Estimation of Winter Wheat Residue Coverage Based on GF-1 Imagery and Machine Learning Algorithm
Abstract
:1. Introduction
2. Data and Methods
2.1. Overview of the Study Area
2.2. Data Acquisition and Preprocessing
2.2.1. Acquisition of CRC of Wheat Measured in Field
2.2.2. Remote Sensing Data Preprocessing
2.3. Remote Sensing Spectral Index for CRC Estimation
2.4. Technical Route
2.5. Machine Learning Methods
2.6. Evaluation of Fitting Accuracy
3. Results
3.1. Extraction of Wheat Straw Coverage and Comparison of Different Filtering Results
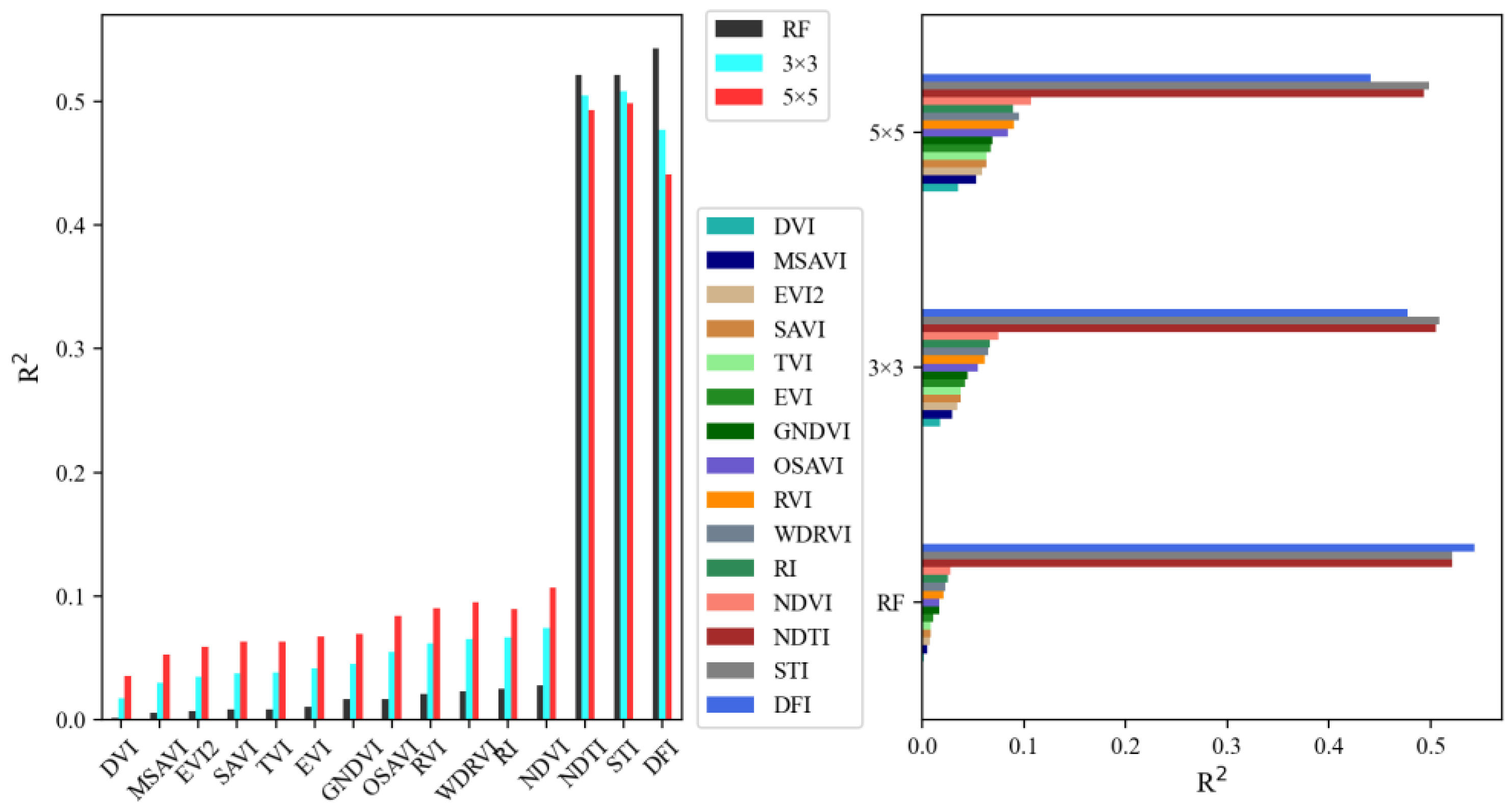
3.2. Sensitivity Analysis of Spectral Index Based on GF Image Data to CRC in Wheat
3.3. Sensitivity Analysis of Spectral Index to CRC in Wheat Based on Sentinel-2 Image Data
3.4. Remote Sensing Estimation of Wheat CRC Based on Machine Learning and Two Remote Sensing Images
4. Discussion
5. Conclusions
Author Contributions
Funding
Data Availability Statement
Acknowledgments
Conflicts of Interest
References
- Yan, Q.-Y.; Dong, F.; Lou, G.; Yang, F.; Lu, J.-X.; Li, F.; Zhang, J.-C.; Li, J.-H.; Duan, Z.-Q. Alternate row mulching optimizes soil temperature and water conditions and improves wheat yield in dryland farming. J. Integr. Agric. 2018, 17, 2558–2569. [Google Scholar] [CrossRef]
- Zahra, K.; Hossein, R.M.; Maryam, D.; Jafari, A.; Abdolreza, K.S.; Jafar, N.M. Feasibility of satellite and drone images for monitoring soil residue cover. J. Saudi Soc. Agric. Sci. 2018, 19, 56–64. [Google Scholar]
- Hrm, A.; Zm, B.; Srm, C.; Ar, C. Evaluation and Prediction of Topsoil organic carbon using Machine learning and hybrid models at a Field-scale. Catena 2021, 202, 105258. [Google Scholar]
- Shu, W.; Xh, A.; Yang, Z.A.; Cya, C.; Ar, B. The effect of corn straw return on corn production in Northeast China: An integrated regional evaluation with meta-analysis and system dynamics—ScienceDirect. Resour. Conserv. Recycl. 2021, 167, 105402. [Google Scholar]
- Chen, S.; Xu, C.; Yan, J.; Zhang, X.; Zhang, X.; Wang, D. The influence of the type of crop residue on soil organic carbon fractions: An 11-year field study of rice-based cropping systems in southeast China. Agric. Ecosyst. Environ. 2016, 223, 261–269. [Google Scholar] [CrossRef]
- Büchi, L.; Wendling, M.; Amossé, C.; Jeangros, B.; Charles, R. Cover crops to secure weed control strategies in a maize crop with reduced tillage. Field Crops Res. 2019, 247, 107583. [Google Scholar] [CrossRef]
- Xf, A.; Av, A.; Bm, B.; An, A. Winter cover crops in Dutch maize fields: Variability in quality and its drivers assessed from multi-temporal Sentinel-2 imagery—ScienceDirect. Int. J. Appl. Earth Obs. Geoinf. 2020, 91, 102139. [Google Scholar]
