Fault-Tolerant Topology of Agricultural Wireless Sensor Networks Based on a Double Price Function
Abstract
:1. Introduction
2. Related Works
3. The Related Theory
3.1. Agricultural WSN Model
3.2. k-Connected Theory
3.3. The Topology Model Based on Potential Game with Double Price Function
4. Hybrid WSN Topology
4.1. Topology Initialization between Clusters Based on Potential Game
| Algorithm 1: Inter-cluster topology initialization algorithm |
| Input: Graph G (V,E,P) of WSN, clusters of network |
| Output: Initial transmit power of CHs |
| 1. for loop = 1 to N 2. if node loop receives Hello message from neighbor nodes at time t 3. Update the adjacency matrix 4. end 5. end 6. for loop = 1 to N 7. if node loop is the CH 8. if the residual energy is below the threshold Erth 9. Select the transmit power that maximizes price function (p0loop* ∈ P’) 10. else 11. Select the transmit power that maximizes price function (p0loop* ∈ P’) 12. end 13. end 14. Node loop broadcasts a HELLO message containing p0loop* 15. end |
4.2. Two-Connected Fault-Tolerant Topology between Clusters
| Algorithm 2: Inter-cluster topology optimization algorithm |
| Input: Initial inter-cluster topology |
| Output: Optimized inter-cluster topology |
| 1. for loop = 1: N 2. if node loop is the CH 3. while the number of inter-cluster neighbor nodes of node loop is less than 2 and ploop < pmax 4. Adjust node loop transmit power and update the topology 5. end 6. end 7. end 8. for loop = 1 to N 9. Initialize flagloop= 0 10. if node loop is the CH 11. while flagloop = 0 and ploop < pmax 12. According to Equation (16), select an inter-cluster neighbor of the node loop as the root node r 13. The set of nodes other than loop in the 2-hop topology of node loop is A 14. The reachable nodes of the root node r are added to the Breadth First Search (BFS) tree set R 15. Starting from the root node r, each of r’s unvisited neighbors is accessed, and then starting from the neighbor nodes, each of their unvisited neighbors is visited in turn 16. Repeat the above steps until all nodes in the block where R is located are accessed, and finally get the BFS tree set R 17. if A = R 18. The transmit power is adjusted according to the farthest neighbor node in 2-hop topology and flagloop = 1 19. else 20. Select a higher transmit power 21. end 22. end 23. end 24. end |
5. Experimental Results and Analysis
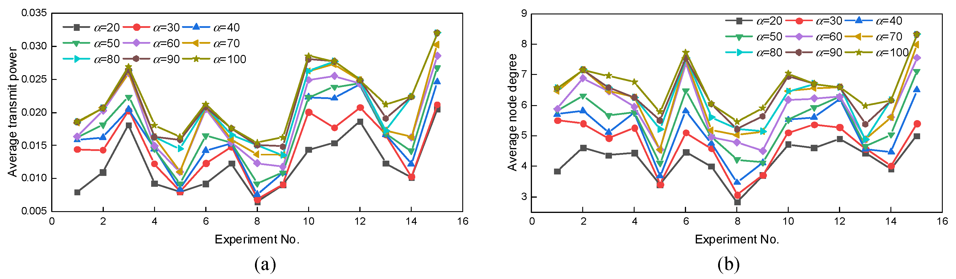
5.1. Comparison of Algorithm Robustness
5.2. Comparison of Topology Performance with Different Number of Nodes
5.3. Comparison of Network Performance under Data Transmission Simulation
6. Conclusions
Author Contributions
Funding
Institutional Review Board Statement
Informed Consent Statement
Data Availability Statement
Acknowledgments
Conflicts of Interest
References
- Martinho, V.J.P.D.; Guine, R.D.F. Integrated-Smart Agriculture: Contexts and Assumptions for a Broader Concept. Agronomy 2021, 11, 1568. [Google Scholar] [CrossRef]
- Dholu, M.; Ghodinde, K.A. Internet of Things (IoT) for Precision Agriculture Application. In Proceedings of the 2018 2nd International Conference on Trends in Electronics and Informatics (ICOEI), Tirunelveli, India, 11–12 May 2018. [Google Scholar]
- Gagliardi, G.; Lupia, M.; Cario, G.; Gaccio, F.C.; D’Angelo, V.; Cosma, A.I.M.; Casavola, A. An Internet of Things Solution for Smart Agriculture. Agronomy 2021, 11, 2140. [Google Scholar] [CrossRef]
- Liu, Y.; Ma, X.Y.; Shu, L.; Hancke, G.P.; Abu-Mahfouz, A.M. From Industry 4.0 to Agriculture 4.0: Current Status, Enabling Technologies, and Research Challenges. IEEE Trans. Ind. Inform. 2021, 17, 4322–4334. [Google Scholar] [CrossRef]
- Mahajan, H.B.; Badarla, A.; Junnarkar, A.A. CL-IoT: Cross-layer Internet of Things protocol for intelligent manufacturing of smart farming. J. Ambient. Intell. Humaniz. Comput. 2021, 12, 7777–7791. [Google Scholar] [CrossRef]
