Deciphering the Colonization Strategies in Roots of Long-Term Fertilized Festuca rubra
Abstract
1. Introduction
2. Materials and Methods
2.1. Experimental Design
2.2. Laboratory Analysis
2.3. Data Analysis
3. Results
3.1. Global Dynamics of Mycorrhizal Parameters as Affected by Applied Treatments
3.2. Specific Influence of Long-Term Application of Treatments on Mycorrhizal Parameters
3.3. Spatial Ordination of Mycorrhizal Colonization Due to Applied Treatments
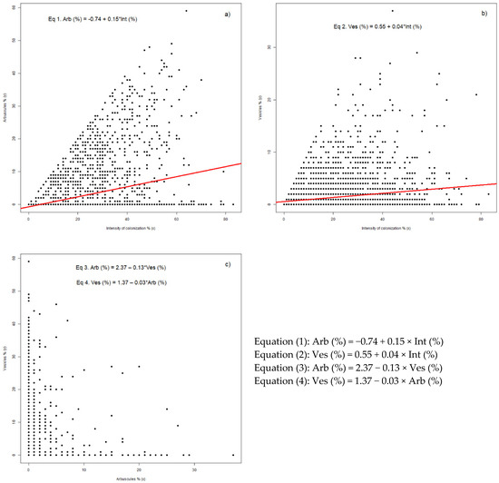
3.4. Colonization Strategies and Fungal Patterns in F. rubra Roots
- The propagative strategy (PS) shows a proliferation of mycorrhizas in roots, with the development of extensive hyphal networks; hyphae may develop continuously or around an entry point with discontinuities between colonized areas; arbuscules and vesicles are rarely present or absent in this case.
- The transfer strategy (TS) provides an image of a strong hyphal penetration in root cells and the formation of arbuscules; roots can present areas with both hyphae and arbuscules and alternate areas with hyphae and arbuscules or hyphae; vesicles are absent.
- The Storage strategy (SS) shows high densities of vesicles in roots; vesicles are uniform, being distributed along roots, or alternate areas of hyphae and vesicles with hyphae only.
- The plant resistance conditions strategy (RS) implies a reduced development of hyphae within the root cortex and large areas without fungal structures are present; several scenarios of development can be observed in roots—high punctual hyphal extension surrounded by non-mycorrhizal areas, numerous entry points with a reduced hyphal extension, and numerous discontinuities.
3.5. Mapping the Mycorrhizal Strategy in Long-Term Fertilized F. rubra
4. Discussion
4.1. Mycorrhizal Structure Development in Roots of F. rubra Shaped by Long-Term Treatments
4.2. Heterogeneity of Mycorrhizal Development due to Long-Term Applied Treatments in F. rubra
4.3. Long-Term Application of Treatments in F. rubra Induce Multiple Punctual Colonization Strategies
5. Conclusions
Supplementary Materials
Author Contributions
Funding
Data Availability Statement
Acknowledgments
Conflicts of Interest
References
- Gibson, D.J. Grasses and Grassland Ecology; OUP: Oxford, UK, 2008; ISBN 978-0-19-154609-9. [Google Scholar]
- Dornak, L.L.; Barve, N.; Peterson, A.T. Spatial Scaling of Prevalence and Population Variation in Three Grassland Sparrows. Condor 2013, 115, 186–197. [Google Scholar] [CrossRef]
- Sângeorzan, D.; Rotar, I.; Pacurar, F.; Ioana, V.; Alina, S.; Valeria, D. The definition of oligotrophic grasslands. Rom. J. Grassl. Forage Crops 2018, 2018, 17. [Google Scholar]
