonic sensors to high-throughput phenotyping and precision horticulture: Current status and challenges. Hortic. Res. 2018, 5, 35. [Google Scholar] [CrossRef]
- Méndez, V.; Catalán, H.; Rosell-Polo, J.R.; Arnó, J.; Sanz, R. LiDAR simulation in modelled orchards to optimise the use of terrestrial laser scanners and derived vegetative measures. Biosyst. Eng. 2013, 115, 7–19. [Google Scholar] [CrossRef]
- Andújar, D.; Rueda-Ayala, V.; Moreno, H.; Rosell-Polo, J.R.; Escolá, A.; Valero, C.; Gerhards, R.; Fernández-Quintanilla, C.; Dorado, J.; Griepentrog, H.-W. Discriminating Crop, Weeds and Soil Surface with a Terrestrial LIDAR Sensor. Sensors 2013, 13, 14662–14675. [Google Scholar] [CrossRef]
- Barneveld, R.J.; Seeger, M.; Maalen-Johansen, I. Assessment of terrestrial laser scanning technology for obtaining high-resolution DEMs of soils. Earth Surf. Process. Landf. 2013, 38, 90–94. [Google Scholar] [CrossRef]
- Milenković, M.; Pfeifer, N.; Glira, P. Applying Terrestrial Laser Scanning for Soil Surface Roughness Assessment. Remote Sens. 2015, 7, 2007–2045. [Google Scholar] [CrossRef]
- Di Biase, V.; Kuschnerus, M.; Lindenbergh, R.C. Permanent Laser Scanner and Synthetic Aperture Radar Data: Correlation Characterisation at a Sandy Beach. Sensors 2022, 22, 2311. [Google Scholar] [CrossRef] [PubMed]
- Li, Y.; McNelis, J.J.; Washington-Allen, R.A. Quantifying Short-Term Erosion and Deposition in an Active Gully Using Terrestrial Laser Scanning: A Case Study from West Tennessee, USA. Front. Earth Sci. 2020, 8. [Google Scholar] [CrossRef]
- Li, L.; Nearing, M.A.; Nichols, M.H.; Polyakov, V.O.; Cavanaugh, M.L. Using terrestrial LiDAR to measure water erosion on stony plots under simulated rainfall. Earth Surf. Process. Landf. 2020, 45, 484–495. [Google Scholar] [CrossRef]
- Xu, H.; Xu, J.; Xu, W. Survey of 3D modeling using depth cameras. Virtual Real. Intell. Hardw. 2019, 1, 483–499. [Google Scholar] [CrossRef]
- Halmetschlager-Funek, G.; Suchi, M.; Kampel, M.; Vincze, M. An Empirical Evaluation of Ten Depth Cameras: Bias, Precision, Lateral Noise, Different Lighting Conditions and Materials, and Multiple Sensor Setups in Indoor Environments. IEEE Robot. Autom. Mag. 2019, 26, 67–77. [Google Scholar] [CrossRef]
- Tölgyessy, M.; Dekan, M.; Chovanec, L.; Hubinský, P. Evaluation of the Azure Kinect and Its Comparison to Kinect V1 and Kinect V2. Sensors 2021, 21, 413. [Google Scholar] [CrossRef] [PubMed]
- Rueda-Ayala, V.P.; Peña, J.M.; Höglind, M.; Bengochea-Guevara, J.M.; Andújar, D. Comparing UAV-Based Technologies and RGB-D Reconstruction Methods for Plant Height and Biomass Monitoring on Grass Ley. Sensors 2019, 19, 535. [Google Scholar] [CrossRef]
- Martínez-Casasnovas, J.A.; Sandonís-Pozo, L.; Escolà, A.; Arnó, J.; Llorens, J. Delineation of Management Zones in Hedgerow Almond Orchards Based on Vegetation Indices from UAV Images Validated by LiDAR-Derived Canopy Parameters. Agronomy 2022, 12, 102. [Google Scholar] [CrossRef]
- Andújar, D.; Ribeiro, A.; Fernández-Quintanilla, C.; Dorado, J. Using depth cameras to extract structural parameters to assess the growth state and yield of cauliflower crops. Comput. Electron. Agric. 2016, 122, 67–73. [Google Scholar] [CrossRef]
