You are currently viewing a new version of our website. To view the old version click .
Agronomy
  • Article
  • Open Access

10 January 2023

Date-Palm Compost as Soilless Substrate Improves Plant Growth, Photosynthesis, Yield and Phytochemical Quality of Greenhouse Melon (Cucumis melo L.)

,
,
,
,
,
and
1
Laboratory of Biodiversity and Valorisationof Bioresources in Arid Zones (LR18ES36), Faculty of Sciences, University of Gabes, Zrig 6072, Tunisia
2
Laboratory of Biodiversity of Actives Biomolecules (LR22ES02), Higher Institute of Applied Biology Medenine, University of Gabes, Medenine 4119, Tunisia
3
Laboratoire de Génie Chimique, Université de Toulouse, CNRS, INP, UPS, 31062 Toulouse, France
4
Laboratoire de Chimie Agro-industrielle (LCA), Université de Toulouse, INRAe, INPT, 31030 Toulouse, France

Abstract

The selection of adequate substrate for soilless culture is based on technical and economic considerations. Therefore, the search for alternatives by the valorization of natural by-products is gaining importance. The main objective of this study was to compare the effects of local farm resources, date-palm waste, as culture substrate, to coconut fiber (CF) (commonly used in soilless culture) on melon (Cucumis melo L.) plant growth, water relations, photosynthesis, chlorophyll fluorescence as well as phytochemical analysis under hydroponics culture system. Two growing substrates were tested: the compost of date palm waste added to animal manure (7:3 w w−1) (DPAM) and the date palm trunk compost (DPT). Coconut fiber and soil were used as positive and negative controls, respectively, in randomized blocks. Results showed that the vegetative growth was improved under DPT and CF substrates while CF substrate enhanced fruit yield and phytochemical properties: Total soluble solids TSS (% Brix), total dissolved solutes (TDS); Titratable acidity (as citric acid); Sugar content and juice pH of melon fruit. Date-palm waste-based substrates enhanced the vegetative growth and the fruit yield of melon as compared to soil-based culture. It seems that date palm waste-based substrates, especially trunk compost, could be promising and cheaper alternatives compared to coconut fiber substrates commonly used in Tunisia in soilless cultures.

1. Introduction

The emphasis in the horticulture sector has historically been on yield. However, the need for high-quality horticultural products has grown significantly, and this demand will continue to grow in the future. The lack of certain soil qualities, such as salinity, aridity, erosion, poor soil structure, infertility, contamination, etc., can occasionally prevent sustainable plant production in places where the climate conditions for cultivation are adequate. Therefore, the creation of soilless cultivation systems appears to be a required strategy [1]. Many nations, including those in the Mediterranean region, where the climate is favorable, and the soil has problematic qualities, employ these systems extensively [2]. Soilless farming has the potential to boost production [3,4]. With the ability to grow crops in greenhouses and obtain high yields and good quality, even on saline, sodic or non-arable soils with poor structure. It can also enhance early yield in crops planted during the cold season because of higher temperatures in the root zone during the day [5,6]. Additionally, the recirculation of drained water permits the limited loss of water, which implies ecological benefits for arid zones with low availability of fresh water, leading to the approval of soilless growing systems as ecologically beneficial agricultural practices.
At the close of the 20th century, as substrates began to pose environmental risks, a focus was placed on research to develop modern horticulture practices that respect ecological requirements [7,8,9]. Hence, Research continues to be performed on a variety of novel organic growth mediums that are based on renewable raw resources [10]. There are many different materials used nowadays for soilless culture systems and growth mediums [7,11].
In recent years, Coconut-fiber (CF) has been adopted as a renewable soil substitute [12,13]. CF has sufficient physical properties that provide plant roots with high water content and high total pore space; it has low bulk density, low shrinkage and slow biodegradation [14]. Given that CF is obtained from coconut trees, its production and industry are geographically limited to America, tropical Africa and Asia [15]. Every year, huge amounts of money are spent on importing CF substrate from other countries [13], in addition to the risk of phytopathogen disease propagation. On the other hand, date-palm (Phoenix dactylifera L.), which belongs to the same family as coconut, presents high similarity with a fiber of coconut fruit hull [16] and is considered an important product in Tunisia and the Mediterranean basin. These findings suggest that date palm residues may be considered a proper substitute for CF in the future.
Worldwide, there are approximately 105 million palm trees and an estimated number of over 3,675,000 tons of residues that are discarded annually, leading to environmental problems [17]. Tunisia has about 4.5 million trees extending over an area of 32,000 ha, with more than 0.2 Mt of leaves produced every year [18]. Date palm tree waste includes leaves, branches, stem barks and fronds. They are the most commonly generated waste. They are obtained by seasonal pruning of palm trees, which is an essentially agricultural practice and discarded with no valorization. Due to the low cost, availability and abundance of date-palm cultivation as well as its physiochemical properties, the date-palm substrate can substitute the well-used substrates.
Date-palm substrate presents a low amount of bulk density and a high amount of porosity related [19] that allows the plant root to penetrate in substrate easily, and it could use more volume and space of media [20,21]. It has a higher water-holding capability than CF and can absorb water 8.5 times its dry weight [13]. Wastes of date-palm trees seem to be an innovative material in the Horticulture industry, to be used as growing media [17] or as an organic fertilizer when used as biochar [22]. The performance of palm-date wastes substrate for plant growth may be leveraged in the production of potted plants, but only a few studies have used palm-date wastes as a substitute for green-house culture substrates [18,23].
Based on this collection and considering the data scarcity on date palm wastes valorization and the promising opportunities that compost from date palm waste might present for plant production as an efficient substrate, the present study aimed to investigate the feasibility of using composted date palm waste: compost of date palm residues and animal manure (DPAM) and compost of date-palm trunk (DPT) compared to CF and local soil substrate on plant growth, water relation and photosynthetic performance of melon as well as the quantity and quality of fruits. Melon (Cucumis melo L.) belongs to the Cucurbitaceae family and is one of the most important vegetables worldwide. The world production of melon was estimated to be about 27.3 million tons from 1.04 million ha [24]. Melon fruit is a significant source of substances able to provide human health benefits. It is known to be a good source of health-promoting compounds, especially phenolic compounds, valuable nutrients (such as vitamin C and β-Carotene) and high contents of sugar, calcium, phosphorus, etc. [25]. Additionally, it has a diuretic effect, preventing acidification of the body constituents, with glucose and fructose also helping fatigue recovery owing to their swift absorption [26].

2. Materials and Methods

2.1. Experimental Design and Plant Material

This study was carried out in a 600 m2 mono-tunnel covered with a 200 µm polyethylene film at the experimental station of the technical center of protected and geothermal crops, Gabes, Tunisia.
The experiment was carried out under greenhouse conditions involving complete randomized blocks with five replicates and four treatments: (1) Control (sandy loam soil), (2) Compost of date palm residues (70%) + animal manure (30%), (DPAM), (3) Compost of date palm trunk (DPT) and (4) Coconut fiber (CF) (a commercially imported substrate). Plots were planted with melon.
The transplant took place in February 2019 using the hybrid melon F1 ‘Perseo’ grafted on ‘Matrix’. Plants were grown under natural light conditions. They were grown with one stem. The average ambient temperature and relative humidity in the tunnel were in the range of 19.7 ± 2.3 °C and 63 ± 9%, respectively. An open soilless cultivation system was adopted. This system is an open trench system, where a ditch was dug basically in the ground and then covered by a plastic film. The parameters of the trenches were as the following: length = 28 m, width at the top = 40 cm, width at the bottom = 30 cm, depth at the beginning = 30 cm, depth at the end = 50 cm and a decline of 1.43%. After that, we disposed of perforated PVC tubes, then a fine layer of gravel to drain the excess water then substrate. The drains were collected into a 1 m3 nutrient tank.

