Application of Artificial Neural Networks Sensitivity Analysis for the Pre-Identification of Highly Significant Factors Influencing the Yield and Digestibility of Grassland Sward in the Climatic Conditions of Central Poland
Abstract
:1. Introduction
2. Materials and Methods
2.1. Research Site
2.2. Botanical Composition of Meadow Sward
2.3. Herbage Sampling and Analysis
2.4. Weather Conditions
2.5. Organisation and Division of Experimental Data
2.6. Deterministic Models—Construction Methodology
2.7. Neural Networks—Sensitivity Analysis
3. Results
3.1. Neural Network Sensitivity Analysis—Summary
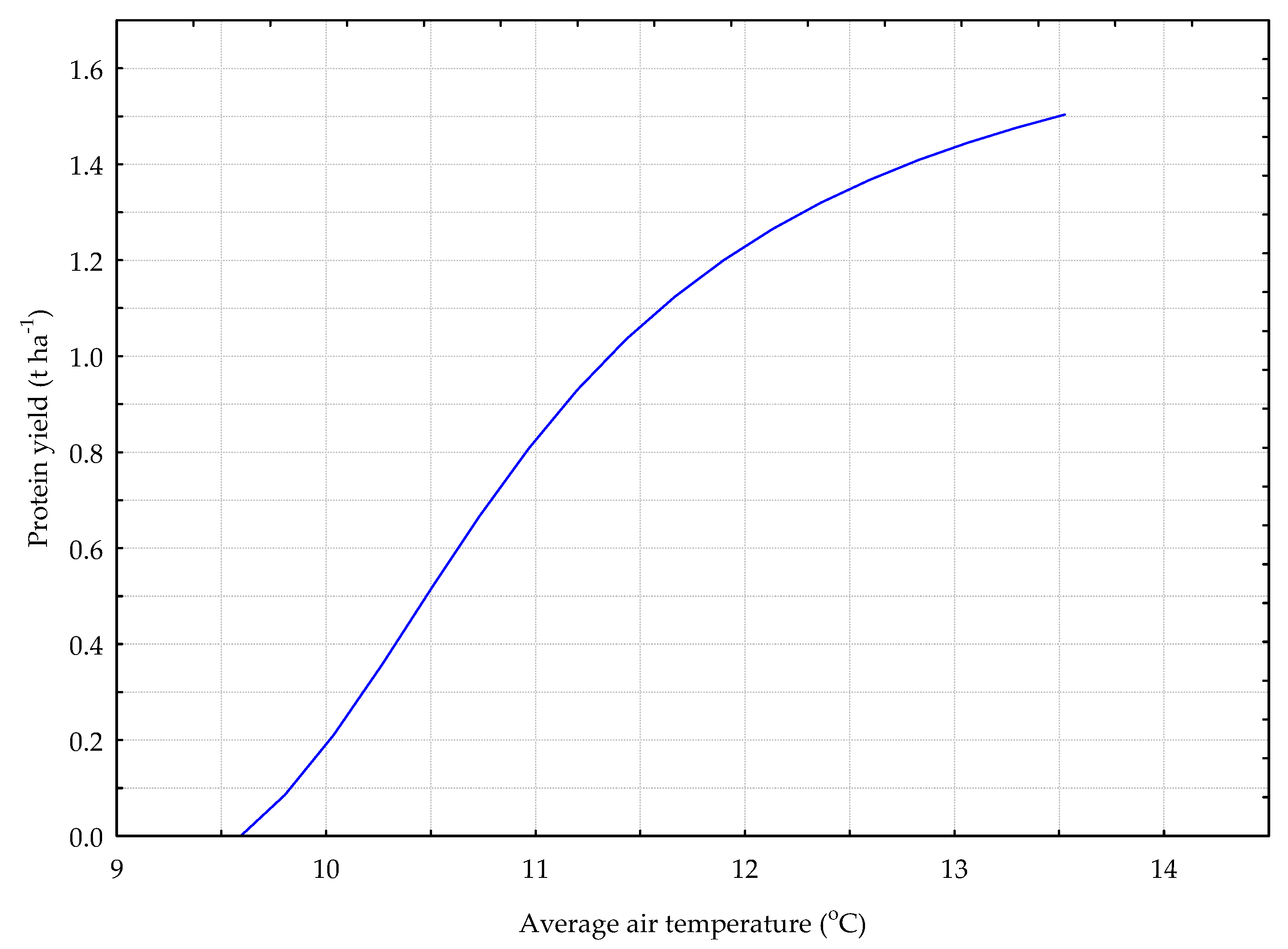
3.2. Response Charts for the Most Significant Variables
3.3. Comparison of Qualitative Parameters of Generated Models
4. Discussion
5. Conclusions
- The deterministic models developed and verified in our experiment enabled the implementation of the aim of the study set in this paper. This means that artificial neural networks can be used to pre-identify highly significant factors affecting the yield and digestibility of grassland sward in the climatic conditions of central Poland.
- The analysis of the sensitivity of a neural network enables the preliminary selection of factors with the greatest influence on the dependent (output) variable, while maintaining the assumed level of significance.
- The average daily air temperature (T_AV) is usually the factor with the greatest influence on the tested output variables: dry matter digestibility, dry matter yield, and protein yield, regardless of the species composition of the sward. The total rainfall (PREC_S) and the percentage of legumes were also significant factors.
