High Variation in Yield among Wild Blueberry Genotypes: Can Yield Be Predicted by Leaf and Stem Functional Traits?
Abstract
:1. Introduction
2. Materials and Methods
2.1. Study Sites and Plant Materials
2.1.1. Leaf and Stem Structural Traits
2.1.2. Leaf Chlorophyll Concentrations
2.1.3. Leaf Temperature, Soil Temperature, and Soil Water Content
2.1.4. Yield and Yield-Related Traits
2.2. Calculation for Estimating Optimal Sample Size of Genotypes to Estimate Yield
2.3. Data Analyses
3. Results
3.1. Estimation of Optimal Sample Size of Genotypes to Estimate Yield
3.2. Variation in Yield, Structural and Functional Traits between Wyman’s and BBHF Blueberry Fields and among the Genotypes
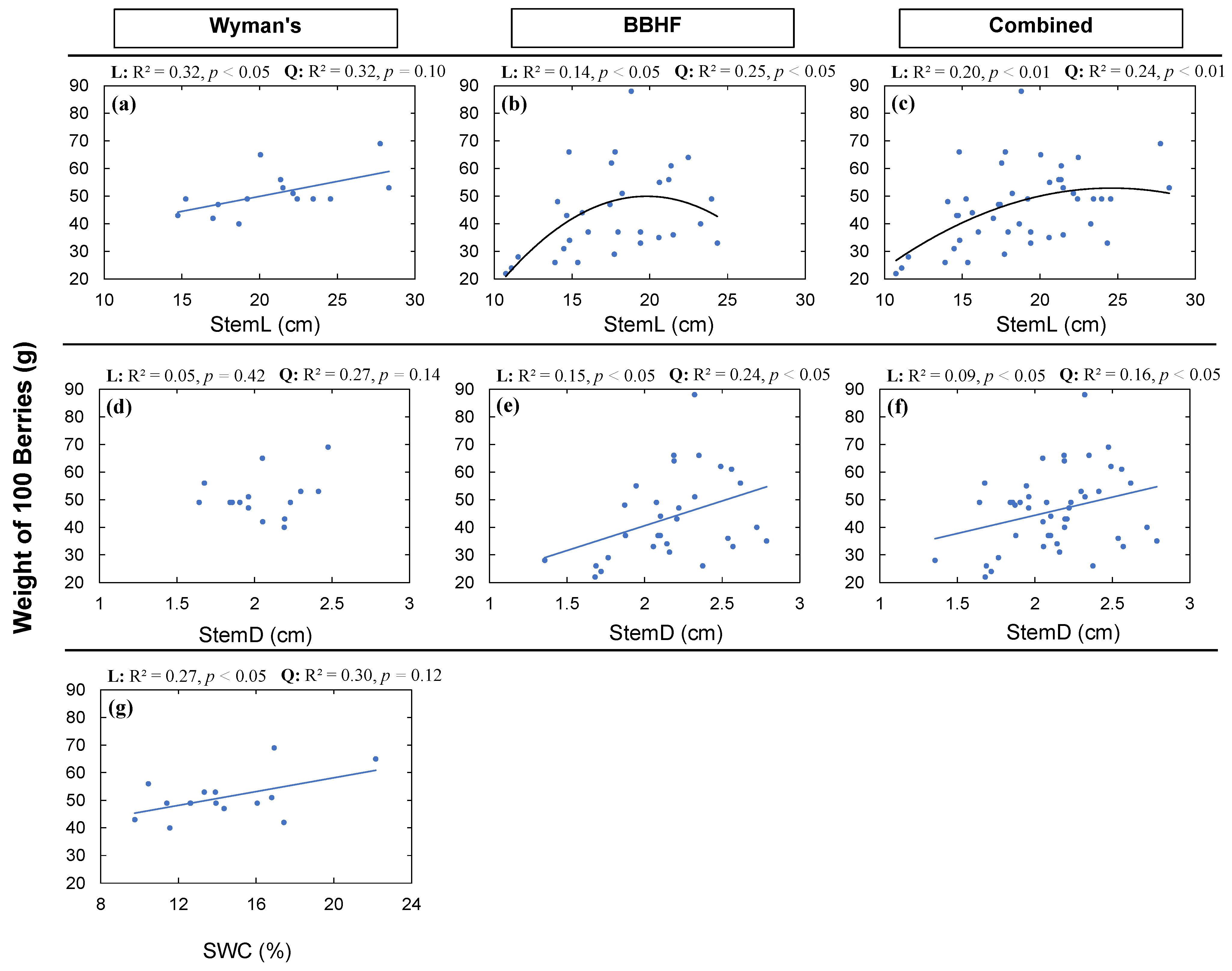
3.3. Structural and Functional Traits in Relation to Yield and Yield Related Traits of Wild Blueberry Fields
4. Discussion
5. Conclusions
Author Contributions
Funding
Data Availability Statement
Acknowledgments
Conflicts of Interest
References
- Drummond, F. Reproductive Biology of Wild Blueberry (Vaccinium angustifolium Aiton). Agriculture 2019, 9, 69. [Google Scholar] [CrossRef] [Green Version]
- Qu, H.; Drummond, F. Simulation-Based Modeling of Wild Blueberry Pollination. Comput. Electron. Agric. 2018, 144, 94–101. [Google Scholar] [CrossRef]
- Bell, D.J.; Rowland, L.J.; Zhang, D.; Drummond, F.A. Spatial Genetic Structure of Lowbush Blueberry, Vaccinium angustifolium, in Four Fields in Maine. Botany 2009, 87, 932–946. [Google Scholar] [CrossRef] [Green Version]
- Bell, D.J.; Rowland, L.J.; Smagula, J.; Drummond, F.A. Recent Advances in the Biology and Genetics of Lowbush Blueberry. Tech. Bull. 2009, 203, 1–28. [Google Scholar]
- Tasnim, R.; Zhang, Y.-J. Are Wild Blueberries a Crop with Low Photosynthetic Capacity? Chamber-Size Effects in Measuring Photosynthesis. Agronomy 2021, 11, 1572. [Google Scholar] [CrossRef]
- Drummond, F.A. Wild Blueberry Fruit Drop: A Consequence of Seed Set? Agronomy 2020, 10, 939. [Google Scholar] [CrossRef]
- Wang, S.; Wu, K.; Yuan, Q.; Liu, X.; Liu, Z.; Lin, X.; Zeng, R.; Zhu, H.; Dong, G.; Qian, Q.; et al. Control of Grain Size, Shape and Quality by OsSPL16 in Rice. Nat. Genet. 2012, 44, 950–954. [Google Scholar] [CrossRef]
- Xue, W.; Xing, Y.; Weng, X.; Zhao, Y.; Tang, W.; Wang, L.; Zhou, H.; Yu, S.; Xu, C.; Li, X.; et al. Natural Variation in Ghd7 Is an Important Regulator of Heading Date and Yield Potential in Rice. Nat. Genet. 2008, 40, 761–767. [Google Scholar] [CrossRef]