- Li, Z.; Wang, C.; Pan, X.; Liu, Y.; Li, Y.; Shi, R. Estimation of wheat residue cover using simulated Landsat-8 OLI datas. Trans. Chin. Soc. Agric. Eng. 2016, 32, 145–152. (In Chinese) [Google Scholar]
- Zheng, B.; Ca Mpbell, J.B.; Beurs, K. Remote sensing of crop residue cover using multi-temporal Landsat imagery. Remote Sens. Environ. 2012, 117, 177–183. [Google Scholar] [CrossRef]
- Daughtry, C.; Hunt, E.R.; Mcmurtrey, J.E. Assessing crop residue cover using shortwave infrared reflectance. Remote Sens. Environ. 2004, 90, 126–134. [Google Scholar] [CrossRef]
- Nagler, P.L.; Daughtry, C.; Goward, S.N. Plant Litter and Soil Reflectance. Remote Sens. Environ. 2000, 71, 207–215. [Google Scholar] [CrossRef]
- Cai, W.T.; Zhao, S.H.; Wang, Y.M.; Peng, F.C. Estimation of winter wheat residue cover using spectral and textural information from Sentinel-2 data. J. Remote Sens. 2020, 24, 1108–1119. (In Chinese) [Google Scholar]
- Huang, J.-Y.; Liu, Z.; Wan, W.; Liu, Z.-Y.; Wang, J.-Y.; Wang, S. Remote sensing retrieval of maize residue cover on soil heterogeneous background. J. Appl. Ecol. 2020, 31, 474–482. (In Chinese) [Google Scholar]
- Zheng, B.; Campbell, J.B.; Serbin, G.; Daughtry, C. Multitemporal remote sensing of crop residue cover and tillage practices: A validation of the minNDTI strategy in the United States. J. Soil Water Conserv. 2013, 68, 120–131. [Google Scholar] [CrossRef]
- Yue, J.; Tian, Q.; Dong, X.; Xu, N. Using broadband crop residue angle index to estimate the fractional cover of vegetation, crop residue, and bare soil in cropland systems. Remote Sens. Environ. 2019, 237, 111538. [Google Scholar] [CrossRef]
- Jyab, C.; Qta, B. Estimating fractional cover of crop, crop residue, and soil in cropland using broadband remote sensing data and machine learning—ScienceDirect. Int. J. Appl. Earth Obs. Geoinf. 2020, 89, 102089. [Google Scholar]
- Yue, J.; Tian, Q.; Dong, X.; Xu, K.; Zhou, C. Using Hyperspectral Crop Residue Angle Index to Estimate Maize and Winter-Wheat Residue Cover: A Laboratory Study. Remote Sens. 2019, 11, 807. [Google Scholar] [CrossRef] [Green Version]
- Ding, Y.; Zhang, H.; Wang, Z.; Xie, Q.; Wang, Y.; Liu, L.; Hall, C.C. A Comparison of Estimating Crop Residue Cover from Sentinel-2 Data Using Empirical Regressions and Machine Learning Methods. Remote Sens. 2020, 12, 1470. [Google Scholar] [CrossRef]
- Zhang, M.; Meng, J.; Li, Q.; Wu, B.; Du, X.; Zhang, F. Estimation of winter wheat residue cover with HJ-1B data. Trans. Chin. Soc. Agric. Eng. 2011, 27, 352–357. (In Chinese) [Google Scholar]
- Zhang, C.; Marzougui, A.; Sankaran, S. High-resolution satellite imagery applications in crop phenotyping: An overview. Comput. Electron. Agric. 2020, 175, 105584. [Google Scholar] [CrossRef]