- Future research on the improvement of deterministic models in grassland production should concentrate on several aspects. First, it is necessary to analyse in detail the influence of other equally important independent variables, which are usually expressed in a linguistic form. Second, other analytical methods enabling the optimization of significant (controllable) production factors should also be used, because they considerably affect the quality and quantity of the yield of grassland sward.
Author Contributions
Funding
Institutional Review Board Statement
Informed Consent Statement
Data Availability Statement
Conflicts of Interest
References
- Hopkins, A.; Wilkins, R.J. Temperate grassland: Key developments in the last century and future perspectives. J. Agric. Sci. 2006, 144, 503–523. [Google Scholar] [CrossRef]
- O’Mara, F.P. The role of grasslands in food security and climate change. Ann. Bot. 2012, 110, 1263–1270. [Google Scholar] [CrossRef] [Green Version]
- Eurostat Overview—Agriculture-Eurostat. Available online: https://ec.europa.eu/eurostat/web/agriculture/overview (accessed on 27 October 2021).
- Statistics Poland. Production of agricultural and horticultural crops in 2019. Available online: https://stat.gov.pl/files/gfx/portalinformacyjny/pl/defaultaktualnosci/5509/9/18/1/produkcja_upraw_rolnych_i_ogrodniczych_w_2019_r..pdf (accessed on 6 January 2022).
- Olesen, J.E.; Bindi, M. Consequences of climate change for European agricultural productivity, land use and policy. Eur. J. Agron. 2002, 16, 239–262. [Google Scholar] [CrossRef]
- Bengtsson, J.; Bullock, J.M.; Egoh, B.; Everson, C.; Everson, T.; O’Connor, T.; O’Farrell, P.J.; Smith, H.G.; Lindborg, R. Grasslands—More important for ecosystem services than you might think. Ecosphere 2019, 10, e02582. [Google Scholar] [CrossRef]
- Sollenberger, L.E.; Kohmann, M.M.; Dubeux, J.C.B.; Silveira, M.L. Grassland management affects delivery of regulating and supporting ecosystem services. Crop Sci. 2019, 59, 441–459. [Google Scholar] [CrossRef]
- Zhao, Y.; Liu, Z.; Wu, J. Grassland ecosystem services: A systematic review of research advances and future directions. Landsc. Ecol. 2020, 35, 793–814. [Google Scholar] [CrossRef]
- Gabryszuk, M.; Barszczewski, J.; Wróbel, B. Characteristics of grasslands and their use in Poland. J. Water L. Dev. 2021, 51, 243–249. [Google Scholar] [CrossRef]
- Gibon, A. Managing grassland for production, the environment and the landscape. Challenges at the farm and the landscape level. Livest. Prod. Sci. 2005, 96, 11–31. [Google Scholar] [CrossRef]
- Paszkiewicz-Jasińska, A.; Steinhoff-Wrześniewska, A. Natural and landscape values of distinguished meadow-pasture communities in Kłodzko country. J. Res. Appl. Agric. Eng. 2017, 62, 75–80. [Google Scholar]
- Boval, M.; Dixon, R.M. The importance of grasslands for animal production and other functions: A review on management and methodological progress in the tropics. Animal 2012, 6, 748–762. [Google Scholar] [CrossRef] [Green Version]
- Yates, S.; Jaškūnė, K.; Liebisch, F.; Nagelmüller, S.; Kirchgessner, N.; Kölliker, R.; Walter, A.; Brazauskas, G.; Studer, B. Phenotyping a dynamic trait: Leaf growth of perennial ryegrass under water limiting conditions. Front. Plant Sci. 2019, 10, 344. [Google Scholar] [CrossRef]
- Wingler, A.; Hennessy, D. Limitation of grassland productivity by low temperature and seasonality of growth. Front. Plant Sci. 2016, 7, 1130. [Google Scholar] [CrossRef] [Green Version]
- Chang, J.; Viovy, N.; Vuichard, N.; Ciais, P.; Campioli, M.; Klumpp, K.; Martin, R.; Leip, A.; Soussana, J.F. Modeled changes in potential grassland productivity and in grass-fed ruminant livestock density in Europe over 1961–2010. PLoS ONE 2015, 10, e0127554. [Google Scholar] [CrossRef] [Green Version]
- Zielewicz, W.; Swędrzyński, A.; Dobrzyński, J.; Swędrzyńska, D.; Kulkova, I.; Wierzchowski, P.; Wróbel, B. Effect of forage plant mixture and biostimulants application on the yield, changes of botanical composition, and microbiological soil activity. Agron. 2021, 11, 1786. [Google Scholar] [CrossRef]
- Pelletier, S.; Tremblay, G.F.; Bélanger, G.; Bertrand, A.; Castonguay, Y.; Pageau, D.; Drapeau, R. Forage nonstructural carbohydrates and nutritive value as affected by time of cutting and species. Agron. J. 2010, 102, 1388–1398. [Google Scholar] [CrossRef]
