Next Article in Journal
Harnessing the Known and Unknown Impact of Nanotechnology on Enhancing Food Security and Reducing Postharvest Losses: Constraints and Future Prospects
Next Article in Special Issue
The Chickpea Pod Borer, Helicoverpa armigera (Hübner): Yield Loss Estimation and Biorational Insecticide Assessment in Morocco
Previous Article in Journal
Comparison of Field Performance of Different Driving Systems and Forward Speed Measuring Methods for a Wet Direct Seeder of Rice
Previous Article in Special Issue
Sublethal Effects of Three Insecticides on Development and Reproduction of Spodoptera frugiperda (Lepidoptera: Noctuidae)
 
 
Font Type:
Arial Georgia Verdana
Font Size:
Aa Aa Aa
Line Spacing:
Column Width:
Background:
Article

Toxicity and Sublethal Effects of Fluxametamide on the Key Biological Parameters and Life History Traits of Diamondback Moth Plutella xylostella (L.)

1
Department of Agricultural Entomology, Bidhan Chandra Krishi Viswavidyalaya, Mohanpur, Nadia 741252, West Bengal, India
2
Purba Medinipur Krishi Vigyan Kendra, Bidhan Chandra Krishi Viswavidyalaya, Nandakumar, Midnapore 721632, West Bengal, India
3
Dhaanya Ganga Krishi Vigyan Kendra, Ramakrishna Mission Vivekananda Educational and Research Institute, Sargachhi, Murshidabad 742408, West Bengal, India
4
Council for Agricultural Research and Economics, Research Centre for Genomics & Bioinformatics, Via Paullese 28, 26836 Montanaso Lombardo, Italy
5
School of Agriculture and Rural Development, Ramakrishna Mission Vivekananda Educational and Research Institute, Kolkata 700103, West Bengal, India
*
Author to whom correspondence should be addressed.
Agronomy 2022, 12(7), 1656; https://doi.org/10.3390/agronomy12071656
Submission received: 17 June 2022 / Revised: 6 July 2022 / Accepted: 7 July 2022 / Published: 12 July 2022
(This article belongs to the Special Issue Advances in Pesticide Discovery and Application)

Abstract

:
Fluxametamide, a novel isoxazoline insecticide, is newly registered for the control of various lepidopteran, coleopteran and thysanopteran insect pests on lethal and sublethal levels. In the present study, the toxicity and sublethal effects of fluxametamide on diamondback moth Plutella xylostella (L.), an invasive lepidopteran foliage feeder of cruciferous vegetables, were assessed to explore its bio-ecological impact on pest populations. The toxicity of fluxametamide to the third instar larvae of P. xylostella was 0.18 mg L−1 (LC50) at 72 h bioassay. After treatment with LC10 and LC30 concentrations of fluxametamide, the fourth instar larval duration, the rate of deformed pupa and adults, and the adult pre-oviposition period were significantly increased, whereas the pupation rate and pupal weight were significantly decreased in the F0 generation. In the F1 generation, sublethal effects of fluxametamide were indicated by a reduced fecundity, rate of pupation and adult emergence, pupal weight, and adult longevity, however a significant increase in eggs and total larval duration, deformed adults rate, and total longevity and pre-oviposition period was observed in the offspring. The intrinsic rate of increase (r), finite rate of increase (λ) and net reproductive rate (R0) of sublethal treatments were significantly lower than the control. The relative fitness of F1 was 0.68 and 0.64 in LC10 and LC30 treatments, respectively. The LC30 fluxametamide treatment exhibited increased glutathione S-transferase activities (elevated 1.433-fold) in P. xylostella. Our results suggest that in addition to its high lethal toxicity, the sublethal concentrations of fluxametamide might suppress the reproduction, development and survival of the P. xylostella population and its progeny, which can help to optimize integrated pest management program.

1. Introduction

The diamondback moth, Plutella xylostella (L.) (Lepidoptera: Plutellidae), is a widely distributed and economically important oligophagous pest of cruciferous vegetable crops [1,2]. Presently the control of P. xylostella is mainly dependent on chemical insecticides. However, the injudicious application of insecticides has caused P. xylostella to rapidly develop resistance to almost all classes of old fashioned insecticides [3,4,5] as well as varying degrees of resistance to novel chemicals, such as chlorantraniliprole [6], spinosad [7], emamectin benzoate [8] and spinetoram [9]. Besides, owing to its high fecundity and short life span, very few insecticides are currently available that remain effective in controlling P. xylostella in India [9]. Therefore, new active compounds with unique mechanisms of action are urgently required to participate in insecticide resistance management programmes.
Fluxametamide is a novel isoxazoline insecticide that differs chemically from fiproles, avermectins and diamides. It has a new target site for arthropods, interfering with GABA Cl and Glu Cl channels [10,11], and is listed in group 30 in the IRAC mode of action classification [12]. Fluxametamide has an exceptional insecticidal activity on a range of insect pest species, such as lepidoptera, thysanoptera, coleoptera and diptera [13] and the advantage of negligible non-target toxicity, including pollinators [10,14]. The unique binding site of fluxametamide in GABA-gated chloride channels, different from those for existing antagonists, makes this molecule effective against fipronil-resistant pest populations [15]. After Japan, Australia and China, fluxametamide has been launched in India very recently and is expected to be used effectively to control various lepidopteran insects. Besides lethal effects, the sublethal effects must be considered while making an insecticide selection [16,17]. The effect of sublethal exposure to an insecticide could impair the growth, developmental rate, feeding, fecundity, and various physiological and biochemical processes of an insect pest, and sometimes causes the rapid evolution of insecticide resistance [18]. The extensive application of fluxametamide in the coming years may cause sublethal effects on P. xylostella gradually. Therefore, estimation of the toxicity and sublethal effects of fluxametamide on P. xylostella is very important for coordinating chemical and biological control strategies in an integrated pest management program. However, there is no report on the sublethal effects of fluxametamide on P. xylostella, and very little literature is available for their comparison. Previous studies reported that fluxametamide has excellent efficacy against Musca domestica, Laodelphax striatellus, Drosophila melanogaster, Tetranichus urticae and Cylas formicarius [10,19]. On the other hand, the sublethal concentrations of various insecticides such as chlorantraniliprole, metaflumizone, fenoxycarb, spinosad, spinetoram and broflanilide significantly reduced the longevity and fecundity of P. xylostella [20,21,22,23,24]. The life-table bioassay is a precise tool to estimate the effect of sublethal exposure to an insecticide on major biological factors and demographic traits of an insect population in the laboratory [25,26]. In addition to the pest’s biology, the sublethal effect of a new chemical on the biochemistry of a target insect must be considered for a comprehensive study [27]. These pieces of information can be crucial in decision-making on pest management by predicting the possible impacts that are likely to occur in field strains.
The present study aimed to evaluate the toxicity and baseline susceptibility of a novel isoxazoline insecticide fluxametamide against third instar larvae of a susceptible population of P. xylostella. Additionally, the age-stage and two-sex life table methods were used to analyze the demographic parameters of P. xylostella treated by sublethal concentrations (LC10 and LC30) of fluxametamide, with a particular focus on the potential toxicological and possible transgenerational effects in the subsequent generations. The activities of cytochrome P450 monooxygenase, glutathione S-transferase and esterases were also quantified to assess the biochemical responses and metabolic enzyme-mediated detoxification mechanisms to sublethal concentrations of fluxametamide which could provide crucial data for the field application guidelines of this insecticide to control P. xylostella in the future.

2. Materials and Methods

2.1. Insect Population and Insecticide

A P. xylostella strain with no history of insecticide exposure for more than 60 generations was initially purchased from the ICAR-NBAIR (National Bureau of Agricultural Insect Resources), Bangalore, Karnataka, India in 2016 and was maintained in the laboratory for 5 years in insecticide-free conditions. Larvae were fed cabbage leaves (Brassica oleracea var. capitata L.), while adult moths were provided with 10% w/v honey solution and kept at 25 ± 1 °C, 70–80% RH and a photoperiod of 16:8 h light: dark. Fluxametamide (purity > 98%) used in this study was obtained from Med Chem Express, Suite Q, Monmouth Junction, NJ 08852, USA through Allianz BioInnovation, Mumbai, India.