2.2. Physicochemical Properties of the Substrates

The pH measurement was carried out according to the international standard ISO 10390:2005. Briefly, a suspension of the substrate in five times its volume of water was prepared, stirred for 1 h, then allowed to precipitation for at least two hours. The pH is then measured using a portable multi-parameter meter HI9828 (Hanna Instruments US Inc., Smithfield, RI, USA).
The electrical conductivity (EC) was determined according to the ISO 11265:1994 standard, which consists of dissolving the electrolytes from substrates with water in a proportion of 1/5. After agitation and filtration, the EC (dS m−1) was measured in the extract using a multi-parameter (Hanna instruments) at 25 °C.
The field capacity or water retention capacity of substrates was determined after the total saturation of substrates with water, then the excess water (drained) was measured. This parameter estimates the water retention capacity of the substrate (%).
Bulk density is an indicator of substrate compaction. It is calculated as the dry weight of the substrate divided by its volume (%). This volume includes the volume of particles and the volume of pores among substrate particles.

2.3. Nutrient Solution and Irrigation

During the experiment, plants were irrigated by the open soilless system irrigation technique. The amount of nutrient solution applied was determined based on a measured drainage fraction. The range of drainage fraction measured was from 20 to 40% during the experimental period. Melon plants were supplied with the following nutrient solution (in ppm): NO3-N (150–175), NH4-N (20–25), P (30–40), K (250–300), Ca (150–180), Mg (40–55), SO4 (50–60), Fe (2.5–3), Mn (0.8–1.0), Cu (0.3–0.4), Zn (0.3–0.4), B (0.3–0.4) and Mo (0.05–0.08). The pH and EC of the nutrient solution were maintained within a range of 6.0–6.5 and 1.5–2.5 dS m−1, respectively.

2.4. Plant Growth and Yield

Growth parameters were measured on 5 months old plants. The length of shoots was measured from the base to the top of the plant. Leaves were numbered par plant, and the diameters of each stem were determined at the collar using a vernier caliper. For the plant yield, the fruits of each plant were collected and freshly weighed.

2.5. Leaves Water Parameters

The water content (WC) provides information on the hydration of plant tissues. It was determined by the difference between the weights of the fresh weight (FW) and the dry weight (DW), according to the following equation (Equation (1)):
WC (mL H2O g−1DW) = (FW − DW)/DW
The relative water content (RWC) indicates the actual water content of the leaf tissues in relation to its maximum water absorption capacity. It allows a physiological assessment of the water status of the leaves and, therefore, of the plant. Leaves were immediately weighed to determine their fresh weight (FW). Then brought to saturation overnight and at a low temperature (to avoid degradation of the plant material) with distilled water. After saturation, the leaves are then removed and well wiped to remove surface water. Then, weighed the determination of the saturation weight (SW). The DW was determined after 72 h in an oven (60 °C). The RWC is calculated using the following equation (Equation (2)):
RWC (%) = [(FW − DW)/(SW − DW) × 100]
Leaf water potential is the energy status of water in leaf tissue. Measurements of this potential are made using the sap pressure chamber method “Scholander”. The measurements refer to a fully developed leaf. The severed petiole was introduced into a silicone plug; the blade was introduced into the pressure chamber so that the severed end appeared outside the lid to a height of 1.5 cm, and the air was sent under pressure until when the first drop of sap appeared at the section of the petiole. The pressure necessary for the excretion of a drop of sap is equal, with the opposite sign, to the water potential of leaf tissues. Water potential is expressed in Mega Pascals (MPa).
Leaf osmotic potential was essayed by using a micropipette; 10 μL of xylemic sap was taken, and the osmolality was determined by a vapor pressure osmometer Wescor type (5500; Wescor Inc., Logan, UT, USA). The osmotic potential is determined according to the Van’t Hoff equation as follows (Equation (3)):
Ψs (MPa) = −Ψ (mosmol kg−1) × 2/58 × 10−3
Turgor pressure (Ψp) was estimated as the difference between water potential and osmotic potential according to the following equation (Equation (4)).
Ψp (MPa) = ΨwΨs

2.6. Photosynthetic Parameters

2.6.1. Extraction, Separation and Quantification of Pigments

To extract the pigments, 0.5 g of fresh leaf material was collected from each experimental series of plants and ground with a pestle and mortar in 10 mL of 80% acetone (CH3COCH3). The homogenate was centrifuged at 5000 rpm for 15 min, and the supernatant was collected and used for pigment determination. To quantify the pigments, the absorbance of the solution was measured at 460, 645 and 663 nm using the UV-spectrophotometer. Acetone (80%) was used as the blank. The concentrations of pigments (in mg g−1 FW) were calculated according to Najar et al. [27].

2.6.2. Gas Exchanges

Leaf gas exchanges were measured on fully developed leaves under the following conditions: an atmospheric pressure of 103 KPa; an atmospheric CO2 concentration of 540–580 ppm; a relative humidity of 45–50%; a light intensity of 1000–1080 µmol PAR m−2s−1 and a leaves a temperature of 20 ± 2 °C. A portable CI-340 Handheld Photosynthesis System (CI340 Bio-Science, Inc., Camas, WA, USA) was used to determine the net photosynthesis rate (PN; μmol (CO2) m−2 s−1); stomatal conductance (gs; moles (H2O) m−2 s−1); transpiration rate (E; mmol (H2O) m−2s−1) and intercellular CO2 concentration (Ci; µmol (CO2) mol–1 or ppm).

2.6.3. Chlorophyll Fluorescence

Chlorophyll fluorescence quantifications were performed using a Hand Held Chlorophyll Fluorometer (OS30p+, Opti-Sciences. Inc., Hudson, NH, USA) on previously adapted leaves to the darkness (30 to 40 min). As a result of the application of a pulse of saturating light, fluorescence increases the fundamental state Fo (all reaction centers are open) toward a maximum level of Fm (all reaction centers are closed). This situation allows us to determine the maximum photochemical quantum yield of PSII (designated Y) as follows (Equation (5)):
Y = Fv/Fm = (Fm − Fo)/Fm.
Just after the transfer of plants in continuous light, we can measure the efficiency of open quantum centers as follows (Equation (6)):
Φexc = Fv’/Fm’ = (Fm’ − Fo’)/Fm’.
The coefficient of the photochemical quenching (photochemical quenching) allows us to estimate the proportion of reaction centers open in the PSII, as follows (Equation (7)):
qP = (Fm’ − Fs)/(Fm’ − F0′).
The dissipated energy in heat form NPQ (non-photochemical quenching) is given by the ratio: (Equation (8)):
(Fm − Fm’)/Fm’.
The quantum yield of electron transport of PSII, designated ϕPSII, estimates the efficiency of all the reaction centers of PSII in the light. It determines the quantum yield of the photochemistry (Equation (9)):
ϕPSII = (Fm’ − Fs)/Fm’ or even ϕPSII = Φexc.qP.