- Poetsch, E.; Resch, R.; Krautzer, B. Variability of forage quality between and within three maturity groups of Lolium perenne L. during the first growth. Grassl. Sci. Eur. 2016, 21, 293–295. [Google Scholar]
- Rinne, M.; Nykänen, A. Timing of primary growth harvest affects the yield and nutritive value of timothy-red clover mixtures. Agric. Food Sci. Finl. 2000, 9, 121–134. [Google Scholar] [CrossRef]
- Capstaff, N.M.; Miller, A.J. Improving the yield and nutritional quality of forage crops. Front. Plant Sci. 2018, 9, 535. [Google Scholar] [CrossRef] [Green Version]
- Lee, M.A. A global comparison of the nutritive values of forage plants grown in contrasting environments. J. Plant Res. 2018, 131, 641–654. [Google Scholar] [CrossRef]
- Cantarel, A.A.M.; Bloor, J.M.G.; Soussana, J.-F. Four years of simulated climate change reduces above-ground productivity and alters functional diversity in a grassland ecosystem. J. Veg. Sci. 2013, 24, 113–126. [Google Scholar] [CrossRef]
- Hoffstätter-Müncheberg, M.; Merten, M.; Isselstein, J.; Kayser, M.; Wrage-Mönnig, N. Drought effects on herbage production of permanent grasslands in northern Germany. Grassl. Sci. Eur. 2014, 19, 106–108. [Google Scholar]
- Huyghe, C.; de Vliegher, A.; van Gils, B.; Peeters, A. Grasslands and Herbivore Production in Europe and Effects of Common Policies; Quae Editions: Versailles, France, 2014. [Google Scholar]
- Joyce, C.B. Ecological consequences and restoration potential of abandoned wet grasslands. Ecol. Eng. 2014, 66, 91–102. [Google Scholar] [CrossRef]
- Smit, H.J.; Metzger, M.J.; Ewert, F. Spatial distribution of grassland productivity and land use in Europe. Agric. Syst. 2008, 98, 208–219. [Google Scholar] [CrossRef]
- Kipling, R.P.; Bannink, A.; Bellocchi, G.; Dalgaard, T.; Fox, N.J.; Hutchings, N.J.; Kjeldsen, C.; Lacetera, N.; Sinabell, F.; Topp, C.F.E.; et al. Modeling European ruminant production systems: Facing the challenges of climate change. Agric. Syst. 2016, 147, 24–37. [Google Scholar] [CrossRef] [Green Version]
- Anders, I.; Stagl, J.; Auer, I.; Pavlik, D. Climate change in central and eastern Europe. In Managing Protected Areas in Central and Eastern Europe under Climate Change; Springer: Berlin/Heidelberg, Germany, 2014; Volume 58, pp. 17–30. [Google Scholar]
- Trnka, M.; Olesen, J.E.; Kersebaum, K.C.; Skjelvåg, A.O.; Eitzinger, J.; Seguin, B.; Peltonen-Sainio, P.; Rötter, R.; Iglesias, A.; Orlandini, S.; et al. Agroclimatic conditions in Europe under climate change. Glob. Chang. Biol. 2011, 17, 2298–2318. [Google Scholar] [CrossRef] [Green Version]
- Raich, J.W.; Tufekciogul, A. Vegetation and soil respiration: Correlations and controls. Biogeochemistry 2000, 48, 71–90. [Google Scholar] [CrossRef]
- Höglind, M.; Thorsen, S.; Semenov, M. Assessing Uncertainties in Impact of Climate Change on Grass Production in Northern Europe Using Ensembles of Global Climate Models; Elsevier: Amsterdam, The Netherlands, 2013; Volume 170, pp. 103–113. [Google Scholar]
- Van Oijen, M.; Balkovi, J.; Beer, C.; Cameron, D.R.; Ciais, P.; Cramer, W.; Kato, T.; Kuhnert, M.; Martin, R.; Myneni, R.; et al. Impact of droughts on the carbon cycle in European vegetation: A probabilistic risk analysis using six vegetation models. Biogeosciences 2014, 11, 6357–6375. [Google Scholar] [CrossRef] [Green Version]
- Thumm, U.; Tonn, B. Effect of precipitation on dry matter production of a meadow with varied cutting frequency. Grassl. Sci. Eur. 2010, 15, 90–92. [Google Scholar]
- Li, Q.; Hou, J.; Yan, P.; Xu, L.; Chen, Z.; Yang, H.; He, N. Regional response of grassland productivity to changing environment conditions influenced by limiting factors. PLoS ONE 2020, 15, e0240238. [Google Scholar] [CrossRef]
- Łabędzki, L. Actions and measures for mitigation drought and water scarcity in agriculture. J. Water L. Dev. 2016, 29, 3–10. [Google Scholar] [CrossRef] [Green Version]
- Kaca, E.; Łabędzki, L.; Lubbe, I. Gospodarowanie wodą w rolnictwie w obliczu ekstremalnych zjawisk pogodowych. Postępy Nauk Rol. 2011, 1, 37–49. [Google Scholar]
- Goliński, P.; Czerwiński, M.; Jørgensen, M.; Mølmann, J.A.B.; Golińska, B.; Taff, G. Relationship between climate trends and grassland yield across contrasting European locations. Open Life Sci. 2018, 13, 589–598. [Google Scholar] [CrossRef]
