Next Article in Journal
Soil Waterlogging Conditions Affect Growth, Water Status, and Chlorophyll “a” Fluorescence in Coffee Plants (Coffea arabica L.)
Next Article in Special Issue
Agronomic Practices Alter Regulated Effects of Easily Extractable Glomalin-Related Soil Protein on Fruit Quality and Soil Properties of Satsuma Mandarin
Previous Article in Journal
Delineating the Crop-Land Dynamic due to Extreme Environment Using Landsat Datasets: A Case Study
 
 
Font Type:
Arial Georgia Verdana
Font Size:
Aa Aa Aa
Line Spacing:
Column Width:
Background:
Article

DRIS Norms and Sufficiency Ranges for Persimmon ‘Rojo Brillante’ Grown under Mediterranean Conditions in Spain

by
Julia Morales
,
Isabel Rodríguez-Carretero
,
Belen Martínez-Alcántara
,
Rodolfo Canet
and
Ana Quiñones
*
Centro Para El Desarrollo de la Agricultura Sostenible, Instituto Valenciano de Investigaciones Agrarias, 46113 Valencia, Spain
*
Author to whom correspondence should be addressed.
Agronomy 2022, 12(6), 1269; https://doi.org/10.3390/agronomy12061269
Submission received: 22 April 2022 / Revised: 19 May 2022 / Accepted: 23 May 2022 / Published: 25 May 2022
(This article belongs to the Special Issue Reframing Futuristic Crop Production System)

Abstract

The aim of this study was to establish DRIS (Diagnosis and Recommendation Integrated System) norms and Nutritional Optimal Ranges (NOR) for ‘Rojo Brillante’ Protected Designation of Origin (PDO) ‘Ribera del Xúquer’. The database contained 800 leaf samples collected in different crop phenological stages [after flowering (AF), fruit enlargement (FE), fruit colouring (FC), and harvesting HV)]. DRIS norms (78) were established for macronutrients: N, P, K, Ca, Mg and S; micronutrients B, Cu, Fe, Mn, and Zn and salinity elements: Na and Cl. The Nutrient Balance Index (NBI; the absolute value of the sum of the DRIS indices) was used to determine the optimal sampling period. Fruit enlargement was the period during which persimmon trees were more nutritionally balanced regardless of sprout origin (vegetative or floral) and irrigation type (drip or flood) in orchards

1. Introduction

Persimmon fruit (Diospyros kaki Thunb.) is one of the most important crops in the Mediterranean Region of Spain, which is the second biggest persimmon fruit producer in the world [1]. Among cultivars, ‘Rojo Brillante’ is the commonest variety, with the production of approximately 429,000 tons, in the Valencian Community and around 65,000 tons in Andalusia [2]. This fruit is grown in the Valencian Community along the Xúquer and Magro Rivers and has a Protected Designation of Origin (PDO) according to Regulation (EU) No. 1151/2012 [3], certified by the Regulatory Council of PDO ‘Kaki Ribera del Xúquer’ and accredited by the Spanish National Accreditation Body (ENAC). The ‘Rojo Brillante’ variety requires astringency elimination to be consumed. Traditionally, persimmon has been locally consumed because, in order to consume it, the fruit was harvested when it was overripe and had a soft gelatinous consistency. However, in 1997, postharvest technology began to be used to eliminate astringency, which is based on high CO2 concentrations [4]. This enables them to be commercialised when they are very firm, and fruit can arrive at more distant markets.
As in other crops, one of the main objectives of persimmon production is to optimise yield with high fruit quality. The soil nutrient imbalance reduces the uptake of some nutrients, which makes the plants more sensitive to stress conditions [5,6]. The nutrient uptake of ‘Rojo Brillante’ persimmon fruit, PDO ‘Kaki Ribera del Xúquer’, has been estimated at 0.85 kg of nitrogen (N), 0.39 kg of P2O5 and 1.42 kg of K2O per ton of production [7]. Despite ‘Rojo Brillante’ being well-adapted to the climate conditions of the Mediterranean Region, the soil’s ability to supply the necessary nutrients is insufficient to achieve adequate production and growth. Moreover, improving efficient irrigation and fertilisation management is considered crucial to enhance the conditions of this salinity-sensitive crop [8,9]. Therefore, fertilisation and irrigation must be sustainable practices that focus on minimising the environmental impact of agricultural production and land use and subsequent economic turnover. Traditionally persimmon crops have been irrigated by flooding, but today drip irrigation is increasingly applied because it is recommended for improving water use efficiency and reducing the incidence of diseases [10].
Of all the tools available to optimise fertilisation, leaf nutritional analyses are essential. These analyses can be interpreted by different methods to determine optimal ranges of nutrients. Of them, the Diagnosis and Recommendation Integrated System (DRIS) provides a mathematical means to order a large number of nutrient ratios and/or products on easily interpretable nutrient indices [11]. Each relation between a pair of nutrients is determined as a DRIS norm. Once DRIS norms are determined, the DRIS index can be established for each nutrient using all the obtained DRIS norms that are related to the nutrient used to calculate the index.
The advantage of the DRIS method is that instead of determining the optimal value of each isolated nutrient, nutrient indices determine the balance of a specific nutrient based on the other considered nutrients. Due to that, the chances of making successful recommendations to apply the optimal doses of fertilisers increases. Nutrient indices indicate whether nutrients are balanced (zero or close to zero), in excess (positive indices) or deficient (negative indices). In persimmon crops, as in other crops, nutrient imbalances such as high potassium (K) and manganese (Mn) can limit calcium (Ca) uptake, which is needed especially in fruit growth stages I and II [12]. By setting DRIS indices to equal zero and taking into account the standard deviation (SD), the Nutrient Optimal Range (NOR) can be determined to establish reference tables of nutritional leaf profiles [13]. Thus, DRIS is a comprehensive system that identifies all the nutritional factors that limit crop production and, hence, increases the chances of obtaining high crop yields by improving fertiliser recommendations [14]. This method has been used with a wide range of crops (i.e., almond, mandarin, cotton or soya bean) from the time it was established to the present-day [15,16,17,18]. In persimmon crops, Klein et al. [19] in Israel and in a single phenological stage have employed the DRIS method. Their study determined the usefulness of this method for distinguishing the mineral profile of vigorous fruiting shoots from regular fruiting shoots based on the area and weight of leaves. Nevertheless, to improve the precision of this diagnosis, it is necessary to establish norms from regional and local studies that take into account the variability of the nutrients and crops studied (climatic characteristics, production level, etc.) [17]. The DRIS method has not been used for persimmon cv. ‘Rojo Brillante’ in the Mediterranean area previously.
Nutritional requirements vary according to plants’ age and phenological stage. Thus, it is important to specify the optimal foliar sampling period for each species. Standards for the leaf analysis of fruit trees are usually developed during the minimal nutrient fluctuation period within the growing season, which usually occurs after shoot growth finishes [20]. In this sense, the DRIS method can be useful for determining it because the Nutrient Balance Index (NBI) is a tool derived from this method. The NBI is the absolute value of the sum of DRIS indices. The closer the NBI is to zero, the better plants’ nutritional status is. Hence the NBI can help to know which phenological stage is more balanced.
In persimmon crops, different optimal periods have been recommended for leaf sampling. George et al. [21] advise carrying out two samplings; the first after fruit set when the least variation in leaf nutrient concentrations appears; the second 1 month before harvesting when critical leaf values are known and provide 90 % maximum fruit growth in the field experiments. Subsequently, Pomares et al. [7] indicate that sampling must be carried out during fruit enlargement (July in the Valencian Community) provided the period of stable leaf nutritional contents.
Both these recommendations have been made based on reference values when studying each nutrient individually. In studies based on the DRIS method in fruit trees, where the phenological plant stage is taken into account, different norms are determined for each nutrient ratio per specific period [22,23,24,25]. Nevertheless, an advantage of the DRIS method is that the database comprises the whole growing season.
The establishment of both norms and DRIS indices for persimmon cv. ‘Rojo Brillante’, in order to be able to improve fertiliser rates, is relevant in the current framework in which regulations concerning agricultural practices are increasingly oriented towards the sustainability of agricultural resources. In the case of the European Commission, it will act to reduce nutrient losses by at least 50% while ensuring that soil fertility is not impaired. The objective of the European Commission is to reduce the use of fertilisers by at least 20% by 2030 [26].
Therefore, the main objectives of the present work are, in order to optimise the fertilisation in this crop, to establish the DRIS norms and DRIS indices to interpret the leaf nutritional status of cv. ‘Rojo Brillante’ persimmon to select the NOR of macro- and micronutrients in leaves and determine the adequate leaf sampling time regarding NBIs.

2. Materials and Methods

2.1. Site Description and Experimental Design

Experiments were carried out over two growing seasons (2017/2018 to 2018/2019) in 58 ‘Rojo Brillante’ persimmon commercial orchards in the Valencia Region (East Spain) grafted onto Diospyros lotus. This region has a Mediterranean climate with 400–500 mm of mean annual rainfall and average annual temperatures of 15–17 °C. According to the World Reference Base for Soil Resources (WRB) classification system, the main soils used in this area for agriculture are Fluvisols and Antrosols [27].
Trees received an annual supply of fertilisers, which provided 250–220/100–75/135/25 UF (kg·ha−1) N/P2O5/K2O/MgO for flood and drip irrigation, respectively, according to the cultural practices applied in this agricultural area. To obtain representative samples of the growing conditions in this area, the orchards that were irrigated by flood and drip irrigation systems were selected.

2.2. Leaf Sampling

Leaves were collected from both vegetative and reproductive shoots to know if behaviour differed between both flushes. Upon sampling, 60 leaves were randomly sampled around the canopy (N-S-E-W) in each orchard. Although there is a general consensus that the leaf is the ideal tissue to be sampled to diagnose plant nutrient status, this opinion is divided as to whether the petiole, lamina or whole leaf should be used. In these studies, the whole leaf was employed because persimmon is a temperate tree crop [28]. In order to study the effect of phenological stage, sampling was carried out on the following BBCH scale [29]:
  • After flowering (AF): Growth stage 65–67. From full flowering (50% of flowers are open) to flower fading (most petals fall or dry up);
  • Fruit enlargement (FE): Growth stage 74–77. Fruit is about 40–70% of its final size;
  • Fruit colouring (FC): Growth stage 81. Initiation of skin colour change;
  • Harvest period (HV): Growth stage 85–87. From advanced ripening to developed fruit colour fruit and fruit is ripe for consumption (only not astringency cultivars).