2.2. Toxicity Bioassay

The standard leaf-dip bioassay method [28] was adopted by taking newly molted third instar larvae for the toxicity bioassay of fluxametamide. The stock solution of fluxametamide was prepared by dissolving in dimethyl sulfoxide (DMSO) and the working solutions were made through serial dilutions in double-distilled water containing 0.1% Triton X-100. Bioassays consisted of four replicates per concentration with nine different concentrations (0.0, 0.01, 0.05, 0.1, 0.2, 0.3, 0.5, 0.7, and 1.0 mg L−1). Fresh cabbage leaves were clipped into 6 cm diameter spherical discs and dipped in different test concentrations for 20 s. Then, the treated leaf discs were allowed to dry naturally at room temperature for 1 h and placed individually in a Petri dish (9-cm-diameter) lined with moistened filter paper (Whatman no. 1). Leaf discs that were emerged in sterile solutions only were served as controls. Twenty early third-instar larvae for each concentration were placed in a Petri dish and sealed with a nylon mesh net. Thus, a total of 720 larvae were used in the concentration-mortality bioassay. Mortality was recorded after 72 h of insecticide exposure. Individuals that were 30% shorter than those of the control treatment or larvae that did not show any coordinated movement after probing with a soft camel-hair brush were assumed to be dead [29].

2.3. Sublethal Effects of Fluxametamide on Development of P. xylostella F0

Based on the toxicity bioassay, LC10 and LC30 concentrations were selected to investigate the sublethal effects of fluxametamide on P. xylostella. A total of one hundred and twenty newly molted 3rd instar larvae were treated with sublethal concentrations of fluxametamide (LC10 or LC30) or the sterile diluents only (control) on cabbage leaf discs for 72 h, using the standard leaf-dip bioassay method described previously. Fifteen larvae were defined as one replicate with eight replicates per concentration. After 72 h, larval mortality was recorded and the surviving larvae of each treatment were shifted individually to a plastic container (10-cm-height; 2.5-cm-diameter) containing fresh cabbage leaves. The larvae were monitored daily until pupation and the cabbage leaves were replaced when required. The number of larvae that pupated and deformed pupae were recorded regularly. The pupation and deformed pupa rate were enumerated as well. Additionally, the pupae were weighed individually within 24 h. On the first day of adult emergence, twenty mating pairs for each treatment were respectively released into a glass bottle (12-cm-depth; 6.5-cm-diameter) containing 10% honey solution, which was changed at an interval of 48 h. Subsequently, the rate of adult emergence, deformed adults and female rates were calculated. The eggs laid on the cabbage leaves were recorded daily and replaced at 24 h intervals until the death of the female moth. The longevity of adult males and females, and the pre-oviposition period (APOP) were also recorded.

2.4. Transgenerational Effects of Sublethal Dose of Fluxametamide on P. xylostella F1

To examine whether fluxametamide has carryover activity on the F1 generation, 100 eggs from each treatment (LC10, LC30 and control) of the previous experiment were used to study the life table parameters. For easy observation, five newly hatched F1 larvae were transferred to each plastic container (10-cm-height; 2.5-cm-diameter) containing fresh cabbage leaves and kept under the aforesaid controlled conditions. Cabbage leaves were replaced every 24 h. The developmental duration of F1 larvae and subsequent stages, and their related survivorship, were recorded. Pupal weight was taken individually and the pupation rate, deformed pupa rate and adult emergence rate were recorded as above. Upon emergence, newly emerged F1 adult pairs were placed in a glass bottle as described earlier. The fecundity and survival rate of F1 adults were recorded daily and the pupal sex was differentiated after the adult emergence.

2.5. Detoxification Enzyme Assay

2.5.1. Cytochrome P450 Monooxygenase

Cytochrome P450 monooxygenase (P450) activity was assayed according to the method demonstrated by Aitio [30] using 7-ethoxycoumarin O-demethylase (7-ECOD) as the substrate with slight modification. Ten randomly collected fourth-instar P. xylostella larvae from F1 generation were homogenized with phosphate-buffered saline (PBS) (0.1 mmol L−1, pH 7.5) containing 1 mmol L−1 EDTA, 1 mmol L−1 PMSF, 1 mmol L−1 DTT, and 15% glycerol. The homogenates were centrifuged at 10,000× g at 4 °C for 15 min, and the supernatants were treated at 10,000× g for 30 min. The supernatant was used as the crude enzyme source. Each treatment had four replicates with 10 larvae per replicate. Each reaction solution contained 2 μL of 7-ECOD (0.32 mmol L−1), 70 μL of PBS (0.1 mmol L−1, pH 7.5), 2 μL of NADPH (0.8 mmol L−1), and 50 μL of the crude enzyme solution. After incubation of the reaction mixture at 30 °C for 30 min with shaking at 50 r min−1, a 60 μL solution of 15% trichloroacetic acid was added to terminate the reaction. The mixture was then centrifuged, and the supernatant was extracted. A 100 μL aliquot of the resulting extract was mixed with 90 μL of 1.6 mmol L−1 glycine-NaOH buffer (pH 10.5). Wells without microsomal pellets served as controls. The fluorescence intensity was measured using a spectrofluorometer (Edinburgh Instruments Ltd., 2 Bain Square, Kirkton Campus, UK) at 358 and 465 nm wavelengths for excitation and emission, respectively. The P450 activity was calculated by converting the fluorescence intensity into picomoles of the product using a 7-hydroxycoumarin standard curve.

2.5.2. Glutathione S-Transferase

The glutathione S-transferase (GST) activity was determined using 1-chloro-2, 4-dinitrobenzene (CDNB) as a substrate according to Habig et al. [31]. Ten F1 fourth-instar larvae of P. xylostella were homogenized in 0.1 mol L−1 PBS (pH 6.5) and centrifuged at 4 °C and 1000× g for 10 min. The extracted supernatant was used as the crude enzyme sample. Each reaction mixture (300 μL) consisted of 20 mmol L−1 reduced glutathione (60 μL), 0.1 mol L−1 PBS (136 μL), 20 mmol L−1 CDNB (4 μL), and supernatant (100 μL), whereas the nonenzymatic reaction without crude enzyme solution served as control. Absorbance values were continuously recorded at 340 nm wavelength for 2 min using a spectrophotometer (Shimadzu, UV-1900, Albert-Hahn-Str. 6-10, Duisburg, Germany). An extinction coefficient of 9.6 mmol−1 L−1 cm−1 was used to calculate the conjugated CDNB concentration. Each treatment was assayed using four replicates with 10 larvae per replicate.

2.5.3. Esterase

The esterase (EST) activity was determined using α-naphthol as substrate according to the method of Asperen [32] and Zhu and He [33]. Ten fourth-instar P. xylostella larvae of F1 generation were homogenized with PBS (0.04 mol L−1, pH 7.0). The homogenate was centrifuged at 4 °C and 10,000× g for 20 min, and the obtained supernatant was used as an enzyme sample. The reaction mixture (150 μL) in each well consisted of 135 μL α-naphthol (0.3 mmol L−1) and 15 μL supernatant solution and was incubated at 37 °C for 30 min. The reaction was stopped with the addition of 50 μL of a dye reagent, containing the mixture of fast blue B and sodium dodecyl sulfate (2:5 v/v). Wells with buffer instead of supernatant served as controls. Absorbance values were continuously measured at 600 nm wavelength for 5 min using a spectrophotometer (Shimadzu, UV-1900, Albert-Hahn-Str. 6-10, Duisburg, Germany). Each treatment group was replicated four times with 10 individuals per replicate. The quantity of free α-naphthol was computed from the α-naphthol standard curve.
The protein content in the enzyme source was quantified using bovine serum albumin as a standard by following the method of Bradford [34].

2.6. Data Analyses

Bioassay data were corrected for control mortality using Abbott’s formula where required [35]. Data were analyzed using PoloPlus statistical software version 2.0 (LeOra Software Company, Beverly Hills, CA, USA) for probit analysis, and the LC values (LC10, LC30 and LC50) and their 95% confidence limits were calculated. The analysis of variance (ANOVA) (Tables S1 and S2) followed by the Tukey’s HSD test for multiple comparison (p < 0.05) was done using SPSS software (version 18.0: Inc., Chicago, IL, USA) to analyze the significance of statistics among different treatments.
According to the theory of age-stage and the two-sex life table [36,37], raw data on the F1 life table were analyzed using the TWOSEX-MS chart program [38]. The demographic traits at age x and stage j, such as age-stage specific survival rate (sxj), age-specific survival rate (lx), age-specific fecundity (mx), age-specific maternity (lxmx), age-stage specific life expectancy (exj), intrinsic rate of increase (r), finite rate of increase (λ), net reproductive rate (R0) and mean generation time (T) were calculated (Supplementary Material S1). The standard errors (SEs) and mean values of the life table parameters were calculated with 10000 bootstrap replicates in a non-parametric method, and the significant differences among the three treatments were preciously computed by the paired bootstrap test (p < 0.05) using the TWOSEX-MS chart program [39].