- Gong, C.; Guo, C.; Xu, H.T.; Zhou, C.C.; Yuan, X.T. A Joint Optimization Strategy of Coverage Planning and Energy Scheduling for Wireless Rechargeable Sensor Networks. Processes 2020, 8, 1324. [Google Scholar] [CrossRef]
- Du, Y.W.; Gong, J.H.; Wang, Z.M.; Xu, N. A Distributed Energy-Balanced Topology Control Algorithm Based on a Noncooperative Game for Wireless Sensor Networks. Sensors 2018, 18, 4454. [Google Scholar] [CrossRef] [Green Version]
- Feng, Y.X.; Zhang, W.B.; Tan, X.B.; Fu, L.D. Research on the algorithm of Load-balanced Hierarchical Topology Control for WSN. Appl. Math. Inf. Sci. 2013, 7, 347–352. [Google Scholar] [CrossRef]
- Cama-Pinto, D.; Damas, M.; Holgado-Terriza, J.A.; Gomez-Mula, F.; Cama-Pinto, A. Path Loss Determination Using Linear and Cubic Regression Inside a Classic Tomato Greenhouse. Int. J. Environ. Res. Public Health 2019, 16, 1744. [Google Scholar] [CrossRef] [Green Version]
- Hao, X.C.; Wang, L.Y.; Yao, N.; Geng, D.H.; Chen, B. Topology control game algorithm based on Markov lifetime prediction model for wireless sensor network. Ad Hoc Netw. 2018, 78, 13–23. [Google Scholar] [CrossRef]
- Hu, S.H.; Li, G.H.; Huang, G.Y. Dynamic Spatial-Correlation-Aware Topology Control of Wireless Sensor Networks Using Game Theory. IEEE Sens. J. 2021, 21, 7093–7102. [Google Scholar] [CrossRef]
- Hao, X.C.; Liu, W.J.; Xin, M.J.; Yao, N.; Ru, X.Y. Energy Balance and Robustness Adjustable Topology Control Algorithm for Wireless Sensor Networks. Acta Phys. Sin. 2015, 64, 5–17. [Google Scholar]
- Khalily-Dermany, M. A Decentralized Algorithm to Combine Topology Control with Network Coding. J. Parallel Distrib. Comput. 2021, 149, 174–185. [Google Scholar] [CrossRef]
- Du, Y.W.; Xia, J.Z.; Gong, J.H.; Hu, X.H. An Energy-Efficient and Fault-Tolerant Topology Control Game Algorithm for Wireless Sensor Network. Electronics 2019, 8, 1009. [Google Scholar] [CrossRef] [Green Version]
- Roy, A.; Misra, S.; Kar, P.; Mondal, A. Topology Control for Self-Adaptation in Wireless Sensor Networks with Temporary Connection Impairment. ACM Trans. Auton. Adapt. Syst. 2017, 11, 1–34. [Google Scholar] [CrossRef]
- Luo, X.Y.; Li, H.; Ma, J.H. Topology Optimization Algorithm for Wireless Networks Based on the Algebraic Properties of Minimum Rigid Graph. Acta Phys. Sin. 2016, 65, 17–25. [Google Scholar]
- Wei, L.S.; Han, J. Topology Control Algorithm of Underwater Sensor Network Based on Potential-Game and Optimal Rigid Sub-Graph. IEEE Access 2020, 8, 177481–177494. [Google Scholar] [CrossRef]
- Liu, H.R.; Xin, M.J.; Liu, W.J.; Chen, B.; Hao, X.C.; Li, X.D.; Ru, X.Y. Topology Control Game Algorithm of Multi-performance Cooperative Optimization with Self-Maintaining for WSN. Wirel. Pers. Commun. 2017, 94, 1237–1262. [Google Scholar] [CrossRef]
- Mazumdar, N.; Nag, A.; Nandi, S. HDDS: Hierarchical Data Dissemination Strategy for energy optimization in dynamic wireless sensor network under harsh environments. Ad Hoc Netw. 2021, 111, 102348. [Google Scholar] [CrossRef]
- Faheem, M.; Gungor, V.C. Capacity and spectrum-aware communication framework for wireless sensor network-based smart grid applications. Comput. Stand. Interfaces 2017, 53, 48–58. [Google Scholar] [CrossRef]
- Singla, P.; Munjal, A. Topology Control Algorithms for Wireless Sensor Networks: A Review. Wirel. Pers. Commun. 2020, 113, 2363–2385. [Google Scholar] [CrossRef]
- Mehra, P.S.; Doja, M.N.; Alam, B. Fuzzy Based Enhanced Cluster Head Selection (FBECS) for WSN. J. King Saud Univ.-Sci. 2020, 32, 390–401. [Google Scholar] [CrossRef]
- Mahesh, N.; Vijayachitra, S. DECSA: Hybrid Dolphin Echolocation and Crow Search Optimization for Cluster-based Energy-Aware Routing in WSN. Neural Comput. Appl. 2019, 31, 47–62. [Google Scholar] [CrossRef]