2.6.4. Physicochemical Analyses of Fruits

The moisture (% H2O) was determined by the difference between the weights of the fresh weight (FW) and the dry weight (DW) fruit tissues, according to the following equation (Equation (10)):
M (% H2O) = 100× [(FW − DW)/FW].
The ash content was estimated by igniting the weighed samples in the weighed crucible at a temperature of 500°C for about 3 h in a muffle furnace.
The total soluble solids (TSS) were measured with a digital hand-held refractometer (Model: PAL-1, ATAGO Co., Ltd., Tokyo, Japan). The refractometer was standardized by using distilled water (0 °Brix). 1 to 2 drops of aliquot juice were dropped onto the prism, and thus the reading was noted and washed with distilled water every time after each sample and dried with tissue paper. The resulting values were expressed as °Brix.
Total soluble sugars were extracted in 80% ethanol (v v−1) in a shaker for 1 h. The extracts were then filtered using the Whatman paper. Soluble sugar concentration was investigated colorimetrically, according to a modified phenol-sulfuric acid method [28], at 490 nm, using a UV-Vis Spectrophotometer (2005, JP Selecta S.A., Barcelona, Spain). Glucose aqueous solutions were used for the standard curve.
The titratable acidity (TA) of the melon fruit was determined by the titration method explained by Teka [29]. About 5 mL of the prepared juice was taken and diluted with 95 mL of distilled water and phenolphthalein as an indicator. TA of the juice was calculated by titrating against 0.1 N NaOH. Titratable acidity was expressed as a percentage of citric acid, and it was calculated by using the following equation (Equation (11))
TA = (VNaOH × 0.1 × 0.064)/M
where 0.1 is the normality of NaOH, 0.064 is the citric acid milliequivalent factor, and M is the mass of fresh fruit.

2.7. Preparation of Methanol Extracts

Dried fruit biomass was extracted using methanol with a constant solid/liquid ratio of 1:10 (w v−1) for 2 h. The suspension was continuously mixed using a magnetic agitator (AREX Velp-Scientifica, Usmate Velate, Italy). The extraction was carried out in the dark at room temperature. Then the liquid phase was separated from solids by centrifugation (5000 rpm) for 10 min at 20 °C using a HERMLE Z 513 K centrifuge (Hermle Labortechnik, Wehingen, Germany). Then, evaporated using a rotary vacuum evaporator, Büchi Rotavapor R-200 (Büchi Labortechnik, Flawil, Switzerland). The supernatant samples were dissolved in methanol (10 mg mL−1).

2.8. Total Polyphenols Content (TPC)

TPC was determined spectrophotometrically using the Folin-Cioclateu method [30]. Briefly, 0.1 mL of sample extract was mixed with 0.5 mL of 10-fold diluted Folin-Ciocalteu’s phenol reagent and allowed to react for 5 min. Then 0.4 mL 7% Na2CO3 solution was added, and the final volume was brought to 2 mL with distilled water. After 1 h at room temperature, the absorbance at 760 nm was measured using a UV-Vis Spectrophotometer (2005, JP Selecta S.A., Barcelona, Spain). A calibration curve was prepared using gallic acid (GA) as a positive control. Results were expressed as mg GA equivalents (E) per g of the fruit DW.

2.9. Total Flavonoids Content (TFC)

TFC was done using a colorimetric method described by Ahmed et al. [1]. An aliquot (500 µL) of the extract or standard solution of catechin (C, 0 to 500 µg mL−1) was added to 1.5 mL distilled water, 150 µL 5% sodium nitrite solution and mixed for 6 min before the addition of 150 µL 10% aluminum chloride. Volume was adjusted with distilled water to 2.5 mL and incubated at room temperature for 6 min. The reaction was completed by adding 500 µL 4% sodium hydroxide. The final absorbance was determined at 510 nm against a blank. The TFC was reported as mg CE per g DW against the calibration curve of catechin, from 0 to 500 µg mL−1.

2.10. Total Antioxidant Activity (TAC)

The TAC was determined using the phosphate molybdate method [31]. Briefly, 0.1 mL of extract was combined with 1 mL of a solution composed of sulfuric acid (0.6 M), sodium phosphate (28 mM) and ammonium molybdate (4 mM). The mixture was then incubated at 95 °C for 90 min. The absorbance was measured at 695 nm after cooling to room temperature. Results were expressed as mg GAE g−1 DW.

2.11. Statistical Analysis

Data were expressed as the mean value ± SD of 6 replicate samples (3 for phytochemical composition and antioxidant activity). The statistical analyzes were done using the one-way analysis of variance (ANOVA) procedure with the Statistical Package for the Social Sciences (SPSS) version 20.0 software (IBM Corp, released 2011, Armonk, NY, USA). When p < 0.05, differences were considered statistically significant according to Fisher’s LSD test.

3. Results

3.1. Physiochemical Characteristics of Substrates

Data in Table 1 shows that there was a significant difference between the pH and EC of the different growing substrates. CF was the most acidic with the highest EC substrate. However, the soil was slighter. The field capacities of substrates varied between 16.5% and 79.2% in soil and CF, respectively. Local organic substrates (DPAM and DPT) show intermediate values circa 32–49%.
Table 1. Physico-chemical properties of the studied substrates. DPAM: compost of date palm residues and animal manure; DPT: compost of date palm trunk; CF: coconut fiber, compared with soil substrate.
Bulk density varied significantly between substrates. The mineral substrate was characterized by higher densities than organic substrates. CF had the lowest density with 0.12 ± 0.01%, and soil had the highest density (1.46 ± 0.09) then was the most compact. The local organic substrates (DPAM and DPT) have respective densities of 0.15 ± 0.03 and 0.26 ± 0.02.

3.2. Growth

After the cultivation period, growth data were examined on 5 months old plants. Shoot length data (Table 2) reveals considerable differences within culture substrates. The longest stems were repaired on the DPT substrate. Oppositely, the shortest shoots were obtained on a soil substrate. Moreover, intermediate shoot heights were shown by melon grown under CF and DPAM substrates. At the end of the experiment, the stem diameter of the melon plants cultivated on local unfertilized soil showed the largest stem diameter (15.52 cm). The DPAM substrate gives the thinnest stems (14.74 cm). On the CF and DPT, results were also intermediate. Leaf numbers per plant also varied as substrates varied. Melon grown under the DPT substrate exhibited the most foliated plants compared to the three other substrates.
Table 2. Growth parameters of 5 months old melon plants cultivated on different substrates. DPAM: compost of date palm residues and animal manure; DPT: compost of date palm trunk; CF: coconut fiber, compared with soil substrate.
Melon fruit yield was significantly affected by the substrate nature. It reached the highest yields for CF and DPT, respectively, which were significantly higher than soil and DPAM substrates.

