Next Article in Journal
Assessing the Response of Vitis vinifera L. cv. Xynisteri to Different Irrigation Regimes and Its Comparison to cvs. Maratheftiko, Shiraz and Sauvignon Blanc
Previous Article in Journal
Phenotypic Divergence among Sweet Pepper Landraces Assessed by Agro-Morphological Characterization as a Biodiversity Source
 
 
Font Type:
Arial Georgia Verdana
Font Size:
Aa Aa Aa
Line Spacing:
Column Width:
Background:
Article

Multidimensional Analysis of Diversity in Genotypes of Winter Oilseed Rape (Brassica napus L.)

1
Department of Mathematical and Statistical Methods, Poznań University of Life Sciences, Wojska Polskiego 28, 60-637 Poznań, Poland
2
Department of Oilseed Crops, Plant Breeding and Acclimatization Institute-National Research Institute (PBAI-NRI), Strzeszyńska 36, 60-479 Poznań, Poland
*
Author to whom correspondence should be addressed.
Agronomy 2022, 12(3), 633; https://doi.org/10.3390/agronomy12030633
Submission received: 11 January 2022 / Revised: 1 March 2022 / Accepted: 2 March 2022 / Published: 4 March 2022

Abstract

:
The effect of genotype, environment (year, location) and their interaction on seed yield and important breeding traits of 25 genotypes of winter oilseed rape were investigated under field conditions in Greater Poland. Multi-environmental field experiments were conducted in a randomized block design with four replications during three growing seasons in two locations. Five traits, such as the beginning of flowering, seed yield and its structure, the length of siliques, the number of seeds per silique and the weight of 1000 seeds were recorded. The tested Brassica genotypes showed significant differences in terms of yield and other investigated traits across harvesting years and growing locations. Analysis of variance indicated that the main effects of genotypes, locations and years as well as all interactions were significant for all traits of study. The correlation coefficient between the investigated traits displayed strong negative relationships between seed yield and the beginning of flowering (except E2). The use of multivariate statistical methods in this study allowed for the simultaneous characterization of 25 tested genotypes in terms of several traits. Visualization of the experimental results and finally the distribution of Brassica genotypes in space of two first canonical variates showed a variation between the cultivars, double low, resynthesized and lines with changed fatty acid content in terms of yield and its components, as well as the beginning of flowering.

1. Introduction

Oilseed rape, Brassica napus L. var. oleifera Metzg., is an important oilseed crop, second after soybean in cool and moderate climates. It is grown mainly for high-quality oil from its seeds, both for human nutrition, chemical and pharmaceutical industries and for the production of liquid biofuels [1,2]. The protein-rich meal (RSM) after oil extraction from the seeds of oilseed rape (or pressing) is a valuable feed for all classes of livestock: ruminants, poultry, swine and fish [3,4]. Due to the increasing use of oil and protein meal, breeding programs for many years focused on the production of varieties and starting material for breeding new genotypes that are primarily characterized by high yield, resistance to abiotic and biotic stresses. Additional goals, depending on the country’s own breeding goals, are high seed oil content as well as specific quality traits, such as the varied fatty acids’ content in the seed oil, high protein content, and yellow-seeded oilseed rape with reduced fiber content [1,5,6].
In oilseed rape breeding, and other crops as well, it is very important to understand the variability and interrelationships of basic phenotypic traits, especially agronomic, that help to determine the criteria for the selection of high-yielding genotypes resulting from the appropriate relationship between these traits. Many phenotypic traits of agronomic importance are controlled by multiple genes and its expression is the result of interaction between genotype and environment, as well as non-genetic factors [7,8,9]. In many factorial experiments, seed yield, as well as seed quality traits and yield-associated traits (yield components and yield-related traits) are strongly influenced by the environment [6,10,11,12,13]. Some of the authors pointed out that yield-related traits are influenced by many abiotic factors such as type of soil, precipitation, temperature, light and nutrients supply [14,15,16]. In many plant species, the multi-environmental experiments show information concerning the particular genotype variation in a particular environment, as well as its adaptability and stability [11,17,18,19]. Baker [20] pointed out that one genotype may be significantly better adapted to a given environment than another, and consequently genotypes may change in relative ranking from one environment to the next. Fletcher et al. [21] suggested also, that oilseed rape lines should be grown under diverse growing conditions and different geographies to understand the role of the environment in agronomically important traits and their interaction with the underlying genetic factors.
The importance of genetic, phenotypic diversity and GE interactions in plant breeding programs have been a focus of attention for breeders [22,23]. Studies on GEIs for different traits of numerous plant species rape were developed [12,19,24,25]. For this reason, plant breeders often conduct factorial experiments to study the influence of yield components on crop yield [26]. This influence may be analyzed using multivariate statistical methods [9,18,27].
The main objective of this study was to use the statistical methods to quantify genotype, environments and their interaction for the following seed yield (SY) and yield related traits: the beginning of flowering (BF), the length of silique (LS), the number of seeds per siliques (NS), and the weight of 1000 seeds (WTS) for 25 WOSR genotypes collected in six environments.

2. Materials and Methods

2.1. Plant Materials

Twenty five double low genotypes of winter oilseed rape were used for this study: seven WOSR cultivars–Monolit, Brendy, Starter and Polka (HO fatty acid content), Mendel, Sherlock, Zornyj; double low quality breeding lines with different fatty acid content; yellow seeded DH line Z 114; three new Polish CMS ogura hybrids and their parental lines—double low genotypes with the Rfo gene and CMS lines; semi-RS lines obtained at the Plant Breeding and Acclimatization Institute—National Research Institute in Poznań, Poland (Table 1).

2.2. Experimental Conditions

WOSR genotypes were cultivated for three growing seasons, 2014/2015, 2015/2016 and 2016/2017 in two locations, Borowo and Łagiewniki, to collect data on the beginning of flowering, seed yield and yield components including: length of silique, the number of seeds per silique and the weight of 1000 seeds. Field trials were carried out in a randomized block design with four replicates and a plot size, which was either 10 m2 (in Borowo) or 9.6 m2 (in Łagiewniki). All analyzed genotypes were grown in four-row plots, with the row distance of 0.30 m and with a sowing density of 70 seeds m−2. All agricultural practices were carried out optimally according to the local agroecological conditions in both of the investigated locations. The field experiments’ soil type, degree of agricultural usefulness, soil quality and previous crop are presented in Table 2 and Table 3. The temperatures and precipitation in each growing season are presented in Table 4.
Traits evaluated in the field trials were: the beginning of flowering time (BF), seed yield (SY), length of silique (LS), number of seeds per silique (NS) and the weight of 1000 seeds (WTS). Flowering time (days) was (i.e., when 50% of plants have their first flowers) the number of the days from the beginning of the year to the beginning of flowering. Approximately three weeks before harvesting, 40 well-developed siliques were taken from the middle of the main stems of five plants from each plot to record the data for silique length (mm) and number of seeds per siliques. Seeds were harvested on 28 and 20 July 2015, 26 and 27 July 2016 and 27 and 21 July 2017 in Borowo and Łagiewniki, respectively, at the seed maturity stage using a plot harvester. About two months after harvest, the weight of 1000 seeds (g) was estimated as the average of five measurement samples from the mixed seeds of each plot.

2.3. Statistical Analysis

The results collected from field experiments were subjected to statistical analysis. Firstly, the normality of the distribution of the studied traits was tested using Shapiro–Wilk’s normality test [28]. Multivariate normality and homogeneity of variance-covariance matrices were tested by Box’s M test. A three-way (year, location, genotype) multivariate analysis of variance (MANOVA) was performed. Then, three-way analysis of variance (ANOVA) was carried out to determine the effects of year, location and genotype as well as all interactions on variability of the beginning of flowering, seed yield, length of silique, the number of seeds per silique and the weight of 1000 seeds. The least-squares variance components were estimated. The variance components were used also to estimate broad sense heritability for each trait. Phenotypic correlation and genotypic correlation were estimated. Canonical variate analysis (CVA) was applied for the multi-trait assessment of similarity of the investigated genotypes in a lower number of dimensions with the least possible loss of information [29], and for each year independently. Mahalanobis [30] distance was suggested as a measure of “polytrait” genotypes’ similarity, the significance of which was verified by means of the critical value Dα, called “the least significant distance” [31]. CVA was performed for each environment (combination of years and locations) independently. The analysis of the relationship between seed yield and selected traits was carried out with multivariate regression analysis. Observations from six environments were analyzed separately. Additionally, multivariate regression analysis was conducted for all six environments jointly. To measure how well the model fitted the data, the coefficients of determination (R2) were calculated. A tri-plot appears to combine a genotype × environment biplot and a genotype × trait biplot by using the same set of genotype scores.

3. Results

3.1. MANOVA and ANOVA results, Variance Components and Heritability

In our study, all quantitative traits had a normal distribution as well as multivariate normality. The results of MANOVA showed that the years (Wilks’ λ = 0.05425; F = 502.06; p < 0.001); locations (Wilks’ λ = 0.00871; F = 279.82; p < 0.001); genotypes (Wilks’ λ = 0.00001; F = 53. 36; p < 0.001) and interactions: year × location (Wilks’ λ = 0.05649; F = 92.38; p < 0.001); year × genotype (Wilks’ λ = 0.00975; F = 9.3; p < 0.001); location × genotypes (Wilks’ λ = 0.00097; F = 9.32; p < 0.001) and year × location × genotype (Wilks’ λ = 0.00663; F = 5.35; p < 0.001) were significantly different when investigated in terms of all the five quantitative traits jointly. The analysis of variance (ANOVA) indicated that the main effects of location and genotype as well as all interactions were significant for all the traits of study. The main effects of year were significant for four of the observed traits–there was a lack of statistical signification for length of silique (Table 5).
Components of variance as genotypic, environmental and genotypic- environmental interaction for particular traits were presented in Table 6. Heritability in a broad sense ranged from 0.74 (for seed yield) to 0.92 (for length of silique) (Table 6).