- Mathan, J.; Bhattacharya, J.; Ranjan, A. Enhancing Crop Yield by Optimizing Plant Developmental Features. Development 2016, 143, 3283–3294. [Google Scholar] [CrossRef] [Green Version]
- Yan, Y.-M.; Fan, Z.-X.; Fu, P.-L.; Chen, H.; Lin, L.-X. Size Dependent Associations between Tree Diameter Growth Rates and Functional Traits in an Asian Tropical Seasonal Rainforest. Funct. Plant Biol. 2021, 48, 231–240. [Google Scholar] [CrossRef]
- Falster, D.S.; Westoby, M. Leaf Size and Angle Vary Widely across Species: What Consequences for Light Interception? New Phytol. 2003, 158, 509–525. [Google Scholar] [CrossRef] [Green Version]
- Fournier, M.-P.; Paré, M.C.; Buttò, V.; Delagrange, S.; Lafond, J.; Deslauriers, A. How Plant Allometry Influences Bud Phenology and Fruit Yield in Two Vaccinium Species. Ann. Bot. 2020, 126, 825–835. [Google Scholar] [CrossRef] [PubMed]
- Sperry, J.S.; Hacke, U.G.; Pittermann, J. Size and Function in Conifer Tracheids and Angiosperm Vessels. Am. J. Bot. 2006, 93, 1490–1500. [Google Scholar] [CrossRef] [Green Version]
- Santiago, L.S.; Goldstein, G.; Meinzer, F.C.; Fisher, J.B.; Machado, K.; Woodruff, D.; Jones, T. Leaf Photosynthetic Traits Scale with Hydraulic Conductivity and Wood Density in Panamanian Forest Canopy Trees. Oecologia 2004, 140, 543–550. [Google Scholar] [CrossRef]
- Sack, L.; Frole, K. Leaf Structural Diversity Is Related to Hydraulic Capacity in Tropical Rain Forest Trees. Ecology 2006, 87, 483–491. [Google Scholar] [CrossRef] [PubMed]
- Brodribb, T.J.; Feild, T.S.; Jordan, G.J. Leaf Maximum Photosynthetic Rate and Venation Are Linked by Hydraulics. Plant Physiol. 2007, 144, 1890–1898. [Google Scholar] [CrossRef] [PubMed] [Green Version]
- McDowell, N.G.; Phillips, N.; Lunch, C.; Bond, B.J.; Ryan, M.G. An Investigation of Hydraulic Limitation and Compensation in Large, Old Douglas-Fir Trees. Tree Physiol. 2002, 22, 763–774. [Google Scholar] [CrossRef] [PubMed] [Green Version]
- Phillips, O.L.; van der Heijden, G.; Lewis, S.L.; López-González, G.; Aragão, L.E.O.C.; Lloyd, J.; Malhi, Y.; Monteagudo, A.; Almeida, S.; Dávila, E.A.; et al. Drought–Mortality Relationships for Tropical Forests. New Phytol. 2010, 187, 631–646. [Google Scholar] [CrossRef] [Green Version]
- Richards, R.A. Selectable Traits to Increase Crop Photosynthesis and Yield of Grain Crops. J. Exp. Bot. 2000, 51, 447–458. [Google Scholar] [CrossRef]
- Ghimire, B.; Timsina, D.; Nepal, J. Analysis of Chlorophyll Content and Its Correlation with Yield Attributing Traits on Early Varieties of Maize (Zea mays L.). J. Maize Res. Dev. 2015, 1, 134–145. [Google Scholar] [CrossRef]