- Goliński, P.; Czerwinski, M.; Golińska, B. Effect of climate change in 50-years period on grassland productivity in central Poland. In Sustainable Use of Grassland Resources for Forage Production, Biodiversity and Environmental Protection, International Grassland Congress; Roy, A.K., Kumar, R.V., Agrawal, R.K., Mahanta, S.K., Singh, J.B., Das, M.M., Al, E., Eds.; Rangeland Management Society of India: New Delhi, India, 2015; pp. 9–286. [Google Scholar]
- Knapp, A.; Smith, M. Variation among biomes in temporal dynamics of aboveground primary production. Science 2001, 291, 481–484. [Google Scholar] [CrossRef] [Green Version]
- Hlavinka, P.; Trnka, M.; Semerádová, D.; Dubrovský, M.; Žalud, Z.; Možný, M. Effect of drought on yield variability of key crops in Czech Republic. Agric. For. Meteorol. 2009, 149, 431–442. [Google Scholar] [CrossRef]
- Staniak, M.; Kocoń, A. Forage grasses under drought stress in conditions of Poland. Acta Physiol. Plant. 2015, 37, 116. [Google Scholar] [CrossRef] [Green Version]
- Čimo, J.; Šinka, K.; Tárník, A.; Aydin, E.; Kišš, V.; Toková, L. Impact of climate change on vegetation period of basic species of vegetables in Slovakia. J. Water L. Dev. 2020, 47, 38–46. [Google Scholar] [CrossRef]
- Hara, P.; Piekutowska, M.; Niedbała, G. Selection of independent variables for crop yield prediction using artificial neural network models with remote sensing data. Land 2021, 10, 609. [Google Scholar] [CrossRef]
- Piekutowska, M.; Niedbała, G.; Piskier, T.; Lenartowicz, T.; Pilarski, K.; Wojciechowski, T.; Pilarska, A.A.; Czechowska-Kosacka, A. The application of multiple linear regression and artificial neural network models for yield prediction of very early potato cultivars before harvest. Agronomy 2021, 11, 885. [Google Scholar] [CrossRef]
- Niedbała, G. Simple model based on artificial neural network for early prediction and simulation winter rapeseed yield. J. Integr. Agric. 2019, 18, 54–61. [Google Scholar] [CrossRef] [Green Version]
- Kujawa, S.; Dach, J.; Kozłowski, R.J.; Przybył, K.; Niedbała, G.; Mueller, W.; Tomczak, R.J.; Zaborowicz, M.; Koszela, K. Maturity classification for sewage sludge composted with rapeseed straw using neural image analysis. In Proceedings of the SPIE—Eighth International Conference on Digital Image Processing (ICDIP 2016), Chengu, China, 20–22 May 2016; Volume 10033, p. 100332H. [Google Scholar] [CrossRef]
- Wojciechowski, T.; Niedbala, G.; Czechlowski, M.; Nawrocka, J.R.; Piechnik, L.; Niemann, J. Rapeseed seeds quality classification with usage of VIS-NIR fiber optic probe and artificial neural networks. In Proceedings of the 2016 International Conference on Optoelectronics and Image Processing, ICOIP, Warsaw, Poland, 10–12 June 2016. [Google Scholar] [CrossRef]
- Li, Y.; Chao, X. ANN-based continual classification in agriculture. Agriculture 2020, 10, 178. [Google Scholar] [CrossRef]
- Walczak, S. Artificial neural networks. In Advanced Methodologies and Technologies in Artificial Intelligence, Computer Simulation, and Human-Computer Interaction; IGI Global: Hershey, PA, USA, 2019; pp. 40–53. [Google Scholar]
- Khoshroo, A.; Emrouznejad, A.; Ghaffarizadeh, A.; Kasraei, M.; Omid, M. Sensitivity analysis of energy inputs in crop production using artificial neural networks. J. Clean. Prod. 2018, 197, 992–998. [Google Scholar] [CrossRef]
- Heskes, T.M.; Kappen, B. Learning processes in neural networks. Phys. Rev. A 1991, 44, 2718–2726. [Google Scholar] [CrossRef] [PubMed] [Green Version]
- Tu, J.V. Advantages and disadvantages of using artificial neural networks versus logistic regression for predicting medical outcomes. J. Clin. Epidemiol. 1996, 49, 1225–1231. [Google Scholar] [CrossRef]
- Tan, S.S.; Smeins, F.E. Predicting grassland community changes with an artificial neural network model. Ecol. Modell. 1996, 84, 91–97. [Google Scholar] [CrossRef]
- Majkovič, D.; O’Kiely, P.; Kramberger, B.; Vračko, M.; Turk, J.; Pažek, K.; Rozman, Č. Comparison of using regression modeling and an artificial neural network for herbage dry matter yield forecasting. J. Chemom. 2016, 30, 203–209. [Google Scholar] [CrossRef]
- Taravat, A.; Wagner, M.; Oppelt, N. Automatic grassland cutting status detection in the context of spatiotemporal sentinel-1 imagery analysis and artificial neural networks. Remote Sens. 2019, 11, 711. [Google Scholar] [CrossRef] [Green Version]