3.3. Water Parameters

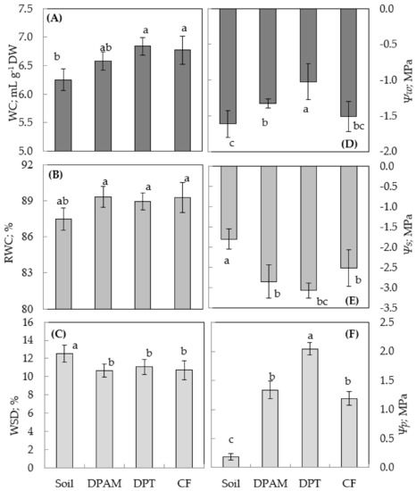
Leaves tissue hydration was estimated by the water content (WC) as mL H2O per g DW (Figure 1A). Results showed significant effects of the substrates on leaf hydration. WC was significantly higher on organic substrates exceeding 6.57 mL g−1 DW, as compared to Soil with only 6.25 mL g−1 DW.
Figure 1. Variation of water parameters in leaves of melon plants cultivated on a different substrate. DPAM: compost of date palm residues and animal manure; DPT: compost of datepalm trunk; CF: coconut fiber, compared with soil substrate. (A): water content (WC: mL g−1 DW); (B): Relative water content (RWC: %); (C): Water saturation deficit (WSD: %); (D): Water potential (Ψw; MPa); (E): Solute potential (Ψs; MPa); (F): Pressure (turgor) potential (Ψp; MPa). The plants were 5 months old. Results are the mean of six replicates ± S.D. Numbers followed by a different letter within a panel are significantly different at p ≤ 0.05, according to LSD analysis.
The relative water content (RWC) estimates thewater content of the leaf tissues relative to the maximal water content. It can hold at full turgidity. As shown in Figure 1B, leaves of plants cultivated on organic substrate showed no significant effects on RWC, with more than 89%. Nevertheless, it should be noted that RWC was slightly reduced in leaves of melon plants cultivated on soil substrate (87%).
The water saturation deficit (WSD) is commonly used for the detection of plant tolerance to temporary water shortages. Results (Figure 1C) showed that the WSD varied between 10% with CF to 12.5% with Soil. It was 11% with DPT and CF substrates.
Plant water potential, and particularly leaf water potential (w), represent valuable indicators of plant water status because they integrate both environmental conditions (e.g., soil water availability and evaporative demand) and plant physiological processes (e.g., root water uptake, xylem transport, and stomatal regulation). Data in Figure 1D show that w was significantly influenced by the substrate. Plants grown on soil and CF showed a reduction in w compared to plants grown on compost DPAM and DPT, with mean values reaching−1.6 to −1.5 and −1.3 to −1 MPa, respectively.
The osmotic potential of leaf tissue (s) was reduced in the organic substrate (Figure 1E). Plants grown on DPT and DPAM showed the lowest values of s significantly compared to CF. Plants with soil substrate had higher w.
The turgor potential (Ψp) of leaf cells was affected by the kind of substrate used. Ψp was the lowest with 0.19 MPa. It was more than 2 MPa with DPT. With DPAM and CF, the cell turgor was intermediate with 1.5 and 1 MPa, respectively (Figure 1F).

3.4. Photosynthetic Pigment Contents

Data are summarized in Figure 2. Results showed a strong predominance of chlorophyll a (Chlr a) over chlorophyll b (Chlr b), independently of the treatment (Figure 2A). Total chlorophyll contents were higher in plants cultivated on DPAM and CF than in those on Soil and especially on DPT. The Chl a/b ratio was significantly affected by the substrate (Figure 2A). This was the most important with DPT and the lowest with CF substrate. Regarding carotenoid pigment (Figure 2B), there was variability between the studied substrate. This was more accumulated with DPAM substrate as compared to DPT and CF. On soil substrate, it was the lowest content of carotenoid.
Figure 2. Variation in assimilating pigments content (mg g−1 FW) in leaves of 5 months old melon plants cultivated on different substrates. DPAM: compost of date palm residues and animal manure; DPT: compost of datepalm trunk; CF: coconut fiber, compared with soil substrate. (A) chlorophylls (B) carotenoids. Numbers in histograms correspond to the chlr a/b ratio. Results are the means of six replicates ± SD. Vertical bars indicate standard errors of means.

3.5. Leaf Gas Exchange

The photosynthetic activity was estimated by the net assimilation rate (PN) according to changes in CO2 content in inflowing and outlet gas flow during the measurement. Results showed that the most important photosynthesis rate was observed in plants cultivated on CF substrate in the range of 20 µmol m−2 s−1 (Figure 3A). This activity was significantly reduced with the substrate and was only 13.8 µmol m−2 s−1 with soil and 11.5 µmol m−2 s−1 with DPAM substrate.
Figure 3. Effects of the culture substrates on photosynthesis parameters in leaves of melon plants. DPAM: compost of date palm residues and animal manure; DPT: compost of datepalm trunk; CF: coconut fiber, compared with soil substrate. (A): photosynthetic assimilation rate (PN: μmol CO2 m−2 s−1); (B): transpiration rate (E: mmol (H2O) m−2 s−1); (C): stomatal conductance (gs: mmol (H2O) m−2 s−1); (D): intercellular CO2 concentration (Ci: μmol (CO2) mol–1). The plants were 5 months old. Results are the mean of nine replicates ± S.D. Numbers followed by a different letter within a panel are significantly different at p ≤ 0.05 according to the least significant difference (LSD) analysis.
As shown in Figure 2B, substrate culture affected the transpiration rate of melon leaves. The leaf transpiration was more important with CF and DPT substrates in the range of 3.2 mmol m−2 s−1. This parameter was significantly decreased under DPAM and soil culture with only 2.6 mmol m−2 s−1 (Figure 3B).
Stomatal conductance determines the stomata status. Generally, the decrease in this parameter indicates closed stomata and a reduction of carbon dioxide and oxygen exchange between mesophyll and the atmosphere. In the studied substrate, there was variability in this parameter (Figure 3C). The stomatal conductance was more important with DPT and CF substrates and affected with DPAM and soil; the decrease reached 30% as compared to DPT.
The intercellular CO2 concentration (Ci) values varied with the substrate used (Figure 3D). This parameter was the highest with DPAM and soil substrates. A significant decrease was observed in DPT and CF substrates.

3.6. Chlorophyll Fluorescence

The evaluation of PSII functioning and its photochemistry variation with different substrates were estimated by five parameters: the maximum quantum yield of PSII (Y) that can represent the greatest photochemical efficiency or the primary efficiency of light energy transitions; the real quantum yield (ϕexc) indicating the transfer efficiency of absorbed photons to the reaction center of PSII; the photochemical quenching coefficient (qP) that gives an indication on the proportion of PSII reaction centers that are open; the quantum yield for electron transport, harvested from H2O, of PSII (ϕPSII) to PSI; and the non-photochemical quenching (NPQ) which is the portion of light energy absorbed by antenna pigment but not used in electron transport and dissipated as thermal energy.
As shown in Table 3, the maximum photochemical efficiency of PSII (Y) was the lowest on soil in the range of 0.717. However, this parameter reached a value of 0.789 on the CF substrate. On the local compost substrate, Y was intermediate with 0.743 and 0.759 on DPAM and DPT, respectively.
Table 3. Variation of the fluorescence parameters of melon leaves grown on a different substrate. DPAM: compost of date palm residues and animal manure; DPT: compost of date palm trunk; CF: coconut fiber, compared with soil substrate. The maximum quantum yield of photosystem II (Y = Fv/Fm). Photosystem II maximum efficiency (ϕexc = Fv’/Fm’). Photochemical quenching coefficient (qP = Fv’/Fs). Quantum yield for electron transport of PSII (ϕPSII = (Fm’ − Fs)/Fm’). Non-photochemical quenching (NPQ = (Fm − Fm’)/(Fm’)).
Photosystem II maximum efficiency (ϕexc) was slightly different in the melon leaves among the substrate. ϕexc was higher in the leaves plant cultivated on CF (0.65) than that in those on soil (0.55). With the local compost substrate, this parameter was intermediate (circa 0.59).
Results of the estimation of opened PSII reaction centers (qP) showed that with soil substrate, qP was the lowest as compared to the organic substrates. The most important value was observed with CF.
The quantum yield for electron transport by PSII (ϕPSII) was also higher under the CF substrate. This parameter significantly decreased under DPT, DPAM and especially soil medium. The substrate composition affected electron transport from PSII to PSI in melon plants.
The effect of substrate on the non-photochemical quenching (NPQ) that dissipated as thermal energy was also determined. On the coco fiber substrate, NPQ was the lowest. The compost substrate maintains NPQ with moderate values. However, this parameter was affected by the soil medium. The loss of light energy on the soil was increased by 42% as compared to the CF substrate.