- Veresoglou, S.D.; Rillig, M.C.; Johnson, D. Responsiveness of Plants to Mycorrhiza Regulates Coexistence. J. Ecol. 2018, 106, 1864–1875. [Google Scholar] [CrossRef]
- Sushma; Verma, R.K.; Thakur, S.; Singh, H.; Kapur, D. Chapter 6—The Role of Fungi in Abiotic Stress Tolerance of Plants. In Fungi Bio-Prospects in Sustainable Agriculture, Environment and Nano-Technology; Sharma, V.K., Shah, M.P., Parmar, S., Kumar, A., Eds.; Academic Press: Cambridge, MA, USA, 2021; pp. 117–154. ISBN 978-0-12-821394-0. [Google Scholar]
- Pozo, M.J.; Azcón-Aguilar, C. Unraveling Mycorrhiza-Induced Resistance. Curr. Opin. Plant Biol. 2007, 10, 393–398. [Google Scholar] [CrossRef]
- Tian, L.; Zou, Y.-N.; Wu, Q.-S.; Kuča, K. Mycorrhiza-Induced Plant Defence Responses in Trifoliate Orange Infected by Phytophthora Parasitica. Acta Physiol. Plant 2021, 43, 45. [Google Scholar] [CrossRef]
- Jongen, M.; Albadran, B.; Beyschlag, W.; Unger, S. Can Arbuscular Mycorrhizal Fungi Mitigate Drought Stress in Annual Pasture Legumes? Plant Soil 2022. [Google Scholar] [CrossRef]
- Fu, W.; Chen, B.; Rillig, M.C.; Jansa, J.; Ma, W.; Xu, C.; Luo, W.; Wu, H.; Hao, Z.; Wu, H.; et al. Community response of arbuscular mycorrhizal fungi to extreme drought in a cold-temperate grassland. New Phytol. 2021. [Google Scholar] [CrossRef]
- Ilyas, M.; Nisar, M.; Khan, N.; Hazrat, A.; Khan, A.H.; Hayat, K.; Fahad, S.; Khan, A.; Ullah, A. Drought Tolerance Strategies in Plants: A Mechanistic Approach. J. Plant Growth Regul. 2021, 40, 926–944. [Google Scholar] [CrossRef]
- Riaz, M.; Kamran, M.; Fang, Y.; Wang, Q.; Cao, H.; Yang, G.; Deng, L.; Wang, Y.; Zhou, Y.; Anastopoulos, I.; et al. Arbuscular Mycorrhizal Fungi-Induced Mitigation of Heavy Metal Phytotoxicity in Metal Contaminated Soils: A Critical Review. J. Hazard. Mater. 2021, 402, 123919. [Google Scholar] [CrossRef]
- Rasheed, A.; Hassan, M.U.; Fahad, S.; Aamer, M.; Batool, M.; Ilyas, M.; Shang, F.; Wu, Z.; Li, H. Heavy Metals Stress and Plants Defense Responses. In Sustainable Soil and Land Management and Climate Change; CRC Press: Boca Raton, FL, USA, 2021; ISBN 978-1-00-310889-4. [Google Scholar]
- Zhou, J.; Wilson, G.W.T.; Cobb, A.B.; Zhang, Y.; Liu, L.; Zhang, X.; Sun, F. Mycorrhizal and Rhizobial Interactions Influence Model Grassland Plant Community Structure and Productivity. Mycorrhiza 2022, 32, 15–32. [Google Scholar] [CrossRef]
- Cardoso, I.M.; Kuyper, T.W. Mycorrhizas and Tropical Soil Fertility. Agric. Ecosyst. Environ. 2006, 116, 72–84. [Google Scholar] [CrossRef]
- Moora, M.; Zobel, M. Arbuscular Mycorrhizae and Plant–Plant Interactions Impact of Invisible World on Visible Patterns. In Positive Plant Interactions and Community Dynamics; Taylor & Francis Group: Boca Raton, FL, USA, 2010; pp. 79–98. ISBN 978-1-4398-2495-5. [Google Scholar]