- Feyisa, G.L.; Palao, L.K.; Nelson, A.; Gumma, M.K.; Paliwal, A.; Win, K.T.; Nge, K.H.; Johnson, D.E. Characterizing and mapping cropping patterns in a complex agro-ecosystem: An iterative participatory mapping procedure using machine learning algorithms and MODIS vegetation indices. Comput. Electron. Agric. 2020, 175, 105595. [Google Scholar] [CrossRef]
- Cao, X.; Chen, J.; Matsushita, B.; Imura, H. Developing a MODIS-based index to discriminate dead fuel from photosynthetic vegetation and soil background in the Asian steppe area. Int. J. Remote Sens. 2010, 31, 1589–1604. [Google Scholar] [CrossRef]
- Deventer, V.; Ward, A.D.; Gowda, P.H.; Lyon, J.G. Using Thematic Mapper Data to Identify Contrasting Soil Plains and Tillage Practices. Photogramm. Eng. Remote Sens. 1997, 63, 87–93. [Google Scholar]
- Schell, J.A. Monitoring vegetation systems in the great plains with ERTS. Nasa Spec. Publ. 1973, 351, 309. [Google Scholar]
- Richardson, A.J.; Wiegand, C.L. Distinguishing vegetation from soil background information. Photogramm. Eng. Remote Sens. 1977, 43, 1541–1552. [Google Scholar]
- Hui, Q.L.; Huete, A. A feedback based modification of the NDVI to minimize canopy background and atmospheric noise. IEEE Trans. Geosci. Remote Sens. 1995, 33, 457–465. [Google Scholar]
- Jordan, C.F. Derivation of Leaf-Area Index from Quality of Light on the Forest Floor. Ecology 1969, 50, 663–666. [Google Scholar] [CrossRef]
- Rondeaux, G.; Steven, M.; Baret, F. Optimization of soil-adjusted vegetation indices. Remote Sens. Environ. 1996, 55, 95–107. [Google Scholar] [CrossRef]
- Jiang, Z.; Huete, A.R.; Didan, K.; Miura, T. Development of a two-band enhanced vegetation index without a blue band. Remote Sens. Environ. 2008, 112, 3833–3845. [Google Scholar] [CrossRef]
- Broge, N.H.; Leblanc, E. Comparing prediction power and stability of broadband and hyperspectral vegetation indices for estimation of green leaf area index and canopy chlorophyll density. Remote Sens. Environ. 2001, 76, 156–172. [Google Scholar] [CrossRef]
- Qi, J.G.; Chehbouni, A.R.; Huete, A.R.; Kerr, Y.H.; Sorooshian, S. A Modified Soil Adjusted Vegetation Index. Remote Sens. Environ. 1994, 48, 119–126. [Google Scholar] [CrossRef]
- Gitelson, A.A. Wide Dynamic Range Vegetation Index for Remote Quantification of Biophysical Characteristics of Vegetation. J. Plant Physiol. 2004, 161, 165–173. [Google Scholar] [CrossRef] [Green Version]
- Huete, A.R. A soil-adjusted vegetation index (SAVI). Remote Sens. Environ. 1988, 25, 295–309. [Google Scholar] [CrossRef]
- Gitelson, A.A.; Kaufman, Y.J.; Merzlyak, M.N. Use of a green channel in remote sensing of global vegetation from EOS-MODIS. Remote Sens. Environ. 1996, 58, 289–298. [Google Scholar] [CrossRef]
- Escadafal, R. Remote sensing of arid soil surface color with Landsat Thematic Mapper. Adv. Space Res. 1989, 9, 159–163. [Google Scholar] [CrossRef]