3. Results

3.1. Toxicity of Fluxametamide

Based on the concentration–mortality data, the estimated LC50 value of fluxametamide for the third instar larvae of P. xylostella was 0.18 mg L−1 (Table 1). Also, the LC10 and LC30 values were determined to be 0.06 and 0.11 mg L−1, respectively. These two concentrations were used in the study of the sublethal effect.

3.2. Sublethal Effects of Fluxametamide on F0 Generation of P. xylostella

When compared with the control treatment, the pupation rates of F0 larvae treated with LC10 and LC30 concentrations of fluxametamide were significantly decreased by 22.45 and 35.63% (F = 479.513; p < 0.0001; df = 2, 21), respectively; their deformed pupa rates were significantly increased by 60.28 and 67.18% (F = 152.118; p < 0.001; df = 2, 21), respectively (Table 2). The pupal weight was significantly decreased by 0.68 and 1.20 mg (F = 223.651; p < 0.0001; df = 2, 21) in LC10 and LC30 fluxametamide-treated groups of F0 larvae, respectively. The duration of fourth instar larvae was also significantly higher than the untreated control (F = 32.602; p < 0.0001; df = 2, 21) (Table 2).
Besides, the deformed adults rate was significantly increased by 42.33 and 58.59% (F = 156.549; p < 0.0001; df = 2, 21), and the mean APOP was also increased by 0.25 and 0.32 days (F = 28.994; p = 0.0073; df = 2, 21) in the LC10 and LC30 concentrations of fluxametamide, respectively (Table 3). However, the biological parameters, including the adult male longevity and female ratio were not significantly different among the three concentration treatments (Table 3).

3.3. Sublethal Effects of Fluxametamide on F1 Generation of P. xylostella

The sublethal effects of fluxametamide on the biological parameters of F1 from the third instar larvae of F0 are depicted in Table 4. At the LC10 and LC30 concentrations, the egg duration was significantly prolonged by 0.64 and 1.15 days (F = 399.513; p < 0.0001; df = 2, 297), respectively. Similarly, the larval duration was also significantly prolonged by 0.64 and 0.79 days in the LC10 and LC30 concentrations (F = 7.351; p = 0.004; df = 2, 274), respectively, because the mean duration of second instar larvae was significantly extended by 0.22 days in LC30, and third and fourth instars were significantly extended by 0.11 and 0.03 days and 0.53 and 0.62 days in LC10 and LC30 concentrations, respectively (Table 4). Both the pupation rate (F = 44.561; p = 0.024; df = 2, 144) and pupal weight (F = 187.408; p = 0.0031; df = 2, 144) in the LC30 concentration were significantly lower than that of the control treatment (Table 5).
The adult emergence rate was significantly decreased by 19.94 and 28.29% (F = 14.726; p = 0.0029; df = 2, 144), whereas the deformed adults rate was significantly increased by 60.85 and 67.51% (F = 64.395; p < 0.0001; df = 2, 144) in the LC10 and LC30, respectively (Table 6). Fluxametamide at sublethal doses extended the total pre-oviposition period (TPOP) (F = 30.694; p = 0.0032; df = 2, 144), and the total longevity of males (F = 11.296; p < 0.0001; df = 2, 111) and females (F = 32.958; p = 0.0082; df = 2, 144) significantly (Table 7), but reduced the fecundity (F = 43.910; p < 0.0001; df = 2, 145), longevity of adult males (F = 269.402; p = 0.031; df = 2, 111) and adult females (F = 275.531; p = 0.0026; df = 2, 144) (Table 6). However, no significant differences (p > 0.05) were observed between the control and the sublethal treatments concerning the first instar duration, or the pupal duration, or APOP or female ratio.

3.4. Fitness Costs of Fluxametamide on F1 Generation of P. xylostella

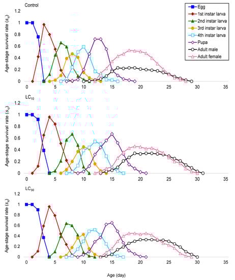
The age-stage-specific survival rate (sxj) of F1 generation exhibited distinct overlaps between sublethal concentrations of fluxametamide and control treatments (Figure 1). The age-specific survival rate (lx) showed a higher survival duration for LC10 (31 days) and LC30 (30 days) treatments than the control (29 days) (Figure 2). The tendency of sublethal curves was steeper than the control due to the increased mortality rate in LC10 and LC30 treatments of fluxametamide. The age-specific fecundity (mx) and maternity (lxmx) had the decreasing trend as control > LC30 > LC10 and control > LC10 > LC30, respectively. The life expectancy (exj) curves of the F1 generation indicated a decreased life span with the increase of age irrespective of treatments, and a longer life in sublethal concentrations when compared to the control (Figure 3). However, the maximum exj appeared at the egg stage, which in the LC10 and LC30 treatments was at 24.1 and 22.3 days, respectively, whereas in the control group it was 23.5 days.

3.5. Sublethal Effects of Fluxametamide on Life Table Parameters of P. xylostella

The demographic traits of the F1 generation were compared and significant differences were observed between the fluxametamide-treated and the control groups (Table 8). The intrinsic rate of increase (r) (p < 0.0001) and the finite rate of increase (λ) (p < 0.0001) were significantly decreased by LC10 and LC30, and only LC30, respectively, whereas the net reproductive rate (R0) (p = 0.0026) was significantly decreased by both LC10 and LC30 concentrations. However, fluxametamide significantly extended the T (p = 0.0175) for about 0.76 days in LC10 and 0.36 days in LC30 concentrations when compared to the control. The Rf calculated from the R0 values for the LC10 and LC30 concentrations relative to the control treatment were 0.68 and 0.64, respectively.

3.6. Detoxification Enzyme Activities

When compared to the control treatment, GST activities were significantly higher in the LC30 (elevated 1.433-fold) group (p < 0.0001), whereas no significant difference was observed for the LC10-treated P. xylostella population (Table 9). However, P450 and EST activities were not significantly different between the sublethal treatments of fluxametamide.

