Agronomic Performances of Fragrant Rice Cultivars under Different Vermicompost Rates
Abstract
:1. Introduction
2. Materials and Methods
2.1. Plant Materials, Site Conditions, and Treatment Description
2.2. Determination of Plant Growth Parameters
2.3. Determination of Yield and Yield Components
2.4. Determination of Grain Quality Characters
2.5. Determination of 2-AP Content
2.6. Statistic Analysis
3. Results
3.1. Grain Yield and Yield-Related Traits
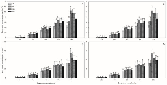
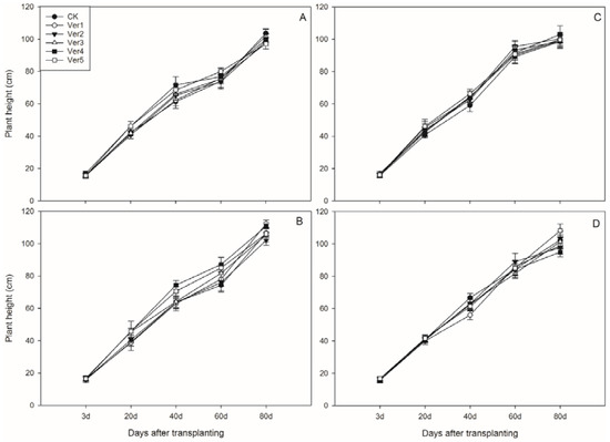
3.2. Plant Height, Chlorophyll Content, and Dry Matter Accumulation
3.3. Grain Quality Characters
3.4. Grain 2-AP Content
4. Discussion
5. Conclusions
Author Contributions
Funding
Data Availability Statement
Conflicts of Interest
References
- Jiang, Z.; Lian, F.; Wang, Z.; Xing, B. The role of biochars in sustainable crop production and soil resiliency. J. Exp. Bot. 2019, 71, 520–542. [Google Scholar] [CrossRef] [PubMed]
- Han, Y.; Ma, W.; Zhou, B.; Salah, A.; Geng, M.; Cao, C.; Zhan, M.; Zhao, M. Straw return increases crop grain yields and K-use efficiency under a maize-rice cropping system. Crop J. 2020, 9, 168–180. [Google Scholar] [CrossRef]
- Do, T.N.; Nishida, K. A nitrogen cycle model in paddy fields to improve material flow analysis: The Day-Nhue River Basin case study. Nutr. Cycl. Agroecosyst. 2014, 100, 215–226. [Google Scholar] [CrossRef]
- Rahman, M.M.; Khanom, A.; Biswas, S.K. Effect of Pesticides and Chemical Fertilizers on the Nitrogen Cycle and Functional Microbial Communities in Paddy Soils: Bangladesh Perspective. Bull. Environ. Contam. Toxicol. 2021, 106, 243–249. [Google Scholar] [CrossRef]
- Bossolani, J.W.; Crusciol, C.A.C.; Portugal, J.R.; Moretti, L.G.; Garcia, A.; Rodrigues, V.A.; Fonseca, M.d.C.d.; Bernart, L.; Vilela, R.G.; Mendonça, L.P.; et al. Long-term liming improves soil fertility and soybean root growth, reflecting improvements in leaf gas exchange and grain yield. Eur. J. Agron. 2021, 128, 126308. [Google Scholar] [CrossRef]
- Zhang, X.; Sa, R.; Gao, J.; Wang, C.; Liu, D.; Zhang, Y. Preventive Effect of Vermicompost against Cucumber Fusarium Wilt and Improvement of Cucumber Growth and Soil Properties. Int. J. Agric. Biol. 2020, 23, 515–521. [Google Scholar] [CrossRef]
- Mo, Z.; Li, W.; Pan, S.; Fitzgerald, T.L.; Xiao, F.; Tang, Y.; Wang, Y.; Duan, M.; Tian, H.; Tang, X. Shading during the grain filling period increases 2-acetyl-1-pyrroline content in fragrant rice. Rice 2015, 8, 1–10. [Google Scholar] [CrossRef] [Green Version]