- Tian, Q.J.; Min, X.J. Advances in study on vegetation indices. Adv. Earth Sci. 1998, 13, 327–333. (In Chinese) [Google Scholar]
- Zhang, Z.; Wei, M.; Pu, D.; He, G.; Wang, G.; Long, T. Assessment of Annual Composite Images Obtained by Google Earth Engine for Urban Areas Mapping Using Random Forest. Remote Sens. 2021, 13, 748. [Google Scholar] [CrossRef]
- Ma, L.; Li, M.; Ma, X.; Cheng, L.; Du, P.; Liu, Y. A review of supervised object-based land-cover image classification. Isprs J. Photogramm. Remote Sens. 2017, 130, 277–293. [Google Scholar] [CrossRef]
- Chen, Y.; Yun, W.; Zhou, X.; Peng, J.; Li, S.; Zhou, Y. Classification and extraction of land use information in hilly area based on MESMA and RF classifier. Trans. Chin. Soc. Agric. Mach. 2017, 48, 136–144. (In Chinese) [Google Scholar]
- Hou, M.J.; Yin, J.P.; Ge, J.; Li, Y.C.; Feng, Q.S.; Liang, T.G. Land Cover Remote Sensing Classification Method of Alpine Wetland Region Based on Random Forest Algorithms. Trans. Chin. Soc. Agric. Mach. 2020, 7, 220–7227. (In Chinese) [Google Scholar]
- Zhang, L.; Gong, Z.N.; Wang, Q.W.; Jin, D.; Wang, X. Wetland mapping of Yellow River Delta wetlands based on multi-feature optimization of Sentinel-2 images. J. Remote Sens. 2019, 23, 313–326. (In Chinese) [Google Scholar]
- Friedl, M.A.; Brodley, C.E. Decision tree classification of land cover from remotely sensed data. Remote Sens. Environ. 1997, 61, 399–409. [Google Scholar] [CrossRef]
- Pal, M.; Mather, P.M. An assessment of the effectiveness of decision tree methods for land cover classification. Remote Sens. Environ. 2003, 86, 554–565. [Google Scholar] [CrossRef]
- Xu, M.; Watanachaturaporn, P.; Varshney, P.K.; Arora, M.K. Decision tree regression for soft classification of remote sensing data. Remote Sens. Environ. 2005, 97, 322–336. [Google Scholar] [CrossRef]
- Zou, H. The Adaptive Lasso and Its Oracle Properties. Publ. Am. Stat. Assoc. 2006, 101, 1418–1429. [Google Scholar] [CrossRef] [Green Version]
- Naik, P.; Dalponte, M.; Bruzzone, L. Prediction of Forest Aboveground Biomass Using Multitemporal Multispectral Remote Sensing Data. Remote Sens. 2021, 101, 1282. [Google Scholar] [CrossRef]
- Cao, J.; Zhang, Z.; Tao, F.; Zhang, L.; Li, Z. Identifying the Contributions of Multi-Source Data for Winter Wheat Yield Prediction in China. Remote Sens. 2020, 12, 750. [Google Scholar] [CrossRef] [Green Version]
- Hoerl, A.; Kennard, R. Citation Classic-ride Regression-Biased-Estimation for nonorthogonal problems. Curr. Contents/Eng. Technol. Appl. Sci. 1982, 35, 18. [Google Scholar]
- Yang, B.; Ma, J.; Yao, X.; Cao, W.; Zhu, Y. Estimation of Leaf Nitrogen Content in Wheat Based on Fusion of Spectral Features and Deep Features from Near Infrared Hyperspectral Imagery. Sensors 2021, 21, 613. [Google Scholar] [CrossRef]
