Application of Potassium along with Nitrogen under Varied Moisture Regimes Improves Performance and Nitrogen-Use Efficiency of High- and Low-Potassium Efficiency Cotton Cultivars
Abstract
1. Introduction
2. Materials and Methods
2.1. Experimental Growth Condition, Treatments, Design, and Management
2.2. Data Collection
2.2.1. Growth, Development, and Seed Cotton Yield
2.2.2. Gas Exchange Characteristics and Water Use Efficiency
2.2.3. Leaf Relative Water Content and Leaf Area
2.3. Plant Analysis for N and K
2.4. Estimation of Nutrients Uptake and Use Efficiency Indices
| NUE Indices | Formulae |
|---|---|
| Nutrient uptake (mg plant−1) (NUP) | |
| Agronomic efficiency (AE; mg mg−1) | |
| Physiological efficiency (PE; mg mg−1) | |
| Apparent recovery efficiency (ARE; %) | |
| Utilization efficiency (UE; mg mg−1) | |
| Internal utilization efficiency (IE; mg mg−1) | |
| Nitrogen-use efficiency with respect to K (%) (NUEK) |
2.5. Statistical Analysis
3. Results
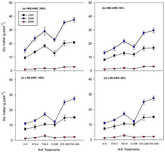
3.1. Effect of Applied Nitrogen and Potassium on Plant Dry Biomass of Two Cotton Cultivars under Varied Irrigation Levels
3.2. Gas Exchange Characteristics and Physiological Water Use Efficiency
3.3. Leaf Relative Water Content (LRWC) and Leaf Area (LA)
3.4. Plant Nutrient Contents and Uptakes
3.5. Yield Components and Seed Cotton Yield
3.6. Nutrient-Use Efficiency Indices and Their Correlation Traits and in PCA Biplot
4. Discussion
4.1. Interaction between Growth and Yield of Cotton with NK Nutrition under Varied Soil Mositure Levels
4.2. Interaction between Morphophysiological Traits and NK Nutrition under Varied Soil Moisture Regimes
4.3. Relations between NUEI and Nutrient Uptake with NK nutrition under Varied Soil Moisture Regimes
4.4. Interaction between Potassium and Nitrogen-Use Efficiency under Varied Soil Moisture Regimes
5. Conclusions
Supplementary Materials
Author Contributions
Funding
Institutional Review Board Statement
Informed Consent Statement
Data Availability Statement
Acknowledgments
Conflicts of Interest
References
- Wells, M.L.; Wood, B.W. Relationships between leaflet nitrogen: Potassium ratio and yield of pecan. HortTechnology 2007, 17, 473–479. [Google Scholar] [CrossRef]
- Brar, M.S.; Singh, B.; Bansal, S.K.; Srinivasa, R. Role of Potassium Nutrition in Nitrogen Use Efficiency in Cereals; e-ifc No. 29; IPI: Bern, Switzerland, 2011. [Google Scholar]
- Shah, Z.; Ahmad, S.R.; Rahman, H.; Shah, M.Z. Sustaining rice-wheat system through management of legumes. II. Effect of green manure legumes and N fertilization on wheat yield. Pak. J. Bot. 2011, 43, 2093–2097. [Google Scholar]
- Leigh, R.A.; Wyn Jones, R.G. A hypothesis relating critical potassium concentrations for growth to the distribution and functions of this ion in the plant cell. New Phytol. 1984, 97, 1–13. [Google Scholar] [CrossRef]
- Wang, Y.; Wu, W.H. Potassium transport and signaling in higher plants. Annu. Rev. Plant Biol. 2013, 64, 451–476. [Google Scholar] [CrossRef]
- Epstein, E.; Bloom, A.J. Mineral Nutrition of Plants: Principles and Perspectives, 2nd ed.; Sinauer Associates Inc.: Sunderland, MA, USA, 2005. [Google Scholar]
- Zorb, C.; Senbayram, M.; Peiter, E. Potassium in agricultur status and perspectives. J. Plant Physiol. 2014, 171, 656–669. [Google Scholar] [CrossRef]
- Fageria, N.K.; Barbosa Filho, M.P.; Da Costa, J.G.C. Potassium use efficiency in common bean genotypes. J. Plant Nutr. 2001, 24, 1937–1945. [Google Scholar] [CrossRef]
- Anas, M.; Liao, F.; Verma, K.K.; Sarwar, M.A.; Mahmood, A.; Chen, Z.L.; Li, Q.; Zeng, X.P.; Liu, Y.; Li, Y.R. Fate of nitrogen in agriculture and environment: Agronomic, eco-physiological and molecular approaches to improve nitrogen use efficiency. Biol. Res. 2020, 53, 47. [Google Scholar] [CrossRef]