- Vázquez-Arellano, M.; Paraforos, D.S.; Reiser, D.; Garrido-Izard, M.; Griepentrog, H.W. Determination of stem position and height of reconstructed maize plants using a time-of-flight camera. Comput. Electron. Agric. 2018, 154, 276–288. [Google Scholar] [CrossRef]
- Nock, C.; Taugourdeau, O.; Delagrange, S.; Messier, C. Assessing the Potential of Low-Cost 3D Cameras for the Rapid Measurement of Plant Woody Structure. Sensors 2013, 13, 16216–16233. [Google Scholar] [CrossRef] [PubMed]
- Andújar, D.; Fernández-Quintanilla, C.; Dorado, J. Matching the Best Viewing Angle in Depth Cameras for Biomass Estimation Based on Poplar Seedling Geometry. Sensors 2015, 15, 12999–13011. [Google Scholar] [CrossRef] [PubMed]
- Blanco Sepúlveda, R.; Lima Cueto, F.J.; Gómez Moreno, M.L. El olivar de montaña y la conservación del suelo en la transición de la economía orgánica a la industrial: El caso de Sierra de las Nieves (Málaga), 1940–1975. Ager. Rev. Estud. Sobre Despoblación Desarro. Rural. 2017, 23, 97–128. (In Spanish) [Google Scholar]
- Lima, F.; Gómez Moreno, M.L.; Blanco Sepúlveda, R. Evolución del ajuste entre patrón de localización del olivar y capacidad agrológica en la montaña mediterránea andaluza (1956–2007). El caso de Sierra de las Nieves: Respuestas locales a factores globales [Evolution of the adjustment between olive grove location pattern and agrological capacity in the Andalusian Mediterranean mountains (1956–2007). The case of Sierra de las Nieves: Local responses to global factors.]. Cuadernos Geográficos 2021, 60, 253–276. [Google Scholar] [CrossRef]
- Lima, F.; Blanco-Sepúlveda, R.; Gómez-Moreno, M.L. Soil erosion and environmental regulations in the European agrarian policy for olive groves (Olea europaea) of southern Spain. Agrociencia 2018, 52, 293–308. [Google Scholar]
- Kraushaar, S.; Herrmann, N.; Ollesch, G.; Vogel, H.J.; Siebert, C. Mound measurements—Quantifying medium-term soil erosion under olive trees in Northern Jordan. Geomorphology 2014, 213, 1–12. [Google Scholar] [CrossRef]
- Fankhauser, P.; Bloesch, M.; Rodriguez, D.; Kaestner, R.; Hutter, M.; Siegwart, R. Kinect v2 for Mobile Robot Navigation: Evaluation and Modeling; IEEE: Piscataway, NJ, USA, 2015. [Google Scholar]
- Chen, Y.; Medioni, G. Object modelling by registration of multiple range images. Image Vis. Comput. 1992, 10, 145–155. [Google Scholar] [CrossRef]
- Nießner, M.; Zollhöfer, M.; Izadi, S.; Stamminger, M. Real-time 3D Reconstruction at Scale using Voxel Hashing. ACM Trans. Graph. (TOG) 2013, 32, 169. [Google Scholar] [CrossRef]
- Chéné, Y.; Rousseau, D.; Lucidarme, P.; Bertheloot, J.; Caffier, V.; Morel, P.; Belin, É.; Chapeau-Blondeau, F. On the use of depth camera for 3D phenotyping of entire plants. Comput. Electron. Agric. 2012, 82, 122–127. [Google Scholar] [CrossRef]
- Bochet, E.; Poesen, J.; Rubio, J.L. Mound development as an interaction of individual plants with soil, water erosion and sedimentation processes on slopes. Earth Surf. Process. Landf. 2000, 25, 847–867. [Google Scholar] [CrossRef]
- Dougill, A.J.; Thomas, A.D. Nebkha dunes in the Molopo Basin, South Africa and Botswana: Formation controls and their validity as indicators of soil degradation. J. Arid. Environ. 2002, 50, 413–428. [Google Scholar] [CrossRef]
- Van Oost, K.; Van Muysen, W.; Govers, G.; Deckers, J.; Quine, T.A. From water to tillage erosion dominated landform evolution. Geomorphology 2005, 72, 193–203. [Google Scholar] [CrossRef]