3.2. Phenotypic and Genotypic Correlation Analysis

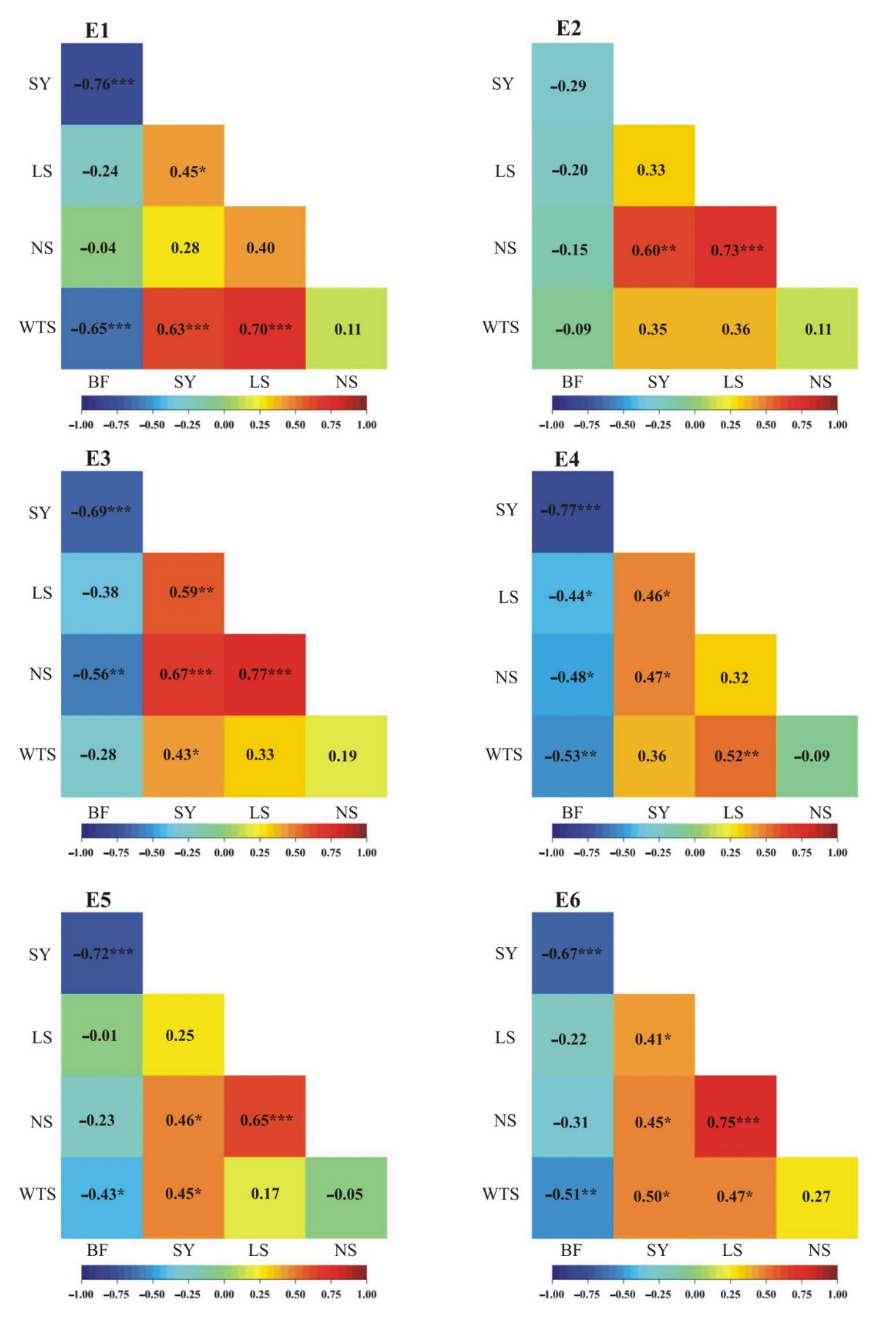
The results of the phenotypic correlation analysis are shown in Figure 1. BF was significantly negatively correlated with SY in five out of six environments (except E2) (correlation coefficients ranged from −0.77 in E4 to −0.67 in E6). SY was positively correlated with NS in five out of six environments (except E1) (from 0.45 in E6 to 0.67 in E3). Positive correlations were observed between SY and LS in: 2015 (0.45 in Borowo and 0.46 in Łagiewniki) and 2017 (0.59 in Borowo and 0.41 in Łagiewniki). LS positively correlated with NS in: 2016 (0.73 in Borowo and 0.65 in Łagiewniki) and 2017 (0.77 in Borowo and 0.75 in Łagiewniki). BF and WTS were negatively correlated in Łagiewniki (all three years of study) and in Borowo in 2015 (E1, r = −0.65). LS positively correlated with WTS in the first year of study (0.70 in Borowo–E1 and 0.52 in Łagiewniki–E4) as well as in E6–Łagiewniki 2017 (0.47). SY positively correlated with WTS in four environments: E1 (0.63); E3 (0.43); E5 (0.45) and E6 (0.50). BF and LS were correlated only in one environment–E4 (−0.44). The significant negative relationships between BF and NS were observed in E3 (−0.56) and E4 (−0.48) (Figure 1).
The results of the genotypic correlation analysis are shown in Figure 2. BF was significantly negatively correlated with SY (−0.76), NS (−0.51) and WTS (−0.52). Positive genotypic correlations were observed between: SY and NS (0.72); SY and WTS (0.56); LS and NS (0.66) as well as LS and WTS (0.58) (Figure 2).

3.3. The Canonical Variate Analysis (CVA)

The results of the CVA for the genotypes are shown in Table 7 and Figure 3, Figure 4, Figure 5, Figure 6, Figure 7 and Figure 8.

3.3.1. E1–Borowo, 2015

The first two canonical variates together explained 91.08% of the total variation between the genotypes (Table 7, Figure 3) in Borowo 2015. Figure 3 shows the distribution of the genotypes in the system of the first two canonical variates in Borowo 2015. In the diagrams, the coordinates of a given genotype are values of the first and second canonical variates, respectively. A significant linear relationship with the first canonical variate was found for seed yield, the weight of 1000 seeds (positive dependencies) and the beginning of flowering (negative dependencies) (Table 7). The second canonical variate was significantly positively correlated with the length of silique. For the first canonical variable in this environment, the genotypes F1_239 (G25); Sherlock (G22); HO_TP (G17) and DH D×C (G05) were positively distinguished in terms of SY, LS and WTS, while the genotypes S43 (G20); S1 (G21); Rfo_37 (G07) and HO_SS (G13) were clearly worse. For the second canonical variable the genotype CMS_64 (G10) and cultivars Monolit (G01) and Brendy (G02) responded better, while the S43 (G20); Rfo_37 (G07) and cultivar Polka (G16) were less responsive. The diagram clearly shows that the semi-RS lines S43 and S1, respectively, and lines derived from mutagenesis HO_SS (G13); HOLL_SS (G15) and 00_SS (G14) with changed fatty acid composition were grouped at some distance from the cultivars and were double low breeding lines of WOSR. In this environment the greatest variation in terms of all the five traits jointly measured with Mahalanobis distance was found for DH D×C (G05) and S1 (G20) (the distance between them amounted to 23.338). The greatest similarity was found between Sherlock (G22) and F1_ 239 (G25) (1.363) (data not shown).

3.3.2. E2–Borowo, 2016

The first and second canonical variates explained 76.58 and 14.23%, respectively, of the total variation between the genotypes (Table 7, Figure 4) in Borowo 2016. A significant positive linear relationship with the first canonical variate was found only for the beginning of flowering, however it was negative for seed yield (Table 7). The second canonical variate was significantly positively correlated with: seed yield; length of silique; the number of seeds per silique and the weight of 1000 seeds (Table 7). In the diagram, with respect to the first and second canonical variables, the semi-RS lines S43 and S1 (G20, G21, respectively) and the lines with the changed fatty acid composition HO_SS (G13) and HOLL_SS (G15) are grouped separately in relation to the other genotypes. In this environment the greatest variation in terms of all the five traits jointly was found for Starter (G03) and S43 (G20) (28.397). The greatest similarity was found between Rfo_38 (G08) and CMS_1612 LL (G12) (2.099).

3.3.3. E3–Borowo, 2017

The first two canonical variates together explained 89.22% of the total variation between the genotypes: 51.62% and 37.60% for the first and second variates, respectively, (Table 7, Figure 5) in Borowo 2017. A significant linear relationship with the first canonical variate was found for all observed traits: positive for the beginning of flowering, and negative for four others (Table 7). The second canonical variate was significantly positively correlated with the beginning of flowering, and negatively with the number of seeds per silique and the weight of 1000 seeds (Table 3). For the first canonical variable in the E3 environment, two mutants HO_SS (G13), HOLL_SS (G15) and the semi-RS line were distinguished in terms of the beginning of flowering, creating a separate cluster with respect to the other genotypes in the field experiment. In this environment the greatest variation in terms of all the five traits jointly was found for HO_SS (G13) and F1_239 (G25) (21.869). The greatest similarity was found between HO_TP (G17) and HO_TP_00 (G18) (1.739).

3.3.4. E4–Łagiewniki, 2015

The first two canonical variates together explained 84.98% (58.10% first variable and 26.88% second variable) of the total variation between the genotypes of winter oilseed rape (Brassica napus L.) (Table 7, Figure 6) in Łagiewniki 2015. A significant linear relationship with the first canonical variate was found for the beginning of flowering (positive), seed yield, length of silique and the weight of 1000 seeds (negative) (Table 7). The second canonical variate was significantly positively correlated with the beginning of flowering, and negatively with seed yield and the number of seeds per silique (Table 7). In the case of the first canonical variable, the genotypes derived from the resynthesis S43 (G20), S1 (G21) and the F1_S2 (G24) hybrid reacted clearly positively in the E4 environment. However, for the second canonical variable in this environment, mutants HO_SS (G13) and HOLL_SS (G15) and the breeding line 00_SS (G14) were significantly better. In this environment the greatest variation in terms of all the five traits jointly was found for DH D×C (G05) and HO_SS (G13) (22.633). The greatest similarity was found between CMS_1612 LL (G12) and F1_952 (G19) (1.697). As in the three previously studied environments, both the lines derived from resynthesis S1 (G21) and S43 (G20), as well as mutants HO_SS (G13) and HOLL_SS (G15), formed separate clusters.

3.3.5. E5–Łagiewniki, 2016

The first two canonical variates together explained 89.39% of the total variation between the studied genotypes of winter oilseed rape in Łagiewniki 2016 (Table 7, Figure 7). The first canonical variate correlated with the beginning of flowering (negatively) as well as seed yield and the weight of 1000 seeds (positively) (Table 7). The second canonical variate was significantly correlated only with the weight of 1000 seeds-positive relation (Table 7). For the first canonical variable, the cultivars and double low genotypes responded positively, while the lowest SY and WTS were found for the mutants HO_SS (G13) and HOLL_SS (G15), cultivar Zornyj (G23) and semi-RS line S43 (G20). Analyzing both canonical variables in this environment, it was found that HO_SS, HOLL_SS S43, F1_S2 and Zornyj (G13, G15, G20, G24 and G23, respectively) differed from other genotypes in terms of all quantitative features. In this environment the greatest variation in terms of all the five traits jointly was found for Sherlock (G22) and HO_SS (G13) (26.812). The greatest similarity was found between DH D×C (G05) and 00_SS(G14) (1.230).