3.7. Physicochemical Properties of Melon Fruit

The physicochemical properties of fruits are presented in Table 4. Results of the water content of the fruits (product of interest), according to the type of culture substrate, showed obvious variability, with the highest hydration in culture on coconut fiber (CF) as the most important substrate. However, the lowest moisture was detected on melon fruit at DPAM culture, which was significantly different from all other treatments.
Table 4. Physico-chemical parameters of melon fruit. Plants were grown on different substrates. DPAM: compost of date palm residues and animal manure; DPT: compost of date palm trunk; CF: coconut fiber, compared with soil substrate. TSS: Total soluble solids.
The ash content represents the total quantity of mineral salts present in a sample. As illustrated in Table 4, the ash content in melon fruits is between 1.11% (for fruits grown on CF) and 1.18% (for fruits grown on soil and DPAM). For the DPT substrate, this rate was intermediate.
The total soluble solids (TSS) or Brix degrees (°Bx) of melon fruits harvested from the different treatments studied were significantly different. Results in Table 4 show that the Brix degree is more important in the fruits of plants grown on organic substrates with a higher value on CF and DPAM. However, on the soil, this was significantly reduced (12 °Bx). Soluble sugar accumulation in fruits varied among used substrates (Table 4). The highest sugar accumulation was detected in fruits from plants cultivated on CF and DPAM. A significant decrease in sugar amounts was observed in DPT and soil plants.
The potential of hydrogen (pH) is one of the variables used to characterize the organoleptic qualities of products. The results obtained show that the pH value of melon fruits varies between 5.8 and 6.1 depending on the type of growing medium. The lowest values (more acidic juice) were obtained in cultivation on DPT. However, the fruits obtained in culture on soil and CF showed values close to 6.1.
Titratable acidity is a measure of total acid concentration. In titration with a base, all H+ ions are neutralized, whether they are ionized or not. Acidity is closely related to the biochemical composition of the melon fruit. In this study, the acidity of melon fruits varies between 1.4 in DPT and 1.7 mg g−1 FW in soil substrate (Table 4).

3.8. Phytochemical Analysis and Antioxidant Activity

3.8.1. Total Polyphenol Contents

Polyphenols are among the secondary metabolites that participate in the interactions of plants with their environment. In addition, they constitute signaling molecules involved in recognition of certain pathogens and confer resistance to various environmental aggressions.
The determination of total polyphenols was carried out on methanolic extracts by the spectrophotometric method with the Folin-Ciocalteu reagent. The results obtained are expressed in equivalent mg of gallic acid per gram of dry matter (mg GAE g−1 DW), using the linear regression equation of the calibration curve drawn using acid gallic.
Our results show that the methanolic extracts of melon fruits reveal polyphenol contents that vary between 30 and 43 mg g−1 DW depending on the type of substrate used. The use of CF gives the highest values in polyphenols, whereas the low contents were identified in cultivation on soil (Figure 4A).
Figure 4. Phytochemical composition and antioxidant activity of extract of melon fruit grown on a different substrate. DPAM: compost of date palm residues and animal manure; DPT: compost of date palm trunk; CF: coconut fiber, compared with soil substrate. (A): Total polyphenols content. (B): Total flavonoid content. (C): Antioxidant activities. Results expressed as gallic acid or catechin equivalents (mg Equivalent g−1DW) are the mean of triplicate determinations ± S.D. Numbers followed by a different letter within a panel are significantly different at p ≤ 0.05, according to LSD analysis.

3.8.2. Flavonoids Content

Flavonoids constitute the most important polyphenolic class. The determination of flavonoids was carried out by the colorimetric method. Catechin was considered a positive control. The contents are expressed in mg equivalent of catechin (EC) per gram of dry matter (Figure 4B).
The results of the flavonoid contents show values ranging from 10 to 23 mg g−1 DW. Cultivation on CF always shows the highest values. At the same time, the use of soil and oasis compost gives the lowest flavonoid contents of around 10 mg g−1 DW.

3.8.3. Total Antioxidant Activity

The total antioxidant activity (TAA) of the methanolic extracts of melon fruit was evaluated by the phosphomolybdenum method. The results obtained are expressed in equivalent mg of gallic acid per gram of dry matter (mg GAE g−1 DW).
The results of the TAA are reported in Figure 4C, which shows values varying between 15 (on soil) and 26 mg GAE g−1 DW (on DPT and DPAM) according to the type of substrate used.

4. Discussion

Previous funding comparing date palm waste to other growing substrates in soilless culture concluded that date palm waste is an appropriate medium for soilless culture with suitable physical and chemical properties, availability, and low cost [21]. Therefore, it might be a novel substrate that displaces other media. In this study, the possibility of using two locally developed composts from date-palm wastes (DPT and DPAM) as a growing substrate has been tested by measuring the physiological and productive performance of melon compared to the most popular among the hydroponic grower (CF) and the local soil. To do that, the physical and chemical properties of the growing substrates have been evaluated based on pH, EC, bulk density and water-holding capacity. The vegetative growth, physiological responses and fruit yield and qualities of Cucumis melo plants were analyzed.
The vegetative plant growth parameters of melon after 5 months showed a significant variation between the used substrates (Table 2). Organic substrates enhanced shoot size and left the number as compared to the local soil substrate. The DPT was the most adequate for plant growth parameters. It was reported by Ahmad et al. [32] that the application of compost for the Bombax ceiba (Simal) culture plants indicated better performance as compared to soil substrate.
The superiority of organic substrate as compared to soil could be due to physiological and/or biochemical ameliorating parameters. For the physiology of plants, water relations could inform about the cell turgor and then its physiological performance. Results showed that leaf tissues’ water content was significantly more important with organic substrates indicating a more suitable water absorption and transport from roots to shoots. The organic substrate showed a lower amount of bulk density, and a higher amount of porosity (Table 1) allowed the plant root to penetrate in substrate easily and to use more volume and space. It was found by Rostami et al. [33] that date palm waste increased water availability to the strawberry plants.
The RWC estimates the current water content of the tissues relative to the maximal water content it can hold at full turgidity. Results showed that the leaves of plants cultivated on the organic substrate were more turgescent than those on the soil. This can confirm water availability for plants. The soil is more compact, with less space (Table 1), therefore more binding of water molecules (adsorption forces on soil particles), which induces stabilization and maintenance of water in the soil. This can explain its low availability for plants. The water saturation deficit (WSD) is commonly used for the detection of plant tolerance to temporary water shortages. Results (Figure 1C) show that the WSD was more important (12.5%) in melon leaves cultivated on Soil. The increase of RWC and then the decrease of WSD with organic substrates was previously reported in wheat, bean and lettuce plants [34,35,36].
The leaf water potential (w) represents valuable indicators of plant water status, i.e., root water uptake, xylem transport, and stomatal regulation. Local compost substrates (DPAM and DPT) showed the highest values. The lowest w was detected in Soil cultivated plants that reduced their water potential to uptake water. For the osmotic adjustment to occur, the internal osmotic potential must be lowered either by absorption of solutes or synthesis of organic solutes. Plants cultivated on organic substrates showed higher levels of potentials and water content, allowing them to sustain high organ hydration and turgor level with less energy cost; the osmotic adjustment in these conditions could be less active. This turgor level maintained the overall physiological activities of the cells, especially those linked to the photosynthetic apparatus. Bolla et al. [37] showed that the positive effect of the substrate, on Rosa ‘Euro red’ plants grown in soilless greenhouse conditions, was related to the improvement of water retention. The organic substrates can develop microorganisms promoting plant growth. These benefit microorganisms-mediated mechanisms include modifications in the content of plant hormones (e.g., auxin, cytokinin, and gibberellin) and improvement in plant water status by increasing hydraulic conductivity [38,39].
Photosynthetic traits constitute an important tool for studying the performance of plants. Our results showed an increase in chlorophyll pigment synthesis and stomatal conductance, in plants cultivated on organic substrates. This improvement of physiological traits can lead to an increase in CO2 assimilation for photosynthesis which was verified by the decrease in internal CO2 content. Similarly, several studies have demonstrated the positive effects of organic substrates on plant growth by improving photosynthesis, water status, and mineral nutrition [40,41]. In this study, organic substrate induces synthesis of total chlorophyll a and b and carotenoid. A higher photosynthetic pigment with a higher leaf number suggests a better performance of the photosynthetic apparatus. Our data show that organic substrate (especially DPT and CF) not only increases water parameters but also improves stomatal conductance. Several studies have reported the existence of positive effects of organic substrates on photosynthetic efficiency maintenance in plants [42,43,44].
In this study, the measurement of chlorophyll fluorescence was performed. The quantified changes in chlorophyll fluorescence parameters can indicate the PSII function in response to different environmental variables [27]. Organic substrates lead to enhance PSII function, and the maximum quantum yield of PSII (Y) was significantly increased as compared to soil substrate, which may be attributed to the photosynthetic performance of plants.
In Soil, the decrease in Fv/Fm can be attributed to the down regulation of photosystem II activity and/or impairment of photochemical activity, which indicates damage to the functionality of the photosynthetic apparatus [45]. The maximum efficiency of Photosystem II (ϕexc) significantly declined in plants cultivated on the soil. Results of the photochemical quenching coefficient showed that PSII reaction centers were partially closed with soil substrate. Similar results were found for studies of drought and salt stress [27,46].
In the soil-cultivated plants, the electron transport from PSII to PSI was affected, and the light energy was dissipated as thermal energy as our results of the non-photochemical quenching (NPQ) showed that it was increased by more than 40% as compared to CF plants (Table 3). Shin et al. [47] showed similar results under drought-stress conditions in lettuce seedlings. It was previously reported that water deficit reversibly inactivated photosynthetic electron transport via shrinkage of the intracellular space [27,48]. The reduced electron transport chain efficiency can also be the result of the loss of PSII activity and the damage to PSI function [49]. Foyer and Hanke [50] found that when electron transport from the manganese complex to plastoquinone was limited, reactive oxygen species (ROS) were formed on both the electron acceptor and donor side of PSII. The photosynthesis parameters and fluorescence maintenance of the organically cultivated plants could also result from the higher activity of antioxidant enzymes. AlKahtani et al. [51] found that salt tolerance of the wild tomato (Lycopersiconpennellii) was due to the increased activities of superoxide dismutase (SOD), ascorbate peroxidase (APX) and guaiacol peroxidase (POD) as compared to the cultivated tomato (L. esculentum). The physiological performance of plants has a direct impact on the quality of the fruit. In this study, the organic substrates increase the nutraceutical properties of melon fruits as compared to soil media. Total soluble solute and sugar content and titratable acidity were significantly improved. Total polyphenols and flavonoïds contents as well as antioxidant activity, were stimulated in CF and DPT substrates. These results corroborate other findings on basil plants [52] and blueberry, strawberry and tomato fruits [53,54,55].