4. Discussion

Fluxametamide is a novel isoxazoline insecticide that can effectively control various lepidopteran and coleopteran insect pests [19,40]. In the present study, the authors tried to explore the potential influence of the sublethal concentrations of fluxametamide on P. xylostella for the first time. A high insecticidal activity of fluxametamide was observed against the third-instar larvae of P. xylostella with an LC50 value of 0.18 mg L−1. The result indicated that the fluxametamide toxicity to P. xylostella was higher than that of abamectin, spinosad, indoxacarb, chlorantraniliprole and fenoxycarb [21,41,42]. In addition, the second instar larvae of P. xylostella exhibited an LC50 value of 56.41 mg L−1 when treated with farnesyl acetate, was higher than the present results with a lower toxicity [43]. However, the LC50 of the technical grade fluxametamide, obtained from the present study, was also lower than that of rac-fluxametamide (1.90 mg L−1) and its enantiomers; S-(+)-fluxametamide (0.62 mg L−1), or R-(-)-fluxametamide (34.18 mg L−1) at 48 h [40].
Considering that most of the long-lasting insecticides could degrade gradually after their initial field application, turning lethal dosages into sublethal levels, we determined the effects of the sublethal concentrations of fluxametamide on P. xylostella. Very few workers have reported the laboratory and field efficacy of fluxametamide against Tetranichus urticae, Laodelphax striatellus and sweet potato weevil [10,19]. In addition to larval toxicity, the present study demonstrated a variety of sublethal effects of fluxametamide on key biological traits of P. xylostella. The LC10 and LC30 concentrations of fluxametamide not only prolonged the fourth larval duration of F0 of P. xylostella but also extended the larval period of F1 progeny in a dose-dependent manner. This observation was corroborated by the previous reports on the sublethal effects of spinosad [20] or chlorantraniliprole [21] or spinetoram [23] on P. xylostella larvae. Prolongation of the larval duration in fluxametamide treatments could be attributed to retarded growth due to a reduced appetite, feeding disruption, abnormal metabolism, starvation stress, or the imbalance between metabolic detoxification and physiological development [44,45]. However, it is important to note that the extended larval duration could make a significant contribution to the field management of P. xylostella by increasing the probability of natural parasitism or predation [46] and by forcing immature larvae to feed on suboptimal nutritional foliage for completing their life cycle, which leads to reduced fecundity and survival [47]. In contrast, the sublethal concentrations of cyantraniliprole and beta-cypermethrin did not show any significant effect on the life history of Helicoverpa assulta [48] and P. xylostella [49], respectively. Besides, da Silva et al. [50] reported that chlorantraniliprole (<10% mortality) and methomyl (0% mortality) registered very negligible toxicity to P. xylostella at their sublethal levels. This phenomenon might be attributable to the typical symptoms of positive fitness effects of sublethal insecticides exposure to insect pests [51].
Fluxametamide at sublethal concentrations could persistently affect the metamorphosis and biology of treated P. xylostella. For example, the LC10 and LC30 fluxametamide treatments significantly decreased the pupation rate in both F0 and F1 generations, which could, in turn, reduce the probability that the treated strain completed the developmental process. In addition, a significant increase in the deformed adult rate was observed at sublethal doses of fluxametamide in both generations. The adverse effect of chlorantraniliprole, spinosad and tebufenozide on the pupation rate of Spodoptera exigua was already reported [52]. Tamilselvan et al. [23] also observed a significant reduction and increase in the pupation rate and the adults with wings deformity, respectively, in F0 generation of P. xylostella when third instar larvae were treated with sublethal doses of spinetoram. In the present study, exposure to LC10 and LC30 concentrations of fluxametamide significantly reduced the mean pupal weight of P. xylostella in the F0 and F1 generations. This result was consistent with the previous report on sublethal doses of metaflumizone or spinetoram on P. xylostella [22,23] and broflanilide on Spodoptera litura [53]. The reduction in pupal weight might be due to the decrease in food ingestion for optimal larval growth and the poor recovery efficiency of fluxametamide-treated larvae.
The adult male and female longevity of P. xylostella F0 generation were not significantly differed in fluxametamide treatments, but the adult longevity and total longevity of both males and females and the fecundity of gravid females were affected in the F1 generation. Similar results were obtained by Yin et al. [54], Su and Xia [55] and Tamilselvan et al. [23] who reported that sublethal concentrations of chlorantraniliprole, methylthio-diafenthiuron and spinetoram reduced the fecundity of P. xylostella in F1 progeny. We hypothesized that the production of viable female eggs and male sperms, required for normal fertilization, was less in the fluxametamide-treated P. xylostella adults due to the cessation of feeding and lower food intake by the larval instars. The involvement of similar mechanisms in reduced fecundity has been reported for other lepidopteran pests such as Platynota idaeusalis [56] and S. litura [57]. Although the copulation and mating behavior of the adults that emerge after sublethal exposure is unknown, our findings indicate the potential for sublethal effects of fluxametamide on the reproductive physiology of P. xylostella. On the other hand, it should be noted that endocrine signaling pathways regulate the fecundity of insects [53]. Unlike the present study, Hu [58] observed that two GABA-receptor-targeting insecticides, endosulfan and butane-fipronil, enhanced the fecundity of Drosophila melanogaster by upregulation of the signaling pathway-related genes of juvenile hormone (JHATT), ecdysone (CYP307A1) and insulin-like (ILP2, ILP5 and ILP7), and of the insulin-like (ILP2 and ILP5), respectively. In addition, the non-significant increase in the mean fecundity of S. litura was observed at the sublethal concentrations of a meta-diamide insecticide broflanilide, but the exact reason has yet to be confirmed [53]. However, neither any positive effect nor insecticide hormoligosis was reported in the fecundity of broflanilide-treated Tetranychus urticae [59], and this substantiated the present results. Besides, the sublethal effects of spinosad [60] and spinetoram [23] on the pre-oviposition period of P. xylostella have been investigated. In the current study, exposure to LC10 and LC30 concentrations of fluxametamide also increased the TPOP of P. xylostella F1 generation, which is consistent with the previous authors.
Demographic traits have been recommended as a more suitable approach for examining the total effects of an active ingredient on an insect population [17,61]. In addition, the effects of an insecticide on an insect population level could be predicted better by combining toxicological and ecological parameters. However, it is essential to study the effects of sublethal insecticide exposure on the fitness costs associated with insecticide resistance for the development of potential resistance management strategies [62,63]. In the present study, the mean values of r, λ and R0 tended to be lower in the sublethal treatments of fluxametamide than in the control, while T was significantly increased. The results indicate that the sublethal doses of fluxametamide can slow down the population dynamics of P. xylostella through the reduction in their reproduction and survival. Furthermore, after the sublethal exposure, the significant changes in development times and fecundity caused a decrease in the r and R0 and resulted in a lower Rf and longer T, which was identical to the results seen with of P. xylostella treated with chlorantraniliprole [21], spinetoram [23] and broflanilide [24]. The population parameters of P. xylostella, such as intrinsic rate of increase (r), finite rate of increase (λ), age-specific fecundity (mx) and life expectancy (exj) were also found to be lower in the sublethal exposure of indoxacarb [64], pyriproxyfen [65] and teflubenzuron [66], and are consistent with the present findings.
The sublethal effects of an active ingredient on the fecundity and life stages of insects resulted from biochemical responses of various metabolic enzymes [67,68]. In the present study, the increased activities of GST may be contributing to the biochemical effects of the LC30 treatment of fluxametamide in P. xylostella. Based on the nature, dosage, and timing of chemical exposure, fluctuating activities of GST are possible in chemically stressed insects [69,70]. Similarly, in Haemaphysalis longicornis and Spodoptera litura, upregulation and expression of GST genes were detected after sublethal treatments with flumethrin [71] and chlorpyrifos [72], respectively, indicating a possible role in insect biochemical responses under sublethal insecticide exposure.

5. Conclusions

In conclusion, fluxametamide has excellent insecticidal activity against P. xylostella. Besides the direct lethal effects, fluxametamide at sublethal doses has a negative influence on different development stages of P. xylostella F0 generation. The reduced female fecundity and delayed larval development indicated that fluxametamide can suppress the F1 progeny due to its transgenerational sublethal effect on the P. xylostella. However, under field and semi-field conditions, insects may be subjected to continuous sublethal exposure to insecticides for multiple generations, which may lead to polygenic or multifactorial insecticide resistance. Therefore, based on the present results, field studies should be conducted to obtain more reliable information for the use of fluxametamide at the farm level as an alternative to existing molecules in the sustainable management of P. xylostella. Additionally, laboratory studies should also be undertaken to understand the mechanisms of fluxametamide-induced effects in P. xylostella.

Supplementary Materials

The following supporting information can be downloaded at: https://www.mdpi.com/article/10.3390/agronomy12071656/s1, Supplementary Material S1 [73], Table S1: ANOVA of sublethal effect of fluxametamide on Plutella xylostella F0 generation; Table S2: ANOVA of sublethal effect of fluxametamide on Plutella xylostella F1 treated at F0 generation.

Author Contributions

Conceptualization, G.C. and A.G.; methodology, S.M.G.; software, A.B.; validation, S.S. (Sayan Sau), K.M. and S.S. (Sukamal Sarkar); formal analysis, S.S. (Sukamal Sarkar); investigation, S.M.G.; resources, G.C.; data curation, K.M. and A.B.; writing—original draft preparation, D.R.; writing—review and editing, P.K.S.; visualization, S.M.G.; supervision, D.R.; project administration, G.C.; funding acquisition, G.C. and S.M.G. All authors have read and agreed to the published version of the manuscript.

Funding

This research was funded by Indian Council of Agricultural Research-Agricultural Technology Application Research Institute (ATARI), Kolkata, India, grant number F/4(2)/ATARI/Kol/BE/Res-8/2021.

Institutional Review Board Statement

Not applicable.

Informed Consent Statement

Not applicable.

Data Availability Statement

The data presented in this study are available in Tables and Figures within the article or in the Supplementary Material provided.

Acknowledgments

Authors are grateful to the Director, ICAR-Agricultural Technology Application Research Institute (ATARI), Kolkata for providing fund to conduct laboratory experiments (Grant no. F/4(2)/ATARI/Kol/BE/Res-8/2021), and the Director, ICAR-National Bureau of Agricultural Insect Resources (NBAIR), Bangalore, India for assistance with the laboratory susceptible Plutella xylostella strain.

Conflicts of Interest

The authors declare no conflict of interest.