3.3.6. E6–Łagiewniki, 2017

The first two canonical variates together explained 87.99% of the total variation between the genotypes: 69.51% and 18.48% for the first and second variates, respectively, (Table 7, Figure 8) in Łagiewniki 2017. A significant linear relationship with the first canonical variate was found for the beginning of flowering (positive), seed yield and the weight of 1000 seeds (negative) (Table 7). The second canonical variate was significantly positively correlated with length of silique and the weight of 1000 seeds (Table 7). As in all other environments, the genotypes HO_SS, HOLL_SS, S43 and S1 (G13, G15, G20 and G21, respectively), due to all the examined features, were grouped differently from the other cultivars and breeding lines studied in our experiment. In this environment the greatest variation in terms of all the five traits jointly was found for DH D×C (G05) and HO_SS (G13) (30.115). The greatest similarity was found between Brendy (G02) and F1_ S2 (G24) (2.472).

3.4. Mean Values of the 25 Genotypes

The beginning of flowering of the tested genotypes varied from 109.5 days (for Starter and Rfo_39 LL in Borowo 2016) to 130.8 days (for HO_SS in Łagiewniki 2017) (Table 8).
Seed yield of the tested genotypes varied from 5.5 (for HO_SS in Borowo 2017) to 61.33 dt ha−1 (for Starter in Łagiewniki 2015) (Table 9).
Length of silique of the tested genotypes varied from 41.05 (for R43 in Borowo 2015) to 74.5 cm (for Zornyj in Łagiewniki 2017) (Table 10).
The number of seeds per silique of the tested genotypes varied from 10.1 (for Rfo_39 LL in Borowo 2016) to 26.02 (for Rfo_39 LL in Łagiewniki 2015) (Table 11).
Weight of 1000 seeds of the tested genotypes varied from 3.33 g (for R43 in Borowo 2015) to 6.357 g (for DH D×C in Łagiewniki 2015) (Table 12).

3.5. Multivariate Regression Analysis

In all environments, except E2, the beginning of flowering significantly negatively affected seed yield. In E2 length of silique, the number of seeds per silique and the weight of 1000 seeds had an effect on seed yield. The number of seeds per silique had a positive effect on seed yield in E3 and E5; however, the weight of 1000 seeds in E3 did not have a positive effect (Table 13). Across environments all four traits affected seed yield in a statistically significant manner: the beginning of flowering and length of silique had a negative effect, however the number of seeds per silique and weight of 1000 seed had positive effects (Table 13). Coefficient of determination ranged from 27.02% (in E6) to 59.31% (in E3). However, for the multivariate regression model, using all information available across environments, the coefficient of determination was equal to 73.60% (Table 13).

3.6. Mahalanobis Distances

The range of Mahalanobis distances between studied genotypes was larger in E6—Łagiewniki 2017 (Figure 9). Mahalanobis distances between pairs of genotypes was significantly positively correlated in all pairs of studied environments and ranged from 0.240 (between E2 and E6) to 0.757 (between E3 and E6) (Figure 10).

3.7. A Tri-Plot

A tri-plot, that combines a genotype × environment biplot and a genotype × trait biplot by using the same set of genotype scores, was conducted (Figure 11). The first principal component accounted for 94.78% of the total variation. Genotypes G01, G03 and G12 adapted in environments E2 (Borowo 2016) and E5 (Łagiewniki 2016) and interacted positively with the length of silique. Genotypes G10, G11 and G18 adapted in environments Borowo 2017 and Łagiewniki 2017 and interacted positively with seed yield (Figure 11).

4. Discussion

Twenty-five winter oilseed rape genotypes of different backgrounds were studied in multi-environmental field trials. In this analysis, the variability in cultivars, breeding materials with different fatty acid composition, yellow-seeded and resynthesized lines was observed for all traits. Additionally, quantitative traits are determined by multiple genes and their expression is environmentally dependent. All sources of variation were highly significant. In the present study, analysis of variance showed that the main effects of year, location and genotype as well as the year-by-genotype, year-by-location-by-genotype interaction, were highly significant for studied traits (p < 0.001). According to many authors [6,32,33,34] the seed yield and yield-associated traits are the traits modified by the environmental influences’ factor, and the environment × genotype interaction. In addition, Shi et al. [35] observed that 15 yield-correlated traits in rapeseed were influenced by genotype, many abiotic factors, as well as the genotype × environment interaction.
In winter oilseed rape and many other plant species the multi-environmental investigations of breeding materials is extensively used for the characterization of breeding materials and germplasm collection from an agronomic point of view. Many authors also reported that this type of analysis shows information concerning particular genotype variation in a particular environment, as well its stability and adaptability [36,37,38]. In the presented study SY was significantly negatively correlated with BF in most environments. Comparable dependence was detected by Schiessl et al. [39], who observed the flowering time in 158 European winter-type B. napus inbred lines in a few locations, during the years 2010–2012.
Among the elements studied in our field trials, yield components traits–NS (five environments), LS (four environments) and WTS (four environments)—contributed significantly to seed yield. Shi et al. [40] reported that the most important factor for seed yield are the number of pods per plant and seeds per pod. Similarly, in field experiments with 24 DHs winter oilseed rape, Szała et al. [6], noticed the same significant positive correlation for these traits. Some authors discussed the usefulness of the 1000 seed weight trait as a reliable selection criterion for yield. Enqvist and Becker [41] reported that this trait is a good selection factor, whereas Rameeh [42] and Szała [6] did not obtain a positive correlation between the 1000 seed weight and yield. Chen et al. [16], Marjanović-Jeromela et al. [32], Wójtowicz [8], Łopatyńska et al. [9] and Szała et al. [6] reported that, in many genetic experiments, inheritance and correlations between yield and yield components depend on the agronomical conditions, weather and the plant materials under investigation. Radoev et al. [43] and Bocianowski et al. [44] showed also the impact of environmental condition on these traits. In the present study, the coefficient of heritability for the five investigated traits varied from 0.74 for seed yield to 0.92 for length of silique. The number of seeds per silique, which had the most significant effect on seed yield, had average heritability (0.77), while the most heritable yield components, the length of silique (0.92) had a negative effect with yield. On the other hand, interesting results were obtained by Shi et al. [11]. In two populations of doubled haploids (DHs) the siliques’ number, seeds’ number and seeds’ weight were significantly negatively correlated, which the authors explained suggested competition among the sinks for assimilates.
Knowledge of genotypes, the environments and the genotype-environment interaction for quantitative traits can help characterization of germplasm collection for adaptability, seed yield and phenotypic stability. Baker [20] reported that genotypes may change in relative ranking from one environment to the next. The author also pointed out that most cases of genotype may be significantly better adapters to a given environment than another. Numerous methods to analyze phenotypic stability of breeding material in many species of plant has been studied by biometricians [17,18,45]. Multivariable estimation of 25 genotypes of winter oilseed rape was conducted, in terms of several traits. The same analysis was performed on different types of cultivars of WOSR by Bocianowski et al. [44], and by Szała et al. [46] on two populations of DH lines of WOSR. Łopatyńska et al. [9], using multivariate statistical analysis, tested DH lines, their single cross and three–way cross hybrids of CMS ogura, in terms of eight quantitative traits, and resulted in 38.57 (V1) and 27.55% (V2) of the total variation in 2015, and 50.19% (V1) and 31.84% (V2) of the total variation in 2016, respectively. The first (V1) and the second canonical variate (V2) together explained 91.08% (E1—Borowo 2915); 90.81% (E2—Borowo 2016); 89.22% (E3—Borowo 2017); 84.98% (E4—Łagiewniki 2015); 89.39% (E5—Łagiewniki 2016) and 87.89% (E6—Łagiewniki 2017), respectively, of multivariate variability of genotypes. In the present study, it was found that the beginning of flowering, yield and yield components’ traits have a different degree of significance and a different extent of contribution to overall multi-trait variability. The beginning of flowering showed a significant positive correlation with the first canonical variable in four environments and negative in two others and this was also negatively correlated with seed yield. On the basis of canonical variate analysis, it could be also concluded that the traits which exerted a large influence on the differentiation of 25 genotypes were the beginning of flowering, seed yield, the number of seeds per silique and the weight of 1000 seeds. NS was positively correlated with yield in three localities (E2, E3 and E5) and WTS in two localities (E2 and E3). Length of siliques had the least discriminative power and was negatively correlated with SY only in E2.
In our experiment the largest differences with regard to five tested traits occurred between the genotypes in E6—Łagiewniki 2017. In addition, graphical distribution genotypes, in the system of the first two canonical variables, demonstrated variability, which appeared in the WOSR cultivars, double low-breeding materials, semi-resynthesized lines and genotypes with changed fatty acids content. However, the largest dissimilarities were recorded in all environments for semi-RS and mutant HO and HOLL types. Canonical variate analysis allowed distinction of our plant materials and the biggest difference in terms of all the investigated features.
The genotype × environment × trait tri-biplot model provides a comprehensive visual interpretation of data, as the tri-biplot displays mean performance, stability and simultaneously reflects the mega-environment and multi-traits [47,48,49,50,51,52].

5. Conclusions

This study illustrated how different statistical methodologies can determine the interaction effect of a genotype with a particular environment for SY and other traits in WOSR.
In our study, statistical analysis of 25 WOSR genotypes demonstrated a significant impact of E on SY and SY-related traits. We conclude that all traits were influenced mostly by G, and to a lesser, but statistically significant extent, by E, as well as by G×E interactions. The length of silique, the number of seed per silique and the weight of 1000 seeds contributed significantly to yield. Based on canonical variate analysis, it could be concluded that the beginning of flowering, seed yield and the weight of 1000 seeds were the characters which had the most influence on multivariate variation of genotypes.
Graphic images of the distribution of 25 genotypes in the space of the two first canonical variates showed a greater differentiation between the cultivars, double low genotypes, and CMS, Rfo and F1 CMS ogura than in the semi-resynthesized lines and genotypes (mutant) with changed fatty acid composition in terms of all quantitative traits. We stated that the new breeding materials such as mutant and semi-resynthesized lines demonstrated lower adaptive ability to changeable environmental conditions.