5. Conclusions

In summary, this study showed that growth parameters prove that the growth of the melon plants is influenced by the use of different substrates and that the date palm trunk compost gave the highest values of lengths and diameters of the stems and leaves. With regard to yield, no significant difference was recorded between the treatments used. The physiological parameter was improved under organic substrates as compared to soil. CF and DPT induced the most important water content and RWC, pigment synthesis and then the higher photosynthesis activities and the lowest fluorescence and light dissipation.
Regarding the physicochemical, biochemical and organoleptic parameters of the fruits, DPT and CF substrates allows the more suitable quality regarding TSS, sugar, pH, and TA, as well as phytochemical parameters and in vitro antioxidant activity.
Following all the results obtained, we can deduce that the local DPT compost can be used as an adequate substrate that will replace the imported CF.
This study could be supplemented by other investigations, such as a study of the root part and its behavior, a more in-depth study of the characteristics of the substrates (the biological characteristics) and of the biochemical parameters of the fruits (contents of proteins, nitrogen, mineral elements and vitamin C and an investigation on the probable development of benefic microorganisms (bacteria and fungi) that can promote plant growth.

Author Contributions

Conceptualization, S.A. and S.S.A.; methodology, S.A. and S.S.A.; software, R.R.; validation, O.M., J.P.S. and C.A.; formal analysis, S.A.; investigation, O.M. and C.A.; resources, S.A. and F.B.; data curation, S.A. and S.S.A.; writing—original draft preparation, S.A. and S.S.A.; writing—review and editing, S.A., S.S.A. and O.M.; visualization, S.A.; supervision, O.M., J.P.S. and C.A.; project administration, S.A. and S.S.A.; funding acquisition, S.A. and O.M. All authors have read and agreed to the published version of the manuscript.

Funding

This work was supported by the Tunisian Ministry of Higher Education and Scientific Research by funds allocated to PRF2019-D1P3 and 19PEJC05-13 projects and to the Laboratory of Biodiversity and Valorisation of Bioresources in Arid Zones (LR18ES36).

Institutional Review Board Statement

Not applicable.

Data Availability Statement

The data will be available on request.

Acknowledgments

The authors thank Noureddine Hafidhi from the Department of Life Sciences at the Faculty of Sciences of Gabes and Nadia ElAbed from the experimental station of the Technical Center of Protected and Geothermal Crops, Gabes Tunisia, for the technical support.

Conflicts of Interest

The authors declare no conflict of interest.

