Extreme Weather and Grazing Management Influence Soil Carbon and Compaction
Abstract
:1. Introduction
2. Materials and Methods
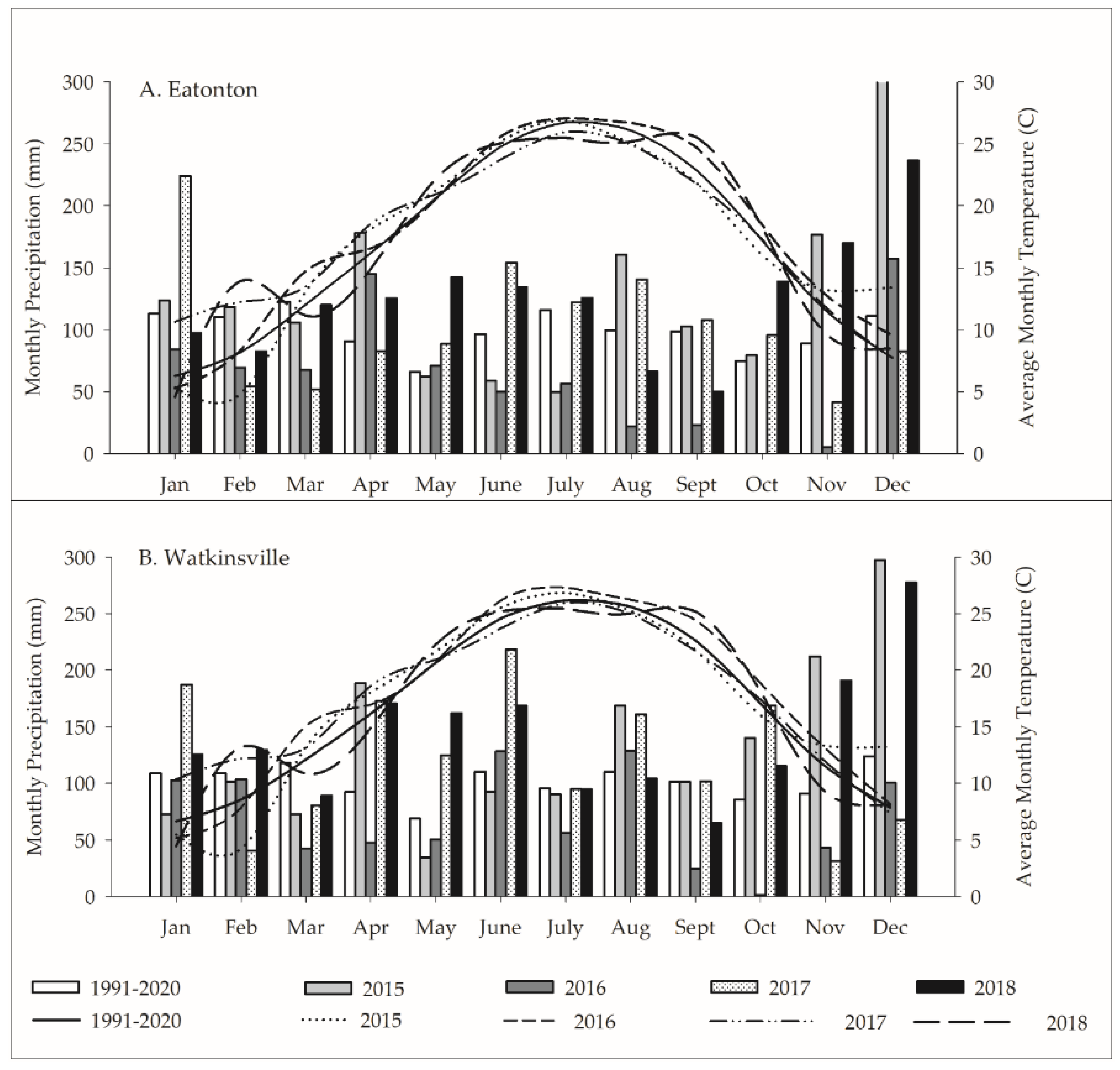
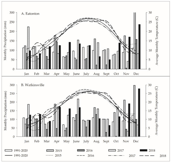
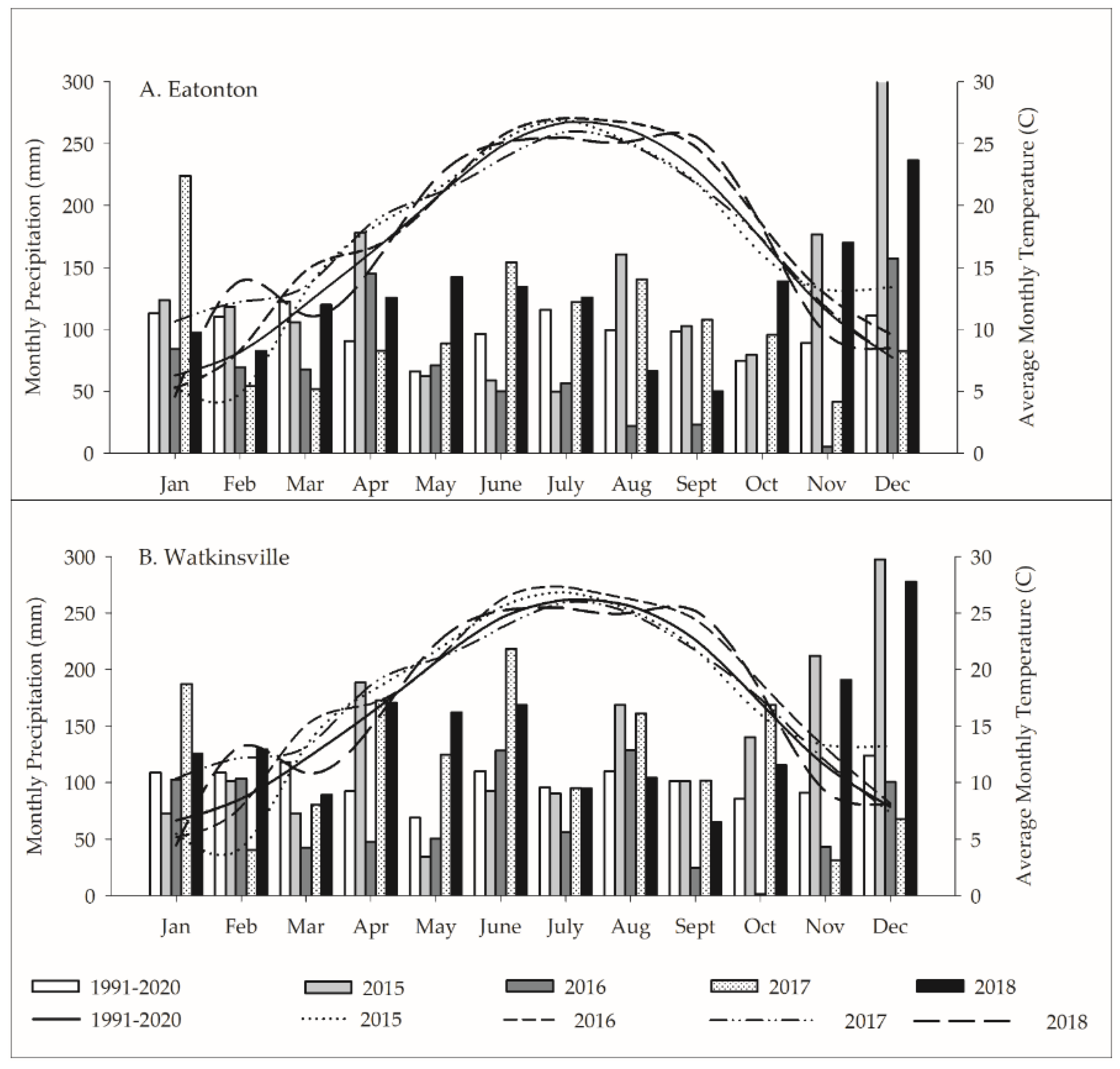
2.1. Characteristics of the Study Sites
2.2. Experimental Design and Sampling
2.3. Treatment Setup
2.4. Cattle Density Determination
- Cp = number of cattle in the pasture,
- Ct = total number of cattle (2015),
- F = number of fixes per m2 determined using the Point Density Tool,
- D = days in year the collars recorded locations, and
- A = total area of all study pastures in each location (2015).