- Wakte, K.; Zanan, R.; Hinge, V.; Khandagale, K.; Nadaf, A.; Henry, R. Thirty-three years of 2-acetyl-1-pyrroline, a principal basmati aroma compound in scented rice (Oryza sativaL.): A status review. J. Sci. Food Agric. 2016, 97, 384–395. [Google Scholar] [CrossRef]
- Poonlaphdecha, J.; Gantet, P.; Maraval, I.; Sauvage, F.-X.; Menut, C.; Morère, A.; Boulanger, R.; Wüst, M.; Gunata, Z. Biosynthesis of 2-acetyl-1-pyrroline in rice calli cultures: Demonstration of 1-pyrroline as a limiting substrate. Food Chem. 2016, 197, 965–971. [Google Scholar] [CrossRef]
- Wakte, K.V.; Kad, T.D.; Zanan, R.L.; Nadaf, A.B. Mechanism of 2-acetyl-1-pyrroline biosynthesis in Bassia latifolia Roxb. flowers. Physiol. Mol. Biol. Plants 2011, 17, 231–237. [Google Scholar] [CrossRef] [Green Version]
- Mo, Z.; Li, Y.; Nie, J.; He, L.; Pan, S.; Duan, M.; Tian, H.; Xiao, L.; Zhong, K.; Tang, X. Nitrogen application and different water regimes at booting stage improved yield and 2-acetyl-1-pyrroline (2AP) formation in fragrant rice. Rice 2019, 12, 1–16. [Google Scholar] [CrossRef] [Green Version]
- Luo, H.; He, L.; Du, B.; Pan, S.; Mo, Z.; Duan, M.; Tian, H.; Tang, X. Biofortification with chelating selenium in fragrant rice: Effects on photosynthetic rates, aroma, grain quality and yield formation. Field Crop. Res. 2020, 255, 107909. [Google Scholar] [CrossRef]
- Ruan, S.; Luo, H.; Zeng, X.; Wen, R.; Wu, F.; Tang, X. Effects of Different Vermicompost Rates on Growth, 2-Acetyl-1-Pyrroline, Photosynthesis and Antioxidant Responses of Fragrant Rice (Oryza sativa L.) Seedling. Phyton 2021, 90, 1273–1283. [Google Scholar] [CrossRef]
- Sahin, S.; Kurt, H. Effects of vermicompost applications on growth and phosphorus uptake of maize plants (Zea Mays L.). Fresenius Environ. Bull. 2020, 29, 11216–11222. [Google Scholar] [CrossRef]
- Cai, J.-F.; Liu, X.-S.; Sun, K.; Jiang, F.; Zhang, M.-X.; Li, H.-L.; Yu, F.-H. Vermicompost Application Enhances Halophyte Suaeda salsa Performance and Improves Coastal Saline Soil Quality. J. Soil Sci. Plant Nutr. 2021, 1–12. [Google Scholar] [CrossRef]
- Bao, G.; Ashraf, U.; Wang, C.; He, L.; Wei, X.; Zheng, A.; Mo, Z.; Tang, X. Molecular basis for increased 2-acetyl-1-pyrroline contents under alternate wetting and drying (AWD) conditions in fragrant rice. Plant Physiol. Biochem. 2018, 133, 149–157. [Google Scholar] [CrossRef]
- Liu, X.; Huang, Z.; Li, Y.; Xie, W.; Li, W.; Tang, X.; Ashraf, U.; Kong, L.; Wu, L.; Wang, S.; et al. Selenium-silicon (Se-Si) induced modulations in physio-biochemical responses, grain yield, quality, aroma formation and lodging in fragrant rice. Ecotoxicol. Environ. Saf. 2020, 196, 110525. [Google Scholar] [CrossRef]
- Blouin, M.; Barrere, J.; Meyer, N.; Lartigue, S.; Barot, S.; Mathieu, J. Vermicompost significantly affects plant growth. A meta-analysis. Agron. Sustain. Dev. 2019, 39, 1–15. [Google Scholar] [CrossRef]