References

  1. Ahmed, Z.F.R.; Kaur, N.; Hassan, F.E. Ornamental date palm and sidr trees: Fruit elements composition and concerns regarding consumption. Int. J. Fruit Sci. 2022, 22, 17–34. [Google Scholar] [CrossRef]
  2. Pisciotta, A.; Barone, E.; Di Lorenzo, R. Table-Grape Cultivation in Soil-Less Systems: A Review. Horticulturae 2022, 8, 553. [Google Scholar] [CrossRef]
  3. Sundari, R.S.; Sulistyowati, L.; Noor, T.I.; Setiawan, I. Soilless culture for agribusiness throughout urban farming in Indonesia. In Recent Research and Advances in Soilless Culture; Turan, M., Argin, A.P.S., Yildirim, E., Güneş, A., Eds.; Intech Open: London, UK, 2022. [Google Scholar] [CrossRef]
  4. Ahmed, Z.F.R.; Alnuaimi, A.K.H.; Askri, A.; Tzortzakis, N. Evaluation of Lettuce (Lactuca sativa L.) Production under hydroponic system: Nutrient solution derived from fish waste vs. inorganic nutrient solution. Horticulturae 2021, 7, 292. [Google Scholar] [CrossRef]
  5. Gruda, N.S. Advances in soilless culture and growing media in today’s horticulture—An Editorial. Agronomy 2022, 12, 2773. [Google Scholar] [CrossRef]
  6. Ahmed, Z.F.R.; Askri, A.; Alnuaimi, A.K.H.; Altamimi, A.S.H.R.; Alnaqbi, M.M.A. Liquid fertilizer as a potential alternative nutrient solution for strawberry production under greenhouse conditions. Acta Hortic. 2021, 1321, 165–172. [Google Scholar] [CrossRef]
  7. Banerjee, A.; Paul, K.; Varshney, A.; Nandru, R.; Badhwar, R.; Sapre, A.; Dasgupta, S. Soilless indoor smart agriculture as an emerging enabler technology for food and nutrition security amidst climate change. Plant Nutr. Food Secur. Era Clim. Change 2022, 2022, 179–225. [Google Scholar]
  8. Chandiposha, M.; Takadini, T. Effects of different soilless growing media on the growth and development of tobacco seedlings. Int. J. Agron. 2022, 2022, 9596945. [Google Scholar] [CrossRef]
  9. Allende, A.; Monaghan, J. Irrigation water quality for leafy crops: A perspective of risks and potential solutions. Int. J. Environ. Res. Public Health 2015, 12, 7457–7477. [Google Scholar] [CrossRef] [PubMed]
  10. Savvas, D.; Gruda, N. Application of soilless culture technologies in the modern greenhouse industry—A review. Eur. J. Hortic. Sci. 2018, 83, 280–293. [Google Scholar] [CrossRef]
  11. Gruda, N.S. Increasing sustainability of growing media constituents and stand-alone substrates in soilless culture systems. Agronomy 2019, 9, 298. [Google Scholar] [CrossRef]
  12. Yau, P.Y.; Murphy, R.J. Biodegraded cocopeat as a horticultural substrate. Acta Hortic. 2000, 517, 275–278. [Google Scholar] [CrossRef]
  13. Shirani, M. Use of date-palm wastes as a substrate on tomato yield and number. Biol. J. Armen. 2013, 1, 63–67. [Google Scholar]
  14. Meena, A.K.; Garhwal, O.P.; Mahawar, A.K.; Singh, S.P. Effect of different growing media on seedling growth parameters and economics of papaya (Carica papaya L.) cv. Pusa delicious. Int. J. Curr. Microbiol. Appl. Sci. 2017, 6, 2964–2972. [Google Scholar] [CrossRef]
  15. Barrett, G.E.; Alexander, P.D.; Robinson, J.S.; Bragg, N.C. Achieving environmentally sustainable growing media for soilless plant cultivation systems—A review. Sci. Hortic. 2016, 212, 220–234. [Google Scholar] [CrossRef]
  16. Ghehsareh, A.M.; Borji, H.; Jafarpour, M. Effect of some culture substrates (date-palm peat, cocopeat and perlite) on some growing indices and nutrient elements uptake in greenhouse. Afr. J. Microbiol. Res. 2011, 5, 1437–1442. [Google Scholar] [CrossRef]
  17. Ghehsareh, A.M. Effect of date palm wastes and rice hull mixed with soil on growth and yield of cucumber in greenhouse culture. Int. J. Recycl. Org. Waste Agricult. 2013, 2, 17. [Google Scholar] [CrossRef]
  18. Abid, W.; Magdich, S.; Mahmoud, I.B.; Medhioub, K.; Ammar, E. Date palm wastes co-composted product: An efficient substrate for tomato (Solanum lycopercicum L.) seedling production. Waste Biomass Valorization 2016, 9, 45–55. [Google Scholar] [CrossRef]
  19. Raja, A.M.; Khalaf, N.H.; Alkubaisy, S.A. Utilization of date palm waste compost as substitute for peat moss. Earth Environ. Sci. 2021, 904, 012041. [Google Scholar] [CrossRef]
  20. Ghehsareh, A.M.; Hematian, M.; Kalbasi, M. Comparison of date-palm wastes and perlite as culture substrates on growing indices in greenhouse cucumber. Int. J. Recycl. Org. Waste Agric. 2012, 1, 5. [Google Scholar] [CrossRef]
  21. Dhen, N.; Abed, S.b.; Zouba, A.; Haouala, F.; Dridi, B.A. The challenge of using date branch waste as a peat substitute in container nursery production of lettuce (Lactuca sativa L.). Int. J. Recycl. Org. Waste Agricult 2018, 7, 357–364. [Google Scholar] [CrossRef]
  22. Mahdi, Z.; El Hanandeh, A.; Yu, Q.J. Date palm (Phoenix dactylifera L.) seed characterization for biochar preparation. In Proceedings of the 6th International Conference on Engineering, Project, and Production Management (EPPM), Gold Coast, QL, Australia, 2–4 September 2015. [Google Scholar]
  23. El May, Y.; Jeguirim, M.; Dorge, S.; Trouve, G.; Said, R. Study on the thermal behavior of different date palm residues. Characterization and devolatilization kinetics under inert and oxidative atmospheres. Energy 2012, 44, 707–709. [Google Scholar] [CrossRef]
  24. FAO. FAOSTAT Database. Food and Agriculture Organization of the United Nations. Available online: http://faostat3.fao.org (accessed on 6 April 2020).
  25. Pulela, B.L.; Maboko, M.M.; Soundy, P.; Amoo, S.O. Cultivar and postharvest storage duration influence fruit quality, nutritional and phytochemical profiles of soilless-grown cantaloupe and honeydew melons. Plants 2022, 11, 2136. [Google Scholar] [CrossRef] [PubMed]
  26. Mukherjee, P.K.; Singha, S.; Kar, A.; Chanda, J.; Banerjee, S.; Dasgupta, B.; Haldar, P.K.; Sharma, N. Therapeutic importance of Cucurbitaceae: A medicinally important family. J. Ethnopharmacol. 2022, 282, 114599. [Google Scholar] [CrossRef] [PubMed]
  27. Najar, R.; Aydi, S.; Sassi-Aydi, S.; Zarai, A.; Abdelly, C. Effect of salt stress on photosynthesis and chlorophyll fluorescence in Medicago truncatula. Plant Biosyst. 2019, 153, 88–97. [Google Scholar] [CrossRef]
  28. Pouris, J.; Levizou, E.; Karatassiou, M.; Meletiou-Christou, M.-S.; Rhizopoulou, S. The Influence of the partitioning of sugars, starch, and free proline in various organs of Cyclamen graecum on the biology of the species and its resistance to abiotic stressors. Plants 2022, 11, 1254. [Google Scholar] [CrossRef]
  29. Teka, T.A. Analysis of the effect of maturity stage on the postharvest biochemical quality characteristics of tomato (Lycopersicon esculentum Mill.) fruit. Intl. Res. J. Pharmaceut. Appl. Sci. 2013, 3, 180–186. [Google Scholar]
  30. Sassi Aydi, S.; Aydi, S.; Kolsi, R.B.A.; Haddeji, N.; Rahmani, R.; Ktari, N.; Bouajila, J. CO2 enrichment: Enhancing antioxidant, antibacterial and anticancer activities in Arthrospira platensis. Food Biosci. 2020, 35, 100575. [Google Scholar] [CrossRef]
  31. Prieto, P.; Pineda, M.; Aguilar, M. Spectrophotometric quantitation of antioxidant capacity through the formation of a phospho-molybdenum complex: Specific application to the determination of vitamin E. Anal. Biochem. 1999, 269, 337–341. [Google Scholar] [CrossRef]