References

  1. Philips, C.R.; Fu, Z.; Kuhar, T.P.; Shelton, A.M.; Cordero, R.J. Natural history, ecology, and management of diamondback moth (Lepidoptera: Plutellidae), with emphasis on the United States. J. Integr. Pest. Manag. 2014, 5, D1–D11. [Google Scholar] [CrossRef]
  2. Xia, X.; Sun, B.; Gurr, G.M.; Vasseur, L.; Xue, M.; You, M. Gut microbiota mediate insecticide resistance in the diamondback moth, Plutella xylostella (L.). Front. Microbiol. 2018, 9, 25. [Google Scholar] [CrossRef] [Green Version]
  3. Attique, M.N.R.; Khaliq, A.; Sayyed, A.H. Could resistance to insecticides in Plutella xylostella (Lep., Plutellidae) be overcome by insecticide mixtures? J. Appl. Entomol. 2006, 130, 122–127. [Google Scholar] [CrossRef]
  4. Khaliq, A.; Attique, M.N.R.; Sayyed, A.H. Evidence for resistance to pyrethroids and organophosphates in Plutella xylostella (Lepidoptera: Plutellidae) from Pakistan. Bull. Entomol. Res. 2007, 97, 191–200. [Google Scholar] [CrossRef]
  5. Agboyi, L.K.; Ketoh, G.K.; Martin, T.; Glitho, I.A.; Tamo, M. Pesticide resistance in Plutella xylostella (Lepidoptera: Plutellidae) populations from Togo and Benin. Int. J. Trop. Insect Sci. 2016, 36, 204–210. [Google Scholar] [CrossRef] [Green Version]
  6. Gong, W.; Yan, H.H.; Gao, L.; Guo, Y.Y.; Xue, C.B. Chlorantraniliprole resistance in the diamondback moth (Lepidoptera: Plutellidae). J. Econ. Entomol. 2014, 107, 806–814. [Google Scholar] [CrossRef]
  7. Jiang, T.; Wu, S.; Yang, T.; Zhu, C.; Gao, C. Monitoring field populations of Plutella xylostella (Lepidoptera Plutellidae) for resistance to eight insecticides in China. Fla. Entomol. 2015, 98, 65–73. [Google Scholar] [CrossRef]
  8. Biradar, R.; Bheemanna, M.; Hosamani, A.; Naik, H.; Naik, N.; Kandpal, K. Emamectin benzoate resistance in diamondback moth in different locations of Karnataka. J. Entomol. Zool. Stud. 2020, 8, 712–714. [Google Scholar]
  9. Tamilselvan, R.; Kennedy, J.S.; Suganthi, A. Monitoring the resistance and baseline susceptibility of Plutella xylostella (L.) (Lepidoptera: Plutellidae) against spinetoram in Tamil Nadu, India. Crop Prot. 2021, 142, 105491. [Google Scholar] [CrossRef]
  10. Asahi, M.; Kobayashi, M.; Kagami, T.; Nakahira, K.; Furukawa, Y.; Ozoe, Y. Fluxametamide: A novel isoxazoline insecticide that acts via distinctive antagonism of insect ligand-gated chloride channels. Pestic. Biochem. Physiol. 2018, 151, 67–72. [Google Scholar] [CrossRef]
  11. Umetsu, N.; Shirai, Y. Development of the novel pesticides in the 21st century. J. Pestic. Sci. 2020, 45, 54–74. [Google Scholar] [CrossRef] [Green Version]
  12. Sparks, T.C.; Storer, N.; Porter, A.; Slater, R.; Nauen, R. Insecticide resistance management and industry: The origins and evolution of the Insecticide Resistance Action Committee (IRAC) and the mode of action classification scheme. Pest Manag. Sci. 2021, 77, 2609–2619. [Google Scholar] [CrossRef]
  13. Kagami, T.; Hori, M.; Haruyama, H. Studies on a novel insecticide, fluxametamide (Part 2) biological activity. Abstr. Annu. Meeting Pestic. Sci. Soc. Jpn. 2017, 35, 83. [Google Scholar]
  14. Mita, T.; Furukawa, Y.; Iwasa, M.; Kikuchi, T.; Komoda, M. Studies on a novel insecticide, fluxametamide. In Recent Highlights in the Discovery and Optimization of Crop Protection Products; Maienfisch, P., Mangelinckx, S., Eds.; Academic Press Publishers: Cambridge, MA, USA, 2021; pp. 157–163. [Google Scholar] [CrossRef]
  15. Jeschke, P. Status and outlook for acaricide and insecticide discovery. Pest Manag. Sci. 2021, 77, 64–76. [Google Scholar] [CrossRef]
  16. Kerns, D.L.; Stewart, S.D. Sublethal effects of insecticides on the intrinsic rate of increase of cotton aphid. Entomol. Exp. Appl. 2000, 94, 41–49. [Google Scholar] [CrossRef]
  17. Stark, J.D.; Banks, J.E. Population-level effects of pesticides and other toxicants on arthropods. Annu. Rev. Entomol. 2003, 48, 505–519. [Google Scholar] [CrossRef]
  18. Quan, L.; Zhang, H.; Sun, L.; Li, Y.; Yan, W.; Yue, Q.; Guisheng, Q. Research advances in sublethal effect of pesticide. J. Agric. 2016, 6, 33–38. [Google Scholar]
  19. Ichinose, K. Efficacy of fluxametamide for control of two sweetpotato weevil species, 2019. Arth. Manag. Tests 2021, 46, tsab064. [Google Scholar] [CrossRef]
  20. Yin, X.H.; Wu, Q.J.; Li, X.F.; Zhang, Y.J.; Xu, B.Y. Demographic changes in multigeneration Plutella xylostella (Lepidoptera: Plutellidae) after exposure to sublethal concentrations of spinosad. J. Econ. Entomol. 2009, 102, 357–365. [Google Scholar] [CrossRef]
  21. Han, W.; Zhang, S.; Shen, F.; Liu, M.; Ren, C.; Gao, X. Residual toxicity and sublethal effects of chlorantraniliprole on Plutella xylostella (Lepidoptera: Plutellidae). Pest Manag. Sci. 2012, 68, 1184–1190. [Google Scholar] [CrossRef]
  22. Zhang, Z.; Li, J.H.; Gao, X.W. Sublethal effects of metaflumizone on Plutella xylostella (Lepidoptera: Plutellidae). J. Integr. Agric. 2012, 11, 1145–1150. [Google Scholar] [CrossRef]
  23. Tamilselvan, R.; Kennedy, J.S.; Suganthi, A. Sublethal and transgenerational effects of spinetoram on the biological traits of Plutella xylostella (L.) (Lepidoptera: Plutellidae). Ecotoxicol. 2021, 30, 667–677. [Google Scholar] [CrossRef]
  24. Sun, X.; Wei, R.; Li, L.; Zhu, B.; Liang, P.; Gao, X. Resistance and fitness costs in diamondback moths after selection using broflanilide, a novel meta-diamide insecticide. Insect Sci. 2021, 29, 188–198. [Google Scholar] [CrossRef]
  25. Yang, Y.; Liu, Y.; Cao, F.; Chen, X.; Cheng, L.; Romeis, J.; Li, Y.; Peng, Y. Consumption of Bt rice pollen containing Cry1C or Cry2A protein poses a low to negligible risk to the silkworm Bombyx mori (Lepidoptera: Bombyxidae). PLoS ONE 2014, 9, e102302. [Google Scholar] [CrossRef]
  26. Donahoo, C.K.; O’Neill, K.M.; Delphia, C.M.; Peterson, R.K.D. Mortality dynamics and life tables of Megachile rotundata (Hymenoptera: Megachilidae), a pollinator managed for alfalfa seed production. Environ. Entomol. 2021, 50, 444–454. [Google Scholar] [CrossRef]
  27. Desneux, N.; Decourtye, A.; Delpuech, J.M. The sublethal effects of pesticides on beneficial arthropods. Annu. Rev. Entomol. 2007, 52, 81–106. [Google Scholar] [CrossRef]
  28. Gao, Y.; Kim, K.; Kwon, D.H.; Jeong, I.H.; Clark, J.M.; Lee, S.H. Transcriptome-based identification and characterization of genes commonly responding to five different insecticides in the diamondback moth, Plutella xylostella. Pestic. Biochem. Physiol. 2018, 144, 1–9. [Google Scholar] [CrossRef]
  29. Sun, J.; Liang, P.; Gao, X. Inheritance of resistance to a new non-steroidal ecdysone agonist, fufenozide, in the diamondback moth, Plutella xylostella (Lepidoptera: Plutellidae). Pest Manag. Sci. 2010, 66, 406–411. [Google Scholar] [CrossRef]
  30. Aitio, A. A simple and sensitive assay of 7-ethoxycoumarin deethylation. Anal. Biochem. 1978, 85, 488–491. [Google Scholar] [CrossRef]
  31. Habig, W.H.; Pabst, M.J.; Jakoby, W.B. Glutathione S-transferase AA from rat liver. Arch. Biochem. Biophys. 1976, 22, 51–59. [Google Scholar] [CrossRef]
  32. Asperen, K.V. A study of house fly esterases by means of a sensitive colorimetric method. J. Insect Physiol. 1962, 8, 401–416. [Google Scholar] [CrossRef]
  33. Zhu, K.Y.; He, F.Q. Elevated esterases exhibiting arylesterase-like characteristics in an organophosphate-resistant clone of the greenbug, Schizaphis graminum (Homoptera: Aphididae). Pestic. Biochem. Physiol. 2000, 67, 155–167. [Google Scholar] [CrossRef]
  34. Bradford, M.M. A rapid and sensitive method for the quantification of microgram quantities of protein utilizing the principle of protein dye binding. Anal. Biochem. 1976, 72, 248–254. [Google Scholar] [CrossRef]
  35. Abbott, S.W. A method of computing the effectiveness of an insecticide. J. Econ. Entomol. 1925, 18, 265–267. [Google Scholar] [CrossRef]
  36. Chi, H.; Liu, H.I.S. Two new methods for the study of insect population ecology. Bull. Inst. Zool. Acad. Sin. 1985, 24, 225–240. [Google Scholar]
  37. Chi, H. Life-table analysis incorporating both sexes and variable development rates among individuals. Environ. Entomol. 1988, 17, 26–34. [Google Scholar] [CrossRef]
  38. Chi, H. TWOSEX-MSChart: A Computer Program for The Age Stage, Two-Sex Life Table Analysis. 2018. Available online: http://140.120.197.173/Ecology/Download/Twosex-MSChart-exe-B200000.rar (accessed on 12 March 2022).
  39. Huang, H.W.; Chi, H.; Smith, C.L. Linking demography and consumption of Henosepilachna vigintioctopunctata (Coleoptera: Coccinellidae) fed on Solanum photeinocarpum (Solanales: Solanaceae): With a new method to project the uncertainty of population growth and consumption. J. Econ. Entomol. 2017, 111, 1–9. [Google Scholar] [CrossRef]