- Silva-Pérez, V.; De Faveri, J.; Molero, G.; Deery, D.M.; Condon, A.G.; Reynolds, M.P.; Evans, J.R.; Furbank, R.T. Genetic Variation for Photosynthetic Capacity and Efficiency in Spring Wheat. J. Exp. Bot. 2020, 71, 2299–2311. [Google Scholar] [CrossRef] [PubMed]
- Percival, D.; Sanderson, K. Main and Interactive Effects of Vegetative-Year Applications of Nitrogen, Phosphorus, and Potassium Fertilizers on the Wild Blueberry. Small Fruits Rev. 2004, 3, 105–121. [Google Scholar] [CrossRef]
- Hall, I.V. Genetic Improvement of the Lowbush Blueberry, Vaccinium angustifolium. Can. J. Plant Sci. 1983, 63, 1091–1092. [Google Scholar] [CrossRef]
- Bell, D.J. Spatial and Genetic Factors Influencing Yield in Lowbush Blueberry (Vaccinium angustifolium Ait.) in Maine. Ph.D. Thesis, The University of Maine, Orono, ME, USA, 2009. [Google Scholar]
- Griffing, B. Concept of General and Specific Combining Ability in Relation to Diallel Crossing Systems. Aust. J. Biol. Sci. 1956, 9, 463–493. [Google Scholar] [CrossRef]
- Hepler, P.R.; Yarborough, D.E. Natural Variability in Yield of Lowbush Blueberries. HortScience 1991, 26, 245–246. [Google Scholar] [CrossRef] [Green Version]
- Li, R.; Li, M.; Ashraf, U.; Liu, S.; Zhang, J. Exploring the Relationships between Yield and Yield-Related Traits for Rice Varieties Released in China from 1978 to 2017. Front. Plant Sci. 2019, 10, 543. [Google Scholar] [CrossRef] [PubMed] [Green Version]
- Reddy, P.S. Chapter 20—Breeding for Abiotic Stress Resistance in Sorghum. In Breeding Sorghum for Diverse End Uses; Aruna, C., Visarada, K.B.R.S., Bhat, B.V., Tonapi, V.A., Eds.; Woodhead Publishing Series in Food Science, Technology and Nutrition; Woodhead Publishing: Cambridge, UK, 2019; pp. 325–340. ISBN 9780081018798. [Google Scholar]
- Reynolds, M.P.; Balota, M.; Delgado, M.I.B.; Amani, I.; Fischer, R.A. Physiological and Morphological Traits Associated With Spring Wheat Yield Under Hot, Irrigated Conditions. Funct. Plant Biol. 1994, 21, 717–730. [Google Scholar] [CrossRef]
- Beers, L.; Rowland, L.J.; Drummond, F. Genetic Diversity of Lowbush Blueberry throughout the United States in Managed and Non-Managed Populations. Agriculture 2019, 9, 113. [Google Scholar] [CrossRef] [Green Version]
- Zhu, J.; Tremblay, N.; Liang, Y. Comparing SPAD and AtLEAF Values for Chlorophyll Assessment in Crop Species. Can. J. Soil Sci. 2012, 92, 645–648. [Google Scholar] [CrossRef]
- Sampling Techniques, 3rd Edition. Wiley. Available online: https://www.wiley.com/en-us/Sampling+Techniques%2C+3rd+Edition-p-9780471162407 (accessed on 11 January 2022).