Author Contributions

Conceptualization, J.B. and A.L.; methodology, J.B. and A.L.; software, J.B.; validation, J.B. and A.L.; formal analysis, J.B.; investigation, A.L.; resources, A.L.; data curation, A.L.; writing—original draft preparation, J.B. and A.L.; writing—review and editing, J.B. and A.L.; visualization, J.B.; supervision, J.B.; project administration, J.B.; funding acquisition, J.B. All authors have read and agreed to the published version of the manuscript.

Funding

The field trials were funded by the Polish Ministry of Agriculture and Rural Development (https://www.gov.pl/web/rolnictwo, accessed on 10 January 2022), program titled “Biological Progress in Plant Production, 2014–2020”, task no. 48.

Institutional Review Board Statement

Not applicable.

Informed Consent Statement

Not applicable.

Data Availability Statement

Not applicable.

Conflicts of Interest

The authors declare no conflict of interest.

References

  1. Würschum, T.; Liu, W.; Mauer, H.P.; Abel, S.; Reif, J.C. Dissecting the genetic architecture of agronomic traits in multiple segregating populations in rapeseed (Brassica napus L.). Theor. Appl. Genet. 2012, 124, 153–161. [Google Scholar] [CrossRef] [PubMed]
  2. Huang, X.Q.; Huang, T.; Hou, G.Z.; Li, L.; Hou, Y.; Lu, Y.H. Identification of QTLs for seed quality traits in rapeseed (Brassica napus L.) using recombinant inbreed lines (RILs). Euphytica 2016, 210, 191–211. [Google Scholar] [CrossRef]
  3. Downey, R.K.; Bell, J.M. New Developments in Canola Research. In Canola and Rapeseed-Production, Chemistry Nutrition and Processing Technology; Shabidi, F., Ed.; Van Nostrand Reinhold: New York, NY, USA, 1991; pp. 37–46. [Google Scholar]
  4. Gacek, K.; Bayer, P.E.; Anderson, R.; Severn-Ellis, A.; Wolko, J.; Łopatyńska, A.; Matuszczak, M.; Bocianowski, J.; Edwards, D.; Batley, J. QTL Genetic Mapping Study for Traits Affecting Meal Quality in Winter Oilseed Rape (Brassica Napus L.). Genes 2021, 12, 1235. [Google Scholar] [CrossRef] [PubMed]
  5. Körber, N.; Bus, A.; Li, J.; Parkin, I.A.P.; Wittkop, B.; Snowdon, R.J.; Stich, B. Agronomic and seed quality traits dissected by genome-wide association mapping in Brassica napus. Front Plant Sci. 2016, 7, 386. [Google Scholar] [CrossRef]
  6. Szała, L.; Kaczmarek, Z.; Wójtowicz, M.; Sosnowska, K.; Cegielska-Taras, T. Genetic variability in oilseed rape DH line population developed from F1 hybrids obtained by crossing black-and yellow-seeded DH lines. I. yield and yield components. Euphytica 2021, 217, 99. [Google Scholar] [CrossRef]
  7. Piepho, H.P. Best linear unbiased prediction (BLUP) for regional yield Trials: A comparison to additive main effects and multiplicative interaction (AMMI) analysis. Theor. Appl. Genet. 1994, 89, 647–654. [Google Scholar] [CrossRef]
  8. Wójtowicz, M. Effect of environmental and agronomical factors on quantity and quality of yield of winter oilseed rape (Brassica napus L.). PBAI-NRI Monogr Diss. 2013, 45, 7–111. (In Polish) [Google Scholar]
  9. Łopatyńska, A.; Bocianowski, J.; Cyplik, A.; Wolko, J. Multidimensional analysis of diversity in DH lines and hybrids of winter Oilseed rape (Brassica napus L.). Agronomy 2021, 11, 645. [Google Scholar] [CrossRef]
  10. Quarrie, S.; Pekic, Q.S.; Radosevic, R.; Kaminska, R.; Barnes, J.D.; Leverington, M.; Ceoloni, C.; Dodig, D. Dissecting a wheat QTL for yield present in a range of environments: From QTL to candidate gene. J. Exp. Bot. 2006, 57, 2627–2637. [Google Scholar] [CrossRef] [Green Version]
  11. Shi, J.; Li, R.; Qiu, D.; Jiang, C.; Long, Y.; Morgan, C.; Bancroft, I.; Zhao, J.; Meng, J. Unraveling the complex trait of crop yield with quantitative trait loci mapping in Brassica napus. Genetics 2009, 182, 851–861. [Google Scholar] [CrossRef] [Green Version]
  12. Nowosad, K.; Liersch, A.; Popławska, W.; Bocianowski, J. Genotype by environment interaction for seed yield in rapeseed (Brassica napus L.) using additive main effects and multiplicative interaction model. Euphytica 2016, 208, 187–194. [Google Scholar] [CrossRef]
  13. Liersch, A.; Bocianowski, J.; Nowosad, K.; Mikołajczyk, K.; Spasibionek, S.; Wielebski, F.; Matuszczak, M.; Szała, L.; Cegielska-Taras, T.; Sosnowska, K.; et al. Effect of genotype × environment interaction for seed traits in winter oilseed rape (Brassica napus L.). Agriculture 2020, 10, 607. [Google Scholar] [CrossRef]
  14. Waller, F.; Achatz, B.; Balstruschat, H.; Fodor, J.; Becker, K.; Fischer, M.; Heier, T.; Hückelhoven, R.; Neumann, C.; von Wettstein, D.; et al. The endophytic fungus Piriformospora indica reprograms barley to salt-stress tolerance, disease resistance, and higher yield. Proc. Natl. Acad. Sci. USA 2005, 102, 13386–13391. [Google Scholar] [CrossRef] [PubMed] [Green Version]
  15. Zhang, Z.; Tao, S.; Li, J. A comparative study on physiological characteristics during seedling stage in yellow-seeded and black-seeded Brassica napus L. Acta Agron Sin. 2007, 33, 837–842. [Google Scholar]
  16. Chen, W.; Zhang, Y.; Yao, J.; Ma, C.; Tu, J.; Fu, T. Quantitative trait loci mapping for two seed yield component traits in an oilseed rape (Brassica napus) cross. Plant Breed. 2011, 130, 640–646. [Google Scholar] [CrossRef]
  17. Becker, H.C.; Leon, J. Stability analysis in plant breeding. Plant Breed. 1988, 101, 1–23. [Google Scholar] [CrossRef]
  18. Flores, F.; Moreno, M.T.; Cubero, J.I. A comparison of univariate and multivariate methods to analyze G × E interaction. Field Crops Res. 1998, 56, 271–286. [Google Scholar] [CrossRef]
  19. Seyis, F.; Friedt, W.; Lühs, W. Yield of Brassica napus L. hybrids developed using resynthesized rapeseed material sown in different locations. Field Crops Res. 2006, 96, 176–180. [Google Scholar] [CrossRef]
  20. Baker, R.J. Tests for crossover genotype-environment interactions. Can. J. Plant Sci. 1988, 68, 405–410. [Google Scholar] [CrossRef]
  21. Fletcher, R.S.; Mullen, J.L.; Heilinger, A.; McKay, J.K. QTL analysis of root morphology, flowering time, and yield reveals trade-offs in response to drought in Brassica napus. J. Exp. Bot. 2015, 66, 245–256. [Google Scholar] [CrossRef] [Green Version]
  22. Popławska, W.; Bartkowiak-Broda, I.; Liersch, A.; Fürguth, A. Evaluation of qualitative traits of restorer lines for CMS ogura and its usefulness for the development of F1 restored hybrids of winter oilseed rape (Brassica napus L.). Rośliny Oleiste Oilseed Crops 2001, 22, 335–348. (In Polish) [Google Scholar]
  23. Chen, B.; Xu, K.; Li, X.; Gao, G.; Yan, G.; Qiao, J.; Wu, X. Evaluation of quality traits and their genetic variation in global collections of Brassica napus. Plant Genet. Resour. 2017, 16, 146–155. [Google Scholar] [CrossRef]
  24. Farshadfar, E.; Mahmodi, N.; Yaghotipoor, A. AMMI stability value and simultaneous estimation of yield and yield stability in bread wheat (Triticum aestivum L.). Aust. J. Crop Sci. 2011, 5, 1837–1844. [Google Scholar]
  25. de Oliveira, E.J.; de Freitas, J.P.X.; de Jesus, O.N. AMMI analysis of the adaptability and yield stability of yellow passion fruit varieties. Scienta Agricola 2014, 71, 139–145. [Google Scholar] [CrossRef] [Green Version]
  26. Wnuk, A.; Gozdowski, D.; Górny, A.; Wyszyński, Z.; Kozak, M. Data visualization in yield component analysis: An expert study. Sci. Agric. 2017, 74, 118–126. [Google Scholar] [CrossRef] [Green Version]