2.5. Generating Concentrated Flow Paths (CFPs) and Buffers
2.6. Analysis of Soil Samples
2.7. Statistical Analysis
3. Results and Discussion
3.1. Overall Soil LOI and BD Changes with Change in Grazing System
3.2. Changes in LOI and BD at Different Distances from CFPs
3.3. Influence of Cattle Density on LOI
3.4. Influence of Cattle Density on BD
3.5. Exclusions’ Influences on LOI, BD, and CD
4. Conclusions
Supplementary Materials
Author Contributions
Funding
Institutional Review Board Statement
Informed Consent Statement
Data Availability Statement
Acknowledgments
Conflicts of Interest
References
- Dahlin, A.S.; Emanuelsson, U.; McAdam, J.H. Nutrient management in low input grazing–based systems of meat production. Soil Use Manag. 2005, 21, 122–131. [Google Scholar] [CrossRef]
- Teague, W.R. Forages and pastures symposium: Cover crops in livestock production: Whole-system approach: Managing grazing to restore soil health and farm livelihoods. J. Anim. Sci. 2018, 96, 1519–1530. [Google Scholar] [CrossRef] [PubMed]
- Scott, J.M.; Hutchinson, K.J.; King, K.; Chen, W.; McLeod, M.; Blair, G.J.; White, A.; Wilkinson, D.; Lefroy, R.D.B.; Cresswell, H.; et al. Quantifying the sustainability of grazed pastures on the Northern Tablelands of New South Wales. Aust. J. Exp. Agric. 2000, 40, 257–265. [Google Scholar] [CrossRef]
- Teague, W.R.; Apfelbaum, S.; Lal, R.; Kreuter, U.P.; Rowntree, J.; Davies, C.A.; Conser, R.; Rasmussen, M.; Hatfield, J.; Wang, T.; et al. The role of ruminants in reducing agriculture’s carbon footprint in North America. J. Soil Water Conserv. 2016, 71, 156–164. [Google Scholar] [CrossRef]
- Harmel, R.D.; Smith, D.R.; Haney, R.L.; Angerer, J.; Haile, N.; Grote, L.; Grote, S.; Tiner, K.; Goodwin, J.; Teague, R.; et al. Transitioning from conventional continuous grazing to planned rest-rotation grazing: A beef cattle case study from central Texas. J. Soil Water Conserv. 2021, 76, 534–546. [Google Scholar] [CrossRef]
- Silveira, M.L.; Kohmann, M.M. Maintaining soil fertility and health for sustainable pastures. In Management Strategies for Sustainable Cattle Production in Southern Pastures; Academic Press: Cambridge, MA, USA, 2020; pp. 35–58. [Google Scholar]
- Sigua, G.C.; Coleman, S.W.; Albano, J.P. Quantifying soil organic carbon in forage-based cow–calf congregation-grazing zone interface. Nutr. Cycl. Agroecosyst. 2009, 85, 215–223. [Google Scholar] [CrossRef]
- Sigua, G.C.; Hubbard, R.K.; Coleman, S.W.; Williams, M. Nitrogen in soils, plants, surface water and shallow groundwater in a bahiagrass pasture of Southern Florida, USA. Nutr. Cycl. Agroecosyst. 2010, 86, 175–187. [Google Scholar] [CrossRef]
- Hendricks, T.; Franklin, D.; Dahal, S.; Hancock, D.; Stewart, L.; Cabrera, M.; Hawkins, G. Soil carbon and bulk density distribution within 10 Southern Piedmont grazing systems. J. Soil Water Conserv. 2019, 74, 323–333. [Google Scholar] [CrossRef]
- Amorim, H.C.; Ashworth, A.J.; Moore, P.A., Jr.; Wienhold, B.J.; Savin, M.C.; Owens, P.R.; Jagadamma, S.; Carvalho, T.S.; Xu, S. Soil quality indices following long-term conservation pasture management practices. Agric. Ecosyst. Environ. 2020, 301, 107060. [Google Scholar] [CrossRef]
- Unites States Department of Agriculture, NASS Southern Region. Georgia County Estimates, Cattle 2020. 2021. Available online: https://www.nass.usda.gov/Statistics_by_State/Georgia/Publications/County_Estimates/2021/GACattle2021.pdf (accessed on 9 November 2021).