- Lima Cueto, F. Mountain olive groves and soil preservation in the transition from an organic to an industrial economy: The case of Sierra de las Nieves (Málaga, Spain), 1940–1975 [El olivar de montaña y la conservación del suelo en la transición de la economía orgánica a la industrial: El caso de Sierra de las Nieves (Málaga), 1940–1975]. J. Depopulation Rural. Dev. Stud. 2017, 23, 97–128. [Google Scholar] [CrossRef]
- Zhang, J.H.; Wang, Y.; Jia, L.Z.; Zhang, Z.H. An interaction between vertical and lateral movements of soil constituents by tillage in a steep-slope landscape. CATENA 2017, 152, 292–298. [Google Scholar] [CrossRef]
- Zhang, J.; Yang, M.; Deng, X.; Liu, Z.; Zhang, F. The effects of tillage on sheet erosion on sloping fields in the wind-water erosion crisscross region of the Chinese Loess Plateau. Soil Tillage Res. 2019, 187, 235–245. [Google Scholar] [CrossRef]
- Vanwalleghem, T.; Laguna, A.; Giráldez, J.V.; Jiménez-Hornero, F.J. Applying a simple methodology to assess historical soil erosion in olive orchards. Geomorphology 2010, 114, 294–302. [Google Scholar] [CrossRef]
- Gómez, J.A.; Giráldez, J.V.; Fereres, E. Analysis of Infiltration and Runoff in an Olive Orchard under No-Till. Soil Sci. Soc. Am. J. 2001, 65, 291–299. [Google Scholar] [CrossRef]
- Gómez, J.A.; Giráldez, J.V.; Fereres, E. Rainfall interception by olive trees in relation to leaf area. Agric. Water Manag. 2001, 49, 65–76. [Google Scholar] [CrossRef]
- García-Ruiz, J.M. The effects of land uses on soil erosion in Spain: A review. CATENA 2010, 81, 1–11. [Google Scholar] [CrossRef]
- Montgomery, D.R. Soil erosion and agricultural sustainability. Proc. Natl. Acad. Sci. USA 2007, 104, 13268–13272. [Google Scholar] [CrossRef]
- Xiong, Y.; Peng, C.; Grimstad, L.; From, P.J.; Isler, V. Development and field evaluation of a strawberry harvesting robot with a cable-driven gripper. Comput. Electron. Agric. 2019, 157, 392–402. [Google Scholar] [CrossRef]
- Gai, J.; Tang, L.; Steward, B.L. Automated crop plant detection based on the fusion of color and depth images for robotic weed control. J. Field Robot. 2020, 37, 35–52. [Google Scholar] [CrossRef]
- Wasenmüller, O.; Stricker, D. Comparison of Kinect V1 and V2 Depth Images in Terms of Accuracy and Precision; Springer International Publishing: Cham, Switzerland, 2017; pp. 34–45. [Google Scholar]
- Kurillo, G.; Hemingway, E.; Cheng, M.-L.; Cheng, L. Evaluating the Accuracy of the Azure Kinect and Kinect v2. Sensors 2022, 22, 2469. [Google Scholar] [CrossRef]
- Pagliari, D.; Pinto, L. Calibration of Kinect for Xbox One and Comparison between the Two Generations of Microsoft Sensors. Sensors 2015, 15, 27569–27589. [Google Scholar] [CrossRef]
- Gené-Mola, J.; Llorens, J.; Rosell-Polo, J.R.; Gregorio, E.; Arnó, J.; Solanelles, F.; Martínez-Casasnovas, J.A.; Escolà, A. Assessing the Performance of RGB-D Sensors for 3D Fruit Crop Canopy Characterization under Different Operating and Lighting Conditions. Sensors 2020, 20, 7072. [Google Scholar] [CrossRef] [PubMed]
- Pérez-Ruiz, M.; Rallo, P.; Jiménez, M.R.; Garrido-Izard, M.; Suárez, M.P.; Casanova, L.; Valero, C.; Martínez-Guanter, J.; Morales-Sillero, A. Evaluation of Over-The-Row Harvester Damage in a Super-High-Density Olive Orchard Using On-Board Sensing Techniques. Sensors 2018, 18, 1242. [Google Scholar] [CrossRef]