- Harrison, X.A.; Donaldson, L.; Correa-Cano, M.E.; Evans, J.; Fisher, D.N.; Goodwin, C.E.; Robinson, B.S.; Hodgson, D.J.; Inger, R. A Brief Introduction to Mixed Effects Modelling and Multi-Model Inference in Ecology. PeerJ 2018, 6, e4794. [Google Scholar] [CrossRef] [Green Version]
- Kloet, S.P.V. The Taxonomic Status of Vaccinium pallidum, the Hillside Blueberries Including Vaccinium vacillans. Can. J. Bot. 1978, 56, 1559–1574. [Google Scholar] [CrossRef]
- Smagula, J.M.; Litten, W.; Chen, Y.; Dunham, S. Variation of fruit set and fruit characteristics of wild lowbush blueberries (Vaccinium angustifolium ait.) in a managed field. Acta Hortic. 1997, 109–118. [Google Scholar] [CrossRef]
- Albert, C.H.; Thuiller, W.; Yoccoz, N.G.; Soudant, A.; Boucher, F.; Saccone, P.; Lavorel, S. Intraspecific Functional Variability: Extent, Structure and Sources of Variation. J. Ecol. 2010, 98, 604–613. [Google Scholar] [CrossRef]
- Albert, C.H.; Thuiller, W.; Yoccoz, N.G.; Douzet, R.; Aubert, S.; Lavorel, S. A Multi-Trait Approach Reveals the Structure and the Relative Importance of Intra- vs. Interspecific Variability in Plant Traits. Funct. Ecol. 2010, 24, 1192–1201. [Google Scholar] [CrossRef]
- Onoda, Y.; Westoby, M.; Adler, P.B.; Choong, A.M.F.; Clissold, F.J.; Cornelissen, J.H.C.; Díaz, S.; Dominy, N.J.; Elgart, A.; Enrico, L.; et al. Global Patterns of Leaf Mechanical Properties. Ecol. Lett. 2011, 14, 301–312. [Google Scholar] [CrossRef] [Green Version]
- Witkowski, E.T.F.; Lamont, B.B. Leaf Specific Mass Confounds Leaf Density and Thickness. Oecologia 1991, 88, 486–493. [Google Scholar] [CrossRef]
- Zhang, Y.-J.; Sack, L.; Cao, K.-F.; Wei, X.-M.; Li, N. Speed versus Endurance Tradeoff in Plants: Leaves with Higher Photosynthetic Rates Show Stronger Seasonal Declines. Sci. Rep. 2017, 7, 1–9. [Google Scholar] [CrossRef] [Green Version]
- Niinemets, U. Components of Leaf Dry Mass per Area—Thickness and Density—Alter Photosynthetic Capacity in Reverse Directions in Woody Plants. New Phytol. 1999, 144, 35–47. [Google Scholar] [CrossRef]
- Reich, P.B.; Walters, M.B.; Ellsworth, D.S. From Tropics to Tundra: Global Convergence in Plant Functioning. Proc. Natl. Acad. Sci. USA 1997, 94, 13730–13734. [Google Scholar] [CrossRef] [Green Version]
- Rüger, N.; Wirth, C.; Wright, S.J.; Condit, R. Functional Traits Explain Light and Size Response of Growth Rates in Tropical Tree Species. Ecology 2012, 93, 2626–2636. [Google Scholar] [CrossRef]
- Lambers, H.; Poorter, H. Inherent Variation in Growth Rate between Higher Plants: A Search for Physiological Causes and Ecological Consequences. Adv. Ecol. Res. 2004, 34, 283–362. [Google Scholar]
- Bajcz, A.W.; Drummond, F.A. Bearing Fruit: Flower Removal Reveals the Trade-Offs Associated with High Reproductive Effort for Lowbush Blueberry. Oecologia 2017, 185, 13–26. [Google Scholar] [CrossRef] [PubMed]