- Zhou, S.; Zhang, Y.; Park Williams, A.; Gentine, P. Projected increases in intensity, frequency, and terrestrial carbon costs of compound drought and aridity events. Sci. Adv. 2019, 5, eaau5740. [Google Scholar] [CrossRef] [PubMed] [Green Version]
- Sarker, J.R.; Singh, B.P.; Dougherty, W.J.; Fang, Y.; Badgery, W.; Hoyle, F.C.; Dalal, R.C.; Cowie, A.L. Impact of agricultural management practices on the nutrient supply potential of soil organic matter under long-term farming systems. Soil Tillage Res. 2018, 175, 71–81. [Google Scholar] [CrossRef]
- Martınez, L.J.; Zinck, J.A. Temporal variation of soil compaction and deterioration of soil quality in pasture areas of Colombian Amazonia. Soil Tillage Res. 2004, 75, 3–18. [Google Scholar] [CrossRef]
- Hu, W.; Drewry, J.; Beare, M.; Eger, A.; Müller, K. Compaction induced soil structural degradation affects productivity and environmental outcomes: A review and New Zealand case study. Geoderma 2021, 395, 115035. [Google Scholar] [CrossRef]
- Causarano, H.J.; Franzluebbers, A.J.; Shaw, J.N.; Reeves, D.W.; Raper, R.L.; Wood, C.W. Soil organic carbon fractions and aggregation in the Southern Piedmont and Coastal Plain. Soil Sci. Soc. Am. J. 2008, 72, 221–230. [Google Scholar] [CrossRef]
- Kurz, I.; O’Reilly, C.D.; Tunney, H. Impact of cattle on soil physical properties and nutrient concentrations in overland flow from pasture in Ireland. Agric. Ecosyst. Environ. 2006, 113, 378–390. [Google Scholar] [CrossRef]
- Dahal, S.; Franklin, D.H.; Cabrera, M.L.; Hancock, D.W.; Stewart, L.; Ney, L.C.; Subedi, A.; Mahmud, K. Spatial distribution of inorganic nitrogen in pastures as affected by management, landscape, and cattle locus. J. Environ. Qual. 2018, 47, 1468–1477. [Google Scholar] [CrossRef]
- Dahal, S.; Franklin, D.; Subedi, A.; Cabrera, M.; Hancock, D.; Mahmud, K.; Ney, L.; Park, C.; Mishra, D. Strategic grazing in beef-pastures for improved soil health and reduced runoff-nitrate—A step towards sustainability. Sustainability 2020, 12, 558. [Google Scholar] [CrossRef]
- Conant, R.T.; Paustian, K. Potential soil carbon sequestration in overgrazed grassland ecosystems. Glob. Biogeochem. Cycles 2002, 16, 90–91. [Google Scholar] [CrossRef]
- Franzluebbers, A.J.; Stuedemann, J.A.; Schomberg, H.H. Spatial distribution of soil carbon and nitrogen pools under grazed tall fescue. Soil Sci. Soc. Am. J. 2020, 64, 635–639. [Google Scholar] [CrossRef]
- Kang, S.; Lin, H. General soil-landscape distribution patterns in buffer zones of different order streams. Geoderma 2009, 151, 233–240. [Google Scholar] [CrossRef]
- Kirkby, M. Modelling the interactions between soil surface properties and water erosion. Catena 2002, 46, 89–102. [Google Scholar] [CrossRef]
- Agouridis, C.T.; Workman, S.R.; Warner, R.C.; Jennings, G.D. Livestock grazing management impacts on stream water quality: A review . JAWRA J. Am. Water Resour. Assoc. 2005, 41, 591–606. [Google Scholar] [CrossRef]