- Li, K.-Y.; Burnside, N.G.; Sampaio de Lima, R.; Villoslada Peciña, M.; Sepp, K.; Yang, M.-D.; Raet, J.; Vain, A.; Selge, A.; Sepp, K. The application of an unmanned aerial system and machine learning techniques for red clover-grass mixture yield estimation under variety performance trials. Remote Sens. 2021, 13, 1994. [Google Scholar] [CrossRef]
- Xu, K.; Su, Y.; Liu, J.; Hu, T.; Jin, S.; Ma, Q.; Zhai, Q.; Wang, R.; Zhang, J.; Li, Y.; et al. Estimation of degraded grassland aboveground biomass using machine learning methods from terrestrial laser scanning data. Ecol. Indic. 2020, 108, 105747. [Google Scholar] [CrossRef]
- El Hajj, M.; Baghdadi, N.; Zribi, M.; Belaud, G.; Cheviron, B.; Courault, D.; Charron, F. Soil moisture retrieval over irrigated grassland using X-band SAR data. Remote Sens. Environ. 2016, 176, 202–218. [Google Scholar] [CrossRef] [Green Version]
- Zhu, Y.; Liu, K.; Liu, L.; Myint, S.; Wang, S.; Liu, H.; He, Z. Exploring the potential of worldview-2 red-edge band-based vegetation indices for estimation of mangrove leaf area index with machine learning algorithms. Remote Sens. 2017, 9, 1060. [Google Scholar] [CrossRef] [Green Version]
- Buckland, C.E.; Bailey, R.M.; Thomas, D.S.G. Using artificial neural networks to predict future dryland responses to human and climate disturbances. Sci. Rep. 2019, 9, 3855. [Google Scholar] [CrossRef] [PubMed] [Green Version]
- Marino, S.; Hogue, I.B.; Ray, C.J.; Kirschner, D.E. A methodology for performing global uncertainty and sensitivity analysis in systems biology. J. Theor. Biol. 2008, 254, 178–196. [Google Scholar] [CrossRef] [PubMed] [Green Version]
- Cariboni, J.; Gatelli, D.; Liska, R.; Saltelli, A. The role of sensitivity analysis in ecological modelling. Ecol. Modell. 2007, 203, 167–182. [Google Scholar] [CrossRef]
- Klapp, R. Łąki I Pastwiska; PWRiL: Warszawa, Poland, 1962. [Google Scholar]
- Selyaninov, G.T. Methods of Agricultural Climatology. Agric. Meteorol. 1930, 22L. [Google Scholar]
- Gumiński, R. Próba wydzielenia dzielnic rolniczo-klimatycznych w Polsce. Prz. Meteorol. Hydrol. 1948, 1, 7–20. [Google Scholar]
- TIBCO Statistica® Automated Neural Networks. Available online: https://community.tibco.com/wiki/tibco-statistica-automated-neural-networks (accessed on 15 December 2021).
- Bhojani, S.H.; Bhatt, N. Wheat crop yield prediction using new activation functions in neural network. Neural Comput. Appl. 2020, 32, 13941–13951. [Google Scholar] [CrossRef]
- Niedbała, G. Application of Artificial Neural Networks for Multi-Criteria Yield Prediction of Winter Rapeseed. Sustainability 2019, 11, 533. [Google Scholar] [CrossRef] [Green Version]
- Nourani, V.; Sayyah Fard, M. Sensitivity analysis of the artificial neural network outputs in simulation of the evaporation process at different climatologic regimes. Adv. Eng. Softw. 2012, 47, 127–146. [Google Scholar] [CrossRef]
- Brereton, A.J.; Danielov, S.A.; Scott, T.D. Agrometeorology of Grass and Grasslands for Middle Latitudes. Available online: https://agris.fao.org/agris-search/search.do?recordID=XF9766146 (accessed on 22 October 2021).
- Han, D.; O’Kiely, P.; Research, D.S.-I. Linear models for the dry matter yield of the primary growth of a permanent grassland pasture. Irish J. Agric. food Res. 2003, 42, 17–38. [Google Scholar]
- Thornley, J.H.M. Grassland Dynamics: An Ecosystem Simulation Model. Available online: https://www.worldcat.org/title/grassland-dynamics-an-ecosystem-simulation-model/oclc/37579388 (accessed on 22 October 2021).
- Jouven, M.; Carrère, P.; Baumont, R. Model predicting dynamics of biomass, structure and digestibility of herbage in managed permanent pastures. 1. Model description. Grass Forage Sci. 2006, 61, 112–124. [Google Scholar] [CrossRef]
- Johnson, I.R.; Chapman, D.F.; Snow, V.O.; Eckard, R.J.; Parsons, A.J.; Lambert, M.G.; Cullen, B.R. DairyMod and EcoMod: Biophysical pasture-simulation models for Australia and New Zealand. Aust. J. Exp. Agric. 2008, 48, 621–631. [Google Scholar] [CrossRef]
- Keating, B.A.; Carberry, P.S.; Hammer, G.L.; Probert, M.E.; Robertson, M.J.; Holzworth, D.; Huth, N.I.; Hargreaves, J.N.G.; Meinke, H.; Hochman, Z.; et al. An overview of APSIM, a model designed for farming systems simulation. Eur. J. Agron. 2003, 18, 267–288. [Google Scholar] [CrossRef] [Green Version]