- Jiao, J.; Yuan, L.; Tang, W.; Deng, Z.; Wu, Q. A Post-Rectification Approach of Depth Images of Kinect v2 for 3D Reconstruction of Indoor Scenes. ISPRS Int. J. Geo-Inf. 2017, 6, 349. [Google Scholar] [CrossRef]
- Moreno, H.; Bengochea-Guevara, J.; Ribeiro, A.; Andújar, D. 3D Assessment of Vine Training Systems Derived from Ground-Based RGB-D Imagery. Agriculture 2022, 12, 798. [Google Scholar] [CrossRef]
- Rosell-Polo, J.R.; Gregorio, E.; Gené, J.; Llorens, J.; Torrent, X.; Arnó, J.; Escolà, A. Kinect v2 Sensor-Based Mobile Terrestrial Laser Scanner for Agricultural Outdoor Applications. IEEE/ASME Trans. Mechatron. 2017, 22, 2420–2427. [Google Scholar] [CrossRef]




| Height Measurements | |||||||
|---|---|---|---|---|---|---|---|
| Actual | Kinect v2 | ||||||
| Range of Slopes (%) | Description | Tree Part | Upper | Bottom | Upper | Bottom | |
| 0–5 | low | STDEV | 17.44 | 19.84 | 16.71 | 19.37 | cm |
| MEAN | 54.93 | 65.15 | 53.37 | 62.72 | |||
| SE | 3.13 | 3.56 | 3.00 | 3.48 | |||
| CV | 31.74 | 30.46 | 31.31 | 30.88 | % | ||
| 6–15 | moderate | STDEV | 17.69 | 25.74 | 18.19 | 25.08 | cm |
| MEAN | 78.66 | 95.68 | 77.07 | 96.25 | |||
| SE | 3.13 | 4.55 | 3.22 | 4.43 | |||
| CV | 22.49 | 26.91 | 23.60 | 26.06 | % | ||
| >15 | high | STDEV | 30.72 | 47.92 | 30.68 | 48.27 | cm |
| MEAN | 61.07 | 115.71 | 61.24 | 115.00 | |||
| SE | 6.87 | 10.72 | 6.86 | 10.79 | |||
| CV | 50.31 | 41.42 | 50.09 | 41.98 | % | ||
| Range of Slopes (%) | Description | Upper | Bottom | ||
|---|---|---|---|---|---|
| 0–5 | low | MAD | 2.61 | 3.14 | cm |
| RMSE | 3.51 | 4.06 | |||
| MAPE | 4.87 | 5.14 | % | ||
| 6–15 | moderate | MAD | 2.98 | 5.37 | cm |
| RMSE | 3.97 | 6.46 | |||
| MAPE | 3.98 | 6.02 | % | ||
| >15 | high | MAD | 1.49 | 2.72 | cm |
| RMSE | 1.90 | 3.28 | |||
| MAPE | 2.79 | 2.78 | % |
Disclaimer/Publisher’s Note: The statements, opinions and data contained in all publications are solely those of the individual author(s) and contributor(s) and not of MDPI and/or the editor(s). MDPI and/or the editor(s) disclaim responsibility for any injury to people or property resulting from any ideas, methods, instructions or products referred to in the content. |
© 2022 by the authors. Licensee MDPI, Basel, Switzerland. This article is an open access article distributed under the terms and conditions of the Creative Commons Attribution (CC BY) license (https://creativecommons.org/licenses/by/4.0/).
Share and Cite
Lima, F.; Moreno, H.; Blanco-Sepúlveda, R.; Andújar, D. Height Estimation of Soil Erosion in Olive Groves Using a Time-of-Flight Sensor. Agronomy 2023, 13, 70. https://doi.org/10.3390/agronomy13010070
Lima F, Moreno H, Blanco-Sepúlveda R, Andújar D. Height Estimation of Soil Erosion in Olive Groves Using a Time-of-Flight Sensor. Agronomy. 2023; 13(1):70. https://doi.org/10.3390/agronomy13010070
Chicago/Turabian StyleLima, Francisco, Hugo Moreno, Rafael Blanco-Sepúlveda, and Dionisio Andújar. 2023. "Height Estimation of Soil Erosion in Olive Groves Using a Time-of-Flight Sensor" Agronomy 13, no. 1: 70. https://doi.org/10.3390/agronomy13010070
APA StyleLima, F., Moreno, H., Blanco-Sepúlveda, R., & Andújar, D. (2023). Height Estimation of Soil Erosion in Olive Groves Using a Time-of-Flight Sensor. Agronomy, 13(1), 70. https://doi.org/10.3390/agronomy13010070