- Seneviratne, S.; Nicholls, N.; Easterling, D.; Goodess, C.; Kanae, S.; Kossin, J.; Luo, Y.; Marengo, J.; McInnes, K.; Rahimi, M.; et al. Changes in climate extremes and their impacts on the natural physical environment. In Managing the Risks of Extreme Events and Disasters to Advance Climate Change Adaptation. A Special Report of Working Groups I and II of the Intergovernmental Panel on Climate Change (IPCC SREX Report); Cambridge University Press: Cambridge, UK, 2012; pp. 109–230. [Google Scholar]
- Knapp, A.K.; Beier, C.; Briske, D.D.; Classen, A.T.; Luo, Y.; Reichstein, M.; Smith, M.D.; Smith, S.D.; Bell, J.E.; Fay, P.A.; et al. Consequences of more extreme precipitation regimes for terrestrial ecosystems. Bioscience 2008, 58, 811–821. [Google Scholar] [CrossRef]
- Frank, D.; Reichstein, M.; Bahn, M.; Thonicke, K.; Frank, D.; Mahecha, M.D.; Smith, P.; Van der Velde, M.; Vicca, S.; Babst, F.; et al. Effects of climate extremes on the terrestrial carbon cycle: Concepts, processes and potential future impacts. Glob. Chang. Biol. 2015, 21, 2861–2880. [Google Scholar] [CrossRef] [PubMed]
- Khan, N.; Jhariya, M.K.; Raj, A.; Banerjee, A.; Meena, R.S. Soil carbon stock and sequestration: Implications for climate change adaptation and mitigation. In Ecological Intensification of Natural Resources for Sustainable Agriculture; Springer: Berlin/Heidelberg, Germany, 2021; pp. 461–489. [Google Scholar]
- Burt, R. Soil Survey Laboratory Methods Manual. Soil Survey Investigations Report 42, Version 4; United States Department of Agriculture, Natural Resources Conservation Service: Washington, DC, USA; National Soil Survey Center: Linkoln, NE, USA, 2004.
- Subedi, A.; Franklin, D.; Cabrera, M.; McPherson, A.; Dahal, S. Grazing Systems to Retain and Redistribute Soil Phosphorus and to Reduce Phosphorus Losses in Runoff. Soil Syst. 2020, 4, 66. [Google Scholar] [CrossRef]
- Greenwood, K.L.; MacLeod, D.A.; Scott, J.M.; Hutchinson, K.J. Changes to soil physical properties after grazing exclusion. Soil Use Manag. 1998, 14, 19–24. [Google Scholar] [CrossRef]
- Drewry, J.J. Natural recovery of soil physical properties from treading damage of pastoral soils in New Zealand and Australia: A review. Agric. Ecosyst. Environ. 2006, 114, 159–169. [Google Scholar] [CrossRef]
- Hu, Z.; Li, S.; Guo, Q.; Niu, S.; He, N.; Li, L.; Yu, G. A synthesis of the effect of grazing exclusion on carbon dynamics in grasslands in China. Glob. Chang. Biol. 2016, 22, 1385–1393. [Google Scholar] [CrossRef]








| Pastures | Area (ha) | Grazing Treatment | Sampling Points (N) (2015/2018) | Exclusion Area (ha) | Exclusion Cattle Density (2015/2018) |
|---|---|---|---|---|---|
| Eatonton Beef Research Unit, Eatonton, Putnam County | |||||
| ENE | 22 | STR | 84/82 | 2.7 | 20.7/10.5 |
| ENW | 18 | CHD | 77/73 | - | - |
| ESE | 18 | CHD | 75/75 | - | - |
| ESW | 18 | STR | 72/68 | 4.1 | 43.4/3.7 |
| JPC, Watkinsville, Oconee County | |||||
| WNE | 15 | STR | 81/74 | 2.0 | 3.7/0.6 |
| WNW | 17 | CHD | 90/70 | - | |
| WSE | 18 | CHD | 72/60 | - | |
| WSW | 11 | STR | 79/18 | 3.05 | 4.5/0.6 |
| Grazing Management | Year | LOI at 0–5 cm | Difference (2018–2015) | LOI at 5–10 cm | Difference (2018–2015) | LOI at 10–20 cm | Difference (2018–2015) |
|---|---|---|---|---|---|---|---|