- Yarborough, D.E. Factors Contributing to the Increase in Productivity in the Wild Blueberry Industry. Small Fruits Rev. 2004, 3, 33–43. [Google Scholar] [CrossRef]
- Gonzalez-Dugo, V.; Zarco-Tejada, P.J.; Fereres, E. Applicability and Limitations of Using the Crop Water Stress Index as an Indicator of Water Deficits in Citrus Orchards. Agric. For. Meteorol. 2014, 198–199, 94–104. [Google Scholar] [CrossRef]
- Barai, K.; Tasnim, R.; Hall, B.; Rahimzadeh-Bajgiran, P.; Zhang, Y.-J. Is Drought Increasing in Maine and Hurting Wild Blueberry Production? Climate 2021, 9, 178. [Google Scholar] [CrossRef]
- Tasnim, R.; Drummond, F.; Zhang, Y.-J. Climate Change Patterns of Wild Blueberry Fields in Downeast, Maine over the Past 40 Years. Water 2021, 13, 594. [Google Scholar] [CrossRef]
- Chen, Y.-Y.; Pahadi, P.; Calderwood, L.; Annis, S.; Drummond, F.; Zhang, Y.-J. Will Climate Warming Alter Biotic Stresses in Wild Lowbush Blueberries? Agronomy 2022, 12, 371. [Google Scholar] [CrossRef]








| Traits Type | Traits Name | Abbreviation | Unit |
|---|---|---|---|
| Yield Traits | Yield per area | Yield | g/m2 |
| Berry size (Weight of 100 berries) | WT | g | |
| Number of berries per stem | NBS | # | |
| Length of berry cluster | LBC | cm | |
| Structural Traits | Number of stems per plot | StemN | #/quadrat |
| Stem length | StemL | cm | |
| Stem diameter | StemD | cm | |
| Leaf number per stem | LNPS | # | |
| Number of branches per stem | NBPS | # | |
| Functional Traits | Leaf chlorophyll concentration per area | LCC | μg/cm2 |
| Leaf mass per area | LMA | g/m2 | |
| Leaf area per stem | LAPS | cm2 | |
| Leaf temperature | LeafT | °C | |
| Soil temperature | SoilT | °C | |
| Soil water content | SWC | % |
| Yield (g/m2) | WT (g) | NBS (#) | LBC (cm) | StemN (#/plot) | StemL (cm) | StemD (cm) | LCC (μg/cm2) | LMA (g/m2) | LAPS (cm2) | LNPS (#) | NBPS (#) | LeafT (°C) | SoilT (°C) | SWC (%) | ||
|---|---|---|---|---|---|---|---|---|---|---|---|---|---|---|---|---|
| Wyman’s | Min | 122.22 | 40.00 | 0.83 | 0.45 | 126.00 | 14.73 | 1.64 | 0.10 | 64.50 | 26.00 | 29.17 | 5.33 | 25.40 | 31.32 | 9.75 |
| Max | 5577.70 | 69.00 | 20.50 | 5.75 | 289.00 | 28.32 | 2.47 | 0.34 | 82.85 | 95.85 | 102.80 | 17.33 | 32.26 | 33.0 | 22.15 | |
| Mean | 2332.30 | 50.90 | 7.63 | 2.87 | 179.80 | 20.91 | 2.05 | 0.17 | 72.02 | 65.03 | 57.71 | 7.91 | 28.42 | 32.13 | 14.21 | |
| SD | 1685.58 | 7.81 | 5.78 | 1.56 | 52.91 | 4.08 | 0.25 | 0.06 | 5.19 | 21.65 | 22.81 | 2.89 | 2.20 | 0.61 | 3.22 | |
| Difference Among Genotypes | NA 1 | NA 1 | Yes (p < 0.001) | Yes (p < 0.001) | NA 1 | Yes (p < 0.001) | Yes (p < 0.001) | Yes (p < 0.001) | No (p = 0.37) | Yes (p < 0.001) | Yes (p < 0.001) | Yes (p < 0.001) | Yes (p < 0.001) | Yes (p < 0.001) | Yes (p < 0.001) | |