2.3. Leaf Sample Preparation and Analysis Methodology

All the leaf samples were carefully washed with deionised water, dried in a forced-air oven at 70 °C for 48 h and ground to 1 mm in a water-refrigerated mill (IKA M 20, IKA Labortechnik, Staufen, Germany). Then the analysis was carried out to determine salinity [chloride (Cl) and sodium (Na), macronutrients (N, phosphorus (P), K, Ca, magnesium (Mg) and sulphur S)] and micronutrients [boron (B), copper (Cu), iron (Fe), Mn and zinc (Zn)]. N was determined according to the Kjeldahl method using an Elemental Analyser (NC2500 Thermo Finnigan, Bremen, Germany). Total Cl ion content was established by argentometry in a chloridometer (Corning Ltd., Halstead Essex, UK) in acetic acid 2% extracts obtained by shaking the dried leaf material for 24 h [30]. The determination of the remaining elements was made in the leaf extracts obtained by an open-vessel procedure [31]. This involved the overnight predigestion of 0.5 g of dried plant material with 10 mL of concentrated HNO3, followed by digestion at 120 °C, then cooling before adding 2 mL of ultratrace metal grade (70% HClO4), and final digestion at 220 °C until white fumes appear. The thus obtained digest was diluted with 25 mL of ultrapure water before determining the elements by simultaneous inductively coupled plasma atomic emission spectrometry (ICAP-AES 6000, Thermo Scientific, Cambridge, UK). The macronutrient concentration results were expressed as g nutrient·100 g dry weight−1 (%) and the micronutrient concentration as mg nutrient·1000 g dry weight−1 (ppm).

2.4. DRIS Norms

For establishing DRIS norms, data were divided into two subpopulations based on commercial yields: high-yielding (reference) and low-yielding (non-reference) populations. The high-yielding population comprised the orchards with a persimmon yield over the mean + 0.5·SD. DRIS norms were obtained according to the procedure by Walworth and Sumner [11]. In order to determine DRIS norms for each pair of nutrients, three forms of expression can be considered: X/Y, Y/X, or X·Y. The dual nutrient ratio order that exhibited the widest variance (σ2) of the low-yielding group to that of the high-yielding population was selected as norm because a low-yielding population is expected to have wider variance for being more imbalanced. The mean value of each ratio in the high-yielding population was used as DRIS norms.

2.5. DRIS Indices

DRIS indices were calculated once norms were determined. According to Jones [32], to simplify the logic and calculation of DRIS in agreement with Beaufils [33], the intermediate DRIS function values of each sample from the average values of the same ratios in the reference population are determined as follows:
f ( Y X ) = [ ( Y X ) ( y x ) ] × ( c S D )
where:
f ( Y X ) is the calculated function for nutrient ratios X and Y;
( Y X ) is the nutrient relation of the sample;
( y x ) is the nutrient relation of the standard norm obtained with the reference population;
c is a constant equivalent to 1, and SD is the standard deviation of the standard norm.
The obtained functions are then used to generate DRIS indices by the following equation applied to each nutrient element:
I y = [ i = 1 m f ( Y X i ) i = 1 n f ( Z i Y ) ] m + n
where:
I y is the DRIS index for the y nutrient;
i = 1 m f ( Y X i ) is the value of the total functions where the nutrient element of the Y index is in the numerator of the DRIS norms;
And i = 1 n f ( Z i Y ) is the value of the total functions where the nutrient element of the Y index is in the denominator and m + n are the number of used functions.

2.6. The Nutrient Optimal Range (NOR)

The NOR was determined by taking the mean nutrient concentration value of the high-yielding population. Five classes of nutrient ranges were determined in the different sampled phenological stages by taking into account SD [34]:
  • Nutritional deficit status < −4/3 SD
  • Deficiency tendency = −4/3 SD to −2/3 SD;
  • Sufficiency = −2/3 SD to 2/3 SD;
  • Excess tendency = 2/3 SD to 4/3 SD;
  • Excessive nutritional status > 4/3 SD.

2.7. Determining the Sampling Period for the Nutritional Diagnosis

The NBI was calculated after the nutrient DRIS indices. In this study, the NBI was determined in each phenological stage by taking into account yield, irrigation system and leaf flush (vegetative and reproductive flushes). The NBI was calculated by adding the absolute value of the DRIS indices of each sample according to the following equation:
N B I = i = 1 m | I i + + I m |

2.8. Statistical Analyses

All the statistical analyses were performed using Statgraphics Centurion (version 5.1; Statpoint Technologies, Warrenton, VA, USA). The relation between leaf nutrient content and DRIS indices was studied by regression analysis, and it was shown in a simple scatter plot. The nutrient leaf content was the independent variable, and DRIS index was the dependent variable. Among all possible linear and non-linear regressions, the one with the highest correlation coefficient (R2) value has been selected.

3. Results and Discussion

The study was conducted to establish the nutritional balance of 12 macro- and micro-nutrients in ‘Rojo Brillante’ persimmon, PDO ‘Kaki Ribera del Xúquer’ Spain). The high-yielding population was made up of 13 of the 58 orchards, with yields from 46.38 t·ha−1 to 81.32 t·ha−1.