- Asmelash, F.; Bekele, T.; Birhane, E. The Potential Role of Arbuscular Mycorrhizal Fungi in the Restoration of Degraded Lands. Front. Microbiol. 2016, 7, 1095. [Google Scholar] [CrossRef] [PubMed]
- Bender, S.F.; van der Heijden, M.G.A. Soil Biota Enhance Agricultural Sustainability by Improving Crop Yield, Nutrient Uptake and Reducing Nitrogen Leaching Losses. J. Appl. Ecol. 2015, 52, 228–239. [Google Scholar] [CrossRef]
- Wilby, A.; Orwin, K.H. Herbivore Species Richness, Composition and Community Structure Mediate Predator Richness Effects and Top-down Control of Herbivore Biomass. Oecologia 2013, 172, 1167–1177. [Google Scholar] [CrossRef]
- Li, H.; Xu, Z.; Yan, Q.; Yang, S.; Van Nostrand, J.D.; Wang, Z.; He, Z.; Zhou, J.; Jiang, Y.; Deng, Y. Soil Microbial Beta-Diversity Is Linked with Compositional Variation in Aboveground Plant Biomass in a Semi-Arid Grassland. Plant Soil 2018, 423, 465–480. [Google Scholar] [CrossRef]
- Grigulis, K.; Lavorel, S.; Krainer, U.; Legay, N.; Baxendale, C.; Dumont, M.; Kastl, E.; Arnoldi, C.; Bardgett, R.D.; Poly, F.; et al. Relative Contributions of Plant Traits and Soil Microbial Properties to Mountain Grassland Ecosystem Services. J. Ecol. 2013, 101, 47–57. [Google Scholar] [CrossRef]
- Gois, L.D.S.; Mendonça, J.D.J.; Teixeira, J.L.; Prado, C.M.D.O.; Holanda, F.S.R.; Marino, R.H. Exotic arbuscular mycorrhizal fungi and native dark septate endophytes on the initial growth of Paspalum Millegrana GRASS. Rev. Caatinga 2019, 32, 607–615. [Google Scholar] [CrossRef]
- Wilkes, T.I. Arbuscular Mycorrhizal Fungi in Agriculture. Encyclopedia 2021, 1, 1132–1154. [Google Scholar] [CrossRef]
- Willis, A.; Rodrigues, B.F.; Harris, P.J.C. The Ecology of Arbuscular Mycorrhizal Fungi. Crit. Rev. Plant Sci. 2013, 32, 1–20. [Google Scholar] [CrossRef]
- Jane Barker, S.; Tagu, D.; Delp, G. Regulation of Root and Fungal Morphogenesis in Mycorrhizal Symbioses1. Plant Physiol. 1998, 116, 1201–1207. [Google Scholar] [CrossRef]
- Genre, A.; Bonfante, P. The Making of Symbiotic Cells in Arbuscular Mycorrhizal Roots. In Arbuscular Mycorrhizas: Physiology and Function; Koltai, H., Kapulnik, Y., Eds.; Springer: Dordrecht, The Netherlands, 2010; pp. 57–71. ISBN 978-90-481-9489-6. [Google Scholar]
- Gollotte, A.; van Tuinen, D.; Atkinson, D. Diversity of Arbuscular Mycorrhizal Fungi Colonising Roots of the Grass Species Agrostis Capillaris and Lolium Perenne in a Field Experiment. Mycorrhiza 2004, 14, 111–117. [Google Scholar] [CrossRef] [PubMed]
- Parniske, M. Mycorrhiza: The Mother of Plant Root Endosymbioses|Nature Reviews Microbiology. Available online: https://www.nature.com/articles/nrmicro1987 (accessed on 28 February 2022).