  27. Mohammadi, S.A.; Prasanna, B.M. Analysis of genetic diversity in crop plant-salient statistical tools and considerations. Crop Sci. 2003, 43, 1235–1248. [Google Scholar] [CrossRef] [Green Version]
  28. Shapiro, S.S.; Wilk, M.B. An analysis of variance test for normality (complete samples). Biometrika 1965, 52, 591–611. [Google Scholar] [CrossRef]
  29. Rencher, A.C. Interpretation of canonical discriminant functions, canonical variates, and principal components. Am. Stat. 1992, 46, 217–225. [Google Scholar]
  30. Mahalanobis, P.C. On the generalized distance in statistics. Proc. Natl. Acad. Sci. India 1936, 12, 49–55. [Google Scholar]
  31. Seidler-Łożykowska, K.; Bocianowski, J. Evaluation of variability of morphological traits of selected caraway (Carum carvi L.) genotypes. Ind. Crop. Prod. 2012, 35, 140–145. [Google Scholar] [CrossRef]
  32. Marjanović-Jeromela, A.; Marinković, R.; Mijić, A.; Jankulovska, M.; Zdunić, Z. Interrelationship between oil yield and other quantitative traits in rapeseed (Brassica napus L.). J. Cent. Eur. Agric. 2007, 8, 165–170. [Google Scholar] [CrossRef]
  33. Chen, B.; Xu, K.; Li, J.; Li, F.; Qiao, J.; Li, H.; Gao, G.; Yan, G.; Wu, X. Evaluation of yield and agronomic traits and their geneticvariation in 488 global collections of Brassica napus L. Genet. Resour. Crop Eval. 2014, 61, 979–999. [Google Scholar] [CrossRef]
  34. Wolko, J.; Dobrzycka, A.; Bocianowski, J.; Bartkowiak-Broda, I. Estimation of heterosis for yield-related traits for single cross and three-way cross hybrids of oilseed rape (Brassica napus L.). Euphytica 2019, 215, 156. [Google Scholar] [CrossRef] [Green Version]
  35. Shi, J.; Li, R.; Zou, J.; Long, Y.; Meng, J. A dynamic and complex network regulates the heterosis of yield-correlated traits in rapeseed (Brassica napus L.). PLoS ONE 2011, 6, e21645. [Google Scholar] [CrossRef] [Green Version]
  36. Nowosad, K.; Liersch, A.; Popławska, W.; Bocianowski, J. Genotype by environment interaction for oil content in winter oilseed rape (Brassica napus L.) using addtive main effects and multiplicative interaction model. Indian J. Genet. 2017, 77, 293–297. [Google Scholar] [CrossRef] [Green Version]
  37. Werner, C.R.; Qian, L.; Voss-Fels, K.P.; Abbadi, A.; Leckband, G.; Frish, M.; Snowdon, R.J. Genome-wide regression models considering general and specific combining ability predict hybrid performance in oilseed rape with similar accuracy regardless of trait architecture. Theor. Appl. Genet. 2018, 131, 299–317. [Google Scholar] [CrossRef]
  38. Bocianowski, J.; Niemann, J.; Nowosad, K. Genotype-by-environment interaction for seed quality traits in interspecific cross-derived Brassica lines using additive main effects and multiplicative interaction model. Euphytica 2019, 215, 7. [Google Scholar] [CrossRef] [Green Version]
  39. Schiessl, S.; Iniguez-Luy, F.; Qian, W.; Snowdon, R.J. Diverse regulatory factors associate with flowering time and yield responses in winter-type Brassica napus. BMC Genomics 2015, 16, 737. [Google Scholar] [CrossRef] [Green Version]
  40. Shi, J.; Zhan, J.; Yang, Y.; Ye, J.; Huang, S.; Li, R.; Wang, X.; Liu, G.; Wang, H. Linkage and regional analysis reveal two new highly linked major_QTLs for number and seed number per pod in rapeseed (Brassica napus L.). Sci Rep. 2015, 5, 14481. [Google Scholar] [CrossRef] [Green Version]
  41. Engqvist, G.M.; Becker, H.C. Correlations studies for agronomic characters in segregating families of spring oilseed rape (Brassica napus). Hereditas 1993, 118, 211–216. [Google Scholar] [CrossRef]
  42. Rameeeh, V. Correlation and path analysis in advanced lines of rapeseed (Brassica napus) for yield components. J. Oilseed Brassica 2011, 2, 56–60. [Google Scholar]
  43. Radoev, M.; Becker, H.C.; Ecke, W. Genetic analysis of heterosis for yield and yield components in rapeseed (Brassica napus L.) by quantitative trait locus mapping. Genetics 2008, 179, 1547–1558. [Google Scholar] [CrossRef] [PubMed] [Green Version]
  44. Bocianowski, J.; Liersch, A.; Nowosad, K.; Bartkowiak-Broda, I. Variability of the agronomic characters in different types of cultivars of winter oilseed rape (Brassica napus L.). Polish J. Agron. 2017, 29, 3–11. [Google Scholar]
  45. Lin, C.S.; Binns, M.R.; Lefkovitch, L.P. Stability analysis: Where do we stand? Crop Sci. 1986, 26, 894–900. [Google Scholar] [CrossRef] [Green Version]
  46. Szała, L.; Cegielska-Taras, T.; Adamska, E.; Kaczmarek, Z. Assessment of genetic effects on important breeding traits in reciprocal DH populations of winter oilseed rape (Brassica napus L.). J. Integr. Agric. 2018, 17, 76–85. [Google Scholar] [CrossRef] [Green Version]
  47. Crossa, J.; Vargas, M.; van Eeuwijk, F.A.; Jiang, C.; Edmeades, G.O.; Hoisington, D. Interpreting genotype × environment interaction in tropical maize using linked molecular markers and environmental covariables. Theor. Appl. Genet. 1999, 99, 611–625. [Google Scholar] [CrossRef] [PubMed]
  48. Abbasi, Z.; Bocianowski, J. Genotype by environment interaction for physiological traits in sugar beet (Beta vulgaris L.) parents and hybrids using additive main effects and multiplicative interaction model. Eur. Food Res. Technol. 2021, 247, 3063–3081. [Google Scholar] [CrossRef]
  49. Bocianowski, J.; Radkowski, A.; Nowosad, K.; Radkowska, I.; Zieliński, A. The impact of genotype-by-environment interaction on the dry matter yield and chemical composition in timothy (Phleum pratense L.) examined by using the additive main effects and multiplicative interaction model. Grass Forage Sci. 2021, 76, 463–484. [Google Scholar] [CrossRef]
  50. Bocianowski, J.; Tratwal, A.; Nowosad, K. Genotype by environment interaction for main winter triticale varieties characteristics at two levels of technology using additive main effects and multiplicative interaction model. Euphytica 2021, 217, 26. [Google Scholar] [CrossRef]
  51. Bocianowski, J.; Prażak, R. Genotype by year interaction for selected quantitative traits in hybrid lines of Triticum aestivum L. with Aegilops kotschyi Boiss. and Ae. variabilis Eig. using the additive main effects and multiplicative interaction model. Euphytica 2022, 218, 11. [Google Scholar] [CrossRef]
  52. Bocianowski, J.; Wielkopolan, B.; Jakubowska, M. AMMI Analysis of the Effects of Different Insecticidal Treatments against Agrotis spp. on the Technological Yield from Sugar Beet. Agriculture 2022, 12, 157. [Google Scholar] [CrossRef]
Figure 1. Heatmaps for linear Pearson’s correlation coefficients between the observed traits on the basis of mean values for genotypes. BF—the beginning of flowering, SY—seed yield, LS—length of silique, NS—the number of seeds per silique, WTS—weight of 1000 seeds. E1—Borowo, 2015, E2—Borowo, 2016, E3—Borowo, 2017, E4—Łagiewniki, 2015, E5—Łagiewniki, 2016, E6—Łagiewniki, 2017. * p < 0.05, ** p < 0.01; *** p < 0.001.
Figure 1. Heatmaps for linear Pearson’s correlation coefficients between the observed traits on the basis of mean values for genotypes. BF—the beginning of flowering, SY—seed yield, LS—length of silique, NS—the number of seeds per silique, WTS—weight of 1000 seeds. E1—Borowo, 2015, E2—Borowo, 2016, E3—Borowo, 2017, E4—Łagiewniki, 2015, E5—Łagiewniki, 2016, E6—Łagiewniki, 2017. * p < 0.05, ** p < 0.01; *** p < 0.001.
Agronomy 12 00633 g001
Figure 2. Heatmaps for genotypic correlation coefficients between the observed traits. BF—the beginning of flowering, SY—seed yield, LS—length of silique, NS—the number of seeds per silique, WTS—the weight of 1000 seeds. * p < 0.05, ** p < 0.01; *** p < 0.001.