- Lin, B.; Li, B.; Huang, Z.; Zheng, X.; Mu, Y.; Ye, A.; Zhang, C.; Ai, S.; Mustafad, N.S.; Zhang, L. Effects of vermicompost application on quality of flue-cured tobacco. Pak. J. Bot. 2020, 53, 701–706. [Google Scholar] [CrossRef]
- Wang, L.; Liu, J.; Nie, Y.; Wang, D.; Wang, H. Effects of vermicompost on tomato Fusarium wilt and soil microbial community structure. Acta Agric. Scand. Sect. B—Soil Plant Sci. 2021, 71, 835–851. [Google Scholar] [CrossRef]
- Zeng, L.; Zhang, Q.; Cai, M.; Chow, W.; Peng, C. Changes in photosynthetic pigments and chlorophyll fluorescence parameters in the super-high-yielding rice hybrid Peiai64S/E32 during senescence. Photosynthetica 2020, 58, 862–868. [Google Scholar] [CrossRef]
- Pan, S.; Wen, X.; Wang, Z.; Ashraf, U.; Tian, H.; Duan, M.; Mo, Z.; Fan, P.; Tang, X. Benefits of mechanized deep placement of nitrogen fertilizer in direct-seeded rice in South China. Field Crop. Res. 2017, 203, 139–149. [Google Scholar] [CrossRef]
- Ye, M.; Peng, S.; Li, Y. Intraspecific variation in photosynthetic nitrogen-use efficiency is positively related to photosynthetic rate in rice (Oryza sativa L.) plants. Photosynthetica 2019, 57, 311–319. [Google Scholar] [CrossRef] [Green Version]
- Zhang, W.; Yu, J.; Xu, Y.; Wang, Z.; Liu, L.; Zhang, H.; Gu, J.; Zhang, J.; Yang, J. Alternate wetting and drying irrigation combined with the proportion of polymer-coated urea and conventional urea rates increases grain yield, water and nitrogen use efficiencies in rice. Field Crop. Res. 2021, 268, 108165. [Google Scholar] [CrossRef]
- Huang, L.; Liu, X.; Wang, Z.; Liang, Z.; Wang, M.; Liu, M.; Suarez, D.L. Interactive effects of pH, EC and nitrogen on yields and nutrient absorption of rice (Oryza sativa L.). Agric. Water Manag. 2017, 194, 48–57. [Google Scholar] [CrossRef]
- Khandaker, A.H.; Horiuchi, T.; Miyagawa, S. Effects of Powdered Rice Chaff on Growth and Yield of Rice Under Different Soil pH Conditions. Commun. Soil Sci. Plant Anal. 2004, 35, 1469–1484. [Google Scholar] [CrossRef]
- Nazish, T.; Arshad, M.; Jan, S.U.; Javaid, A.; Khan, M.H.; Naeem, M.A.; Baber, M.; Ali, M. Transporters and transcription factors gene families involved in improving nitrogen use efficiency (NUE) and assimilation in rice (Oryza sativa L.). Transgenic Res. 2021, 31, 23–42. [Google Scholar] [CrossRef]
- Bajwa, S.G.; Mishra, A.; Norman, R.J. Plant Nitrogen Accumulation Dynamics in Rice in Response to Nitrogen Management. Commun. Soil Sci. Plant Anal. 2010, 41, 454–471. [Google Scholar] [CrossRef]