  40. Li, R.; Pan, X.; Wang, Q.; Tao, Y.; Chen, Z.; Jiang, D.; Wu, C.; Dong, F.; Xu, J.; Liu, X.; et al. Development of S-Fluxametamide for bioactivity improvement and risk reduction: Systemic evaluation of the novel insecticide fluxametamide at the enantiomeric level. Environ. Sci. Technol. 2019, 53, 13657–13665. [Google Scholar] [CrossRef]
  41. Ismail, F.; Norazam, M.M.T.; Rasdi, M.Z. Toxicity of selected insecticides (Spinosad, Indoxacarb and Abamectin) against the diamondback moth (Plutella xylostella L.) on cabbage. Asian J. Agric. Rural Dev. 2012, 2, 17–26. [Google Scholar]
  42. Mahmoudvand, M.; Moharramipour, S. Sublethal effects of fenoxycarb on the Plutella xylostella (Lepidoptera: Plutellidae). J. Insect. Sci. 2015, 15, 82. [Google Scholar] [CrossRef] [Green Version]
  43. Yusoff, N.; Ghani, I.A.; Othman, N.W.; Aizat, W.M.; Hassan, M. Toxicity and sublethal effect of farnesyl acetate on diamondback moth, Plutella xylostella (L.) (Lepidoptera: Plutellidae). Insects 2021, 12, 109. [Google Scholar] [CrossRef]
  44. Hannig, G.T.; Ziegler, M.; Marcon, P.G. Feeding cessation effects of chlorantraniliprole, a new anthranilic diamide insecticide, in comparison with several insecticides in distinct chemical classes and mode-of-action groups. Pest Manag. Sci. 2009, 65, 969–974. [Google Scholar] [CrossRef]
  45. Liu, D.; Jia, Z.Q.; Peng, Y.C.; Sheng, C.W.; Tang, T.; Xu, L.; Han, Z.J.; Zhao, C.Q. Toxicity and sublethal effects of fluralaner on Spodoptera litura Fabricius (Lepidoptera: Noctuidae). Pestic. Biochem. Physiol. 2018, 152, 8–16. [Google Scholar] [CrossRef]
  46. Weseloh, R. Effects of the feeding inhibitor plictran and low Bacillus thuringiensis Berliner doses on Lymantria dispar (L.) (Lepidoptera: Lymantriidae): Implications for Cotesia melanoscelus (Ratzeburg) (Hymenoptera: Braconidae). Environ. Entomol. 1984, 13, 1371–1376. [Google Scholar] [CrossRef]
  47. Erb, S.L.; Bourchier, R.S.; van Frankenhuyzen, K.; Smith, S.M. Sublethal effects of Bacillus thuringiensis Berliner subsp. kurstaki on Lymantria dispar (Lepidoptera: Lymantriidae) and the tachinid parasitoid Compsilura concinnata (Diptera: Tachinidae). Environ. Entomol. 2001, 30, 1174–1181. [Google Scholar] [CrossRef] [Green Version]
  48. Dong, J.; Wang, K.; Li, Y.; Wang, S. Lethal and sublethal effects of cyantraniliprole on Helicoverpa assulta (Lepidoptera: Noctuidae). Pestic. Biochem. Physiol. 2017, 136, 58–63. [Google Scholar] [CrossRef]
  49. Han, W.S.; Zhang, S.F.; Shen, F.Y.; Zhang, H.J.; Gao, X.W. Sublethal Effects of Beta-Cypermethrin on Abamectin-Resistant and Susceptible Population of Diamondback Moth Plutella xylostella (Lepidoptera: Plutellidae). 2011. Available online: http://en.cnki.com.cn/Article_en/CJFDTotal-KCTD201103010.htm (accessed on 8 March 2022).
  50. Da Silva, W.R.; Pereira, R.C.; Mendonca, L.V.P.; Pecanha, L.S.; de Sales Abreu, L.M.; Abib, P.H.N.; Samuels, R.I.; Picanco, M.C.; Silva, G.A. Lethal and sublethal effects of insecticides used in the management of Plutella xylostella (Lepidoptera: Plutellidae) on the predator Cycloneda sanguinea L. (Coleoptera: Coccinellidae). Pest Manag. Sci. 2022. accepted. [Google Scholar] [CrossRef]
  51. Margus, A.; Piiroinen, S.; Lehmann, P.; Tikka, S.; Karvanen, J.; Lindstrom, L. Sublethal pyrethroid insecticide exposure carries positive fitness effects over generations in a pest insect. Sci. Rep. 2019, 9, 11320. [Google Scholar] [CrossRef] [Green Version]
  52. Wang, Y.L.; Si, S.Y.; Wang, Z.X.; Wang, Y.; Zhou, L.L. Influence of tebufenozide on progeny population of Spodoptera exigua. Acta Phytophylacica Sin. 2006, 33, 193–196. [Google Scholar]
  53. Shen, N.; Liu, H.Y.; Mou, T.Y.; Ma, Y.B.; Li, Y.; Song, Z.J.; Tang, T.; Han, Z.J.; Zhao, C.Q. Novel meta-diamide insecticide, broflanilide, suppresses the population of common cutworm Spodoptera litura through its lethal and sublethal effects. Pest Manag. Sci. 2022, 78, 1081–1089. [Google Scholar] [CrossRef]
  54. Yin, F.; Feng, X.; Hu, Z.T.; Li, Z.Y.; Lin, Q.S.; Zhang, D.Y. Sublethal effect of chlorantraniliprole on the growth and development of Plutella xylastella (L.). Guangdong Agric. Sci. 2012, 39, 78–80. [Google Scholar]
  55. Su, C.; Xia, X. Sublethal effects of methylthio-diafenthiuron on the life table parameters and enzymatic properties of the diamondback moth, Plutella xylostella (L.) (Lepidoptera: Plutellidae). Pestic. Biochem. Physiol. 2020, 162, 43–51. [Google Scholar] [CrossRef]
  56. Biddinger, D.J.; Hull, L.A. Sublethal effects of selected insecticides on growth and reproduction of a laboratory susceptible strain of Tufted Apple Bud Moth (Lepidoptera: Tortricidae). J. Econ. Entomol. 1999, 92, 314–324. [Google Scholar] [CrossRef]
  57. Shahout, H.A.; Xu, J.X.; Yao, X.M.; Jia, Q.D. Influence and mechanism of different host plants on the growth, development, and fecundity of reproductive system of common cut worm Spodoptera litura (Fabricius) (Lepidoptera: Noctuidae). Asian J. Agric. Sci. 2011, 3, 291–300. [Google Scholar]
  58. Hu, X.X. Construction of a Drosophila melanogaster Near-Isogenic Line from Alcohol Dehydrogenase Mutant ADHN1 and Canton-S and Their Toxicity Responses to Three Insecticides. Master’s Thesis, Nanjing Agricultural University, Nanjing, China, 2014. [Google Scholar]
  59. Shen, N.; Li, Y.; Leviticus, K.; Chang, X.L.; Tang, T.; Cui, L.; Han, Z.J.; Zhao, C.Q. Effect of broflanilide on the phytophagous mite Tetranychus urticae and the predatory mite Typhlodromips swirskii. Pest Manag. Sci. 2021, 77, 2964–2970. [Google Scholar] [CrossRef]
  60. Yin, X.H.; Wu, Q.J.; Li, X.F.; Zhang, Y.J.; Xu, B.Y. Sublethal effects of spinosad on Plutella xylostella (Lepidoptera: Yponomeutidae). Crop Prot. 2008, 27, 1385–1391. [Google Scholar] [CrossRef]
  61. Hamedi, N.; Fathipour, Y.; Saber, M. Sublethal effects of fenpyroximate on life table parameters of the predatory mite Phytoseius plumifer. BioControl 2010, 55, 271–278. [Google Scholar] [CrossRef]
  62. Yu, N.; Tian, J.; Zhang, Y.; Li, Z.; Liu, Z. Imidacloprid-susceptible Nilaparvata lugens individuals exceeded resistant individuals in a mixture population with density pressure. Pest Manag. Sci. 2018, 74, 234–239. [Google Scholar] [CrossRef]
  63. Wang, R.; Qu, C.; Wang, Z.; Yang, G.F. Cross-resistance, biochemical mechanism and fitness costs of laboratory-selected resistance to pyridalyl in diamondback moth, Plutella xylostella. Pestic. Biochem. Physiol. 2020, 163, 8–13. [Google Scholar] [CrossRef]
  64. Mahmoudvand, M.; Abbasipour, H.; Garjan, A.S.; Bandani, A.R. Change in life expectancy and stable age distribution of the diamondback moth, Plutella xylostella (L.) after indoxacarb treatment. J. Plant Prot. Res. 2012, 52, 342–346. [Google Scholar] [CrossRef]
  65. Mahmoudvand, M.; Moharramipour, S.; Iranshahi, M. Effects of pyriproxyfen on life table indices of Plutella xylostella in multigenerations. Psyche 2015, 15, 453701. [Google Scholar]
  66. Taha, H.S.E. Teflubenzuron toxicity impact and resistance consequences on Plutella xylostella L. (Lepidoptera: Plutellidae) fitness. Asian J. Res. Rev. Agric. 2022, 4, 42–49. [Google Scholar]
  67. Li, W.Q.; Lu, Z.B.; Li, L.L.; Yu, Y.; Dong, S.; Men, X.Y.; Ye, B.H. Sublethal effects of imidacloprid on the performance of the bird cherry-oat aphid Rhopalosiphum padi. PLoS ONE 2018, 13, e0204097. [Google Scholar] [CrossRef]
  68. Sani, M.F.H.; Naseri, B.; Rafiee-Dastjerdi, H.; Aghajanzadeh, S.; Ghadamyari, M. Effects of three conventional insecticides on life table parameters and detoxifying enzymes activity of Pulvinaria aurantii Cockerell (Hemiptera: Coccidae). Toxin. Rev. 2021, 40, 1318–1326. [Google Scholar] [CrossRef]
  69. Lu, Y.H.; Zheng, X.S.; Gao, X.W. Sublethal effects of imidacloprid on the fecundity, longevity, and enzyme activity of Sitobion avenae (Fabricius) and Rhopalosiphum padi (Linnaeus). Bull. Entomol. Res. 2016, 106, 551–559. [Google Scholar] [CrossRef]
  70. Zhou, X.; Zhang, Z.; Zheng, H.; Zhang, Q.; Gong, J.; Li, C.; Wang, R. Physiological and biochemical responses to sublethal concentrations of the novel pyropene insecticide, afidopyropen, in whitefly Bemisia tabaci MED (Q Biotype). Agronomy 2021, 11, 2260. [Google Scholar] [CrossRef]
  71. Hernandez, E.P.; Kusakisako, K.; Talactac, M.R.; Galay, R.L.; Hatta, T.; Fujisaki, K.; Tsuji, N.; Tanaka, T. Glutathione S-transferases play a role in the detoxification of flumethrin and chlorpyrifos in Haemaphysalis longicornis. Parasit. Vectors 2018, 11, 460. [Google Scholar] [CrossRef]