- Roth, R.; Chiapello, M.; Montero, H.; Gehrig, P.; Grossmann, J.; O’Holleran, K.; Hartken, D.; Walters, F.; Yang, S.-Y.; Hillmer, S.; et al. A Rice Serine/Threonine Receptor-like Kinase Regulates Arbuscular Mycorrhizal Symbiosis at the Peri-Arbuscular Membrane. Nat. Commun. 2018, 9, 4677. [Google Scholar] [CrossRef] [PubMed]
- Smith, S.E.; Read, D.J. Mycorrhizal Symbiosis, 3rd ed.; Academic Press: Cambridge, MA, USA, 2008; ISBN 978-0-08-055934-6. [Google Scholar]
- Ohtomo, R.; Kobae, Y.; Morimoto, S.; Oka, N. Infection Unit Density as an Index of Infection Potential of Arbuscular Mycorrhizal Fungi. Microbes Environ. 2018, 33, 34–39. [Google Scholar] [CrossRef] [PubMed]
- Soka, G.E.; Ritchie, M.E. Arbuscular Mycorrhizal Spore Composition and Diversity Associated with Different Land Uses in a Tropical Savanna Landscape, Tanzania. Appl. Soil Ecol. 2018, 125, 222–232. [Google Scholar] [CrossRef]
- Vance, C.P. Symbiotic Nitrogen Fixation and Phosphorus Acquisition. Plant Nutrition in a World of Declining Renewable Resources. Plant Physiol. 2001, 127, 390–397. [Google Scholar] [CrossRef]
- Smith, S.E.; Read, D.J. Introduction. In Mycorrhizal Symbiosis, 2nd ed.; Academic Press: Cambridge, MA, USA, 1997; pp. 1–8. [Google Scholar] [CrossRef]
- Qu, L.; Wang, M.; Biere, A. Interactive Effects of Mycorrhizae, Soil Phosphorus, and Light on Growth and Induction and Priming of Defense in Plantago Lanceolata. Front. Plant Sci. 2021, 12, 647372. [Google Scholar] [CrossRef]
- Grant, C.; Bittman, S.; Montreal, M.; Plenchette, C.; Morel, C.; Bittman, C.; Montreal, S. Soil and Fertilizer Phosphorus: Effects on Plant P Supply and Mycorrhizal Development. Can. J. Plant Sci. 2005, 85, 3–14. [Google Scholar] [CrossRef]
- Vaida, I.; Păcurar, F.; Rotar, I.; Tomoș, L.; Stoian, V. Changes in Diversity Due to Long-Term Management in a High Natural Value Grassland. Plants 2021, 10, 739. [Google Scholar] [CrossRef]
- Vaida, I. The Influence of Management on the Agronomic and Ecological Value of Mountain Grasslands. Ph.D. Thesis, University of Agricultural Sciences and Veterinary Medicine, Cluj-Napoca, Romania, 2018. Available online: https://rei.gov.ro/ (accessed on 10 November 2021).
- Stoian, V.; Vidican, R.; Rotar, I.; Păcurar, F. Mycorrhizal Induced Domination of Festuca Rubra in Grasslands. Rom. J. Grassl. Forage Crop. 2016, 13, 77–84. [Google Scholar]
- Corcoz, L.; Păcurar, F.; Pop-Moldovan, V.; Vaida, I.; Stoian, V.; Vidican, R. Mycorrhizal Patterns in the Roots of Dominant Festuca Rubra in a High-Natural-Value Grassland. Plants 2021, 11, 112. [Google Scholar] [CrossRef]
- Stoian, V.H.; Florian, V. Mycorrhiza–Benefits, Influence, Diagnostic Method. Bull. UASMV Agric. 2009, 66, 2009. [Google Scholar] [CrossRef]
- Available online: https://www.pelikan.com/int/products/writing/supplies-accesories/156-inks/125-pelikan-4001-ink-glass-jar.html (accessed on 4 February 2022).