3.1. DRIS Norms

The orchards with yields higher than 46.38 t·ha−1 were considered high-yielding, and they represented 22.41% of the entire dataset.
The mean nutrient ratios and SDs of the high-yielding population are shown in Table 1.
The variance ratios of all the selected dual ratios of the low- vs. high-yielding population were higher than 1, which indicates a relatively higher variance for the low-yielding population (data not shown).
Table 1 shows a wide range between the obtained ratios, from values per 103 to values of 10−3. This is because a decision was made to maintain macronutrients as percentages and micronutrients as parts per million, which are frequently used units. This was performed to confer more practicality to the use of the norms obtained by farmers in the future. After obtaining DRIS norms, the equations to determine the DRIS indices of the selected nutrients were as follows (Table 2):
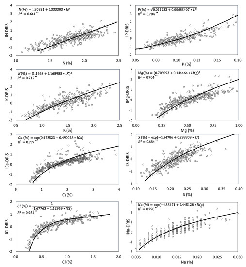
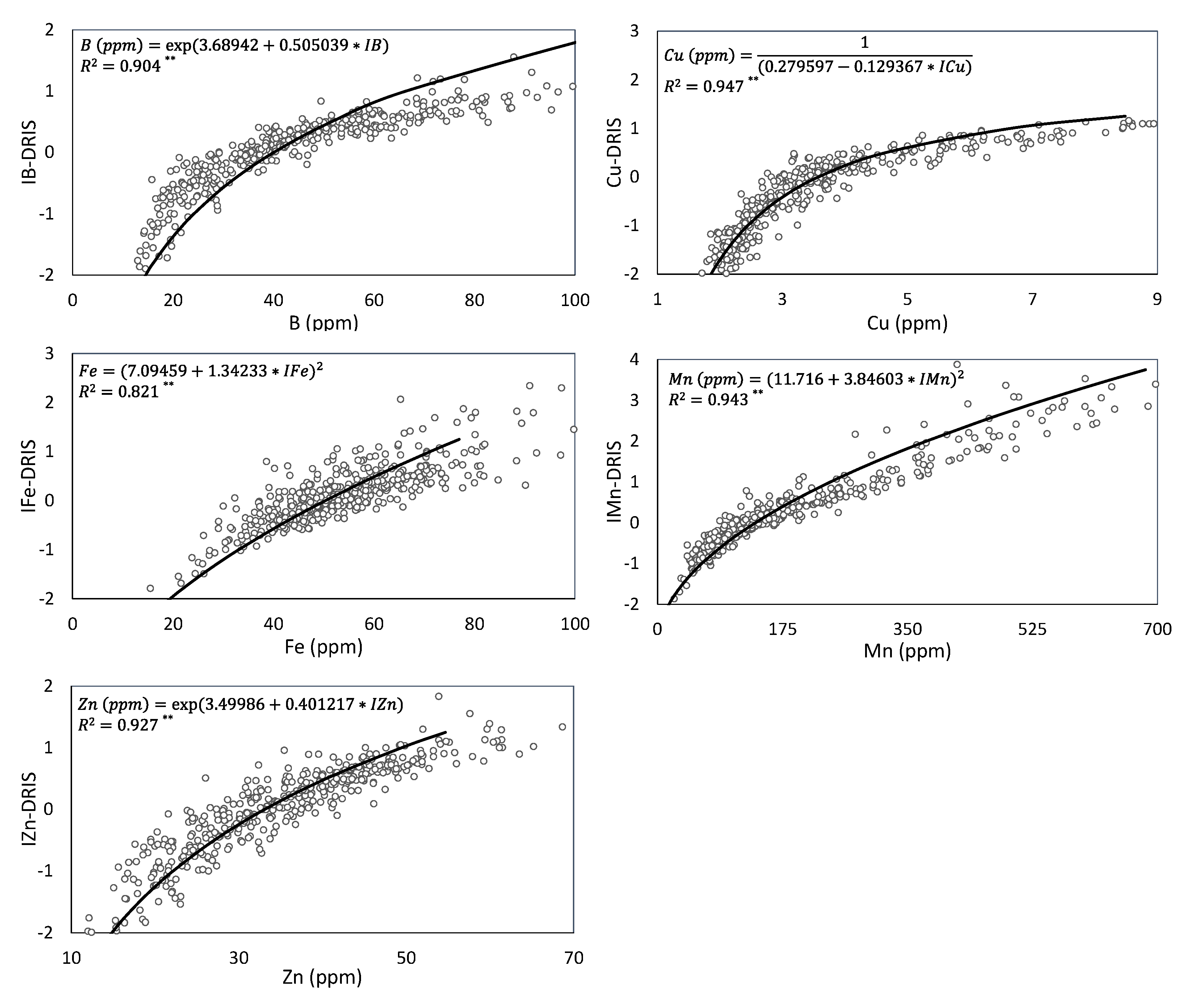
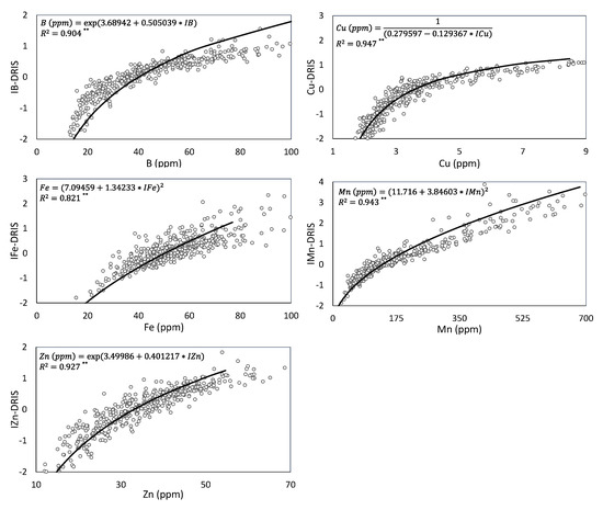
Figure 1 and Figure 2 show the relation between the leaf nutrient concentrations of the high-yielding population and DRIS indices, estimated by regression analysis. In all cases, the lower the DRIS index, the lower the nutrient concentration. This increases the reliability of DRIS norms because approaches correctly indicate nutritional limitations [16]. For each relation, the regression models that were best adapted to data evolution were fitted depending on the percentage of variation of the dependent variable that was collectively explained by all the independent variables (R2). In DRIS studies, linear regression models are often fitted to the relation between the DRIS index and leaf nutrient concentration [13,35]. Other authors have established that linear, quadratic and logarithmic are the best fitting regression models [16,36,37]. Nevertheless, in this study, a wide range of regression models was selected as each relationship between the nutrient concentration and its DRIS index differently evolved depending on how the plant vegetative cycle advanced. Thus a single linear regression model was used for N, while non-linear regression models were selected for the other nutrients. Of the non-linear models, five exponential regression models (Ca, S, Na, B and Zn), four square root-X (K, Mg, Fe and Mn), two inverse Y (Cl and Cu), and one Y quadratic (P) were obtained.
The DRIS index values well explained the leaf nutrient concentrations because all the obtained regression equations had an R2 > 0.6 (p < 0.01). These results confirm that the DRIS method effectively diagnoses the nutritional status of persimmon crops. The DRIS indices of micronutrients, especially Cu and Mn (R2 > 0.94), more clearly explained the leaf nutrient concentrations than the DRIS indices of macronutrients. The higher R2 in micronutrients than in macronutrients has been previously reported in ‘Gigante’ cactus pear and cotton [16,38]. Of the macronutrients, N and S showed the weakest correlation with their DRIS indices (R2 < 0.7). In other crops, a low correlation of the N and S concentrations with their respective DRIS indices has been observed in grass, apple and corn. This implies that other important factors play a role in the nutrient balance [36,39,40]. Aliyu et al. [35] have also observed this in corn, who attributed the low R2 in the relation of the N concentration to the IN with N imbalance, instead of N deficiency, provided the S and Zn additions in their study.
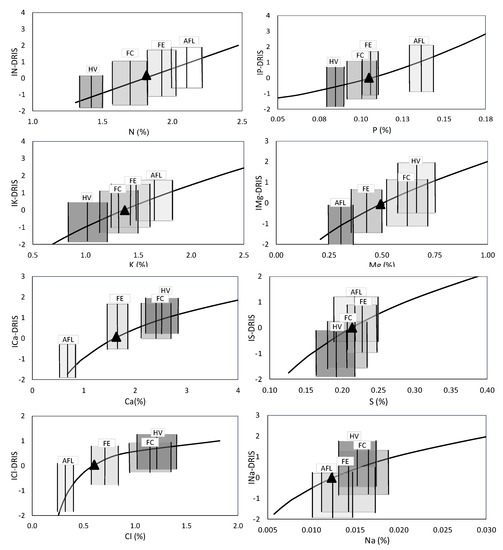
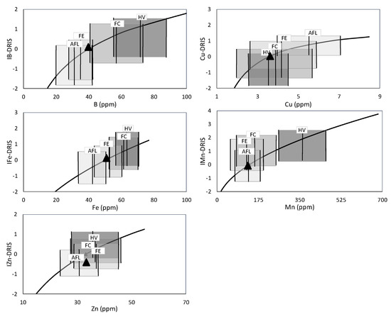
Based on the relation between the DRIS indices and nutrient contents in the leaf samples of the high-yielding population, it was possible to determine NORs. A plant is nutritionally balanced when DRIS indices come close to zero [11]. NORs can be obtained when the regression models of the relation of nutrient content and indices move towards this nutritional balance point (BP) [13].
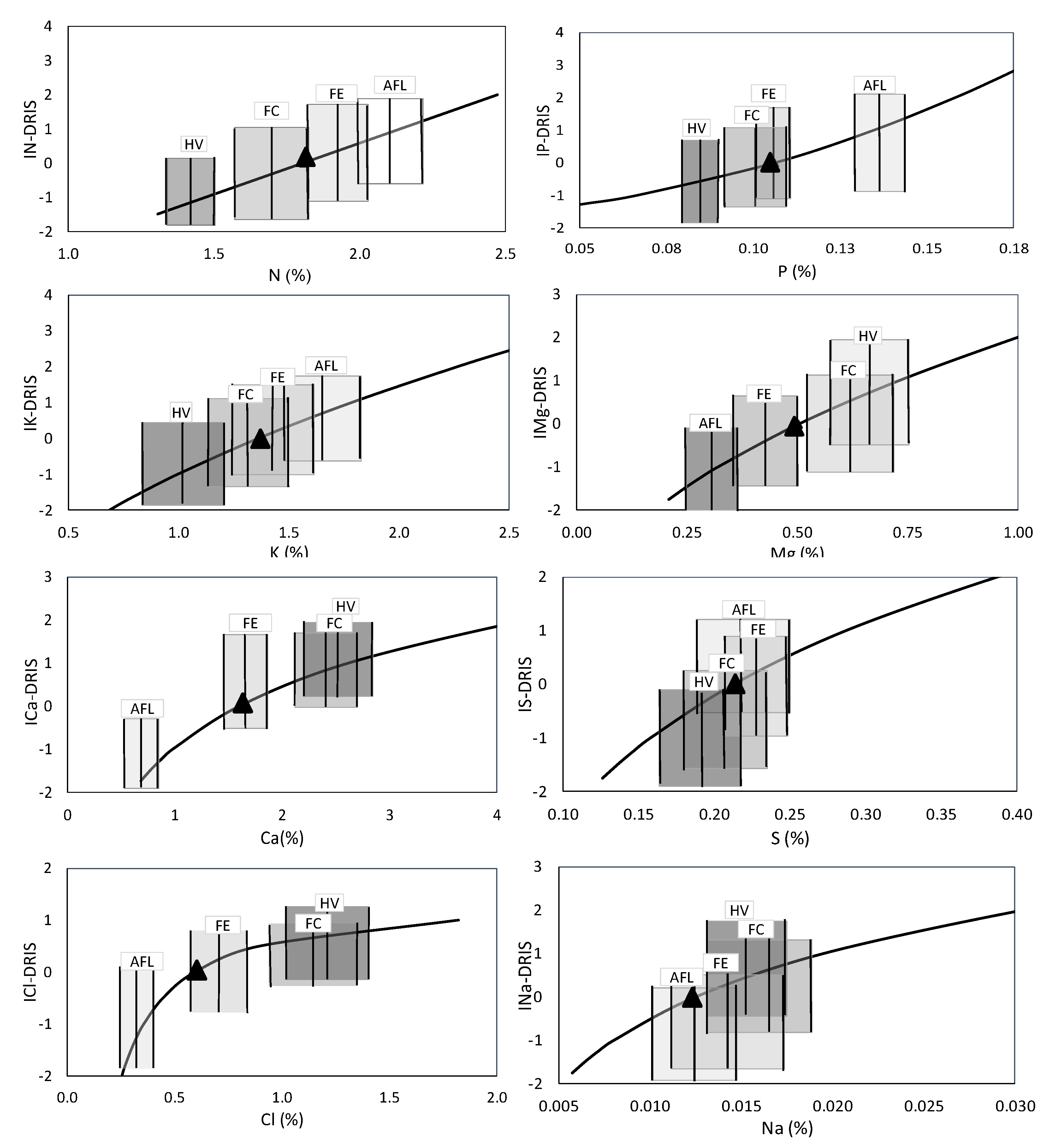
For this study, Figure 3 and Figure 4 represent the optimal range of each nutrient in relation to the estimated DRIS index in the different evaluated phenological stages (AF, FE, FC, HV) and the BP when regression equations equal zero.
As the value of each ratio is added to one index subtotal and subtracted from another before averaging, all the DRIS indices are balanced at around zero [11]. Accordingly, having obtained the IDRIS equations, the equilibrium point of each nutrient was determined by setting each IDRIS equation to equal zero. In most cases, the BP did not fall within the optimal range of all the phenological stages. Only for S and Zn was the BP within the optimal range of the concentration of these nutrients in all four studied phenological stages. Despite not finding the BP in all the phenological stages in the other nutrients, the triangle was found in the phenological FE stage in them all. Only for N was the BP not located in FE, but it was on the vertical line, which indicates the optimal lower range of this stage.
These results indicated that FE could be the best-recommended stage for carrying out leaf analyses to correct fertilisation programmes (nutrient doses). However, provided the importance of knowing the optimal foliar sampling time, an in-depth study was carried out, as mentioned in the subsequent section.
Moreover, to evaluate any statistical differences among the different sampling times, the mean nutrient value for ‘Rojo Brillante’ persimmon was taken from the samples of the high-yielding population in each determined phenological stage (AFL, FE, FC, HV) (Table 3).
When comparing the different phenological stages, the Ca, Mg, B, Fe, Na and Cl concentrations rose, and N, P, K, S, and Cu lowered as the study period advanced. These results are similar to other previously reported leaf nutrient concentrations for persimmon fruit [41,42]. Mn was the only element to decrease and then increase again. Clark and Smith [41] also observed this behaviour in ‘Fuyu’ persimmon. Similar to other fruit trees grown in calcareous soil, persimmon is sensitive to Mn and Zn deficiency. The correction of these compounds is usually made by foliar applications to cover needs [7]. Therefore, Mn and Zn showed no clear increasing or decreasing trend because the foliar applications of these nutrients were not applied homogeneously in all the plots. In addition, Mn is one of the active principles of Mancozeb [43], the main fungicide used in the Valencian Community for controlling circular leaf spots (CLS) in persimmon caused by Mycosphaerella nawae Hiura & Ikata. Since August 2008, CLS has become the most important persimmon foliar disease in Spain and leads to severe yield losses upon harvest [44]. This fungicide is applied mainly in spring when M.Nawae ascospores are released from leaf litter [45].
Table 3 shows significant differences in the concentration of most nutrients among the phenological stages during the study period. A bigger difference was obtained between the mean N and K values, with significant differences noted in each phenological state. Nutrients Ca, Mg, Cu, Fe and Zn, and those related to salinity (Na and Cl), remained constant from the FC stage.
The NOR in other crops has been previously established by the DRIS method taking leaves from a specific phenological stage. Guimaraes et al. [46] sampled ratoon sugarcane at harvest, and Serra et al. [16] also did during cotton crop flowering. Nevertheless, these results reveal that establishing a single NOR for the whole vegetative cycle will lead to wide ranges and, therefore, these ranges will not often cover the specificity of each phenological stage. Thus, the differences observed among different phenological stages reveal the need to establish distinct NOR reference tables for each studied phenological time (Table 4, Table 5, Table 6 and Table 7). The main optimum ranges of leaves at FE coincide with the nutrient concentration observed by Pomares et al. [7] in July, which is when the FE of the PDO ‘Kaki Ribera del Xúquer’ takes place. Nevertheless, the NORs for FE and HV were slightly lower than the ranges reported by George et al. [21], whose results might be lower because they employed a different cultivar, cv ‘Fuyu’ compared to ‘Rojo Brillante’, and edaphic conditions.