- Zamani Joharestani, M.; Cao, C.; Ni, X.; Bashir, B.; Talebiesfandarani, S. PM2. 5 prediction based on random forest, XGBoost, and deep learning using multisource remote sensing data. Atmosphere 2019, 10, 373. [Google Scholar] [CrossRef] [Green Version]
- Galloza, M.S.; Crawford, M.M.; Heathman, G.C. Crop Residue Modeling and Mapping Using Landsat, ALI, Hyperion and Airborne Remote Sensing Data. IEEE J. Sel. Top. Appl. Earth Obs. Remote Sens. 2013, 6, 446–456. [Google Scholar] [CrossRef]
- Chai, G.; Wang, J.; Wang, G.; Han, L.; Wang, Z. Estimation of fractional cover of non-photosynthetic vegetation in typical steppe based on MODIS data. Remote Sens. Land Resour. 2019, 31, 234–241. (In Chinese) [Google Scholar]













| Name | Spectral Range (μm) | Pixel Size/Meters | Revisit Time (Day) | Description |
|---|---|---|---|---|
| Pan | 0.45~0.90 | 2 | 4 | Panchromatic |
| B1 | 0.45~0.52 | 8 | Blue | |
| B2 | 0.52~0.59 | Green | ||
| B3 | 0.63~0.69 | Red | ||
| B4 | 0.77~0.89 | NIR |
| Name | Pixel Size/Meters | Wavelength | Description |
|---|---|---|---|
| B1 | 60 | 443.9 nm (S2A) | Aerosols |
| B2 | 10 | 496.6 nm (S2A) | Blue |
| B3 | 10 | 560 nm (S2A) | Green |
| B4 | 10 | 664.5 nm (S2A) | Red |
| B5 | 20 | 703.9 nm (S2A) | Red Edge 1 |
| B6 | 20 | 740.2 nm (S2A) | Red Edge 2 |
| B7 | 20 | 782.5 nm (S2A) | Red Edge 3 |
| B8 | 10 | 835.1 nm (S2A) | NIR |
| B8A | 20 | 864.8 nm (S2A) | Red Edge 4 |
| B9 | 60 | 945 nm (S2A) | Water vapor |
| B11 | 20 | 1613.7 nm (S2A) | SWIR 1 |
| B12 | 20 | 2202.4 nm (S2A) | SWIR 2 |
| Vegetation Index | Abbreviation | Formula | Reference |
|---|---|---|---|
| Dead fuel index | DFI | [22] | |
| Normalized differential tillage index | NDTI | [23] | |
| Simple tillage index | STI | [23] | |
| Normalized difference vegetation index | NDVI | [24] | |
| Differential vegetation index | DVI | [25] | |
| Enhanced vegetation index | EVI | [26] | |
| Ratio vegetation index | RVI | [27] | |
| Optimized soil-adjusted vegetation index | OSAVI | [28] | |
| Two-band enhanced vegetation index | EVI2 | [29] | |
| Transformed vegetation index | TVI | [30] | |
| Modified soil-adjusted vegetation index | MSAVI2 | [31] | |
| Wide dynamic range vegetation index | WDRVI | [32] | |
| Soil-adjusted vegetation index | SAVI | [33] | |
| Green NDVI | GNDVI | [34] | |
| Red vegetation index | RI | [35,36] |
| Characteristic Parameter | Data Source | Machine Learning Method | DT | RF | LASSO | Ridge | GBDT | XGBR | |||||||
|---|---|---|---|---|---|---|---|---|---|---|---|---|---|---|---|
| GF | S2 | GF | S2 | GF | S2 | GF | S2 | GF | S2 | GF | S2 | ||||