Figure 2. Heatmaps for genotypic correlation coefficients between the observed traits. BF—the beginning of flowering, SY—seed yield, LS—length of silique, NS—the number of seeds per silique, WTS—the weight of 1000 seeds. * p < 0.05, ** p < 0.01; *** p < 0.001.
Agronomy 12 00633 g002
Figure 3. Distribution of 25 genotypes of winter oilseed rape (Brassica napus L.) in the space of the first two canonical variates in Borowo 2015.
Figure 3. Distribution of 25 genotypes of winter oilseed rape (Brassica napus L.) in the space of the first two canonical variates in Borowo 2015.
Agronomy 12 00633 g003
Figure 4. Distribution of 25 genotypes of winter oilseed rape (Brassica napus L.) in the space of the first two canonical variates in Borowo 2016.
Figure 4. Distribution of 25 genotypes of winter oilseed rape (Brassica napus L.) in the space of the first two canonical variates in Borowo 2016.
Agronomy 12 00633 g004
Figure 5. Distribution of 25 genotypes of winter oilseed rape (Brassica napus L.) in the space of the first two canonical variates in Borowo 2017.
Figure 5. Distribution of 25 genotypes of winter oilseed rape (Brassica napus L.) in the space of the first two canonical variates in Borowo 2017.
Agronomy 12 00633 g005
Figure 6. Distribution of 25 genotypes of winter oilseed rape (Brassica napus L.) in the space of the first two canonical variates in Łagiewniki 2015.
Figure 6. Distribution of 25 genotypes of winter oilseed rape (Brassica napus L.) in the space of the first two canonical variates in Łagiewniki 2015.
Agronomy 12 00633 g006
Figure 7. Distribution of 25 genotypes of winter oilseed rape (Brassica napus L.) in the space of the first two canonical variates in Łagiewniki 2015.
Figure 7. Distribution of 25 genotypes of winter oilseed rape (Brassica napus L.) in the space of the first two canonical variates in Łagiewniki 2015.
Agronomy 12 00633 g007
Figure 8. Distribution of 25 genotypes of winter oilseed rape (Brassica napus L.) in the space of the first two canonical variates in Łagiewniki 2015.
Figure 8. Distribution of 25 genotypes of winter oilseed rape (Brassica napus L.) in the space of the first two canonical variates in Łagiewniki 2015.
Agronomy 12 00633 g008
Figure 9. Range of Mahalanobis distances between all studied genotypes in six environments of study. E1—Borowo, 2015; E2—Borowo, 2016; E3—Borowo, 2017; E4—Łagiewniki, 2015; E5—Łagiewniki, 2016; E6—Łagiewniki, 2017.
Figure 9. Range of Mahalanobis distances between all studied genotypes in six environments of study. E1—Borowo, 2015; E2—Borowo, 2016; E3—Borowo, 2017; E4—Łagiewniki, 2015; E5—Łagiewniki, 2016; E6—Łagiewniki, 2017.
Agronomy 12 00633 g009
Figure 10. Relationships between Mahalanobis distance within the studied environments. E1—Borowo, 2015; E2—Borowo, 2016; E3—Borowo, 2017; E4—Łagiewniki, 2015; E5—Łagiewniki, 2016; E6—Łagiewniki, 2017.*** p < 0.001.
Figure 10. Relationships between Mahalanobis distance within the studied environments. E1—Borowo, 2015; E2—Borowo, 2016; E3—Borowo, 2017; E4—Łagiewniki, 2015; E5—Łagiewniki, 2016; E6—Łagiewniki, 2017.*** p < 0.001.
Agronomy 12 00633 g010
Figure 11. A tri-plot genotype × environment × trait for 25 genotypes of winter oilseed rape. E1—Borowo, 2015; E2—Borowo, 2016; E3—Borowo, 2017; E4—Łagiewniki, 2015; E5—Łagiewniki, 2016; E6—Łagiewniki, 2017. BF—the beginning of flowering, SY—seed yield, LS—length of silique, NS—the number of seeds per silique, WTS—the weight of 1000 seeds.
Figure 11. A tri-plot genotype × environment × trait for 25 genotypes of winter oilseed rape. E1—Borowo, 2015; E2—Borowo, 2016; E3—Borowo, 2017; E4—Łagiewniki, 2015; E5—Łagiewniki, 2016; E6—Łagiewniki, 2017. BF—the beginning of flowering, SY—seed yield, LS—length of silique, NS—the number of seeds per silique, WTS—the weight of 1000 seeds.
Agronomy 12 00633 g011
Table 1. Genotype description.
Table 1. Genotype description.
CodeGenotypeCountry of Origin #Quality Type/Category
G01MonolitPLOP cultivar
G02BrendyPLOP cultivar
G03StarterPLOP cultivar
G04MendelDE, NPZF1 hybrid variety
G05DH D×CPL(PBAI-NRI)DH canola-type
G06Z 114PL(PBAI-NRI)DH yellow seeded canola-type
G07Rfo_37PL(PBAI-NRI)DH Rfo canola-type
G08Rfo_38PL(PBAI-NRI)DH Rfo canola-type
G09Rfo_39 LLPL(PBAI-NRI)DH Rfo canola-type
G10CMS_64PL(PBAI-NRI)CMS ogura canola-type
G11CMS_313PL(PBAI-NRI)CMS ogura canola-type
G12CMS_1612 LLPL(PBAI-NRI)CMS ogura canola-type
G13HO_SSPL(PBAI-NRI)HO-type mutant (high oleic acid content)
G1400_SSPL(PBAI-NRI)Canola-type
G15HOLL_SSPL(PBAI-NRI)HOLL mutant (high oleic low linolenic acid content)
G16PolkaPLOP cultivar, HO-type
G17HO_TPPL(PBAI-NRI)DH canola-type recombinant line
G18HO_TP 00PL(PBAI-NRI)DH canola-type recombinant line
G19F1_952PL(PBAI-NRI)Ogu-INRA F1 canola-type hybrid
G20R43PL(PBAI-NRI)Semi-RS line canola type
G21S1PL(PBAI-NRI)DH semi RS Rfo canola-type
G22SherlockDEOP canola cultivar, KWS
G23ZornyjUAOP canola cultivar
G24F1_S2PL(PBAI-NRI)Ogu-INRA F1 canola-type hybrid
G25F1_239PL(PBAI-NRI)Ogu-INRA F1 canola-type hybrid
# PL—Poland; DE—Denmark; UA—Ukraine; PBAI-NRI—Plant Breeding and Acclimatization Institute, National Research Institute.
Table 2. Environments used in the study and their main characteristics.
Table 2. Environments used in the study and their main characteristics.
LocationYearLongitude (E)Latitude (N)Soil Quality ClassSoil pHPrevious Crop
Borowo 2014/201516°47′19″52°07′12″IIIa6.0spring barley
2015/2016IIIa6.0winter triticale
2016/2017IVa6.0winter triticale
Łagiewniki 2014/201517°14′13″51°45′40″IIIa6.2winter wheat
2015/2016IIIa6.1spring barley
2016/2017IIIa6.2spring wheat
Table 3. Soil characteristics in the five trial locations–in crop seasons 2014/2015, 2015/2016 and 2016/2017.
Table 3. Soil characteristics in the five trial locations–in crop seasons 2014/2015, 2015/2016 and 2016/2017.
Soil CharacteristicsBorowoŁagiewniki
2014/20152015/20162016/20172014/20152015/20162016/2017
Soil type (origin)Grey-brown podzolic soil/podzolic soilBrown soil
Soil texture (cultivated layer)Loamy sand, sandy loamLoamy sand, sandy clay loam l
Complex of agicultural usefulnessgood wheatgood wheatgood ryegood wheatgood wheatgood wheat
Table 4. Meteorological conditions in Borowo and Łagiewniki during the growing season of winter oilseed rape in 2015, 2016 and 2017.
Table 4. Meteorological conditions in Borowo and Łagiewniki during the growing season of winter oilseed rape in 2015, 2016 and 2017.
Basic Weather ParametersBorowoŁagiewniki
201520162017201520162017
Mean annual temperature (°C)9.110.39.09.810.49.5
Multiyear mean 1957–2017 (°C)8.48.6
Sum of precipitation (mm)399648487379532460
Multiyear sum 1957–2017 (mm)534556
Table 5. Mean squares from three-way analysis of variance for five observed traits of winter oilseed rape.
Table 5. Mean squares from three-way analysis of variance for five observed traits of winter oilseed rape.
Source of Variationd.f.Beginning of Flowering, BFSeed Yield, SYLength of Silique, LSThe Number of Seeds per Silique, NSWeight of 1000 Seeds, WTS
Block311.8386.739.551.040.07
Year (Y)2139.50 *12,630.01 *171.61 *421.66 *9.10 *
Location (L)1434.61 *8485.03 *43.21385.51 *24.44 *
Genotype (G)24249.82 *1327.99 *614.46 *111.60 *3.73 *
Y × L2187.57 *1742.73 *310.17 *156.77 *3.75 *
Y × G2414.70 *91.26 *72.22 *24.53 *0.41 *
L × G4731.84 *75.33 *79.42 *17.78 *0.19 *
Y × L × G477.61 *87.77 *45.66 *12.46 *0.15 *
Residual2930.7120.0718.434.370.03