- Stoian, V.; Vidican, R.; Crişan, I.; Puia, C.; Şandor, M.; Stoian, V.A.; Păcurar, F.; Vaida, I. Sensitive approach and future perspectives in microscopic patterns of mycorrhizal roots. Sci. Rep. 2019, 9, 10233. [Google Scholar] [CrossRef] [PubMed]
- RStudio Team. RStudio: Integrated Development Environment for R. RStudio Inc.; RStudio Team: Boston, MA, USA, 2019. [Google Scholar]
- RCore Team. R: A Language and Environment for Statistical Computing; R Foundation for Statistical Computing: Vienna, Austria, 2021. [Google Scholar]
- Revelle, W. Psych: Procedures for Psychological, Psychometric, and Personality Research, R Package Version 1.9.12; Northwestern University: Evanston, IL, USA, 2019. [Google Scholar]
- De Mendiburu, F. Agricolae: Statistical Procedures for Agricultural Research. 2019. Available online: https://CRAN.R-project.org/package=agricolae (accessed on 10 November 2021).
- Oksanen, J.; Blanchet, F.G.; Friendly, M.; Kindt, R.; Legrende, P.; McGlinn, D.; Wagner, H. 633 Vegan: Community Ecology Package, R Package Version 2.5-2. 2019. Available online: https://CRAN.R-project.org/package=vegan (accessed on 10 November 2021).
- Vidican, R.; Păcurar, F.; Vâtcă, S.D.; Pleșa, A.; Stoian, V. Arbuscular mycorrhizas traits and yield of winter wheat profiled by mineral fertilization. Agronomy 2020, 10, 846. [Google Scholar] [CrossRef]
- Venables, W.N.; Ripley, B.D. Modern Applied Statistics with S, 4th ed.; Springer: New York, NY, USA, 2002. [Google Scholar]
- Vâtcă, S.; Vidican, R.; Gâdea, Ș.; Horvat, M.; Vâtcă, A.; Stoian, V.A.; Stoian, V. Blackcurrant Variety Specific Growth and Yield Formation as a Response to Foliar Fertilizers. Agronomy 2020, 10, 2014. [Google Scholar] [CrossRef]
- Stoian, V.; Vidican, R.; Rotar, I.; Păcurar, F.; Morea, A. Mycorrhizas in Trifolium Repens—A Short Term High Experiment Approach. Agric. Agric. Sci. Procedia 2016, 10, 39–46. [Google Scholar] [CrossRef]
- Mahmood, I.; Rizvi, R. Mycorrhiza and Organic Farming. Asian J. Plant Sci. 2010, 9, 241–248. [Google Scholar] [CrossRef][Green Version]
- Vosátka, M.; Albrechtová, J.; Patten, R. The International Market Development for Mycorrhizal Technology. In Mycorrhiza: State of the Art, Genetics and Molecular Biology, Eco-Function, Biotechnology, Eco-Physiology, Structure and Systematics; Varma, A., Ed.; Springer: Berlin/Heidelberg, Germany, 2008; pp. 419–438. ISBN 978-3-540-78826-3. [Google Scholar]
- Wang, M.-Y.; Hu, L.-B.; Wang, W.-H.; Liu, S.-T.; Li, M.; Liu, R.-J. Influence of Long-Term Fixed Fertilization on Diversity of Arbuscular Mycorrhizal Fungi. Pedosphere 2009, 19, 663–672. [Google Scholar] [CrossRef]
- Vályi, K.; Rillig, M.C.; Hempel, S. Land-use intensity and host plant identity interactively shape communities of arbuscular mycorrhizal fungi in roots of grassland plants. New Phytol. 2015, 205, 1577–1586. [Google Scholar] [CrossRef]
- Johnson, N.C.; Wilson, G.W.; Bowker, M.A.; Wilson, J.A.; Miller, R.M. Resource limitation is a driver of local adaptation in mycorrhizal symbioses. Proc. Natl. Acad. Sci. USA 2010, 107, 2093–2098. [Google Scholar] [CrossRef]