3.2. Selecting the Sampling Period

In order to determine the optimum sampling time to know the more balanced nutritional period of persimmon plants, production was taken into account by separating data into two groups based on the total average production. With an average of 40 t·ha−1, a block of 28 high-yielding orchards and a block of 30 low-yielding orchards were established. The leaf analysis not only depends on correct crop stage selection but also on correctly choosing leaf type or knowing the influence of cultivation conditions, such as irrigation type [47]. Data were divided according to irrigation system type, flood (FL) or drip (D), and the sprout origin, vegetative (V) or floral (F).
The NBI can be applied to identify deficiencies, excesses or nutritional balances of macronutrients (N, P, K, Ca, Mg, S) and micronutrients (Fe, Mn, Zn, Cu, Mo, B) in leaf tissue [48]. Thus, to establish the optimum sampling time, the DRIS method tool of the NBI was used. In this study, the NBI was determined in the four different phenological stages after taking into account yield, sprout type and irrigation (Table 8). The data showed that only the samples from the vegetative sprouts of the drip-irrigated orchards with yields over 40 t·ha−1 have no significant differences among phenological stages. NBIs were lower in all cases during FE, with significant differences compared to the other phenological groups. The second most balanced phenological stage was FC, which had no significant differences with FE, except for the samples from the flood-irrigated orchards from vegetative sprouts with yields above 40 t·ha−1. The most unbalanced stage was AF. As AF was sampled in May, the highest NBI was obtained because the period from March to June is characterized by the high nutrient requirements needed for sprouting, flowering and fruit set [7].
Regarding the subgroups into which data were divided, the sprout location of samples was a determinant in the AF stage. The leaves from vegetative sprouts were more unbalanced. In all cases, the content of nutrients in the leaves from fruiting shoots was lower (data not shown). This could be because fruiting shoots have started fruit set, which induces leaves to change from being a sink to a source of nutrients and photosynthates [49]. Nevertheless, sprout types showed no significant differences in the other phenological stages. This agrees with Clark and Smith [42] because these authors did not observe any major differences between the nutrient concentrations measured in the leaves sampled from fruiting or non-fruiting shoots. This finding suggests that the leaves in close proximity to fruit are not subjected to disproportionate nutrient stress during fruit development.
Approximately in the FE stage, and despite NBIs being low in all cases, the yield had a significant effect. Upon sampling (July), the high-yielding persimmon trees (>40 t·ha−1) had greater nutrient mobility than the low-yielding trees. These trees had higher nutrient requirements because they had a larger fruit set.
To know the order of the most unbalanced nutrients in each phenological stage, and bearing in mind that sprout was a determinant of AF and yield in FE, Figure 5 shows the mean DRIS indices of the total population for each nutritional status. Nutrient excess or deficiency varies in order and severity terms depending on sampling time. As observed in the different NBIs, the greatest nutrient excesses and deficiencies are for AF and HV.
At the AF sampling time, and similar to the results in Table 8, the leaves from vegetative sprouts exhibited greater nutrient imbalances than those from floral sprouts. Nevertheless, in both cases, the lowest indices were for Ca, Cl and Mg. This does not imply that they are limiting for crops; rather, leaves did not have enough time to uptake these nutrients.
Of these elements, Ca is a highly immobile element [50,51]. Mg is the central atom in the chlorophyll molecule that is needed for its biosynthesis. It increases throughout the vegetative cycle because it is known that chlorophyll content in young leaves is lower than in old leaves [52]. Regarding Cl, although its deficiency is presented, it appears in excess in the other phenological stages, which verifies this crop’s salinity sensitivity.
Conversely, a larger quantity of Mn appears in AF and suggests it is excessive. Despite this nutrient occupying intermediate positions at FE and FC, Mn once again appeared in excessive amounts at HV. As indicated above, this is because persimmon trees are foliar-sprayed with Mn at different vegetative cycle times. With the obtained results, it can be established that the first Mn application is necessary because the Mn level is not excessive as harvest advances. However, an attempt should be made to reduce the last treatment as much as possible. The growing cycle ends with an excessive Mn concentration and, as persimmon is a deciduous crop, leaves fall off when the cycle ends, and part of the immobile elements present in leaves are nutrients that return to the soil. It could induce excessive Mn concentrations in new plant tissue that can alter several processes, such as enzyme activity, absorption, translocation and utilisation of other mineral elements (Ca, Mg, Fe and P), which cause oxidative stress [53,54].
During FE, apart from the differences observed between the NBIs of the high-yielding population vs. the low-yielding population, Figure 5 shows that the order of deficiency or excess is presented by IDRIS changes. While Cu was deficient only in the low-yielding orchards, B was deficient only in the high-yielding orchards. Both these elements could be determinants for knowing final ‘Rojo Brillante’ persimmon yields. S, P and K appeared as limiting deficiency elements in both populations. Of these, P was limited from FE and S in all the studied nutritional stages. In the last two phenological stages, nutrients were unbalanced and not limiting for the period from July to September, as this period requires considerable nutrients to cover full fruit development. Because of this, these nutrients were already used by fruit sets. Nevertheless, when paying attention to K, and despite persimmon crops usually being fertilised with this nutrient during FE, plants presented K deficiency. Thus, K fertilisation could be advisable to improve persimmon production. However, K fertilisation must be cautiously carried out because it can decrease Ca uptake and subsequently affect fruit firmness or fruit conservation [7].
Both P and S are limiting nutrients from FE, which is the more balanced sampling period, until the end of the study period. Increasing P deficiency from flowering to harvest has also been observed by Gosavi et al. [47], who attributed it to not only developing fruit (cell division), demanding more P, but also to limiting P supply in soil because of high pH and calcareousness.

4. Conclusions

DRIS norms were established for ‘Rojo Brillante’ persimmon PDO ‘Kaki Ribera del Xúquer’ (Spain). For each pair of nutrients, a single norm was selected for the whole vegetative period from flowering to fruit harvest.
The correlation established between the DRIS indices obtained with DRIS norms and the concentrations of nutrients in the leaves of the high-yielding population verified that a single norm for each nutrient ratio is correct.
The different employed regression equations showed very high coefficients of determination (R2), which indicates that the evolution of the relationship between nutrients is not linear in most cases because it depends on the evolution of different nutritional elements with one another.
Although there were many overlaps in the range of optimal values for each phenological state, they did not completely coincide in any case. Therefore, establishing tables with the NOR for each phenological state is considered necessary. These tables will be useful for avoiding wide ranges that hide certain deficiencies or excesses or ranges that would be obtained if the complete vegetative cycle were considered. In addition, based on the DRIS method, reference tables with the NOR values for the cultivation of ‘Rojo Brillante’ persimmon in the Mediterranean area has been established for the first time, which will be used for the practical cultivation of this variety.
Trees show a totally different NBI depending on the sampling time. The phenological stage when the ‘Rojo Brillante’ persimmon trees are more balanced is FE (July). However, the influence of yield is shown during this period. The greater imbalance in the trees with a higher yield indicates that they require greater nutrient mobility from leaves to fruits.
Leaf sample origin (vegetative/reproductive branch; flood-/drip-irrigated field) does not influence NBIs, except for the leaves sampled after flowering. Therefore, since FE, both sprouts can be sampled without having to differentiate DRIS standards.
The application of the results obtained for the nutritional diagnosis of the cultivar ‘Rojo Brillante’ should be validated in other persimmon cultivars and growing conditions.
This study establishes the basis for the nutritional diagnosis of ‘Rojo Brillante’ persimmon, which will allow optimal fertilisation recommendations to be made in order to achieve balanced plantations with higher production. All of this contributes to achieving the objectives pursued by international legislation in terms of balanced fertiliser application and sustainable nutrient management, as well as better management of nitrogen and phosphorus throughout their life cycle.

Author Contributions

Conceptualization, A.Q., B.M.-A. and J.M.; methodology, A.Q., J.M. and R.C.; formal analysis, A.Q., J.M., I.R.-C. and B.M.-A.; investigation A.Q., J.M., I.R.-C., B.M.-A. and R.C.; resources, A.Q. and R.C.; data curation, J.M. and I.R.-C.; writing—original draft preparation, J.M. and A.Q.; writing—review and editing, J.M., B.M.-A., R.C. and A.Q.; funding acquisition, A.Q. All authors have read and agreed to the published version of the manuscript.

Funding

This research was co-funded by Cooperativa Agrícola Ntra. Sra. del Oreto Coop. V (CANSO) in the framework of the IVIA-CANSO collaboration through Project GVA-IVIA nº 5940/7008.

Data Availability Statement

Not applicable.

Acknowledgments

We would like to thank to Mario Vendrell, Quality Chief at Cooperativa Agrícola Ntra. Sra. del Oreto Coop. V.; to Ivan Ballester and Francisco Motilla Ferrer (professional farmers) to vegetable material. Particular thanks to Enric Alcayde from Technology Transfer Service of Valencian Government for their invaluable field assistance.

Conflicts of Interest

The authors declare no conflict of interest. The funders had no role in the design of the study; in the collection, analyses, or interpretation of data; in the writing of the manuscript, or in the decision to publish the results.