* p < 0.001; d.f.—the number of degrees of freedom.
Table 6. The least-squares variance components for five observed traits of winter oilseed rape and heritability in a broad sense.
Table 6. The least-squares variance components for five observed traits of winter oilseed rape and heritability in a broad sense.
TraitBeginning of FloweringSeed YieldLength of SiliqueThe Number of Seeds per SiliqueWeight of 1000 Seeds
Genotype (G)9.8151.7223.013.890.14
Environment # (E)10.11368.767.1914.440.49
GE interaction3.5116.5910.973.500.06
Heritability in a broad sense0.910.740.920.770.83
# Environment—combination of years and locations.
Table 7. Correlation coefficients between the first two canonical variates and observed traits in six environments.
Table 7. Correlation coefficients between the first two canonical variates and observed traits in six environments.
EnvironmentCanonical VariableBeginning of FloweringSeed YieldLength of SiliqueThe Number of Seeds per SiliqueThe Weight of 1000 SeedsPercentage of Explained Multivariate Variability
Borowo 2015V1−0.93 ***0.77 ***0.50 *0.060.88 ***78.77
V20.34−0.050.78 ***0.090.4012.31
Borowo 2016V10.98 ***−0.40 *−0.29−0.26−0.2376.58
V20.180.60 **0.70 ***0.74 ***0.62 **14.23
Borowo 2017V10.65 ***−0.79 ***−0.50 *−0.51 **−0.86 ***51.62
V20.74 ***-0.32−0.20−0.46 *0.42 *37.60
Łagiewniki 2015V10.64 ***−0.43 *−0.59 **−0.01−0.98 ***58.10
V20.70 ***−0.69 ***0.06−0.72 ***0.0926.88
Łagiewniki 2016V1−0.97 ***0.84 ***0.180.340.56 **77.10
V20.160.070.29−0.380.68 ***12.29
Łagiewniki 2017V10.94 ***−0.74 ***−0.37−0.38−0.74 ***69.51
V20.29−0.070.44 *0.090.65 ***18.48
* p < 0.05; ** p < 0.01; *** p < 0.001.
Table 8. Mean values ± standard deviations (s.d.) for the beginning of flowering of winter oilseed rape genotypes in particular environments.
Table 8. Mean values ± standard deviations (s.d.) for the beginning of flowering of winter oilseed rape genotypes in particular environments.
GenotypeEnvironment
E1E2E3E4E5E6
Borowo, 2015Borowo, 2016Borowo, 2017Łagiewniki, 2015Łagiewniki, 2016Łagiewniki, 2017
G01120.00 ± 0.00121.00 ± 0.00121.50 ± 0.71118.50 ± 0.58119.00 ± 1.41118.50 ± 1.29
G02119.50 ± 0.71121.00 ± 0.00121.50 ± 0.71118.80 ± 0.50118.80 ± 1.26119.00 ± 0.82
G03113.50 ± 0.71109.50 ± 0.71114.00 ± 0.00112.50 ± 0.58110.20 ± 0.96112.00 ± 0.00
G04116.50 ± 0.71112.00 ± 0.00120.00 ± 0.00116.20 ± 0.50113.20 ± 0.50115.80 ± 0.50
G05115.00 ± 0.00116.50 ± 0.71118.00 ± 0.00116.00 ± 0.00113.80 ± 0.50115.00 ± 1.15
G06120.50 ± 0.71122.00 ± 0.00125.00 ± 0.00119.20 ± 0.50116.50 ± 1.73120.20 ± 0.50
G07118.50 ± 0.71118.00 ± 1.41121.00 ± 1.41118.20 ± 0.96114.50 ± 0.58118.20 ± 0.50
G08116.00 ± 0.00121.00 ± 0.00120.50 ± 0.71115.80 ± 0.50119.00 ± 1.15113.80± 1.50
G09115.50 ± 0.71109.50 ± 0.71120.00 ± 0.00115.50 ± 0.58110.50 ± 0.58114.50 ± 1.91
G10120.50 ± 0.71121.00 ± 0.00121.50 ± 0.71118.00 ± 0.00119.50 ± 0.58114.50 ± 1.91
G11117.50 ± 0.71121.00 ± 0.00123.50 ± 2.12118.00 ± 0.00117.50 ± 0.58117.80 ± 0.50
G12117.50 ± 0.71121.00 ± 0.00120.00 ± 0.00117.50 ± 0.58115.00 ± 1.15116.00 ± 0.00
G13122.50 ± 0.71121.00 ± 0.00125.50 ± 0.71127.20 ± 0.50128.80 ± 0.50130.80 ± 0.50
G14117.50 ± 0.71118.50 ± 0.71123.00 ± 1.41118.80 ± 0.96114.50 ± 0.58118.80 ± 1.71
G15121.50 ± 0.71120.50 ± 0.71124.50 ± 0.71122.80 ± 2.06124.80 ± 2.06122.00 ± 0.82
G16117.00 ± 0.00118.00 ± 1.41119.50 ± 0.71117.50 ± 0.58114.00 ± 0.82116.50 ± 0.58
G17116.50 ± 0.71117.50 ± 0.71119.50 ± 0.71116.80 ± 0.50113.80 ± 1.50115.20 ± 0.96
G18115.50 ± 0.71120.00 ± 0.00119.00 ± 0.00116.20 ± 0.50114.20 ± 0.50116.20 ± 0.50
G19117.00 ± 0.00119.00 ± 1.41121.50 ± 0.71117.50 ± 0.58114.20 ± 0.50117.20 ± 0.50
G20122.00 ± 0.00124.00 ± 0.00125.00 ± 0.00125.20 ± 0.50126.80 ± 0.50120.20 ± 1.50
G21119.00 ± 0.00120.00 ± 0.00120.50 ± 0.71118.80 ± 0.50116.00 ± 2.00118.20 ± 0.50
G22116.00 ± 0.00116.00 ± 0.00118.00 ± 0.00115.50 ± 0.58111.50 ± 1.00114.00 ± 1.41
G23 121.00 ± 0.00125.00 ± 0.00 128.00 ± 0.82124.80 ± 0.50
G24117.00 ± 0.00120.50 ± 0.71120.50 ± 0.71118.00 ± 0.82118.00 ± 0.00119.20 ± 0.96
G25116.00 ± 0.00116.50 ± 0.71119.50 ± 0.71116.80 ± 0.96113.80 ± 0.50116.00 ± 0.82
Table 9. Mean values ± standard deviations (s.d.) for seed yield of winter oilseed rape genotypes in particular environments.
Table 9. Mean values ± standard deviations (s.d.) for seed yield of winter oilseed rape genotypes in particular environments.
GenotypeEnvironment
E1E2E3E4E5E6
Borowo, 2015Borowo, 2016Borowo, 2017Łagiewniki, 2015Łagiewniki, 2016Łagiewniki, 2017
G0140.50 ± 9.4318.22 ± 4.8029.02 ± 3.2752.75 ± 5.9541.75 ± 6.8035.65 ± 4.64
G0244.25 ± 7.4121.68 ± 2.8533.17 ± 3.3850.85 ± 4.8335.00 ± 2.5834.62 ± 5.64
G0349.25 ± 7.6320.70 ± 4.0433.88 ± 6.0061.33 ± 7.7745.00 ± 5.4836.35 ± 5.96
G0445.25 ± 5.6220.48 ± 6.2226.25 ± 2.5853.47 ± 6.0629.00 ± 4.0827.60 ± 4.37
G0544.50 ± 11.3615.25 ± 2.7542.28 ± 5.2549.78 ± 3.7438.25 ± 7.1841.10 ± 4.77
G0619.25 ± 3.8612.38 ± 2.4014.50 ± 2.1129.25 ± 3.9426.75 ± 3.4022.15 ± 1.46
G0728.75 ± 2.0613.53 ± 3.1614.47 ± 4.1334.50 ± 3.9128.00 ± 2.5824.75 ± 3.30
G0840.75 ± 2.7516.40 ± 3.5023.62 ± 3.4238.10 ± 1.8632.25 ± 6.8528.12 ± 4.69
G0944.00 ± 2.8312.68 ± 2.8521.70 ± 1.4640.62 ± 4.9425.00 ± 4.0024.62 ± 2.56
G1036.75 ± 5.1212.55 ± 2.6129.65 ± 2.7942.25 ± 3.0335.00 ± 3.4632.78 ± 3.03
G1142.50 ± 3.7018.32 ± 3.5728.78 ± 3.5543.08 ± 4.5532.25 ± 2.6333.77 ± 5.46
G1244.25 ± 4.4319.85 ± 1.1932.65 ± 7.6743.17 ± 5.8242.25 ± 1.2639.52 ± 5.68
G138.25 ± 3.2012.57 ± 5.905.50 ± 0.2519.50 ± 2.266.50 ± 1.7310.65 ± 0.24
G1442.75 ± 2.9918.88 ± 5.8729.95 ± 3.5729.50 ± 2.4236.25 ± 8.2231.05 ± 4.98
G1513.50 ± 2.6513.50 ± 4.3912.60 ± 0.7526.75 ± 2.6314.00 ± 4.0815.30 ± 2.87
G1639.25 ± 0.9617.32 ± 5.8528.48 ± 2.4341.75 ± 5.3232.00 ± 5.8928.88 ± 1.10
G1735.75 ± 3.5922.40 ± 3.1527.73 ± 3.9737.90 ± 6.2526.00 ± 1.8324.32 ± 3.26
G1840.75 ± 1.5019.12 ± 2.7029.45 ± 3.1645.10 ± 3.0532.00 ± 2.3125.62 ± 2.37
G1933.75 ± 2.6315.83 ± 0.7926.14 ± 4.7644.52 ± 5.2832.50 ± 6.5627.80 ± 5.50
G2028.00 ± 6.0613.07 ± 2.7720.73 ± 2.4029.55 ± 3.5115.25 ± 2.6329.55 ± 3.99
G2135.75 ± 5.9113.75 ± 1.6316.65 ± 2.6844.85 ± 7.1028.50 ± 4.2026.52 ± 1.43
G2244.75 ± 12.5822.80 ± 5.0139.77 ± 3.9154.07 ± 4.3848.00 ± 5.7235.08 ± 5.35
G23 12.71 ± 1.3016.32 ± 1.54 17.25 ± 3.8622.15 ± 1.70
G2435.00 ± 3.7414.42 ± 3.6328.90 ± 3.5745.65 ± 6.2935.00 ± 5.0332.55 ± 3.00
G2538.00 ± 5.6615.35 ± 4.4733.85 ± 3.3149.38 ± 5.3235.00 ± 6.8330.45 ± 6.80
Table 10. Mean values ± standard deviations (s.d.) for length of silique of winter oilseed rape genotypes in particular environments.
Table 10. Mean values ± standard deviations (s.d.) for length of silique of winter oilseed rape genotypes in particular environments.
GenotypeEnvironment
E1E2E3E4E5E6
Borowo, 2015Borowo, 2016Borowo, 2017Łagiewniki, 2015Łagiewniki, 2016Łagiewniki, 2017
G0170.00 ± 0.5770.60 ± 0.0068.65 ± 4.0366.25 ± 3.1864.50 ± 3.5468.00 ± 5.66
G0267.10 ± 0.5756.65 ± 11.1069.65 ± 9.9765.70 ± 2.5569.00 ± 2.8363.00 ± 1.41
G0363.95 ± 3.6159.75 ± 0.3564.85 ± 3.6163.00 ± 0.5759.00 ± 8.4959.00 ± 1.41
G0464.50 ± 0.2869.10 ± 2.8369.20 ± 0.2865.95 ± 0.7868.50 ± 3.5469.00 ± 5.66
G0561.55 ± 1.3468.45 ± 1.9159.35 ± 14.2161.05 ± 1.2068.00 ± 1.4165.50 ± 4.95
G0661.05 ± 0.9254.65 ± 0.6458.75 ± 3.0456.65 ± 3.0461.00 ± 1.4150.50 ± 6.36
G0751.90 ± 0.2852.40 ± 0.7146.85 ± 2.9055.30 ± 1.7056.50 ± 3.5451.50 ± 0.71
G0859.15 ± 1.6366.20 ± 3.8261.30 ± 2.1259.25 ± 0.7871.00 ± 0.0059.00 ± 2.83
G0956.90 ± 3.6852.90 ± 6.5163.20 ± 1.2755.15 ± 0.9261.50 ± 3.5458.00 ± 2.83
G1071.60 ± 3.8263.65 ± 4.0365.30 ± 2.8360.40 ± 4.6762.00 ± 4.2461.00 ± 2.83