| g kg−1 | |||||||
| CG | 2015 | 82.8 A ╪ | −10.7 *** | 45.9 A | −3.4 *** | 43.6 A | −3.9 *** |
| CHD | 2018 | 72.2 B | 42.6 B | 39.7 B | |||
| CG | 2015 | 91.3 A | −7.2 *** | 58.9 A | −4.2 *** | 58.5 A | −4.7 *** |
| STR | 2018 | 84.2 B | 54.8 B | 53.8 B | |||
| Grazing Management | Year | BD at 0–5 cm | Difference (2018–2015) | BD at 5–10 cm | Difference (2018–2015) | BD at 10–20 cm | Difference (2018–2015) |
|---|---|---|---|---|---|---|---|
| g cm−3 | |||||||
| CG | 2015 | 1.25 B ╪ | 0.04 * | 1.62 A | −0.15 *** | 1.45 B | 0.01 |
| CHD | 2018 | 1.31 A | 1.48 B | 1.47 A | |||
| CG | 2015 | 1.23 B | 0.03 | 1.63 A | −0.17 *** | 1.39 B | 0.03 * |
| STR | 2018 | 1.27 A | 1.45 B | 1.42 A | |||
| Distance from CFP | BD Change in CHD (2018-2015) | BD Change in STR (2018-2015) | ||||
|---|---|---|---|---|---|---|
| 0–5 cm | 5–10 cm | 10–20 cm | 0–5 cm | 5–10 cm | 10–20 cm | |
| g cm−3 | g cm−3 | |||||
| 0–20 m | −0.04 ╪ | −0.13 *** | 0.03 | −0.01 ╪ | −0.14 *** | 0.01 |
| 20–40 m | 0.08 * | −0.17 *** | 0.02 | −0.001 | −0.18 *** | 0.001 |
| 40–60 m | 0.05 ╪ | −0.1 *** | −0.01 | 0.07 ╪ | −0.21 *** | 0.04 ** |
| >60 m | 0.05 * | −0.16 *** | 0.01 | 0.06 * | −0.18 *** | 0.03 ╪ |
| Treatment | Year | LOI g kg−1 Outside Exclusions | LOI g kg−1 Inside Exclusions | BD g cm−3 Outside Exclusions | BD g cm−3 Inside Exclusions | CD (Hour m−2 year−1) Outside Exclusions | CD (Hour m−2 year−1) Inside Exclusions |
|---|---|---|---|---|---|---|---|
| CHD | 2015 | 53.5 Aa | 55.1 Aa | 1.43 Ab | 1.50 Aa | 4.27 Aa | 4.11 Aa |
| CHD | 2018 | 50.4 Ba | 46.2 Bb | 1.44 Aa | 1.45 Ba | 4.34 Aa | 3.81 Aa |
| STR | 2015 | 69.7 Aa | 72.1 Aa | 1.41 Ab | 1.45 Aa | 4.81 Aa | 4.34 Aa |
| STR | 2018 | 66.2 Ba | 61.7 Ba | 1.4 Ba | 1.38 Ba | 3.87 Ba | 1.16 Bb |
Publisher’s Note: MDPI stays neutral with regard to jurisdictional claims in published maps and institutional affiliations. |
© 2022 by the authors. Licensee MDPI, Basel, Switzerland. This article is an open access article distributed under the terms and conditions of the Creative Commons Attribution (CC BY) license (https://creativecommons.org/licenses/by/4.0/).
Share and Cite
Subedi, A.; Franklin, D.; Cabrera, M.; Dahal, S.; Hancock, D.; McPherson, A.; Stewart, L. Extreme Weather and Grazing Management Influence Soil Carbon and Compaction. Agronomy 2022, 12, 2073. https://doi.org/10.3390/agronomy12092073
Subedi A, Franklin D, Cabrera M, Dahal S, Hancock D, McPherson A, Stewart L. Extreme Weather and Grazing Management Influence Soil Carbon and Compaction. Agronomy. 2022; 12(9):2073. https://doi.org/10.3390/agronomy12092073
Chicago/Turabian StyleSubedi, Anish, Dorcas Franklin, Miguel Cabrera, Subash Dahal, Dennis Hancock, Amanda McPherson, and Lawton Stewart. 2022. "Extreme Weather and Grazing Management Influence Soil Carbon and Compaction" Agronomy 12, no. 9: 2073. https://doi.org/10.3390/agronomy12092073
APA StyleSubedi, A., Franklin, D., Cabrera, M., Dahal, S., Hancock, D., McPherson, A., & Stewart, L. (2022). Extreme Weather and Grazing Management Influence Soil Carbon and Compaction. Agronomy, 12(9), 2073. https://doi.org/10.3390/agronomy12092073