References

  1. Perucho, R. Antecedentes e importancia económica en España. In El Cultivo del Caqui, 1st ed.; Badenes, M.L., Intrigliolo, D.S., Salvador, A., Vicent, A., Eds.; Generalitat Valenciana: Valencia, Spain, 2015; pp. 17–34. ISBN 978-84-482-6018-7. [Google Scholar]
  2. Perucho, R. Evolution of production of the “Rojo Brillante” cultivar in Spain and its impact on markets. Acta Hortic. 2018, 1195, 1–8. [Google Scholar] [CrossRef]
  3. European Parliament and Council of the European Union. Regulation (EU) No 1151/2012 of the European Parliament and of the Council of 21 November 2012 on quality schemes for agricultural products and foodstuffs. Off. J. Eur. Union 2012, 343, 1–29. [Google Scholar]
  4. Arnal, L.; del Río, M.A. Removing stringency by carbon dioxide and nitrogen-enriched atmospheres in persimmon fruit cv. “Rojo Brillante”. J. Food Sci. 2003, 68, 1516–1518. [Google Scholar] [CrossRef]
  5. Shah, S.A.; Mohammad, W.; Shahzadi, S.R.; Elahi, R.; Ali, A.; Basir, A.; Haroon, A. The effect of foliar application of urea, humic acid and micronutrients on potato crop. Iran Agric. Res. 2016, 35, 89–94. [Google Scholar]
  6. Oliveira, R.C.; da Silva, J.R.R.; Lana, R.M.Q.; de Azevedo Pereira, A.I.; Castoldi, R.; de Camargo, R.; Luz, J.M.Q. Fertilizer application levels in potato crops and the diagnosis and recommendation integrated system (DRIS). Agronomy 2021, 11, 51. [Google Scholar] [CrossRef]
  7. Pomares, F.; Gris, V.; Albiach, M.R. Fertilización. In El Cultivo del Caqui, 1st ed.; Badenes, M.L., Intrigliolo, D.S., Salvador, A., Vicent, A., Eds.; Generalitat Valenciana: Valencia, Spain, 2015; pp. 141–175. ISBN 978-84-482-6018-7. [Google Scholar]
  8. Visconti, F.; Intrigliolo, D.S.; Quiñones, A.; Tudela, L.; Bonet, L.; de Paz, J.M. Differences in specific chloride toxicity to Diospyros kaki cv. “Rojo Brillante” grafted on D. lotus and D. virginiana. Sci. Hortic. 2017, 214, 83–90. [Google Scholar] [CrossRef]
  9. Intrigliolo, D.S.; de Paz, J.M.; Ballester, C.; Bonet, L. Quantifying persimmon tree responses to water and nutrients for designing efficient and sustainable fertirrigation protocols. In Proceedings of the VI International Symposium on Persimmon, Valencia, Spain, 16–20 October 2016; Badenes, M.L., Naval, M.M., Eds.; International Society for Horticultural Science: Leuven, Belgium, 2016; Volume 1195, pp. 99–104. [Google Scholar] [CrossRef]
  10. Vicent, A.; Mira, J.L.; Bassimba, D.D.M. Fungal diseases of persimmon in semi-arid areas: Adaptive strategies and future risks. In Proceedings of the VI International Symposium on Persimmon, Valencia, Spain, 16–20 October 2016; Badenes, M.L., Naval, M.M., Eds.; International Society for Horticultural Science: Leuven, Belgium, 2016; Volume 1195, pp. 127–132. [Google Scholar] [CrossRef]
  11. Walworth, J.L.; Sumner, M.E. The diagnosis and recommendation integrated system (DRIS). Adv. Soil Sci. 1987, 6, 149–188. [Google Scholar] [CrossRef]
  12. Nissen, R.J.; Redpath, S. Environmental and postharvest factors affecting the quality and storage of persimmon (Diospyros kaki) cultivars “Fuyu” and “Jiro” in Australia. In Proceedings of the III Asia Pacific Symposium on Postharvest Research, Education and Extension: APS2014, Hochiminh, Vietnam, 8–11 December 2014; International Society for Horticultural Science: Leuven, Belgium, 2018; Volume 1213, pp. 49–58. [Google Scholar] [CrossRef]
  13. Labaied, M.B.; Serra, A.P.; Ben Mimoun, M. Establishment of nutrients optimal range for nutritional diagnosis of mandarins based on DRIS and CND methods. Commun. Soil Sci. Plant Anal. 2018, 49, 2557–2570. [Google Scholar] [CrossRef]
  14. Bhaduri, D.; Pal, S. Diagnosis and recommendation integrated system (DRIS): Concepts and applications on nutritional diagnosis of plants-a review. J. Soil Water Conserv. 2013, 12, 70–79. [Google Scholar]
  15. Beverly, R.B. Comparison of DRIS and alternative nutrient diagnostic methods for soybean. J. Plant Nutr. 1987, 10, 901–920. [Google Scholar] [CrossRef]
  16. Serra, A.P.; Marchetti, M.E.; Rojas, E.P.; Vitorino, A.C.T. Beaufils ranges to assess the cotton nutrient status in the southern region of Mato Grosso. Rev. Bras. Ciência Solo 2012, 36, 171–182. [Google Scholar] [CrossRef]
  17. Fernández-Cámara, M.; Martínez-Nicolás, J.J.; Alfosea-Simón, M.; Cámara-Zapata, J.M.; Melgarejo Moreno, P.; García-Sánchez, F. Estimation of Diagnosis and Recommendation Integrated System (DRIS), Compositional Nutrient Diagnosis (CND) and Range of Normality (RN) norms for mineral diagnosis of almonds trees in Spain. Horticulturae 2021, 7, 481. [Google Scholar] [CrossRef]
  18. Sharma, L.D.; Sarangthem, I.; Sadhukhan, R.; Thangjam, R.; Singh, Y.H.; Sawant, C.G.; Lalhmingsanga, R.L. Leaf analysis in citrus: Recent development. Research & reviews. J. Agric. Sci. Technol. 2021, 10, 35–43. [Google Scholar] [CrossRef]
  19. Klein, I.; Fanberstein, L.; Viner, L. DRIS evaluation of persimmon (Diospyrus kaki L.). Plant Soil 1993, 154, 33–38. [Google Scholar] [CrossRef]
  20. Diamond, D.H.; Fallahi, E.; Shafii, B.; Tripepi, R.R. Minimal nutrient flux in leaves of “Fuji” apple trees on two rootstocks. Fruit Var. J. 1998, 52, 236–248. [Google Scholar]
  21. George, A.P.; Nissen, R.; Broadley, R.; Collins, P.; Rigden, S.; Jeffers, B.; Isaacson, S.; Ledger, N.; Chapman, L. Sweet persimmon information kit. In Agrilink, Your Growing Guide to Better Farming Guide. Agrilink Series Q105102; Queensland Department of Agriculture, Forestry, and Fisheries: Brisbane, Australia, 2005; Volume 168, pp. 1–64. [Google Scholar]
  22. Carvalho, A.J.C.; Fontes, P.S.F.; Freitas, M.S.M.; Monnerat, P.H.; Fontes, A.G. Yellow passion fruit plant nutritional diagnosis at different phenological stages by the diagnosis and recommendation integrated system method. J. Plant Nutr. 2011, 34, 614–626. [Google Scholar] [CrossRef]
  23. Gonçalves, F.A.R.; Aquino, L.A.D.; Dezordi, L.R.; Clemente, J.M.; Novais, R.F. DRIS indices in three phenological stages of the carrot crop. Pesq. Agropec. Trop. 2017, 47, 31–40. [Google Scholar] [CrossRef][Green Version]
  24. Partelli, F.L.; Oliveira, M.G.; Covre, A.M.; Vieira, H.D.; Machado Dias, J.R.; Braun, H. Nutritional standards and nutritional diagnosis of the Conilon coffee plants in phenological growth stages. J. Plant Nutr. 2018, 41, 2536–2546. [Google Scholar] [CrossRef]
  25. Llanderal, A.; Lao, M.T.; Contreras, J.I.; Segura, M.L. Diagnosis and recommendation integrated system norms and sufficiency ranges for tomato greenhouse in Mediterranean climate. HortScience 2018, 53, 479–482. [Google Scholar] [CrossRef]
  26. European Commission. Farm to Fork Strategy. For a Fair, Healthy and Environmentally-Friendly Food System. 2020. Available online: https://ec.europa.eu/food/sites/food/files/safety/docs/f2f_action-plan_2020_strategy-info_en.pdf (accessed on 18 May 2022).
  27. Food and Agriculture Organization of the United Nations (FAO). WRB—World Reference Base for soil resources. International soil classification system for naming soils and creating legends for soil maps. World Soil Resour. Rep. 2015, 106, 12–21. [Google Scholar]
  28. Quiñones, A.; Soler, E.; Legaz, F. Determination of foliar sampling conditions and standard leaf nutrient levels to assess mineral status of loquat tree. J. Plant Nutr. 2013, 36, 284–298. [Google Scholar] [CrossRef]
  29. Guan, C.; Che, Q.; Zhang, P.; Huang, J.; Chachar, S.; Ruan, X.; Wang, R.; Yang, Y. Codification and description of growth stages in persimmon (Diospyros kaki Thunb.) using the extended BBCH scale. Sci. Hortic. 2021, 280, 109895. [Google Scholar] [CrossRef]
  30. Besada, C.; Gil, R.; Bonet, L.; Quinones, A.; Intrigliolo, D.; Salvador, A. Chloride stress triggers maturation and negatively affects the postharvest quality of persimmon fruit. Involvement of calyx ethylene production. Plant Physiol. Biochem. 2016, 100, 105–112. [Google Scholar] [CrossRef] [PubMed]
  31. Campbell, C.R.; Plank, C.O. Chapter 3—Preparation of plant tissue for laboratory analysis. In Handbook of Reference Methods for Plant Analysis; Kalra, Y.P., Ed.; CRC Press: Boca Raton, FL, USA, 1998; pp. 37–49. [Google Scholar]
  32. Jones, C.A. Proposed modifications of the diagnosis and recommendation integrated system (DRIS) for interpreting plant analyses. Commun. Soil Sci. Plant Anal. 1981, 12, 785–794. [Google Scholar] [CrossRef]
  33. Beaufils, E.R.; Schutte, G.E.C. Diagnosis and recommendation integrated system: A general scheme for experimentation and calibration based on principles developed from research in plant nutrition. Ph.D. Thesis, University of Natal, Pietermararitzburg, South Africa, 1973; pp. 1–132. [Google Scholar]
  34. Labaied Bendaly, M.; Khiari, L.; Gallichand, J.; Kebede, F.; Kadri, N.; Ben Ammar, N.; Ben Hmida, F.; Ben Mimoun, M. Nutrient diagnosis norms for date palm (Phoenix dactylifera L.) in Tunisian oases. Agronomy 2020, 10, 886. [Google Scholar] [CrossRef]
  35. Aliyu, K.T.; Huising, J.; Kamara, A.Y.; Jibrin, J.M.; Mohammed, I.B.; Nziguheba, G.; Adam, A.M.; Vanlauwe, B. Understanding nutrient imbalances in maize (Zea mays L.) using the diagnosis and recommendation integrated system (DRIS) approach in the Maize belt of Nigeria. Sci. Rep. 2021, 11, 16018. [Google Scholar] [CrossRef]
  36. Silveira, C.P.; Nachtigall, G.R.; Monteiro, F.A. Testing and validation of methods for the diagnosis and recommendation integrated system for signal grass. Scientia Agric. 2005, 62, 520–527. [Google Scholar] [CrossRef]
  37. Guindani, R.H.P.; Anghinoni, I.; Nachtigall, G.R. DRIS na avaliação do estado nutricional do arroz irrigado por inundação. Rev. Bras. Ciênc. Solo 2009, 33, 109–118. [Google Scholar] [CrossRef]