  72. Zhang, N.; Liu, J.; Chen, S.N.; Huang, L.H.; Feng, Q.L.; Zheng, S.C. Expression profiles of glutathione S-transferase superfamily in Spodoptera litura tolerated to sublethal doses of chlorpyrifos. Insect Sci. 2016, 23, 675–687. [Google Scholar] [CrossRef]
  73. Chi, H.; Su, H.Y. Age-stage, two-sex life tables of Aphidius gifuensis (Ashmead) (Hymenoptera: Braconidae) and its host Myzus persicae (Sulzer) (Homoptera: Aphididae) with mathematical proof of the relationship between female fecundity and the net reproductive rate. Environ. Entomol. 2006, 35, 10–21. [Google Scholar] [CrossRef]
Figure 1. Age-stage specific survival rates (sxj) of P. xylostella in F1 generation when F0 had been treated with LC10 and LC30 concentrations of fluxametamide.
Figure 1. Age-stage specific survival rates (sxj) of P. xylostella in F1 generation when F0 had been treated with LC10 and LC30 concentrations of fluxametamide.
Agronomy 12 01656 g001
Figure 2. Age-specific survival rate (lx), fecundity (mx) and maternity (lxmx) of P. xylostella in F1 generation when F0 had been exposed to LC10 and LC30 concentrations of fluxametamide.
Figure 2. Age-specific survival rate (lx), fecundity (mx) and maternity (lxmx) of P. xylostella in F1 generation when F0 had been exposed to LC10 and LC30 concentrations of fluxametamide.
Agronomy 12 01656 g002
Figure 3. Age-stage specific life expectancy (exj) of P. xylostella in F1 generation when F0 had been treated with LC10 and LC30 concentrations of fluxametamide.
Figure 3. Age-stage specific life expectancy (exj) of P. xylostella in F1 generation when F0 had been treated with LC10 and LC30 concentrations of fluxametamide.
Agronomy 12 01656 g003
Table 1. Lethal toxicity of fluxametamide to third-instar larvae of P. xylostella.
Table 1. Lethal toxicity of fluxametamide to third-instar larvae of P. xylostella.
InsecticidenLC10 (95% CL) (mg L−1)LC30 (95% CL) (mg L−1)LC50 (95% CL) (mg L−1)Slope ± SEp-Value
Fluxametamide7200.06 (0.03–0.08)0.11 (0.09–0.14)0.18 (0.15–0.23)2.34 ± 0.410.82
n: Total number of larvae used. CL: Confidence limits.
Table 2. Sublethal effects of fluxametamide on larval and pupal parameters of P. xylostella F0 generation treated at 3rd larval instar.
Table 2. Sublethal effects of fluxametamide on larval and pupal parameters of P. xylostella F0 generation treated at 3rd larval instar.
TreatmentsParameters
4th LD (Day)PD (Day)PR (%)PW (mg)DPR (%)
Control1.72 ± 0.06 c3.62 ± 0.02 c92.16 ± 0.73 a5.21 ± 0.05 a0.85 ± 0.02 c
LC102.16 ± 0.07 b3.69 ± 0.02 b71.47 ± 0.43 b4.53 ± 0.02 b2.14 ± 0.03 b
LC302.43 ± 0.04 a3.84 ± 0.02 a59.32 ± 0.99 c4.01 ± 0.04 c2.59 ± 0.03 a
Values are means ± SE. LD: Larval duration; PD: Pupal duration; PR: Pupation rate; PW: Pupal weight; DPR: Deformed pupa rate. The means indicated by different letters in a column are significantly different at p < 0.05 by Tukey’ HSD test.
Table 3. Sublethal effects of fluxametamide on adult parameters of P. xylostella F0 generation treated at 3rd larval instar.
Table 3. Sublethal effects of fluxametamide on adult parameters of P. xylostella F0 generation treated at 3rd larval instar.
TreatmentsParameters
AE (%)DA (%)AML (Day)AFL (Day)FR (%)APOP (Day)
Control93.84 ± 1.15 a3.57 ± 0.02 c14.29 ± 0.12 a13.15 ± 0.10 a54.26 ± 2.79 a1.22 ± 0.03 c
LC1086.20 ± 1.55 b6.19 ± 0.09 b13.38 ± 0.12 a13.27 ± 0.08 a51.43 ± 2.22 a1.47 ± 0.03 b
LC3077.13 ± 1.52 c8.62 ± 0.06 a13.33 ± 0.11 a10.94 ± 0.08 b49.17 ± 1.72 a1.54 ± 0.03 a
Values are means ± SE. AE: Adult emergence; DA: Deformed adults; AML: Adult male longevity; AFL: Adult female longevity; FR: Female ratio; APOP: Adult pre-oviposition period (time between adult emergence and first oviposition). The means indicated by different letters in a column are significantly different at p < 0.05 by Tukey’ HSD test.
Table 4. Sublethal effects of fluxametamide-treated F0 generation of P. xylostella on egg and larval parameters of F1 generation.
Table 4. Sublethal effects of fluxametamide-treated F0 generation of P. xylostella on egg and larval parameters of F1 generation.
TreatmentsParameters
ED (Day)1st LD (Day)2nd LD (Day)3rd LD (Day)4th LD (Day)TLD (Day)
Control2.28 ± 0.03 c3.01 ± 0.03 a1.89 ± 0.03 b1.42 ± 0.02 b1.76 ± 0.02 c8.07 ± 0.05 c
LC102.92 ± 0.03 b2.98 ± 0.05 a1.94 ± 0.03 b1.53 ± 0.03 a2.29 ± 0.04 b8.71 ± 0.03 b
LC303.43 ± 0.03 a2.92 ± 0.05 a2.11 ± 0.04 a1.45 ± 0.03 ab2.38 ± 0.02 a8.86 ± 0.04 a
Values are means ± SE. ED: Egg duration; LD: Larval duration; TLD: Total larval duration. The means indicated by different letters in a column are significantly different at p < 0.05 by Tukey’ HSD test.
Table 5. Sublethal effects of fluxametamide-treated F0 generation of P. xylostella on pupal parameters of F1 generation.
Table 5. Sublethal effects of fluxametamide-treated F0 generation of P. xylostella on pupal parameters of F1 generation.
TreatmentsParameters
PD (Day)PR (%)PW (mg)DPR (%)
Control3.31 ± 0.04 a85.13 ± 2.58 a5.64 ± 0.05 a0.00 ± 0.00 b
LC103.34 ± 0.04 a79.56 ± 2.36 a5.12 ± 0.05 b0.63 ± 0.19 a
LC303.46 ± 0.04 a53.07 ± 2.87 b4.41 ± 0.03 c0.39 ± 0.10 a
Values are means ± SE. PD: Pupal duration; PR: Pupation rate; PW: Pupal weight; DPR: Deformed pupa rate. The means indicated by different letters in a column are significantly different at p < 0.05 by Tukey’ HSD test.
Table 6. Sublethal effects of fluxametamide-treated F0 generation of P. xylostella on adult parameters of F1 generation.
Table 6. Sublethal effects of fluxametamide-treated F0 generation of P. xylostella on adult parameters of F1 generation.
TreatmentsParameters
AE (%)DA (%)AML (Day)AFL (Day)APOP (Day)F (Egg Female−1)
Control79.24 ± 3.62 a3.10 ± 0.04 c11.49 ± 0.07 a10.35 ± 0.05 a1.15 ± 0.03 a154.19 ± 2.54 a
LC1063.44 ± 3.04 b7.92 ± 0.34 b10.67 ± 0.08 b8.72 ± 0.05 c0.96 ± 0.02 a139.56 ± 2.71 b
LC3056.82 ± 2.18 b9.54 ± 0.61 a9.31 ± 0.05 c9.08 ± 0.06 b1.08 ± 0.03 a112.37 ± 2.38 c
Values are means ± SE. AE: Adult emergence; DA: Deformed adults; AML: Adult male longevity; AFL: Adult female longevity; APOP: Adult pre-oviposition period (time between adult emergence and first oviposition); F: Fecundity. The means indicated by different letters in a column are significantly different at p < 0.05 by Tukey’ HSD test.
Table 7. Sublethal effects of fluxametamide-treated F0 generation of P. xylostella on total biological parameters of F1 generation.
Table 7. Sublethal effects of fluxametamide-treated F0 generation of P. xylostella on total biological parameters of F1 generation.
TreatmentsParameters
TML (Day)TFL (Day)FR (%)TPOP (Day)
Control25.42 ± 0.13 b23.90 ± 0.08 c52.70 ± 2.89 a14.37 ± 0.10 a
LC1026.15 ± 0.11 a24.37 ± 0.12 b55.61 ± 2.21 a16.82 ± 0.07 b
LC3025.87 ± 0.09 a24.98 ± 0.08 a47.39 ± 1.80 a17.15 ± 0.12 b
Values are means ± SE. TML: Total male longevity; TFL: Total female longevity; FR: Female ratio; TPOP: Total pre-oviposition period (time from birth to first reproduction in female). The means indicated by different letters in a column are significantly different at p < 0.05 by Tukey’ HSD test.
Table 8. Transgenerational effects of fluxametamide on life table parameters of F1 generation of P. xylostella.
Table 8. Transgenerational effects of fluxametamide on life table parameters of F1 generation of P. xylostella.
TreatmentsDemographic Traits
r (Day−1)λ (Day−1)R0 (Offspring/Individual)T (Day)Rf
Control0.213 ± 0.01 a1.245 ± 0.01 a76.429 ± 5.34 a20.316 ± 0.19 b-
LC100.189 ± 0.01 b1.238 ± 0.003 a51.681 ± 4.82 b21.074 ± 0.17 a0.68
LC300.191 ± 0.01 b1.231 ± 0.01 ab49.133 ± 4.94 b20.673 ± 0.21 a0.64
Values are means ± SE. Different letters in a column indicate significant differences (p < 0.05) by a paired bootstrap test using TWOSEX-MS chart program.
Table 9. Activities of three detoxification enzymes in LC10 and LC30-fluxametamide treated P. xylostella.
Table 9. Activities of three detoxification enzymes in LC10 and LC30-fluxametamide treated P. xylostella.
TreatmentsP450 Activity (pmol min−1 mg−1 Protein)Ratio Glutathione S-Transferase Activity (μmol min−1 mg−1 Protein)RatioEsterase Activity (μmol min−1 mg−1 Protein)Ratio
Control0.597 ± 0.042 a-1.169 ± 0.078 b-0.171 ± 0.018 a-
LC100.604 ± 0.039 a1.0121.233 ± 0.104 b1.0550.168 ± 0.021 a0.983
LC300.632 ± 0.041 a1.0591.675 ± 0.092 a1.4330.176 ± 0.019 a1.029
Values are means ± SE. Significant differences (p < 0.05) in the mean activity values in the same column are designated with different alphabets. Ratio = Value of the LC10 or LC30 activity/Control activity.
Publisher’s Note: MDPI stays neutral with regard to jurisdictional claims in published maps and institutional affiliations.