| BBHF | Min | 177.77 | 22.00 | 1.87 | 0.58 | 79.00 | 10.73 | 1.36 | 0.09 | 60.94 | 29.98 | 22.33 | 5.17 | |||
| Max | 6355.50 | 88.00 | 26.67 | 3.95 | 246.00 | 24.34 | 2.78 | 0.31 | 81.00 | 105.9 | 62.33 | 12.92 | ||||
| Mean | 2588.80 | 43.60 | 10.16 | 2.27 | 136.70 | 17.69 | 2.17 | 0.20 | 70.99 | 59.02 | 43.15 | 8.38 | ||||
| SD | 1760.60 | 15.60 | 5.21 | 0.89 | 38.26 | 3.75 | 0.34 | 0.06 | 5.46 | 22.91 | 12.21 | 1.92 | ||||
| Difference Among Genotypes | NA 1 | NA 1 | Yes (p < 0.001) | Yes (p < 0.001) | NA 1 | Yes (p < 0.001) | Yes (p < 0.001) | Yes (p < 0.001) | No (p = 0.98) | Yes (p < 0.001) | Yes (p < 0.001) | Yes (p < 0.001) | NA 2 | NA 2 | NA 2 | |
| Difference Between Fields | No (p = 0.59) | No (p = 0.06) | No (p = 0.14) | No (p = 0.11) | Yes (p < 0.001) | Yes (p < 0.05) | No (p = 0.26) | No (p = 0.13) | No (p = 0.55) | No (p = 0.47) | Yes (p < 0.0001) | No (p = 0.53) | NA 2 | NA 2 | NA 2 |
| Model Parameters | Parameter Values 1 | Standard Error | Chi-Square | p Value 2 |
|---|---|---|---|---|
| intercept | 135.059 | 31.429 | 18.466 | <0.0001 |
| StemL | −0.926 | 0.482 | 3.627 | 0.057 |
| LCC | 73.496 | 35.391 | 4.313 | 0.038 |
| LMA | −1.169 | 0.411 | 8.114 | 0.004 |
| StemL × LCC | −30.072 | 12.397 | 5.884 | 0.015 |
Publisher’s Note: MDPI stays neutral with regard to jurisdictional claims in published maps and institutional affiliations. |
© 2022 by the authors. Licensee MDPI, Basel, Switzerland. This article is an open access article distributed under the terms and conditions of the Creative Commons Attribution (CC BY) license (https://creativecommons.org/licenses/by/4.0/).
Share and Cite
Barai, K.; Calderwood, L.; Wallhead, M.; Vanhanen, H.; Hall, B.; Drummond, F.; Zhang, Y.-J. High Variation in Yield among Wild Blueberry Genotypes: Can Yield Be Predicted by Leaf and Stem Functional Traits? Agronomy 2022, 12, 617. https://doi.org/10.3390/agronomy12030617
Barai K, Calderwood L, Wallhead M, Vanhanen H, Hall B, Drummond F, Zhang Y-J. High Variation in Yield among Wild Blueberry Genotypes: Can Yield Be Predicted by Leaf and Stem Functional Traits? Agronomy. 2022; 12(3):617. https://doi.org/10.3390/agronomy12030617
Chicago/Turabian StyleBarai, Kallol, Lily Calderwood, Matthew Wallhead, Henri Vanhanen, Bruce Hall, Francis Drummond, and Yong-Jiang Zhang. 2022. "High Variation in Yield among Wild Blueberry Genotypes: Can Yield Be Predicted by Leaf and Stem Functional Traits?" Agronomy 12, no. 3: 617. https://doi.org/10.3390/agronomy12030617
APA StyleBarai, K., Calderwood, L., Wallhead, M., Vanhanen, H., Hall, B., Drummond, F., & Zhang, Y.-J. (2022). High Variation in Yield among Wild Blueberry Genotypes: Can Yield Be Predicted by Leaf and Stem Functional Traits? Agronomy, 12(3), 617. https://doi.org/10.3390/agronomy12030617