  38. Teixeira, M.B.; Donato, S.L.R.; Silva, J.A.D.; Donato, P.E.R. Reference values for nutritional diagnosis of “Gigante” cactus pear by DRIS and BIK methods. Ciênc. Agrotec. 2021, 45, 10721. [Google Scholar] [CrossRef]
  39. Reis Júnior, R.A.; Corrêa, J.B.; Carvalho, J.G.C.; Guimarães, P.T.G. Estabelecimento de normas DRIS para o cafeeiro no sul de minas gerais: 1ª aproximação. Ciênc. Agrotec. 2002, 25, 269–282. [Google Scholar]
  40. Nachtigall, G.R.; Dechen, A.R. DRIS use on apple orchard nutritional evaluation in response to potassium fertilization. Commun. Soil Sci. Plant Anal. 2007, 38, 2557–2566. [Google Scholar] [CrossRef]
  41. Clark, C.J.; Smith, G.S. Seasonal changes in the mineral nutrient content of persimmon leaves. Sci. Horticul. 1990, 42, 85–97. [Google Scholar] [CrossRef]
  42. Albiach, R.; Climent, C.; Canet, R.; Pomares, F. Soil fertility and nutritional state of persimmon Rojo Brillante plantations in the Ribera Alta (Valencia, Spain). Commun. Soil Sci. Plant Anal. 2012, 43, 2767–2776. [Google Scholar] [CrossRef]
  43. European Food Safety Authority (EFSA). Modification of the existing maximum residue level for mancozeb (expressed as carbon disulfide) in persimmons. EFSA J. 2016, 14, e04495. [Google Scholar]
  44. Berbegal, M.; Pérez-Sierra, A.; Armengol, J.; Park, C.S.; García-Jiménez, J. First report of circular leaf spot of persimmon caused by Mycosphaerella nawae in Spain. Plant Dis. 2010, 94, 374. [Google Scholar] [CrossRef] [PubMed]
  45. Vicent, A.; Bassimba, D.D.; Hinarejos, C.; Mira, J.L. Inoculum and disease dynamics of circular leaf spot of persimmon caused by Mycosphaerella nawae under semi-arid conditions. Eur. J. Plant Pathol. 2012, 134, 289–299. [Google Scholar] [CrossRef]
  46. Guimarães, F.C.N.; Pereira Serra, A.; Marchetti, M.E.; Ensinas, S.C.; Altomar, P.H.; do Amaral Conrad, V.; Potrich, C.B.; Rosa, C.J.; Martinez, M.A.; Matos, F.A. Nutrients optimum range (NOR) based on DRIS method to assess the nutritional status of the first ratoon sugarcane. Aust. J. Crop Sci. 2015, 9, 638–645. [Google Scholar]
  47. Gosavi, A.B.; Deshpande, A.N.; Maity, A. Identifying nutrient imbalances in pomegranate (Cv. Bhagwa) at different phonological stages by the diagnosis and recommendation integrated system. J. Plant Nutr. 2017, 40, 1868–1876. [Google Scholar] [CrossRef]
  48. Villamil-Carvajal, J.E.V.; Pineda, E.O.P.; Gutiérrez, M.C. Diagnosis and recommendation integrated system, its application and use in agriculture. A review. Cienc. Agri. 2021, 18, 29–46. [Google Scholar] [CrossRef]
  49. Engels, C.; Kirkby, E.; White, P. Mineral nutrition, yield and source–sink relationships. In Marschner’s Mineral Nutrition of Higher Plants; Elsevier: Amsterdam, The Netherlands, 2012; pp. 85–133. [Google Scholar]
  50. Crafts, A.S.; Crisp, C.E. Phloem Transport in Plants; W. H. Freeman and Company: Berkeley, CA, USA, 1971; ISBN 978-0716706830. [Google Scholar]
  51. Van Goor, B.J.; Wiersma, D. Redistribution of potassium, calcium, magnesium, and manganese in the plant. Physiol. Plant. 1974, 31, 163–168. [Google Scholar] [CrossRef]
  52. Kamble, P.N.; Giri, S.P.; Mane, R.S.; Tiwana, A. Estimation of chlorophyll content in young and adult leaves of some selected plants. Univers. J. Environ. Res. Technol. 2015, 5, 306–310. [Google Scholar]
  53. Ducic, T.; Polle, A. Transport and detoxification of manganese and copper in plants. Braz. J. Plant Physiol. 2005, 17, 103–112. [Google Scholar] [CrossRef]
  54. Lei, Y.; Korpelainen, H.; Li, C. Physiological and biochemical responses to high Mn concentrations in two contrasting Populus cathayana populations. Chemosphere 2007, 68, 686–694. [Google Scholar] [CrossRef] [PubMed]
Figure 1. Relation between the leaf macronutrient concentrations in the high-yielding population and their corresponding nutrient DRIS indices (** indicates p < 0.01).
Figure 1. Relation between the leaf macronutrient concentrations in the high-yielding population and their corresponding nutrient DRIS indices (** indicates p < 0.01).
Agronomy 12 01269 g001
Figure 2. Relation between the leaf micronutrient concentrations in the high-yielding population and their corresponding nutrient DRIS indices (** indicates p < 0.01).
Figure 2. Relation between the leaf micronutrient concentrations in the high-yielding population and their corresponding nutrient DRIS indices (** indicates p < 0.01).
Agronomy 12 01269 g002
Figure 3. Optimal range of leaf macronutrients in four phenological stages: AF (After flowering), FE (fruit enlargement), FC (fruit colouring) and HV (harvest period). The vertical bar in the middle of each square represents the mean value of each phenological stage. The left vertical bar denotes the lower limit of the optimal range (−2/3 SD). The right bar indicates the upper limit of the optimal range (+2/3 SD). A black triangle represents the BP (IDRIS = 0).
Figure 3. Optimal range of leaf macronutrients in four phenological stages: AF (After flowering), FE (fruit enlargement), FC (fruit colouring) and HV (harvest period). The vertical bar in the middle of each square represents the mean value of each phenological stage. The left vertical bar denotes the lower limit of the optimal range (−2/3 SD). The right bar indicates the upper limit of the optimal range (+2/3 SD). A black triangle represents the BP (IDRIS = 0).
Agronomy 12 01269 g003
Figure 4. Optimal range of leaf micronutrients in four phenological stages: AF, FE, FC and HV. The vertical bar in the middle of each square represents the mean value of each phenological stage. The left vertical bar denotes the lower limit of the optimal range (−2/3 SD). The right bar indicates the upper limit of the optimal range (+2/3 SD). A black triangle represents the BP (IDRIS = 0).
Figure 4. Optimal range of leaf micronutrients in four phenological stages: AF, FE, FC and HV. The vertical bar in the middle of each square represents the mean value of each phenological stage. The left vertical bar denotes the lower limit of the optimal range (−2/3 SD). The right bar indicates the upper limit of the optimal range (+2/3 SD). A black triangle represents the BP (IDRIS = 0).
Agronomy 12 01269 g004
Figure 5. Limiting order of nutrients of the total population in each phenological stage (AF; FE; FC; HV) according to the DRIS indices determined using the whole database (high- and low-yielding populations) of ‘Rojo Brillante’ persimmon PDO ‘Kaki Ribera del Xúquer’, Spain.
Figure 5. Limiting order of nutrients of the total population in each phenological stage (AF; FE; FC; HV) according to the DRIS indices determined using the whole database (high- and low-yielding populations) of ‘Rojo Brillante’ persimmon PDO ‘Kaki Ribera del Xúquer’, Spain.
Agronomy 12 01269 g005
Table 1. Diagnosis and Recommendation Integrated System (DRIS) norms and standard deviations (SD) obtained from the nutrient contents of foliar samples from a high-yielding population of ‘Rojo Brillante’ persimmon, PDO ‘Kaki Ribera del Xúquer’, Spain.
Table 1. Diagnosis and Recommendation Integrated System (DRIS) norms and standard deviations (SD) obtained from the nutrient contents of foliar samples from a high-yielding population of ‘Rojo Brillante’ persimmon, PDO ‘Kaki Ribera del Xúquer’, Spain.
NutrientMeanSD NormMeanSD NormMeanSD
N (%)1.8370.25517P/B0.0030.00348Mg/Zn0.0170.009
P (%)0.1060.01918P/Cu0.0280.01249Fe/Mg106.79640.603
K (%)1.4010.31119P/Fe0.0020.00150Mn/Mg321.806245.416
Ca (%)1.8320.82720K/P13.2522.48551Na/S0.0630.025
Mg (%)0.5300.18421Na/P0.1330.05252Na/Cl0.0220.015
Na (%)0.0140.00522Mn/P1689.8101398.10053Na/B0.00040.0002
S (%)0.2250.04623Zn/P353.202147.61954Na/Cu0.0040.002
Cl (%)0.8080.40024K/Ca1.0090.66555Na/Mn0.00010.0001
B (ppm)46.72826.83225K/Mg3.1171.57156Na/Zn0.00040.0002
Cu (ppm)4.7042.69726K/Na115.13251.83057Fe/Na4104.8401700.294
Fe (ppm)55.53919.71227K/S6.4781.72058S/Cl0.3640.233
Mn (ppm)52.80615.84428K/Cl2.4671.97759S/B0.0070.006
Zn (ppm)35.60313.30129K/B0.0440.03560S/Cu0.0590.028
30K/Cu0.3700.16561S/Fe0.0050.002
NormMeanSD31K/Zn0.0450.02362S/Zn0.0070.003
1N/Na149.08669.803832Fe/K39.73815.49563Mn/S821.265717.909
2N/S8.4681.89133Mn/K135.820122.74064Cl/B0.0200.012
3N/Cl3.1692.32234Ca/Mg3.3440.83465Cl/Cu0.2320.177
4N/B0.0600.04635Ca/Cl2.3870.76266Cl/Mn0.0080.007
5N/Cu0.4950.21036Ca/B0.0460.02667Fe/Cl82.12749.408
6N/Fe0.0390.01537Ca/Cu0.5100.33968Zn/Cl54.80637.647
7N/Zn0.0570.02438Na/Ca0.0090.00569B/Cu12.4428.851
8Ca/N1.0600.57339S/Ca0.1570.09870B/Zn1.4611.061
9K/N0.7650.16940Fe/Ca34.01317.86271Fe/B1.4530.915
10Mg/N0.3030.13241Mn/Ca95.05271.05372Mn/B3.8242.735
11P/N0.0580.00942Zn/Ca23.79615.01373Fe/Cu15.1177.301
12Mn/N80.44063.84543Mg/Na41.09416.65074Mn/Cu46.06442.338
13P/Ca0.0780.06144Mg/S2.4240.83675Zn/Cu9.4485.431
14P/Mg0.2310.12445Mg/Cl0.7680.33776Fe/Mn0.4870.354
15P/S0.4890.09646Mg/B0.0150.00977Fe/Zn1.7270.788
16P/Cl0.1840.16147Mg/Cu0.1450.08578Mn/Zn4.4553.675
Table 2. DRIS index equations of macro- and micronutrients according to Jones [32], where letters of macro- and micronutrients are related to the sample to analyse elements.
Table 2. DRIS index equations of macro- and micronutrients according to Jones [32], where letters of macro- and micronutrients are related to the sample to analyse elements.
DRIS Indices
I N =   [ [ ( N N a 149.086 69.838 ) + ( N S 8.468 1.891 ) + ( N C l 3.169 2.322 ) + ( N B 0.060 0.046 ) + ( N C u 0.495 0.210 ) + ( N F e 0.039 0.015 ) + ( N Z n 0.057 0.024 ) ] [ ( C a N 1.060 0.573 ) + ( K N 0.765 0.169 ) + ( M g N 0.303 0.132 ) + ( P N 0.058 0.009 ) + ( M n N 80.44 63.845 ) ] ] × 1 12
I P =   [ [ ( P N 0.058 0.009 ) + ( P C a 0.078 0.061 ) + ( P M g 0.231 0.124 ) + ( P S 0.489 0.096 ) + ( P C l 0.184 0.161 ) + ( P B 0.003 0.003 ) + ( P C u 0.028 0.012 ) + ( P F e 0.002 0.001 ) ] [ ( K P 13.252 2.485 ) + ( N a P 0.133 0.052 ) + ( M n P 1689.81 1398.1 ) + ( Z n P 352.202 147.619 ) ] ] × 1 12