- Soussana, J.-F.; Loiseau, P.; Vuichard, N.; Ceschia, E.; Balesdent, J.; Chevallier, T.; Arrouays, D. Carbon cycling and sequestration opportunities in temperate grasslands. Soil Use Manag. 2004, 20, 219–230. [Google Scholar] [CrossRef]
- Graux, A.I.; Gaurut, M.; Agabriel, J.; Baumont, R.; Delagarde, R.; Delaby, L.; Soussana, J.F. Development of the pasture simulation model for assessing livestock production under climate change. Agric. Ecosyst. Environ. 2011, 144, 69–91. [Google Scholar] [CrossRef]
- Hurtado-Uria, C.; Hennessy, D.; Shalloo, L.; Schulte, R.P.O.; Delaby, L.; O’Connor, D. Evaluation of three grass growth models to predict grass growth in Ireland. J. Agric. Sci. 2013, 151, 91–104. [Google Scholar] [CrossRef] [Green Version]
- Hurtado-Uria, C.; Hennessy, D.; Shalloo, L.; O’Connor, D.; Delaby, L. Relationships between meteorological data and grass growth over time in the south of Ireland. Irish Geogr. 2013, 46, 175–201. [Google Scholar] [CrossRef] [Green Version]
- Molga, M. Meteorologia Rolnicza: Podręcznik Dla Studentów Akademii Rolniczych; Państwowe Wydawnictwa Rolne i Leśne: Warszawa, Poland, 1983. [Google Scholar]
- Peacock, J.M. Temperature and Leaf Growth in Lolium perenne. III. Factors affecting seasonal differences. J. Appl. Ecol. 1975, 12, 685. [Google Scholar] [CrossRef]
- Nagelmüller, S.; Kirchgessner, N.; Yates, S.; Hiltpold, M.; Walter, A. Leaf Length Tracker: A novel approach to analyse leaf elongation close to the thermal limit of growth in the field. J. Exp. Bot. 2016, 67, 1897–1906. [Google Scholar] [CrossRef] [Green Version]
- Wilson, J.; Taylor, A.; Dolby, G.R. Temperature and atmospheric humidity effects on cell wall content and dry matter digestibility of some tropical and temperate grasses. N. Z. J. Agric. Res. 1976, 19, 41–46. [Google Scholar] [CrossRef]
- Żurek, J. Warunki termiczne wzrostu a strawność suchej masy stokłosy uniolowatej i kostrzewy trzcinowej. Zesz. Probl. Postępów Nauk Rol. 1998, 462, 49–56. [Google Scholar]
- Guo, Q.; Hu, Z.; Li, S.; Li, X.; Sun, X.; Yu, G. Spatial variations in aboveground net primary productivity along a climate gradient in Eurasian temperate grassland: Effects of mean annual precipitation and its seasonal distribution. Glob. Chang. Biol. 2012, 18, 3624–3631. [Google Scholar] [CrossRef]
- Nippert, J.B.; Knapp, A.K.; Briggs, J.M. Intra-annual rainfall variability and grassland productivity: Can the past predict the future? Plant Ecol. 2006, 184, 65–74. [Google Scholar] [CrossRef]
- Dai, A. Drought under global warming: A review. Wiley Interdiscip. Rev. Clim. Chang. 2011, 2, 45–65. [Google Scholar] [CrossRef] [Green Version]
- Gaweł, E. Influence of renovation of grassland on sward yields in the conditions of organic farming. J. Res. Appl. Agric. Eng. 2017, 62, 105–111. [Google Scholar]
- Chmura, K.; Chylinska, E.; Dmowski, Z.; Nowak, L. Rola czynnika wodnego w kształtowaniu plonu wybranych roślin polowych. Infrastrukt. i Ekol. Teren. Wiej. 2009, 9, 33–44. [Google Scholar]
- Wróbel, B.; Zielewicz, W. Chemical composition of green forage in relation to legume plant species and its share in the meadow sward. J. Res. Appl. Agric. Eng. 2018, 63, 131–136. [Google Scholar]
- Cherney, J.H.; Cherney, D.J.R. Legume forage quality. J. Crop Prod. 2002, 5, 261–284. [Google Scholar] [CrossRef]
- Broderick, G.A.; Brito, A.F.; Colmenero, J.O. Effects of feeding formate-treated alfalfa silage or red clover silage on the production of lactating dairy cows. J. Dairy Sci. 2007, 90, 1378–1391. [Google Scholar] [CrossRef]
- Brito, A.F.; Broderick, G.A.; Colmenero, J.O.; Reynal, S.A. Effects of feeding formate-treated alfalfa silage or red clover silage on omasal nutrient flow and microbial protein synthesis in lactating dairy cows. J. Dairy Sci. 2007, 90, 1392–1404. [Google Scholar] [CrossRef]
- Höjer, A.; Martinsson, K.; Jensen, S.K.; Gustavsson, A.M. Effect of botanical composition and harvest system of legume/grass silage on fatty acid, α-tocopherol and β-catoten concentration in organic forage and milk. NJF Rep. 2010, 6, 133–136. [Google Scholar]