Share and Cite

MDPI and ACS Style

Gope, A.; Chakraborty, G.; Ghosh, S.M.; Sau, S.; Mondal, K.; Biswas, A.; Sarkar, S.; Sarkar, P.K.; Roy, D. Toxicity and Sublethal Effects of Fluxametamide on the Key Biological Parameters and Life History Traits of Diamondback Moth Plutella xylostella (L.). Agronomy 2022, 12, 1656. https://doi.org/10.3390/agronomy12071656

AMA Style

Gope A, Chakraborty G, Ghosh SM, Sau S, Mondal K, Biswas A, Sarkar S, Sarkar PK, Roy D. Toxicity and Sublethal Effects of Fluxametamide on the Key Biological Parameters and Life History Traits of Diamondback Moth Plutella xylostella (L.). Agronomy. 2022; 12(7):1656. https://doi.org/10.3390/agronomy12071656

Chicago/Turabian Style

Gope, Amit, Gautam Chakraborty, Shanowly Mondal Ghosh, Sayan Sau, Krishnendu Mondal, Abhisek Biswas, Sukamal Sarkar, Pijush Kanti Sarkar, and Debashis Roy. 2022. "Toxicity and Sublethal Effects of Fluxametamide on the Key Biological Parameters and Life History Traits of Diamondback Moth Plutella xylostella (L.)" Agronomy 12, no. 7: 1656. https://doi.org/10.3390/agronomy12071656

APA Style

Gope, A., Chakraborty, G., Ghosh, S. M., Sau, S., Mondal, K., Biswas, A., Sarkar, S., Sarkar, P. K., & Roy, D. (2022). Toxicity and Sublethal Effects of Fluxametamide on the Key Biological Parameters and Life History Traits of Diamondback Moth Plutella xylostella (L.). Agronomy, 12(7), 1656. https://doi.org/10.3390/agronomy12071656

Note that from the first issue of 2016, this journal uses article numbers instead of page numbers. See further details here.

Article Metrics

Back to TopTop