I K =   [ [ ( K N 0.765 0.169 ) + ( K P 13.252 2.485 ) + ( K C a 3.169 2.322 ) + ( K M g 3.117 1.571 ) + ( K N a 115.132 51.830 ) + ( K S 6.478 1.720 ) + ( K C l 2.467 1.977 ) + ( K B 0.044 0.035 ) + ( K C u 0.370 0.165 ) + ( K Z n 0.045 0.023 ) ] [ ( F e K 39.738 15.495 ) + ( M n K 135.82 122.74 ) ] ] × 1 12
I C a = [ [ ( C a N 1.060 0.573 ) + ( C a M g 3.344 0.834 ) + ( C a C l 2.387 0.762 ) + ( C a B 0.046 0.026 ) + ( C a C u 0.510 0.339 ) ] [ ( P C a 0.078 0.061 ) + ( K C a 1.009 0.665 ) + ( N a C a 0.009 0.005 ) + ( S C a 0.157 0.098 ) + ( F e C a 34.013 17.862 ) + ( M n C a 95.052 71.053 ) + ( Z n C a 23.796 15.013 ) ] ] × 1 12
I M g = [ [ ( M g N 0.303 0.132 ) + ( M g N a 41.094 16.650 ) + ( M g S 2.424 0.836 ) + ( M g C l 0.768 0.337 ) + ( M g B 0.015 0.009 ) + ( M g C u 0.145 0.085 ) + ( M g Z n 0.017 0.009 ) ] [ ( P M g 0.231 0.124 ) + ( K M g 3.117 1.571 ) + ( C a M g 3.344 0.834 ) + ( F e M g 106.796 40.603 ) + ( M n M g 321.806 245.416 ) ] ] × 1 12
I N a = [ [ ( N a P 0.133 0.052 ) + ( N a C a 0.009 0.005 ) + ( N a S 0.063 0.025 ) + ( N a C l 0.022 0.015 ) + ( N a B 0.0004 0.0002 ) + ( N a C u 0.004 0.002 ) + ( N a M n 0.0001 0.0001 ) + ( N a Z n 0.0004 0.0002 ) ] [ ( N N a 149.086 69.838 ) + ( K N a 115.132 51.830 ) + ( M g N a 41.094 16.650 ) + ( F e N a 4104.84 1700.294 ) ] ] × 1 12
I S =     [ [ ( S C a 0.157 0.098 ) + ( S C l 0.364 0.233 ) + ( S B 0.007 0.006 ) + ( S C u 0.059 0.028 ) + ( S F e 0.005 0.002 ) + ( S Z n 0.007 0.003 ) ] [ ( N S 8.468 1.891 ) + ( P S 0.489 0.096 ) + ( K S 6.478 1.720 ) + ( M g S 2.424 0.836 ) + ( N a S 0.063 0.025 ) + ( M n S 821.265 717.909 ) ] ] × 1 12
I C l =   [ [ ( C l B 0.020 0.012 ) + ( C l C u 0.232 0.177 ) + ( C l M n 0.008 0.007 ) ] [ ( N C l 3.169 2.322 ) + ( P C l 0.184 0.161 ) + ( K C l 2.467 1.977 ) + ( C a C l 2.387 0.762 ) + ( M g C l 0.768 0.337 ) + ( N a C l 0.022 0.015 ) + ( S C l 0.364 0.233 ) + ( F e C l 82.127 49.408 ) + ( Z n C l 54.806 37.647 ) ] ] × 1 12
I B =     [ [ ( B C u 12.422 8.851 ) + ( B Z n 1.461 1.061 ) ] [ ( N B 0.060 0.046 ) + ( P B 0.003 0.003 ) + ( K B 0.044 0.035 ) + ( C a B 0.046 0.026 ) + ( M g B 0.015 0.009 ) + ( N a B 0.0004 0.0002 ) + ( S B 0.007 0.006 ) + ( C l B 0.020 0.012 ) + ( F e B 1.453 0.915 ) + ( M n B 3.824 2.735 ) ] ] × 1 12
I C u = [ ( N C u 0.495 0.210 ) + ( P C u 0.028 0.0121 ) + ( K C u 0.370 0.165 ) + ( C a C u 0.510 0.339 ) + ( M g C u 0.145 0.085 ) + ( N a C u 0.004 0.002 ) + ( S C u 0.059 0.028 ) + ( C l C u 0.232 0.177 ) + ( B C u 12.442 8.851 ) + ( F e C u 15.117 7.301 ) + ( M n C u 46.064 42.338 ) + ( Z n C u 9.448 5.431 ) ] × 1 12
I F e = [ [ ( F e K 39.798 15.495 ) + ( F e C a 34.013 17.862 ) + ( F e M g 106.796 40.603 ) + ( F e N a 4104.84 1700.294 ) + ( F e C l 82.127 49.408 ) + ( F e B 1.453 0.915 ) + ( F e C u 15.117 7.301 ) + ( F e M n 0.487 0.354 ) + ( F e Z n 1.727 0.788 ) ] [ ( N F e 0.039 0.015 ) + ( P F e 0.002 0.001 ) + ( S F e 0.005 0.002 ) ] ] × 1 12
I M n = [ [ ( M n N 80.44 63.845 ) + ( M n P 1689.81 1398.1 ) + ( M n K 135.82 122.74 ) + ( M n C a 95.052 71.053 ) + ( M n M g 321.806 245.416 ) + ( M n S 821.265 717.909 ) + ( M n B 3.824 2.735 ) + ( M n C u 46.064 42.338 ) + ( M n Z n 4.455 3.675 ) ] [ ( N a M n 0.0001 0.0001 ) + ( C l M n 0.008 0.007 ) + ( F e M n 0.487 0.354 ) ] ] × 1 12
I Z n = [ [ ( Z n P 353.202 147.619 ) + ( Z n C a 23.796 15.013 ) + ( Z n C l 54.806 37.647 ) + ( Z n C u 9.448 5.431 ) ] [ ( N Z n 0.057 0.024 ) + ( K Z n 0.045 0.023 ) + ( M g Z n 0.017 0.009 ) + ( N a Z n 0.0004 0.0002 ) + ( S Z n 0.007 0.003 ) + ( B Z n 1.461 1.061 ) + ( F e Z n 1.727 0.788 ) + ( M n Z n 4.455 3.675 ) ] ] × 1 12
Table 3. Mean values and standard deviation (SD) of the foliar nutrient concentration in the different phenological stages for persimmon fruit PDO ‘Kaki Ribera del Xúquer’, Spain.
Table 3. Mean values and standard deviation (SD) of the foliar nutrient concentration in the different phenological stages for persimmon fruit PDO ‘Kaki Ribera del Xúquer’, Spain.
After FloweringFruit EnlargementFruit ColouringHarvesting
MeanSDMeanSDMeanSDMeanSD
N (%)2.10 d0.171.93 c0.151.70 b0.191.42 a0.12
P (%)0.135 c0.0110.104 b0.0060.100 b0.0140.084 a0.007
K (%)1.62 d0.271.44 c0.181.38 b0.341.07 a0.25
Ca (%)0.75 a0.271.75 b0.242.62 c0.602.45 c0.25
Mg (%)0.31 a0.080.54 b0.090.66 c0.160.65 c0.11
Na (%)0.011 a0.0030.014 b0.0040.018 c0.0050.015 bc0.003
S (%)0.22 d0.030.24 c0.040.21 bc0.040.19 a0.03
Cl (%)0.30 a0.140.72 b0.131.24 c0.181.20 c0.15
B (ppm)39.80 a20.0832.81 a12.6258.00 b18.4462.27 c32.74
Cu (ppm)5.53 c2.353.79 b1.603.04 ab1.103.53 a1.49
Fe (ppm)42.80 a10.4250.19 b13.7662.14 c13.5964.73 c15.20
Mn (ppm)208.3 b144.8126.0 a122.1192.5 a133.5253.4 c127.7
Zn (ppm)30.70 a10.9738.67 b13.3938.16 b11.2636.46 b11.57
The means with different letters in the same row indicate significant differences among the different phenological stages (p < 0.05).
Table 4. Nutrient optimal range (NOR) in the AF stage of persimmon fruit in PDO ‘Kaki Ribera del Xúquer’, Spain.
Table 4. Nutrient optimal range (NOR) in the AF stage of persimmon fruit in PDO ‘Kaki Ribera del Xúquer’, Spain.
After Flowering (AF)
DeficientLowOptimumHighExcessive
N (%)≤1.8781.879–1.9891.990–2.2112.212–2.322≥2.323
P (%)≤0.1200.121–0.1270.128–0.1430.144–0.150≥0.151
K (%)≤1.2631.264–1.4421.443–1.8021.803–1.982≥1.983
Ca (%)≤0.3860.387–0.5700.571–0.9390.940–1.22≥1.123
Mg (%)≤0.2000.201–0.2530.254–0.3610.362–0.415≥0.416
Na (%)≤0.0070.008–0.0090.010–0.0130.014–0.015≥0.016
S (%)≤0.1770.178–0.2000.201–0.2470.248–0.269≥0.270
Cl (%)≤0.4910.492–0.2030.204–0.3960.397–0.492≥0.493
B (ppm)≤13.0713.08–26.4326.44–53.1653.17–66.52≥66.53
Cu (ppm)≤2.392.40–3.963.97–7.107.11–8.66≥8.67
Fe (ppm)≤28.9028.91–35.8535.86–49.7549.76–56.70≥56.71
Mn (ppm)≤15.1915.20–111.75111.76–304.89304.90–401.45≥401.46
Zn (ppm)≤16.0716.08–23.3823.39–38.0138.02–45.32≥44.33
Table 5. Nutrient optimal range (NOR) in the FE stage of persimmon fruit in PDO ‘Kaki Ribera del Xúquer’, Spain.
Table 5. Nutrient optimal range (NOR) in the FE stage of persimmon fruit in PDO ‘Kaki Ribera del Xúquer’, Spain.
Fruit Enlargement (FE)
DeficientLowOptimumHighExcessive
N (%)≤1.7231.724–1.8261.827–2.0332.034–2.136≥2.137
P (%)≤0.0940.095–0.0990.100–0.1090.110–0.114≥0.115
K (%)≤1.1981.199–1.3181.319–1.5591.560–1.679≥1.680
Ca (%)≤1.4371.438–1.5951.596–1.9111.912–2.069≥2.070
Mg (%)≤0.4180.419–0.4800.481–0.6040.605–0.666≥0.667
Na (%)≤0.0080.009–0.0100.011–0.0170.018–0.020≥0.021
S (%)≤0.1870.188–0.2140.215–0.2690.270–0.296≥0.297
Cl (%)≤0.5430.544–0.6300.631–0.8050.806–0.892≥0.893
B (ppm)≤15.9715.98–24.3824.39–41.2341.24–49.65≥49.66
Cu (ppm)≤1.651.66–2.722.73–4.864.87–5.93≥5.94
Fe (ppm)≤31.9731.98–41.0741.08–59.3059.31–68.41≥68.42
Mn (ppm)≤0.000.00–44.6744.68–207.42207.43–288.79≥288.80
Zn (ppm)≤20.8120.82–29.7329.74–47.5947.60–56.52≥56.53
Table 6. Nutrient optimal range (NOR) in the FC of persimmon fruit in PDO ‘Kaki Ribera del Xúquer’, Spain.
Table 6. Nutrient optimal range (NOR) in the FC of persimmon fruit in PDO ‘Kaki Ribera del Xúquer’, Spain.
Fruit Colouring (FC)
DeficientLowOptimumHighExcessive
N (%)≤1.4471.448–1.5711.572–1.8211.822–1.945≥1.946
P (%)≤0.0800.081–0.0900.091–0.1100.111–0.119≥0.120
K (%)≤0.9170.918–1.1471.148–1.6071.608–1.837≥1.838
Ca (%)≤1.8111.812–2.2142.215–3.0203.021–3.423≥3.424
Mg (%)≤0.4410.442–0.5500.551–0.7700.771–0.879≥0.880
Na (%)≤0.0100.0114–0.0130.014–0.0210.022–0.024≥0.025
S (%)≤0.1540.155–0.1840.185–0.2440.245–0.274≥0.275
Cl (%)≤1.0011.002–1.1211.122–1.3621.363–1.483≥1.484
B (ppm)≤33.4133.42–45.7045.71–70.3070.31–82.59≥82.60
Cu (ppm)≤1.561.57–2.292.30–3.773.78–4.51≥4.52
Fe (ppm)≤44.0244.03–53.0853.09–71.2171.22–80.27≥80.28
Mn (ppm)≤14.4614.47–103.46103.47–281.47281.8–370.47≥370.48
Zn (ppm)≤23.4123.15–30.6530.66–45.6745.68–53.17≥53.18
Table 7. Nutrient optimal range (NOR) at HV stage of persimmon fruit in PDO ‘Kaki Ribera del Xúquer’, Spain.
Table 7. Nutrient optimal range (NOR) at HV stage of persimmon fruit in PDO ‘Kaki Ribera del Xúquer’, Spain.
Harvest (HV)
DeficientLowOptimumHighExcessive
N (%)≤1.2561.257–1.3381.339–1.5031.504–1.585≥1.586
P (%)≤0.0730.074–0.0780.079–0.0890.090–0.094≥0.095
K (%)≤0.7370.738–0.9040.905–1.2401.241–1.407≥1.408
Ca (%)≤2.1112.112–2.2782.279–2.6142.615–2.781≥2.782
Mg (%)≤0.5080.509–0.5780.579–0.7200.721–0.790≥0.791
Na (%)≤0.0100.011–0.0120.013–0.0170.018–0.019≥0.020
S (%)≤0.1490.150–0.1690.170–0.2110.212–0.231≥0.232
Cl (%)≤0.9920.993–1.0951.096–1.3021.303–1.405≥1.406
B (ppm)≤25.6125.62–47.4347.44–91.0991.10–112.92≥113.93
Cu (ppm)≤1.531.54–2.522.56–4.524.53–5.51≥5.52
Fe (ppm)≤44.4644.47–54.5954.60–74.8774.88–85.00≥85.01
Mn (ppm)≤83.2083.21–168.31168.32–338.54338.55–423.66≥423.67
Zn (ppm)≤21.0321.04–28.7428.75–44.1744.18–51.89≥51.90
Table 8. Nutrient Balance Index (NBI) in the different phenological stages of ‘Rojo Brillante’ persimmon.
Table 8. Nutrient Balance Index (NBI) in the different phenological stages of ‘Rojo Brillante’ persimmon.
AFFEFCHV
<40 t·ha−1FL × V15.66 d4.29 a6.34 b9.84 c
FL × F12.54 c4.55 a6.12 a8.88 b
D × V15.26 c4.39 a6.99 ab9.61 b
D × F10.98 b4.64 a6.77 ab8.48 ab
>40 t·ha−1FL × V15.24 c5.94 a8.54 ab11.09 b
FL × F12.06 b5.59 a7.54 a8.04 a
D × V11.76 a6.57 a9.84 a8.79 a
D × F7.85 ab5.48 a5.61 a9.60 b
A: Irrigationnsnsnsns
B:Sprout *nsnsns
C: Yield ns*nsns
AB nsnsnsns
AB nsnsnsns
BC nsnsnsns
ABC nsnsnsns
The means with different letters in the same row indicate significant differences among the different phenological stages [AF, FE, FC and HV] due to the evaluated factors [(irrigation system (A), flush type (B) and yield (C)].ns denotes there is not significant differences and * indicates significant differences at p < 0.05.
Publisher’s Note: MDPI stays neutral with regard to jurisdictional claims in published maps and institutional affiliations.