| RVI, NDVI, WDRVI | CRCRF | training set | R2 | 0.53 | 0.11 | 0.53 | 0.1 | 0.43 | 0.03 | 0.43 | 0.03 | 0.52 | 0.09 | 0.54 | 0.12 |
| RMSE/% | 10.67 | 13.62 | 10.58 | 13.71 | 11.67 | 14.24 | 11.68 | 14.24 | 10.81 | 13.92 | 10.52 | 13.73 | |||
| test set | R2 | 0.49 | 0.19 | 0.49 | 0.28 | 0.5 | 0.18 | 0.49 | 0.18 | 0.52 | 0.3 | 0.51 | 0.37 | ||
| RMSE/% | 10.78 | 15.22 | 10.77 | 14.87 | 10.76 | 15.8 | 10.77 | 15.81 | 10.51 | 15.56 | 10.53 | 14.8 | |||
| CRC3 × 3 | training set | R2 | 0.57 | 0.14 | 0.57 | 0.13 | 0.51 | 0.07 | 0.51 | 0.07 | 0.58 | 0.13 | 0.62 | 0.14 | |
| RMSE/% | 12.48 | 17.64 | 12.6 | 17.83 | 13.42 | 18.36 | 13.43 | 18.36 | 12.55 | 18.06 | 11.89 | 18.16 | |||
| test set | R2 | 0.52 | 0.33 | 0.55 | 0.38 | 0.52 | 0.24 | 0.52 | 0.24 | 0.55 | 0.39 | 0.56 | 0.39 | ||
| RMSE/% | 13.35 | 17.47 | 12.91 | 17.36 | 13.54 | 18.49 | 13.55 | 18.51 | 12.95 | 18.42 | 12.85 | 17.79 | |||
| CRC5 × 5 | training set | R2 | 0.61 | 0.17 | 0.6 | 0.15 | 0.53 | 0.11 | 0.53 | 0.11 | 0.62 | 0.17 | 0.63 | 0.17 | |
| RMSE/% | 13.87 | 20.55 | 14.11 | 20.85 | 15.37 | 21.28 | 15.33 | 21.28 | 13.8 | 21.07 | 13.72 | 22.68 | |||
| test set | R2 | 0.55 | 0.34 | 0.59 | 0.39 | 0.55 | 0.25 | 0.55 | 0.25 | 0.57 | 0.37 | 0.57 | 0.35 | ||
| RMSE/% | 15.27 | 20.12 | 14.52 | 19.8 | 15.64 | 21.24 | 15.63 | 21.26 | 14.92 | 21.43 | 14.78 | 22.39 | |||
Publisher’s Note: MDPI stays neutral with regard to jurisdictional claims in published maps and institutional affiliations. |
© 2022 by the authors. Licensee MDPI, Basel, Switzerland. This article is an open access article distributed under the terms and conditions of the Creative Commons Attribution (CC BY) license (https://creativecommons.org/licenses/by/4.0/).
Share and Cite
Zhu, Q.; Xu, X.; Sun, Z.; Liang, D.; An, X.; Chen, L.; Yang, G.; Huang, L.; Xu, S.; Yang, M. Estimation of Winter Wheat Residue Coverage Based on GF-1 Imagery and Machine Learning Algorithm. Agronomy 2022, 12, 1051. https://doi.org/10.3390/agronomy12051051
Zhu Q, Xu X, Sun Z, Liang D, An X, Chen L, Yang G, Huang L, Xu S, Yang M. Estimation of Winter Wheat Residue Coverage Based on GF-1 Imagery and Machine Learning Algorithm. Agronomy. 2022; 12(5):1051. https://doi.org/10.3390/agronomy12051051
Chicago/Turabian StyleZhu, Qilei, Xingang Xu, Zhendong Sun, Dong Liang, Xiaofei An, Liping Chen, Guijun Yang, Linsheng Huang, Sizhe Xu, and Min Yang. 2022. "Estimation of Winter Wheat Residue Coverage Based on GF-1 Imagery and Machine Learning Algorithm" Agronomy 12, no. 5: 1051. https://doi.org/10.3390/agronomy12051051
APA StyleZhu, Q., Xu, X., Sun, Z., Liang, D., An, X., Chen, L., Yang, G., Huang, L., Xu, S., & Yang, M. (2022). Estimation of Winter Wheat Residue Coverage Based on GF-1 Imagery and Machine Learning Algorithm. Agronomy, 12(5), 1051. https://doi.org/10.3390/agronomy12051051