- Wang, Z.X.; Zhang, M.; Gao, X.L.; Wang, W.Q.; Li, X.L. A clustering WSN routing protocol based on node energy and multipath. Clust. Comput. J. Netw. Softw. Tools Appl. 2019, 22, S5811–S5823. [Google Scholar] [CrossRef]
- Kulkarni, P.H.; Malathi, P. PFuzzyACO: Fuzzy-based Optimization Approach for Energy-aware Cluster Head Selection in WSN. J. Internet Technol. 2019, 20, 1787–1800. [Google Scholar]
- Martinaa, M.; Santhi, B.; Raghunathan, A. An energy-efficient and novel populated cluster aware routing protocol (PCRP) for wireless sensor networks (WSN). J. Intell. Fuzzy Syst. 2020, 39, 8529–8542. [Google Scholar] [CrossRef]
- Alharbi, M.A.; Kolberg, M.; Zeeshan, M. Towards improved clustering and routing protocol for wireless sensor networks. EURASIP J. Wirel. Commun. Netw. 2021, 1, 46. [Google Scholar] [CrossRef]
- Rawat, P.; Chauhan, S. Probability based cluster routing protocol for wireless sensor network. J. Ambient. Intell. Humaniz. Comput. 2021, 12, 2065–2077. [Google Scholar] [CrossRef]
- Zebbane, B.; Chenait, M.; Badache, N. A Distributed Lightweight Redundancy Aware Topology Control Protocol for Wireless Sensor Networks. Wirel. Netw. 2017, 23, 1779–1792. [Google Scholar] [CrossRef]
- Mosavifard, A.; Barati, H. An energy-aware clustering and two-level routing method in wireless sensor networks. Computing 2020, 102, 1653–1671. [Google Scholar] [CrossRef]
- Duque-Anton, M.; Bruyaux, F.; Semal, P. Measuring the Survivability of a Network: Connectivity and Rest-Connectivity. Eur. Trans. Telecommun. 2000, 11, 149–159. [Google Scholar] [CrossRef]
- Goyal, D.J.; Caffery, J. Partitioning Avoidance in Mobile Ad Hoc Networks Using Network Survivability Concepts. In Proceedings of the ISCC 2002 Seventh International Symposium on Computers and Communications International Symposium on Computers and Communications, Taormina-Giardini Naxos, Taormina, Italy, 1–4 July 2002. [Google Scholar]
- Lin, C.H.; Tsai, M.J. A comment on HEED: A hybrid, energy-efficient, distributed clustering approach for ad hoc sensor networks. IEEE Trans. Mob. Comput. 2006, 10, 1471–1472. [Google Scholar]










| Parameter Description | Value |
|---|---|
| Total number of nodes | 50~150 |
| Size of monitoring area | 100 × 100 m2 |
| Node initial energy | 5 J |
| Transmit power | [10−5, 5] W |
| c1 | 50 nJ/bit |
| c2 | 100 pJ/bit/m2 |
| r | 3.5 |
| η | 0.5 |
| υ | 0.5 |
| Received power |
Publisher’s Note: MDPI stays neutral with regard to jurisdictional claims in published maps and institutional affiliations. |
© 2022 by the authors. Licensee MDPI, Basel, Switzerland. This article is an open access article distributed under the terms and conditions of the Creative Commons Attribution (CC BY) license (https://creativecommons.org/licenses/by/4.0/).
Share and Cite
Wu, H.; Han, X.; Yang, B.; Miao, Y.; Zhu, H. Fault-Tolerant Topology of Agricultural Wireless Sensor Networks Based on a Double Price Function. Agronomy 2022, 12, 837. https://doi.org/10.3390/agronomy12040837
Wu H, Han X, Yang B, Miao Y, Zhu H. Fault-Tolerant Topology of Agricultural Wireless Sensor Networks Based on a Double Price Function. Agronomy. 2022; 12(4):837. https://doi.org/10.3390/agronomy12040837
Chicago/Turabian StyleWu, Huarui, Xiao Han, Baozhu Yang, Yisheng Miao, and Huaji Zhu. 2022. "Fault-Tolerant Topology of Agricultural Wireless Sensor Networks Based on a Double Price Function" Agronomy 12, no. 4: 837. https://doi.org/10.3390/agronomy12040837
APA StyleWu, H., Han, X., Yang, B., Miao, Y., & Zhu, H. (2022). Fault-Tolerant Topology of Agricultural Wireless Sensor Networks Based on a Double Price Function. Agronomy, 12(4), 837. https://doi.org/10.3390/agronomy12040837