- Khalifa, K.; Al-Chammaa, M.; Al-Ain, F. Effect of Potassium Fertilizers on Cotton Yield and Nitrogen Uptake Efficiency in an Aridisol. Commun. Soil Sci. Plant Anal. 2012, 43, 2180–2189. [Google Scholar] [CrossRef]
- Chudhry, A.U.; Sumra, S.G. Determination of Optimum Level of Potash and its Effects on Yield and Quality of Maize. Pak. J. Biol. Sci. 2000, 3, 1994–1995. [Google Scholar] [CrossRef]
- Ali, A.A.; Ikeda, M.; Yamada, Y. Effects of the Supply of K, Ca, and Mg on the absorption and assimilation of ammonium nitrogen and nitrate-nitrogen in tomato plants. Soil Sci. Plant Nutr. 1991, 37, 283–289. [Google Scholar] [CrossRef][Green Version]
- Bruns, H.A.; Ebellhar, M.W. Nutrient uptake of maize affected by nitrogen and potassium fertility in a humid subtropical environment. Commun. Soil Sci. Plant Anal. 2006, 37, 275–293. [Google Scholar] [CrossRef]
- Brennan, R.F.; Bolland, M.D.A. Influence of potassium and nitrogen fertilizer on yield, oil and protein concentration of canola (Brassica napus L.) grain harvested in south-western Australia. Aust. J. Exp. Agric. 2007, 47, 976–983. [Google Scholar] [CrossRef]
- Yang, X.E.; Liv, J.X.; Wang, W.M.; Li, H.; Lno, A.C.; Ye, Z.Q.; Yang, Y. Genotypic differences, and some associated plant traits in potassium internal use efficiency of lowland rice (Oryza sativa L.). Nutr. Cycl. Agroecosyst. 2003, 67, 272–283. [Google Scholar] [CrossRef]
- Armstrong, D.I. Potassium interactions with other nutrients. Better Crops 1998, 28, 12–14. [Google Scholar]
- Geetha, V.; Varughese, K. Response of vegetable cowpea to nitrogen and potassium under varying methods of irrigation. J. Trop. Agric. 2001, 39, 111–113. [Google Scholar]
- Grzebisz, W.; Cermák, P.; Rroco, E.; Szczepaniak, W.; Potarzycki, J.; Fuleky, G. Potassium impact on nitrogen use efficiency in potato-a case study from the Central-East Europe. Plant Soil Environ. 2017, 63, 422–427. [Google Scholar]
- Gulick, S.H.; Cassman, K.G.; Grattan, S.R. Exploitation of soil potassium in layered profiles by root systems of cotton and barley. Soil Sci. Soc. Am. J. 1989, 53, 146–153. [Google Scholar] [CrossRef]
- Zia-ul-hassan; Memon, K.S.; Memon, M.; Arshad, M. Quantifying the effect of temperature on ammonium bicarbonate diethylene triamine penta-acetic acid extractable potassium and developing a novel correction factor to express the data. Commun. Soil Sci. Plant Anal. 2008, 39, 3047–3056. [Google Scholar] [CrossRef]
- Ahmad, F.; Din, S.U.; Perveen, A.; Afzal, M.N. Investigating critical growth stage of cotton subject to water deficit stress. Iran. J. Plant Physiol. 2013, 4, 873–880. [Google Scholar]
- Wang, M.; Zheng, Q.; Shen, Q.; Guo, S. The Critical role of potassium in plant stress response. Int. J. Mol. Sci. 2013, 14, 7370–7390. [Google Scholar] [CrossRef]
- Farooq, M.; Wahid, A.; Kobayashi, N.; Fujita, S.M.A.; Basra, D. Plant drought stress: Effects, mechanisms and management. Agron. Sustain. Dev. 2009, 29, 185–212. [Google Scholar] [CrossRef]
- Pervez, H.; Ashraf, M.; Makhdum, M.I. Influence of potassium nutrition on gas exchange characteristics and water relations in cotton (Gossypium hirsutum L.). Photosynthetica 2004, 42, 251–255. [Google Scholar] [CrossRef]
- Makhdum, M.I.; Pervez, H.; Ashraf, M. Dry matter accumulation and partitioning in cotton (Gossypium hirsutum L.) as influenced by potassium fertilization. Biol. Fertil. Soils 2007, 43, 295–301. [Google Scholar] [CrossRef]
- Wang, X.; Mohamed, I.; Xia, Y.; Chen, F. Effects of water and potassium stresses on potassium utilization efficiency of two cotton genotypes. Int. J. Mol. Sci. 2014, 14, 833–844. [Google Scholar] [CrossRef]