- Kurai, T.; Wakayama, M.; Abiko, T.; Yanagisawa, S.; Aoki, N.; Ohsugi, R. Introduction of the ZmDof1 gene into rice enhances carbon and nitrogen assimilation under low-nitrogen conditions. Plant Biotechnol. J. 2011, 9, 826–837. [Google Scholar] [CrossRef]
- Mo, Z.; Tang, Y.; Ashraf, U.; Pan, S.; Duan, M.; Tian, H.; Wang, S.; Tang, X. Regulations in 2-acetyl-1-pyrroline contents in fragrant rice are associated with water-nitrogen dynamics and plant nutrient contents. J. Cereal Sci. 2019, 88, 96–102. [Google Scholar] [CrossRef]





| Lug | Cultivar | Treatment | Effective Panicle Number (Plant−1) | Grain Number (Panicle−1) | Seed-Setting Rate (%) | 1000-Grain Weight (g) | Grain Yield (t ha−1) |
|---|---|---|---|---|---|---|---|
| Early lug | |||||||
| Meixiangzhan-2 | |||||||
| CK | 17.10 ± 1.73 a | 131.33 ± 0.58 b | 70.24 ± 1.82 a | 19.07 ± 0.42 c | 4.79 ± 0.52 b | ||
| Ver1 | 18.10 ± 3.14 a | 144.00 ± 3.00 a | 68.79 ± 1.51 a | 18.83 ± 0.21 c | 5.55 ± 0.08 a | ||
| Ver2 | 18.80 ± 2.09 a | 142.67 ± 1.15 a | 67.98 ± 0.50 a | 20.15 ± 0.41 a | 6.03 ± 0.45 a | ||
| Ver3 | 17.80 ± 2.20 a | 146.00 ± 4.00 a | 69.93 ± 1.42 a | 20.27 ± 0.24 a | 5.57 ± 0.36 a | ||
| Ver4 | 18.10 ± 1.91 a | 145.33 ± 3.79 a | 70.41 ± 0.97 a | 19.90 ± 0.26 ab | 5.83 ± 0.46 a | ||
| Ver5 | 18.00 ± 3.16 a | 145.00 ± 4.36 a | 68.44 ± 1.68 a | 19.40 ± 0.24 bc | 5.64 ± 0.12 a | ||
| Xiangyaxiangzhan | |||||||
| CK | 16.90 ± 2.13 d | 146.67 ± 4.93 a | 69.47 ± 0.66 a | 19.13 ± 0.31 d | 5.62 ± 0.35 b | ||
| Ver1 | 18.10 ± 2.77 cd | 145.67 ± 2.89 a | 69.97 ± 2.03 a | 20.17 ± 0.12 a | 5.89 ± 0.51 a | ||
| Ver2 | 21.60 ± 4.01 a | 143.33 ± 4.16 a | 68.72 ± 0.65 a | 19.53 ± 0.15 bc | 6.51 ± 0.44 a | ||
| Ver3 | 19.80 ± 2.98 abc | 145.33 ± 4.04 a | 70.40 ± 0.79 a | 19.83 ± 0.25 ab | 6.15 ± 0.17 a | ||
| Ver4 | 18.50 ± 2.84 bcd | 146.00 ± 2.64 a | 68.80 ± 1.24 a | 20.00 ± 0.17 a | 6.12 ± 0.55 a | ||
| Ver5 | 21.00 ± 3.02 ab | 145.33 ± 3.79 a | 70.29 ± 1.82 a | 19.33 ± 0.21 cd | 6.28 ± 0.50 a | ||
| Late lug | |||||||
| Meixiangzhan-2 | |||||||
| CK | 13.90 ± 2.60 b | 105.00 ± 13.75 b | 71.46 ± 6.17 ab | 16.43 ± 0.36 d | 3.14 ± 0.28 c | ||
| Ver1 | 17.00 ± 2.11 a | 110.00 ± 17.69 ab | 77.85 ± 5.08 a | 17.81 ± 0.79 bc | 3.58 ± 0.36 bc | ||
| Ver2 | 16.70 ± 4.97 ab | 128.67 ± 14.47 ab | 70.84 ± 5.91 a | 19.64 ± 0.59 a | 4.61 ± 0.42 a | ||
| Ver3 | 17.70 ± 2.00 a | 131.67 ± 10.12 a | 66.91 ± 3.54 b | 20.04 ± 0.61 a | 4.43 ± 0.59 a | ||
| Ver4 | 17.40 ± 2.63 a | 130.00 ± 8.54 a | 66.23 ± 5.13 b | 18.52 ± 0.55 b | 3.99 ± 0.41 ab | ||
| Ver5 | 19.30 ± 4.43 a | 126.67 ± 6.03 ab | 67.83 ± 3.64 b | 16.78 ± 0.8 cd | 3.88 ± 0.62 abc | ||
| Xiangyaxiangzhan | |||||||