G1167.90 ± 4.2452.85 ± 0.5058.95 ± 7.7161.80 ± 6.3665.00 ± 2.8362.50 ± 2.12
G1260.65 ± 1.4963.55 ± 1.9168.45 ± 2.1958.10 ± 2.8370.50 ± 3.5470.00 ± 0.00
G1356.20 ± 1.9853.40 ± 3.6851.95 ± 4.1759.05 ± 0.5057.00 ± 5.6650.50 ± 3.54
G1467.35 ± 7.0060.05 ± 5.7369.00 ± 4.3866.25 ± 6.4469.00 ± 5.6667.00 ± 2.83
G1556.45 ± 4.1762.85 ± 0.5057.50 ± 4.8155.95 ± 0.9261.50 ± 2.1259.00 ± 2.83
G1654.75 ± 6.0162.60 ± 12.0267.45 ± 8.5654.85 ± 3.0459.00 ± 2.8353.50 ± 6.36
G1761.45 ± 0.7865.05 ± 0.2166.00 ± 0.8566.15 ± 0.6469.00 ± 0.0067.50 ± 4.95
G1858.30 ± 2.8353.30 ± 1.7063.95 ± 4.4660.35 ± 3.1858.50 ± 3.5458.50 ± 6.36
G1960.90 ± 0.5755.10 ± 10.8956.85 ± 7.8560.55 ± 4.0360.00 ± 1.4170.50 ± 2.12
G2041.05 ± 1.6346.05 ± 4.3153.90 ± 4.1045.75 ± 3.3260.00 ± 8.4958.00 ± 8.49
G2157.05 ± 3.1856.80 ± 3.9662.80 ± 7.3554.25 ± 0.5060.00 ± 2.8348.50 ± 4.95
G2265.45 ± 4.0366.40 ± 3.9668.40 ± 4.1064.10 ± 1.2768.50 ± 0.7168.50 ± 10.61
G23 64.75 ± 5.3067.05 ± 4.88 73.00 ± 1.4174.50 ± 0.71
G2455.40 ± 0.9963.25 ± 2.9059.85 ± 4.6054.70 ± 0.5757.50 ± 0.7158.50 ± 0.71
G2566.20 ± 2.2667.50 ± 4.5369.70 ± 0.8562.30 ± 0.7163.50 ± 0.7170.50 ± 6.36
Table 11. Mean values ± standard deviations (s.d.) for the number of seeds per silique of winter oilseed rape genotypes in particular environments.
Table 11. Mean values ± standard deviations (s.d.) for the number of seeds per silique of winter oilseed rape genotypes in particular environments.
GenotypeEnvironment
E1E2E3E4E5E6
Borowo, 2015Borowo, 2016Borowo, 2017Łagiewniki, 2015Łagiewniki, 2016Łagiewniki, 2017
G0121.90 ± 0.0022.15 ± 0.3520.75 ± 1.7724.30 ± 0.1418.65 ± 0.2121.00 ± 2.83
G0218.00 ± 0.4219.80 ± 0.2819.25 ± 2.3322.20 ± 0.9925.60 ± 1.2721.00 ± 2.83
G0318.80 ± 1.2717.35 ± 0.0719.00 ± 2.9721.45 ± 0.0720.05 ± 1.9117.00 ± 1.41
G0420.15 ± 1.2019.30 ± 2.5521.95 ± 0.3524.30 ± 0.9920.60 ± 0.0022.50 ± 3.54
G0515.85 ± 4.4619.25 ± 1.4920.85 ± 4.3120.45 ± 0.9218.25 ± 0.5018.00 ± 5.66
G0620.10 ± 0.9912.65 ± 0.5014.15 ± 1.2020.70 ± 1.9819.20 ± 1.1314.50 ± 3.54
G0719.45 ± 0.5014.15 ± 0.9212.15 ± 2.4822.85 ± 1.2016.45 ± 1.0613.50 ± 0.71
G0818.45 ± 2.4815.55 ± 2.0517.50 ± 1.1321.95 ± 1.2022.50 ± 0.5717.00 ± 0.00
G0917.90 ± 0.5710.10 ± 0.4219.55 ± 1.2026.02 ± 0.3917.00 ± 2.1217.50 ± 0.71
G1021.20 ± 2.2616.00 ± 0.5717.70 ± 4.1018.10 ± 3.5415.75 ± 0.3515.50 ± 2.12
G1119.85 ± 1.0613.30 ± 0.8514.50 ± 4.1020.10 ± 4.5317.65 ± 0.7815.50 ± 2.12
G1218.10 ± 1.9817.75 ± 1.6323.55 ± 2.9019.15 ± 0.0722.05 ± 3.0421.00 ± 0.00
G1317.95 ± 1.9111.60 ± 0.8514.40 ± 1.8420.30 ± 0.5714.60 ± 5.2314.50 ± 2.12
G1416.85 ± 1.6313.65 ± 1.4916.35 ± 2.4819.10 ± 1.4119.20 ± 2.8318.50 ± 3.54
G1512.75 ± 0.5011.40 ± 1.1313.80 ± 0.5715.80 ± 0.8513.90 ± 1.7014.00 ± 1.41
G1618.55 ± 4.8816.08 ± 0.0422.05 ± 2.7619.00 ± 1.8418.65 ± 0.5015.50 ± 2.12
G1719.00 ± 0.1418.85 ± 1.0618.50 ± 0.4223.25 ± 0.3519.70 ± 3.1119.50 ± 2.12
G1816.80 ± 2.8311.85 ± 0.0714.95 ± 1.0620.70 ± 1.2716.05 ± 1.9114.00 ± 1.41
G1916.80 ± 0.4216.45 ± 0.6416.85 ± 1.7721.45 ± 3.4713.85 ± 0.5021.50 ± 2.12
G2016.55 ± 1.7711.25 ± 2.3314.60 ± 1.5617.90 ± 1.8418.70 ± 4.8115.00 ± 4.24
G2120.95 ± 1.6315.20 ± 1.8416.40 ± 2.5521.10 ± 0.2817.40 ± 2.2614.50 ± 3.54
G2219.65 ± 0.7821.80 ± 1.7022.95 ± 1.3424.85 ± 0.7824.90 ± 0.4225.00 ± 5.66
G23 15.25 ± 2.6218.40 ± 1.13 18.50 ± 0.0018.50 ± 3.54
G2419.50 ± 0.1418.80 ± 0.8515.95 ± 2.0524.20 ± 0.0015.75 ± 0.2115.50 ± 2.12
G2519.50 ± 0.5717.50 ± 2.5521.85 ± 2.6220.30 ± 0.5715.00 ± 1.4117.00 ± 1.41
Table 12. Mean values ± standard deviations (s.d.) for the weight of 1000 seeds of winter oilseed rape genotypes in particular environments.
Table 12. Mean values ± standard deviations (s.d.) for the weight of 1000 seeds of winter oilseed rape genotypes in particular environments.
GenotypeEnvironment
E1E2E3E4E5E6
Borowo, 2015Borowo, 2016Borowo, 2017Łagiewniki, 2015Łagiewniki, 2016Łagiewniki, 2017
G014.94 ± 0.204.69 ± 0.185.57 ± 0.025.67 ± 0.205.31 ± 0.225.94 ± 0.09
G024.82 ± 0.114.41 ± 0.134.65 ± 0.085.31 ± 0.044.76 ± 0.075.06 ± 0.06
G034.69 ± 0.174.62 ± 0.165.07 ± 0.055.18 ± 0.134.85 ± 0.115.16 ± 0.05
G044.53 ± 0.064.52 ± 0.124.74 ± 0.185.07 ± 0.094.86 ± 0.054.96 ± 0.04
G055.51 ± 0.124.55 ± 0.215.26 ± 0.086.36 ± 0.224.98 ± 0.086.10 ± 0.13
G064.28 ± 0.064.39 ± 0.085.30 ± 0.175.46 ± 0.135.22 ± 0.135.47 ± 0.16
G073.94 ± 0.044.39 ± 0.155.11 ± 0.034.64 ± 0.074.64 ± 0.034.99 ± 0.04
G084.55 ± 0.165.59 ± 1.495.12 ± 0.135.43 ± 0.125.39 ± 0.115.23 ± 0.12
G094.82 ± 0.174.55 ± 0.245.29 ± 0.085.51 ± 0.024.92 ± 0.125.31 ± 0.03
G104.83 ± 0.264.86 ± 0.165.44 ± 0.116.25 ± 0.195.46 ± 0.045.47 ± 0.10
G115.41 ± 0.075.15 ± 0.115.68 ± 0.095.97 ± 0.095.31 ± 0.165.50 ± 0.09
G124.61 ± 0.244.74 ± 0.225.41 ± 0.165.45 ± 0.144.91 ± 0.125.39 ± 0.08
G133.66 ± 0.293.87 ± 0.153.72 ± 0.174.28 ± 0.144.35 ± 0.074.40 ± 0.11
G144.93 ± 0.184.88 ± 0.095.25 ± 0.255.69 ± 0.124.99 ± 0.055.39 ± 0.06
G154.11 ± 0.214.69 ± 0.214.87 ± 0.025.13 ± 0.124.99 ± 0.465.30 ± 0.04
G164.55 ± 0.094.75 ± 0.145.30 ± 0.115.36 ± 0.055.11 ± 0.205.37 ± 0.06
G175.43 ± 0.235.05 ± 0.135.42 ± 0.065.54 ± 0.135.03 ± 0.035.62 ± 0.06
G185.06 ± 0.184.91 ± 0.095.51 ± 0.125.50 ± 0.155.47 ± 0.095.29 ± 0.08
G194.77 ± 0.094.74 ± 0.145.20 ± 0.125.51 ± 0.155.07 ± 0.105.38 ± 0.10
G203.33 ± 0.094.11 ± 0.084.88 ± 0.144.26 ± 0.044.15 ± 0.044.72 ± 0.14
G213.74 ± 0.224.08 ± 0.105.23 ± 0.074.71 ± 0.074.66 ± 0.085.11 ± 0.08
G225.22 ± 0.174.51 ± 0.114.77 ± 0.115.25 ± 0.175.03 ± 0.225.47 ± 0.05
G23 4.37 ± 0.155.05 ± 0.07 4.55 ± 0.115.18 ± 0.08
G244.56 ± 0.354.09 ± 0.094.92 ± 0.184.64 ± 0.144.41 ± 0.094.95 ± 0.12
G255.22 ± 0.065.28 ± 0.105.81 ± 0.086.34 ± 0.155.84 ± 0.096.00 ± 0.16
Table 13. Results of the regression analysis of individual traits per seed yield.
Table 13. Results of the regression analysis of individual traits per seed yield.
EnvironmentE1E2E3E4E5E6Across Environments
Constant294.70 **13.61177.20 ***212.69 **115.01 **66.7799.00 ***
Beginning of flowering−2.40 **−0.11−1.60 ***−1.70 **−1.04 ***−0.60 *−0.97 ***
Length of silique0.17−0.19 *0.080.11−0.010.09−0.40 **
The number of seeds per silique0.310.70 ***0.75 *0.780.86 *−0.111.98 ***
Weight of 1000 seeds1.753.11 *4.65 *1.234.095.016.82 ***
R2 (in %)34.1132.1759.3138.1649.4027.0273.60
* p < 0.05; ** p < 0.01; *** p < 0.001. E1—Borowo, 2015; E2—Borowo, 2016; E3—Borowo, 2017; E4—Łagiewniki, 2015; E5—Łagiewniki, 2016; E6—Łagiewniki, 2017.
Publisher’s Note: MDPI stays neutral with regard to jurisdictional claims in published maps and institutional affiliations.

Share and Cite

MDPI and ACS Style

Bocianowski, J.; Liersch, A. Multidimensional Analysis of Diversity in Genotypes of Winter Oilseed Rape (Brassica napus L.). Agronomy 2022, 12, 633. https://doi.org/10.3390/agronomy12030633

AMA Style

Bocianowski J, Liersch A. Multidimensional Analysis of Diversity in Genotypes of Winter Oilseed Rape (Brassica napus L.). Agronomy. 2022; 12(3):633. https://doi.org/10.3390/agronomy12030633

Chicago/Turabian Style

Bocianowski, Jan, and Alina Liersch. 2022. "Multidimensional Analysis of Diversity in Genotypes of Winter Oilseed Rape (Brassica napus L.)" Agronomy 12, no. 3: 633. https://doi.org/10.3390/agronomy12030633

APA Style

Bocianowski, J., & Liersch, A. (2022). Multidimensional Analysis of Diversity in Genotypes of Winter Oilseed Rape (Brassica napus L.). Agronomy, 12(3), 633. https://doi.org/10.3390/agronomy12030633

Note that from the first issue of 2016, this journal uses article numbers instead of page numbers. See further details here.

Article Metrics

Back to TopTop