Share and Cite

MDPI and ACS Style

Morales, J.; Rodríguez-Carretero, I.; Martínez-Alcántara, B.; Canet, R.; Quiñones, A. DRIS Norms and Sufficiency Ranges for Persimmon ‘Rojo Brillante’ Grown under Mediterranean Conditions in Spain. Agronomy 2022, 12, 1269. https://doi.org/10.3390/agronomy12061269

AMA Style

Morales J, Rodríguez-Carretero I, Martínez-Alcántara B, Canet R, Quiñones A. DRIS Norms and Sufficiency Ranges for Persimmon ‘Rojo Brillante’ Grown under Mediterranean Conditions in Spain. Agronomy. 2022; 12(6):1269. https://doi.org/10.3390/agronomy12061269

Chicago/Turabian Style

Morales, Julia, Isabel Rodríguez-Carretero, Belen Martínez-Alcántara, Rodolfo Canet, and Ana Quiñones. 2022. "DRIS Norms and Sufficiency Ranges for Persimmon ‘Rojo Brillante’ Grown under Mediterranean Conditions in Spain" Agronomy 12, no. 6: 1269. https://doi.org/10.3390/agronomy12061269

APA Style

Morales, J., Rodríguez-Carretero, I., Martínez-Alcántara, B., Canet, R., & Quiñones, A. (2022). DRIS Norms and Sufficiency Ranges for Persimmon ‘Rojo Brillante’ Grown under Mediterranean Conditions in Spain. Agronomy, 12(6), 1269. https://doi.org/10.3390/agronomy12061269

Note that from the first issue of 2016, this journal uses article numbers instead of page numbers. See further details here.

Article Metrics

Back to TopTop