- Ceulemans, T.; Merckx, R.; Hens, M.; Honnay, O. A trait-based analysis of the role of phosphorus vs. nitrogen enrichment in plant species loss across North-west European grasslands. J. Appl. Ecol. 2011, 48, 1155–1163. [Google Scholar] [CrossRef]
- Muthukumar, T.; Udaiyan, K. Influence of organic manures on arbuscular mycorrhizal fungi associated with Vigna unguiculata (L.) Walp. in relation to tissue nutrients and soluble carbohydrate in roots under field conditions. Biol. Fertil. Soils 2000, 31, 114–120. [Google Scholar] [CrossRef]
- Porras-Alfaro, A.; Herrera, J.; Natvig, D.O.; Sinsabaugh, R.L. Effect of Long-Term Nitrogen Fertilization on Mycorrhizal Fungi Associated with a Dominant Grass in a Semiarid Grassland. Plant Soil 2007, 296, 65–75. [Google Scholar] [CrossRef]
- Bradley, K.; Drijber, R.A.; Knops, J. Increased N Availability in Grassland Soils Modifies Their Microbial Communities and Decreases the Abundance of Arbuscular Mycorrhizal Fungi. Soil Biol. Biochem. 2006, 38, 1583–1595. [Google Scholar] [CrossRef]
- Treseder, K.K.; Allen, M.F. Direct Nitrogen and Phosphorus Limitation of Arbuscular Mycorrhizal Fungi: A Model and Field Test. New Phytol. 2002, 155, 507–515. [Google Scholar] [CrossRef]
- Brundrett, M.; Bougher, N.; Dell, B.; Grove, T.; Malajczuk, N. Working with Mycorrhizas in Forestry and Agriculture; ACIAR monograph 32; Australian Centre for International Agricultural Research: Canberra, Australia, 1996.
- Bilalis, D.J.; Karamanos, A.J. Organic Maize Growth and Mycorrhizal Root Colonization Response to Tillage and Organic Fertilization. J. Sustain. Agric. 2010, 34, 836–849. [Google Scholar] [CrossRef]
- Amaya-Carpio, L.; Davies, F.T., Jr.; Fox, T.; He, C. Arbuscular Mycorrhizal Fungi and Organic Fertilizer Influence Photosynthesis, Root Phosphatase Activity, Nutrition, and Growth of Ipomoea Carnea ssp. fistulosa; Springer: Berlin/Heidelberg, Germany, 2009; Available online: https://link.springer.com/article/10.1007/s11099-009-0003-x (accessed on 5 February 2022).
- Cassman, N.A.; Leite, M.F.A.; Pan, Y.; de Hollander, M.; van Veen, J.A.; Kuramae, E.E. Plant and Soil Fungal but Not Soil Bacterial Communities Are Linked in Long-Term Fertilized Grassland. Sci. Rep. 2016, 6, 23680. [Google Scholar] [CrossRef]
- Fornara, D.A.; Flynn, D.; Caruso, T. Improving phosphorus sustainability in intensively managed grasslands: The potential role of arbuscular mycorrhizal fungi. Sci. Total Environ. 2020, 706, 135744. [Google Scholar] [CrossRef]
- Sielaff, A.C.; Polley, H.W.; Fuentes-Ramirez, A.; Hofmockel, K.; Wilsey, B.J. Mycorrhizal colonization and its relationship with plant performance differs between exotic and native grassland plant species. Biol. Invasions 2019, 21, 1981–1991. [Google Scholar] [CrossRef]
- Gryndler, M.; Larsen, J.; Hršelová, H.; Řezáčová, V.; Gryndlerová, H.; Kubát, J. Organic and Mineral Fertilization, Respectively, Increase and Decrease the Development of External Mycelium of Arbuscular Mycorrhizal Fungi in a Long-Term Field Experiment. Mycorrhiza 2006, 16, 159–166. [Google Scholar] [CrossRef]