- Zielewicz, W.; Wróbel, B.; Niedbała, G. Quantification of chlorophyll and carotene pigments content in mountain melick (Melica nutans L.) in relation to edaphic variables. Forests 2020, 11, 1197. [Google Scholar] [CrossRef]
- Sowiński, J.; Nowak, W.; Gospodarczyk, F.; Szyszkowska, A.; Krzywiecki, S. Zależność składu chemicznego zielonek od udziału koniczyny czerwonej i traw. Zesz. Probl. Postępów Nauk Rol. 1998, 462, 191–198. [Google Scholar]
- Staniak, M. Plonowanie i wartość paszowa mieszanek Festulolium braunii (Richt.) A. Camus z di-i tetraploidalnymi odmianami koniczyny łąkowej. Fragm. Agron. 2009, 26, 105–115. [Google Scholar]
- Parthasarathi, T.; Velu, G.; Jeyakumar, P. Impact of crop heat units on growth and developmental physiology of future crop production: A review. J. Crop Sci. Technol. 2013, 2, 2319–3395. [Google Scholar]
- Tsvetsinskaya, E.A.; Mearns, L.O.; Mavromatis, T.; Gao, W.; McDaniel, L.; Downton, M.W. The effect of spatial scale of climatic change scenarios on simulated maize, winter wheat, and rice production in the Southeastern United States. Issues Impacts Clim. Var. Chang. Agric. 2003, 60, 37–71. [Google Scholar] [CrossRef]
- Mueller, B.; Hauser, M.; Iles, C.; Rimi, R.; Zwier, F.; Wan, H. Lengthening of the growing season in wheat and maize producing regions. Weather Clim. Extrem. 2015, 9, 47–56. [Google Scholar] [CrossRef] [Green Version]
- Brown, R.A.; Rosenberg, N.J. Climate change impacts on the potential productivity of corn and winter wheat in their primary united states growing regions. Clim. Chang. 1999, 41, 73–107. [Google Scholar] [CrossRef]
- Marcinkowski, P.; Piniewski, M. Effect of climate change on sowing and harvest dates of spring barley and maize in Poland. Int. Agrophys. 2018, 32, 265–271. [Google Scholar] [CrossRef]
- Vogel, E.; Donat, M.; Alexander, L.; Meinshausen, M.; Ray, D.; Karoly, D.; Frieler, K. The effects of climate extremes on global agricultural yields. Environ. Res. Latters 2019, 14, 054010. [Google Scholar] [CrossRef]
- Lu, M.; AbouRizk, S.M.; Hermann, U.H. Sensitivity Analysis of Neural Networks in Spool Fabrication Productivity Studies. J. Comput. Civ. Eng. 2001, 15, 299–308. [Google Scholar] [CrossRef]
- Schober, P.; Boer, C.; Schwarte, L.A. Correlation coefficients. Anesth. Analg. 2018, 126, 1763–1768. [Google Scholar] [CrossRef]
- Mas, D.M.L.; Ahlfeld, D.P. Comparing artificial neural networks and regression models for predicting faecal coliform concentrations. Hydrol. Sci. J. 2007, 52, 713–731. [Google Scholar] [CrossRef]
- Hadzima-Nyarko, M.; Nyarko, E.K.; Morić, D. A neural network based modelling and sensitivity analysis of damage ratio coefficient. Expert Syst. Appl. 2011, 38, 13405–13413. [Google Scholar] [CrossRef]
- Farjam, A.; Omid, M.; Akram, A.F.N. A neural network based modeling and sensitivity analysis of energy inputs for predicting seed and grain corn yields. J. Agric. Sci. Technol. 2014, 16, 767–778. [Google Scholar]
- Kozłowski, R.J.; Kozłowski, J.; Przybył, K.; Niedbała, G.; Mueller, W.; Okoł, P.; Wojcieszak, D.; Koszela, K.; Kujawa, S. Image analysis techniques in the study of slug behaviour. In Proceedings of the SPIE—Eighth International Conference on Digital Image Processing (ICDIP 2016), Chengu, China, 20–22 May 2016; Volume 10033, p. 100332I. [Google Scholar] [CrossRef]
- Niedbała, G.; Piekutowska, M.; Weres, J.; Korzeniewicz, R.; Witaszek, K.; Adamski, M.; Pilarski, K.; Czechowska-Kosacka, A.; Krysztofiak-Kaniewska, A. Application of artificial neural networks for yield modeling of winter rapeseed based on combined quantitative and qualitative data. Agronomy 2019, 9, 781. [Google Scholar] [CrossRef] [Green Version]












| Year | Month | |||
|---|---|---|---|---|
| March | April | May | June | |
| 2014 | 1.82 (quite humid) | 1.45 (optimum) | 2.35 (humid) | 1.23 (quite dry) |
| 2015 | 1.00 (dry) | 1.62(quite humid) | 0.94 (dry) | 0.36 (extreme dry) |
| 2016 | 2.37 (very humid) | 1.27 (quite dry) | 0.65 (very dry) | 0.95 (dry) |
| Symbol | Variable Name | Unit of Measure | Data Range |
|---|---|---|---|
| Independent variable—network input | |||
| H_D | Harvest date | Number of days since the beginning of the year | 114–176 |
| T_AV | The average air temperature | °C | 7.94–13.5 |
| PREC_S | The sum of precipitation | mm | 46.23–223.26 |
| T_S | Sum of effective temperatures | °C | 331.80–1344.90 |
| %_G | Grasses | % | 49–79 |
| %_L | Fabaceae | % | 5–33 |