| CK | 16.40 ± 2.27 c | 101.67 ± 6.66 a | 65.96 ± 6.72 ab | 16.84 ± 0.62 a | 3.26 ± 0.33 b | ||
| Ver1 | 17.90 ± 2.64 bc | 98.33 ± 9.29 a | 69.44 ± 3.92 a | 16.96 ± 0.09 a | 3.35 ± 0.40 b | ||
| Ver2 | 19.30 ± 5.54 abc | 101.33 ± 5.77 a | 70.67 ± 4.06 a | 17.17 ± 0.22 a | 4.24 ± 0.28 a | ||
| Ver3 | 19.80 ± 3.49 ab | 108.67 ± 8.5 a | 63.08 ± 4.09 ab | 17.05 ± 0.09 a | 3.53 ± 0.42 b | ||
| Ver4 | 20.90±2.64 ab | 104.00±4.00 a | 58.79±5.15 bc | 17.45±0.62 a | 3.74±0.35 ab | ||
| Ver5 | 22.00±2.66 a | 84.33±9.71 b | 51.41±3.97 c | 17.46±0.55 a | 3.19±0.32 b | ||
| Lug | Cultivar | Treatment | Brown Rice Rate (%) | Milled Rice Rate (%) | Head Rice Rate (%) | Crude Protein (%) | Amylose (%) | Chalky Rice Rate (%) | Chalkiness (%) |
|---|---|---|---|---|---|---|---|---|---|
| Early lug | |||||||||
| Meixiangzhan-2 | |||||||||
| CK | 76.19 ± 0.37 bc | 67.59 ± 0.36 c | 51.45 ± 1.49 b | 7.17 ± 0.06 b | 18.17 ± 0.50 a | 12.00 ± 4.36 bc | 2.52 ± 1.14 bc | ||
| Ver1 | 75.91 ± 0.28 cd | 68.73 ± 0.45 ab | 55.35 ± 1.61 a | 7.47 ± 0.06 a | 17.50 ± 0.36 c | 4.00 ± 1.00 d | 0.68 ± 0.26 c | ||
| Ver2 | 75.38 ± 0.28 d | 68.22 ± 0.31 bc | 50.68 ± 0.50 b | 7.37 ± 0.06 a | 16.50 ± 0.17 d | 9.00 ± 1.00 cd | 2.33 ± 0.73 c | ||
| Ver3 | 76.72 ± 0.10 ab | 67.66 ± 0.63 c | 49.80 ± 1.37 bc | 6.57 ± 0.06 e | 17.70 ± 0.17 bc | 18.33 ± 1.53 ab | 5.20 ± 1.61 ab | ||
| Ver4 | 76.83 ± 0.59 a | 69.45 ± 0.25 a | 47.90 ± 1.67 c | 6.77 ± 0.06 d | 18.13 ± 0.23 ab | 19.33 ± 3.21 ab | 5.54 ± 3.10 a | ||
| Ver5 | 76.59 ± 0.13 ab | 68.5 ± 0.30 b | 49.60 ± 0.46 bc | 6.90 ± 0.00 c | 17.87 ± 0.15 abc | 21.67 ± 7.64 a | 5.17 ± 1.43 ab | ||
| Xiangyaxiangzhan | |||||||||
| CK | 75.17 ± 0.82 a | 64.44 ± 0.71 a | 56.74 ± 0.48 a | 7.50 ± 0.00 b | 17.97 ± 0.21 a | 5.33 ± 1.53 c | 1.11 ± 0.61 a | ||
| Ver1 | 74.77 ± 0.75 a | 63.90 ± 1.19 a | 54.26 ± 1.98 b | 8.07 ± 0.06 a | 16.77 ± 0.12 d | 6.00 ± 2.00 bc | 1.52 ± 1.02 a | ||
| Ver2 | 74.60 ± 0.62 a | 62.18 ± 0.30 a | 47.95 ± 1.07 d | 8.00 ± 0.00 a | 16.60 ± 0.1 d | 7.00 ± 2.00 bc | 1.27 ± 0.37 a | ||
| Ver3 | 74.74 ± 0.81 a | 63.67 ± 0.74 a | 46.50 ± 0.60 de | 7.33 ± 0.06 c | 17.37 ± 0.12 b | 8.33 ± 3.06ab | 2.10 ± 1.08 a | ||
| Ver4 | 72.90 ± 1.65 b | 61.48 ± 1.41 bc | 51.32 ± 1.25 c | 7.23 ± 0.06 cd | 17.17 ± 0.25 bc | 10.00 ± 3.61a | 1.90 ± 1.70 a | ||
| Ver5 | 74.13 ± 0.63 ab | 60.20 ± 0.85 c | 44.99 ± 0.71 e | 7.20 ± 0.10 d | 16.80 ± 0.26cd | 7.67 ± 3.21abc | 1.65 ± 1.06 a | ||
| Late lug | |||||||||
| Meixiangzhan-2 | |||||||||
| CK | 76.50 ± 0.18 d | 63.07 ± 0.49 b | 55.28 ± 1.76 c | 7.53 ± 0.21 a | 18.20 ± 1.08 a | 3.00 ± 3.46 ab | 0.45 ± 0.68 ab | ||
| Ver1 | 77.63 ± 0.22 a | 63.12 ± 0.04 b | 58.09 ± 0.84 ab | 7.70 ± 0.00 a | 18.07 ± 0.06 a | 2.67 ± 1.15 ab | 0.58 ± 0.11 ab | ||