- Nijjer, S.; Rogers, W.E.; Siemann, E. The impacts of fertilization on mycorrhizal production and investment in Western Gulf Coast Grasslands. Am. Midl. Nat. 2010, 163, 124–133. [Google Scholar] [CrossRef]
- Liu, B.; Li, H.; Zhu, B.; Koide, R.T.; Eissenstat, D.M.; Guo, D. Complementarity in nutrient foraging strategies of absorptive fine roots and arbuscular mycorrhizal fungi across 14 coexisting subtropical tree species. New Phytol. 2015, 208, 125–136. [Google Scholar] [CrossRef] [PubMed]
- Van Der Heijden, M.G. Mycorrhizal fungi reduce nutrient loss from model grassland ecosystems. Ecology 2010, 91, 1163–1171. [Google Scholar] [CrossRef] [PubMed]
- Zhu, C.; Ling, N.; Guo, J.; Wang, M.; Guo, S.; Shen, Q. Impacts of Fertilization Regimes on Arbuscular Mycorrhizal Fungal (AMF) Community Composition Were Correlated with Organic Matter Composition in Maize Rhizosphere Soil. Front. Microbiol. 2016, 7, 1840. [Google Scholar] [CrossRef] [PubMed]
- Sellal, Z.; Ouazzani Touhami, A.; Chliyeh, M.; Dahmani, J.; Benkirane, R.; Douira, A. Arbuscular Mycorrhizal Fungi Species Associated with Rhizosphere of Argania spinosa (L.) Skeels in Morocco. Int. J. Pure Appl. Biosci. 2014, 4, 82–99. [Google Scholar] [CrossRef]
- Juge, C.; Cossette, N.; Jeanne, T.; Hogue, R. Long-Term Revegetation on Iron Mine Tailings in Northern Québec and Labrador and Its Effect on Arbuscular Mycorrhizal Fungi. Appl. Soil Ecol. 2021, 168, 104145. [Google Scholar] [CrossRef]
- Bücking, H.; Liepold, E.; Ambilwade, P. The Role of the Mycorrhizal Symbiosis in Nutrient Uptake of Plants and the Regulatory Mechanisms Underlying These Transport Processes; IntechOpen: London, UK, 2012; ISBN 978-953-51-0905-1. [Google Scholar]
- Sonnemann, I.; Baumhaker, H.; Wurst, S. Species Specific Responses of Common Grassland Plants to a Generalist Root Herbivore (Agriotes Spp. Larvae). Basic Appl. Ecol. 2012, 13, 579–586. [Google Scholar] [CrossRef]
- Stein, C.; Rißmann, C.; Hempel, S.; Renker, C.; Buscot, F.; Prati, D.; Auge, H. Interactive effects of mycorrhizae and a root hemiparasite on plant community productivity and diversity. Oecologia 2009, 159, 191–205. [Google Scholar] [CrossRef]
- Hildebrandt, U.; Janetta, K.; Ouziad, F.; Renne, B.; Nawrath, K.; Bothe, H. Arbuscular mycorrhizal colonization of halophytes in Central European salt marshes. Mycorrhiza 2001, 10, 175–183. [Google Scholar] [CrossRef]
- Hart, M.M.; Reader, R.J. Taxonomic basis for variation in the colonization strategy of arbuscular mycorrhizal fungi. New Phytol. 2002, 153, 335–344. [Google Scholar] [CrossRef]
- Klironomos, J.N.; Hart, M.M. Colonization of roots by arbuscular mycorrhizal fungi using different sources of inoculum. Mycorrhiza 2002, 12, 181–184. [Google Scholar]






| Variant | Frequency | Intensity | Arbuscules | Vesicles | Colonization Degree | Non-Mycorrhizal Areas | Mycorrhizal/Non-Mycorrhizal Report |
|---|---|---|---|---|---|---|---|
| V1 | 44.51 ± 1.08 b | 18.22 ± 0.47 b | 1.95 ± 0.19 b | 1.80 ± 0.10 a | 12.25 ± 0.46 b | 81.78 ± 0.47 b | 0.27 ± 0.01 b |