| %_HW | Herbs and Weeds | % | 6–43 |
| Dependent variable—network output | |||
| %_DMD | Dry matter digestibility | % | 17.05–73.73 |
| Y_DM | Dry matter yield | t∙ha−1 | 0.51–17.14 |
| P_Y | Protein yield | t∙ha−1 | 0.02–3.41 |
| Model | Number of Neurons | Network Learning Method * | |||
|---|---|---|---|---|---|
| Input | 1st Hidden Layer | 2nd Hidden Layer | Output | ||
| Y_G | 7 | 11 | 5 | 1 | BP100, CG57b |
| DIG_G | 7 | 11 | 8 | 1 | BP100, CG87b |
| P_G | 7 | 11 | 8 | 1 | BP100, CG58b |
| Y_GB | 7 | 11 | 5 | 1 | BP100, CG90b |
| DIG_GB | 7 | 6 | 4 | 1 | BP100, CG119b |
| P_GB | 7 | 11 | 7 | 1 | BP100, CG70b |
| Y_GC | 7 | 11 | 5 | 1 | BP100, CG62b |
| DIG_GC | 7 | 11 | 6 | 1 | BP100, CG50b |
| P_GC | 7 | 9 | 5 | 1 | BP100, CG113b |
| Model | Neural Networks Sensitivity Analysis | |||||
|---|---|---|---|---|---|---|
| Rank 1 | Rank 2 | Rank 3 | ||||
| Variable | Quotient | Variable | Quotient | Variable | Quotient | |
| Y_G | T_AV | 3.322 | T_S | 3.053 | PREC_S | 2.293 |
| DIG_G | T_AV | 1.946 | T_S | 1.828 | %_L | 1.518 |
| P_G | T_AV | 5.924 | T_S | 3.758 | %_L | 2.708 |
| Y_GB | T_AV | 2.155 | H_D | 1.403 | PREC_S | 1.351 |
| DIG_GB | T_AV | 2.830 | T_S | 2.172 | PREC_S | 1.359 |
| P_GB | PREC_S | 2.445 | T_S | 1.991 | T_AV | 1.885 |
| Y_GC | T_AV | 2.254 | T_S | 2.098 | PREC_S | 2.090 |
| DIG_GC | %_L | 1.707 | T_S | 1.610 | %_G | 1.388 |
| P_GC | T_AV | 4.816 | PREC_S | 3.899 | T_S | 2.435 |
| Model | Qualitative Parameter | ||||||
|---|---|---|---|---|---|---|---|
| Mean | Standard Deviation | Average Error | Deviation Error | Mean Absolute Error | Quotient Deviations | Correlation | |
| Y_G | 3.777 | 2.065 | −0.002 | 1.164 | 0.859 | 0.564 | 0.827 |
| DIG_G | 53.504 | 11.384 | 0.031 | 3.693 | 2.865 | 0.324 | 0.946 |
| P_G | 0.350 | 0.259 | −0.004 | 0.146 | 0.094 | 0.563 | 0.827 |
| Y_GB | 4.887 | 2.380 | −0.026 | 1.464 | 1.078 | 0.615 | 0.790 |
| DIG_GB | 52.025 | 12.468 | −0.004 | 4.001 | 2.981 | 0.321 | 0.947 |
| P_GB | 0.491 | 0.236 | 0.008 | 0.160 | 0.117 | 0.679 | 0.739 |
| Y_GC | 4.520 | 2.531 | −0.039 | 1.619 | 1.141 | 0.640 | 0.769 |
| DIG_GC | 52.396 | 12.939 | −0.112 | 4.689 | 3.584 | 0.362 | 0.932 |
| P_GC | 0.464 | 0.371 | −0.022 | 0.226 | 0.146 | 0.609 | 0.794 |
Publisher’s Note: MDPI stays neutral with regard to jurisdictional claims in published maps and institutional affiliations. |
© 2022 by the authors. Licensee MDPI, Basel, Switzerland. This article is an open access article distributed under the terms and conditions of the Creative Commons Attribution (CC BY) license (https://creativecommons.org/licenses/by/4.0/).
Share and Cite
Niedbała, G.; Wróbel, B.; Piekutowska, M.; Zielewicz, W.; Paszkiewicz-Jasińska, A.; Wojciechowski, T.; Niazian, M. Application of Artificial Neural Networks Sensitivity Analysis for the Pre-Identification of Highly Significant Factors Influencing the Yield and Digestibility of Grassland Sward in the Climatic Conditions of Central Poland. Agronomy 2022, 12, 1133. https://doi.org/10.3390/agronomy12051133
Niedbała G, Wróbel B, Piekutowska M, Zielewicz W, Paszkiewicz-Jasińska A, Wojciechowski T, Niazian M. Application of Artificial Neural Networks Sensitivity Analysis for the Pre-Identification of Highly Significant Factors Influencing the Yield and Digestibility of Grassland Sward in the Climatic Conditions of Central Poland. Agronomy. 2022; 12(5):1133. https://doi.org/10.3390/agronomy12051133
Chicago/Turabian StyleNiedbała, Gniewko, Barbara Wróbel, Magdalena Piekutowska, Waldemar Zielewicz, Anna Paszkiewicz-Jasińska, Tomasz Wojciechowski, and Mohsen Niazian. 2022. "Application of Artificial Neural Networks Sensitivity Analysis for the Pre-Identification of Highly Significant Factors Influencing the Yield and Digestibility of Grassland Sward in the Climatic Conditions of Central Poland" Agronomy 12, no. 5: 1133. https://doi.org/10.3390/agronomy12051133
APA StyleNiedbała, G., Wróbel, B., Piekutowska, M., Zielewicz, W., Paszkiewicz-Jasińska, A., Wojciechowski, T., & Niazian, M. (2022). Application of Artificial Neural Networks Sensitivity Analysis for the Pre-Identification of Highly Significant Factors Influencing the Yield and Digestibility of Grassland Sward in the Climatic Conditions of Central Poland. Agronomy, 12(5), 1133. https://doi.org/10.3390/agronomy12051133