| Ver2 | 76.57 ± 0.20 cd | 62.99 ± 0.26 b | 50.89 ± 0.87 d | 7.57 ± 0.06 a | 18.37 ± 0.15 a | 1.00 ± 0.00 b | 0.12 ± 0.03 b | ||
| Ver3 | 76.95 ± 0.34 c | 64.20 ± 0.31 a | 59.13 ± 0.42 a | 7.60 ± 0.00 a | 18.37 ± 0.60 a | 1.33 ± 0.58 ab | 0.20 ± 0.10 b | ||
| Ver4 | 77.44 ± 0.41 ab | 64.40 ± 0.36 a | 57.08 ± 0.40 bc | 7.23 ± 0.06 b | 18.27 ± 0.46 a | 5.67 ± 4.62 a | 0.89 ± 0.74 ab | ||
| Ver5 | 77.00 ± 0.38 bc | 63.14 ± 0.52 b | 56.08 ± 0.98 c | 6.77 ± 0.06 c | 18.77 ± 0.06 a | 4.33 ± 1.15 ab | 1.08 ± 0.48 a | ||
| Xiangyaxiangzhan | |||||||||
| CK | 73.41 ± 0.97 ab | 55.92 ± 0.56 a | 46.66 ± 5.63 a | 8.67 ± 0.06 b | 17.13 ± 0.15 b | 2.00 ± 1.73 a | 0.38 ± 0.33 a | ||
| Ver1 | 72.11 ± 2.79 b | 55.63 ± 1.77 a | 48.12 ± 1.38 a | 8.97 ± 0.06 a | 17.03 ± 0.15 b | 2.67 ± 1.15 a | 0.54 ± 0.50 a | ||
| Ver2 | 73.85 ± 0.94 ab | 54.63 ± 2.47 a | 44.57 ± 0.99 ab | 7.20 ± 0.00 cd | 18.20 ± 0.62 a | 3.33 ± 4.93 a | 0.57 ± 0.73 a | ||
| Ver3 | 73.58 ± 0.28 ab | 54.59 ± 0.61 a | 44.85 ± 0.60 ab | 7.03 ± 0.12 e | 18.20 ± 0.17 a | 7.33 ± 5.69 a | 1.42 ± 1.26 a | ||
| Ver4 | 75.30 ± 0.35 a | 50.88 ± 1.08 b | 41.11 ± 0.31 bc | 7.30 ± 0.00 c | 18.00 ± 0.17 a | 4.67 ± 7.23 a | 0.63 ± 1.06 a | ||
| Ver5 | 74.59 ± 0.70 ab | 51.13 ± 1.15 b | 36.48 ± 1.24 c | 7.10 ± 0.10 de | 18.20 ± 0.20 a | 5.67 ± 6.43 a | 1.26 ± 1.16 a | ||
Publisher’s Note: MDPI stays neutral with regard to jurisdictional claims in published maps and institutional affiliations. |
© 2022 by the authors. Licensee MDPI, Basel, Switzerland. This article is an open access article distributed under the terms and conditions of the Creative Commons Attribution (CC BY) license (https://creativecommons.org/licenses/by/4.0/).
Share and Cite
Ruan, S.; Wu, F.; Zhang, Y.; Luo, H.; He, L.; Lai, R.; Tang, X. Agronomic Performances of Fragrant Rice Cultivars under Different Vermicompost Rates. Agronomy 2022, 12, 681. https://doi.org/10.3390/agronomy12030681
Ruan S, Wu F, Zhang Y, Luo H, He L, Lai R, Tang X. Agronomic Performances of Fragrant Rice Cultivars under Different Vermicompost Rates. Agronomy. 2022; 12(3):681. https://doi.org/10.3390/agronomy12030681
Chicago/Turabian StyleRuan, Shaoyi, Feida Wu, Yingying Zhang, Haowen Luo, Longxin He, Rifang Lai, and Xiangru Tang. 2022. "Agronomic Performances of Fragrant Rice Cultivars under Different Vermicompost Rates" Agronomy 12, no. 3: 681. https://doi.org/10.3390/agronomy12030681
APA StyleRuan, S., Wu, F., Zhang, Y., Luo, H., He, L., Lai, R., & Tang, X. (2022). Agronomic Performances of Fragrant Rice Cultivars under Different Vermicompost Rates. Agronomy, 12(3), 681. https://doi.org/10.3390/agronomy12030681