  32. Ahmad, I.; Rashid, M.H.U.; Nawaz, S.; Asif, M.; Farooq, T.H.; Shahbaz, Z.; Kashif, M.; Shaheen, M. Effect of different compost concentrations on the growth yield of Bombax ceiba (Simal). Nat. Resour. Hum. Health 2022, 2, 222–227. [Google Scholar] [CrossRef]
  33. Rostami, Z.; Ghahsare, A.M.; Kavoosi, B. Date palm waste application as culture media for strawberry and its impact on some growth indices and yield components. Agric. Commun. 2014, 2, 15–21. [Google Scholar]
  34. Omara, A.E.-D.; Hafez, E.M.; Osman, H.S.; Rashwan, E.; El-Said, M.A.A.; Alharbi, K.; Abd El-Moneim, D.; Gowayed, S.M. Collaborative impact of compost and beneficial rhizobacteria on soil properties, physiological attributes, and productivity of wheat subjected to deficit irrigation in salt affected soil. Plants 2022, 11, 877. [Google Scholar] [CrossRef]
  35. Abdelfattah, M.A.; Rady, M.M.; Belal, H.E.E.; Belal, E.E.; Al-Qthanin, R.; Al-Yasi, H.M.; Ali, E.F. Revitalizing fertility of nutrient-deficient virgin sandy soil using leguminous biocompost boosts Phaseolus vulgaris performance. Plants 2021, 10, 1637. [Google Scholar] [CrossRef] [PubMed]
  36. Duri, L.G.; El-Nakhel, C.; Caporale, A.G.; Ciriello, M.; Graziani, G.; Pannico, A.; Palladino, M.; Ritieni, A.; De Pascale, S.; Vingiani, S.; et al. Mars regolith simulant ameliorated by compost as in situ cultivation substrate improves lettuce growth and nutritional aspects. Plants 2020, 9, 628. [Google Scholar] [CrossRef] [PubMed]
  37. Bolla, A.; Koukourikou-Petridou, M.; Voyiatzis, D.; Chimonidou, D. Physiological responses associated to substrate water availability of Rosa ‘Eurored’ plants grown in soilless greenhouse conditions. Sci. Hortic. 2009, 121, 80–83. [Google Scholar] [CrossRef]
  38. Coker, C.S.; Ozores-Hampton, M. Compost tea foliar disease suppression in horticulture crops. In Compost Utilization in Production of Horticultural Crops; CRC Press: Boca Raton, FL, USA, 2021; pp. 123–134. [Google Scholar]
  39. Mohamed, M.H.; Sami, R.; Al-Mushhin, A.A.; Ali, M.M.E.; El-Desouky, H.S.; Ismail, K.A.; Zewail, R.M. Impacts of effective microorganisms, compost tea, fulvic acid, yeast extract, and foliar spray with seaweed extract on sweet pepper plants under greenhouse conditions. Plants 2021, 10, 1927. [Google Scholar] [CrossRef] [PubMed]
  40. Machado, R.M.; Alves-Pereira, I.; Morais, C.; Alemão, A.; Ferreira, R. Effects of coir-based growing medium with municipal solid waste compost or biochar on plant growth, mineral nutrition, and accumulation of phytochemicals in spinach. Plants 2022, 11, 1893. [Google Scholar] [CrossRef]
  41. Naveed, M.; Sajid, H.; Mustafa, A.; Niamat, B.; Ahmad, Z.; Yaseen, M.; Chen, J.T. Alleviation of salinity-induced oxidative stress, improvement in growth, physiology and mineral nutrition of canola (Brassica napus L.) through calcium-fortified composted animal manure. Sustainability 2020, 12, 846. [Google Scholar] [CrossRef]
  42. Sarkar, M.D.; Rahman, M.J.; Uddain, J.; Quamruzzaman, M.; Azad, M.O.K.; Rahman, M.H.; Islam, M.J.; Rahman, M.S.; Choi, K.-Y.; Naznin, M.T. Estimation of yield, photosynthetic rate, biochemical, and nutritional content of red leaf lettuce (Lactuca sativa L.) grown in organic substrates. Plants 2021, 10, 1220. [Google Scholar] [CrossRef]
  43. Shi, L.; Lv, N.; Nie, J.; Tan, D.; Zheng, J.; Luo, G.; Li, Y.; Xiong, Y.; Xie, Y.; Wang, J. Effects of culture media on yield, growth, photosynthetic capacity and antioxidant enzyme of different tomato (Solanum lycopersicum L.) varieties. Appl. Ecol. Environ. Res. 2018, 16, 5909–5919. [Google Scholar] [CrossRef]
  44. Samartzidis, C.; Awada, T.; Maloupa, E.; Radoglou, K.; Constantinidou, H.-I.A. Rose productivity and physiological responses to different substrates for soil-less culture. Sci. Hortic. 2005, 106, 203–212. [Google Scholar] [CrossRef]
  45. Martins, J.B.; Júnior, J.A.S.; de Carvalho Leal, L.Y.; Paulino, M.K.S.S.; de Souza, E.R.; Gheyi, H.R. Fluorescence emission and photochemical yield of parsley under saline waters of different cationic nature. Sci. Hortic. 2020, 273, 109574. [Google Scholar] [CrossRef]
  46. Khanghahi, M.Y.; Leoni, B.; Crecchio, C. Photosynthetic responses of durum wheat to chemical/microbiological fertilization management under salt and drought stresses. Acta Physiol. Plant. 2021, 43, 1–14. [Google Scholar]
  47. Shin, Y.K.; Bhandari, S.R.; Jo, J.S.; Song, J.W.; Lee, J.G. Effect of drought stress on chlorophyll fluorescence parameters, phytochemical contents, and antioxidant activities in lettuce seedlings. Horticulturae 2021, 7, 238. [Google Scholar] [CrossRef]
  48. Gadzinowska, J.; Ostrowska, A.; Hura, K.; Dziurka, M.; Pawłowska, B.; Hura, T. Physiological traits determining high adaptation potential of sweet briar (Rosa rubiginosa L.) at early stage of growth to dry lands. Sci. Rep. 2019, 9, 19390. [Google Scholar] [CrossRef] [PubMed]
  49. Guo, Y.Y.; Li, H.J.; Liu, J.; Bai, Y.W.; Xue, J.Q.; Zhang, R.H. Melatonin alleviates drought-induced damage of photosynthetic apparatus in maize seedlings. Russ. J. Plant Physiol. 2020, 67, 312–322. [Google Scholar] [CrossRef]
  50. Foyer, C.H.; Hanke, G. ROS production and signaling in chloroplasts: Cornerstones and evolving concepts. Plant J. 2022, 111, 642–661. [Google Scholar] [CrossRef]
  51. AlKahtani, M.D.; Attia, K.A.; Hafez, Y.M.; Khan, N.; Eid, A.M.; Ali, M.A.; Abdelaal, K.A. Chlorophyll fluorescence parameters and antioxidant defense system can display salt tolerance of salt acclimated sweet pepper plants treated with chitosan and plant growth promoting rhizobacteria. Agronomy 2020, 10, 1180. [Google Scholar] [CrossRef]
  52. Albadwawi, M.A.O.K.; Ahmed, Z.F.R.; Kurup, S.S.; Alyafei, M.A.; Jaleel, A. A comparative evaluation of aquaponic and soil systems on yield and antioxidant levels in basil, an important food plant in Lamiaceae. Agronomy 2022, 12, 3007. [Google Scholar] [CrossRef]
  53. Wang, M.Q.; Su, L.; Cong, Y.; Chen, J.J.; Geng, Y.L.; Qian, C.L.; Xu, Q.; Chen, X.H.; Qi, X.H. Sugars enhance parthenocarpic fruit formation in cucumber by promoting auxin and cytokinin signaling. Sci. Hortic. 2021, 283, 110061. [Google Scholar] [CrossRef]
  54. Yang, H.; Duan, Y.; Wei, Z.; Wu, Y.; Zhang, C.; Wu, W.; Lyu, L.; Li, W. Integrated Physiological and Metabolomic Analyses Reveal the Differences in the Fruit Quality of the Blueberry Cultivated in Three Soilless Substrates. Foods 2022, 11, 3965. [Google Scholar] [CrossRef]
  55. Carricondo-Martínez, I.; Berti, F.; Salas-Sanjuán, M.d.C. Different organic fertilisation systems modify tomato quality: An opportunity for circular fertilisation in intensive horticulture. Agronomy 2022, 12, 174. [Google Scholar] [CrossRef]
Disclaimer/Publisher’s Note: The statements, opinions and data contained in all publications are solely those of the individual author(s) and contributor(s) and not of MDPI and/or the editor(s). MDPI and/or the editor(s) disclaim responsibility for any injury to people or property resulting from any ideas, methods, instructions or products referred to in the content.

Article Metrics

Citations

Article Access Statistics

Multiple requests from the same IP address are counted as one view.