| V2 | 55.00 ± 1.07 a | 24.13 ± 0.52 a | 3.15 ± 0.26 a | 2.13 ± 0.150 a | 17.72 ± 0.55 a | 75.87 ± 0.52 c | 0.39 ± 0.01 a |
| V3 | 53.12 ± 1.05 a | 22.50 ± 0.50 a | 2.86 ± 0.23 a | 1.37 ± 0.10 b | 16.17 ± 0.52 a | 77.50 ± 0.50 c | 0.35 ± 0.01 a |
| V4 | 39.35 ± 1.11 c | 16.42 ± 0.51 bc | 1.22 ± 0.17 b | 0.90 ± 0.07 c | 11.08 ± 0.51 bc | 83.58 ± 0.51 ab | 0.26 ± 0.01 b |
| V5 | 35.63 ± 1.05 c | 14.86 ± 0.44 c | 1.88 ± 0.2 b | 0.39 ± 0.04 d | 9.18 ± 0.42 c | 85.14 ± 0.44 a | 0.21 ± 0.01 c |
| F test | 61.99 | 65.06 | 13.30 | 50.47 | 65.03 | 51.90 | 42.53 |
| p value | p < 0.001 | p < 0.001 | p < 0.001 | p < 0.001 | p < 0.001 | p < 0.001 | p < 0.001 |
| Intensity | Arbuscules | Vesicles | ||||
|---|---|---|---|---|---|---|
| Propagative strategy—PS | ||||||
| Hyphae highly visible. Possible appearance cases: hyphae present as a linear or branched network; hyphae present as a regular radius around an entry point or irregular around and entry point. | Absent or rarely present | Absent or rarely present | ||||
| Transfer strategy—TS | ||||||
| Hyphae highly visible; arbuscules present along hyphal network or punctual with an irregular radius development. | Abundant | Absent | ||||
| Storage strategy—SS | ||||||
| Hyphae highly visible; vesicles present along hyphal network or punctual with alternate development. | Absent | Abundant | ||||
| Resistance conditions strategy—RS | ||||||
| Hyphae rarely present. Possible appearance cases: hyphae present as a limited linear or branched network; hyphae present as a regular radius around an entry point or irregular around and entry point with a limited development. | Absent or rarely present | Absent or rarely present | ||||
Publisher’s Note: MDPI stays neutral with regard to jurisdictional claims in published maps and institutional affiliations. |
© 2022 by the authors. Licensee MDPI, Basel, Switzerland. This article is an open access article distributed under the terms and conditions of the Creative Commons Attribution (CC BY) license (https://creativecommons.org/licenses/by/4.0/).
Share and Cite
Corcoz, L.; Păcurar, F.; Vaida, I.; Pleșa, A.; Moldovan, C.; Stoian, V.; Vidican, R. Deciphering the Colonization Strategies in Roots of Long-Term Fertilized Festuca rubra. Agronomy 2022, 12, 650. https://doi.org/10.3390/agronomy12030650
Corcoz L, Păcurar F, Vaida I, Pleșa A, Moldovan C, Stoian V, Vidican R. Deciphering the Colonization Strategies in Roots of Long-Term Fertilized Festuca rubra. Agronomy. 2022; 12(3):650. https://doi.org/10.3390/agronomy12030650
Chicago/Turabian StyleCorcoz, Larisa, Florin Păcurar, Ioana Vaida, Anca Pleșa, Cristina Moldovan, Vlad Stoian, and Roxana Vidican. 2022. "Deciphering the Colonization Strategies in Roots of Long-Term Fertilized Festuca rubra" Agronomy 12, no. 3: 650. https://doi.org/10.3390/agronomy12030650
APA StyleCorcoz, L., Păcurar, F., Vaida, I., Pleșa, A., Moldovan, C., Stoian, V., & Vidican, R. (2022). Deciphering the Colonization Strategies in Roots of Long-Term Fertilized Festuca rubra. Agronomy, 12(3), 650. https://doi.org/10.3390/agronomy12030650