- Barrs, H.D.; Weatherley, P.E. A re-examination of the relative turgidity technique for estimating water deficit in leaves. Aust. J. Biol. Sci. 1962, 15, 413–428. [Google Scholar] [CrossRef]
- Jackson, M.L. Chemical Composition of Soil; Bean, F.E., Ed.; Van-Nostrand Co.: New York, NY, USA, 1962; pp. 71–144. [Google Scholar]
- Zia-ul-hassan; Arshad, M. Cotton growth under potassium deficiency stress is influenced by photosynthetic apparatus and root system. Pak. J. Bot. 2010, 42, 917–925. [Google Scholar]
- Arif, M.; Ahmed, W.; Ul-Haq, T.; Jamshaid, U.; Muhammad, I.; Ahmah, S. Effect of rock phosphate based compost and biofertilizer on uptake of nutrients, nutrient use efficiency and yield of cotton. Soil Environ. 2018, 37, 129–135. [Google Scholar]
- Meena, H.N.; Rana, K.S.; Ashok, K.; Livleen, S.; Meena, S.; Arvind, K.; Adarsh, K.; Antosh, K.M. Influence of crop residue and potassium management on yield, quality, nutrient uptake and nutrient use efficiency by Mung bean in Maize (Zea mays L.)-Wheat (Triticum aestivum L.)-Mungbean cropping system. Int. J. Curr. Microbiol. Appl. Sci. 2008, 7, 3284–3329. [Google Scholar] [CrossRef]
- Bassil, E.; Tajima, H.; Liang, Y.C.; Ohto, M.A.; Ushijima, K. The Arabidopsis Na+/H+ antiporters NHX1 and NHX2 control vacuolar pH and K+ homeostasis to regulate growth, flower development, and reproduction. Plant Cell 2011, 23, 3482–3497. [Google Scholar] [CrossRef]
- Barragan, V.; Leidi, E.O.; Andrés, Z.; Rubio, L.; De Luca, A.; Fernandez, A.; Cubero, B.; Pardo, J.M. Ion exchangers NHX1 and NHX2 mediate active potassium uptake into vacuoles to regulate cell turgor and stomatal function in Arabidopsis. Plant Cell 2012, 24, 1127–1142. [Google Scholar] [CrossRef]
- Fageria, N.K.; Baligar, V.C. Lowland rice response to nitrogen fertilization. Commun. Soil Sci. Plant Anal. 2001, 32, 1405–1429. [Google Scholar] [CrossRef]
- Zhao, D.; Oosterhuis, D.M.; Bednarz, C.W. Influence of potassium deficiency on photosynthesis, chlorophyll content, and chloroplast ultrastructure of cotton plants. Photosynthetica 2001, 39, 103–109. [Google Scholar] [CrossRef]
- Macleod, L.B. Effects of N, P, and K and their interactions on the yield and kernel weight of barley in hydroponic culture. Agron. J. 1969, 61, 26–29. [Google Scholar] [CrossRef]
- Fischer, R.A. Stomatal opening: Role of potassium uptake by guard cells. Science 1968, 160, 784–785. [Google Scholar] [CrossRef] [PubMed]
- Berkowitz, G.A.; Peters, J.S. Chloroplast inner envelope ATPase acts as a primary H1 pump. Plant Physiol. 1993, 102, 261–267. [Google Scholar] [CrossRef]
- Pettigrew, W. Potassium influences on yield and quality production for maize, wheat, soybean and cotton. Plant Physiol. 2008, 133, 670–681. [Google Scholar] [CrossRef]
- Hatfield, J.L.; Sauer, T.J.; Prueger, J.H. Managing soils to achieve greater water use efficiency: A review. Agron. J. 2001, 93, 271–280. [Google Scholar] [CrossRef]
- Naeem, M.; Ansari, A.A.; Gill, S.S. Essential Plant Nutrients: Uptake, Use Efficiency, and Management; Springer: Cham, Switzerland, 2017. [Google Scholar]
- Xia, X.; Fan, X.; Wei, J.; Feng, H.; Qu, H.; Xie, D.; Miller, A.J.; Xu, G. Rice nitrate transporter OsNPF2.4 functions in low-affinity acquisition and long-distance transport. J. Exp. Bot. 2015, 66, 317–331. [Google Scholar] [CrossRef]
- Rizwan, Z.; Wenqing, Z.; Haoran, D.; Snider, J.L.; Muhammad, A.; Babar, I.; Zhiguo, Z. Potassium improves photosynthetic tolerance to and recovery from episodic drought stress in functional leaves of cotton (Gossypium hirsutum L.). Plant Physiol. Biochem. 2017, 119, 21–32. [Google Scholar]
- Dobermann, A. Nutrient use efficiency-measurement and management. In Fertilizer Best Management Practices, 1st ed.; IFA: Paris, France, 2007. [Google Scholar]
- Vasuki, N.; Yogananda, S.B.; Preethu, D.C.; Sudhr, K.; Jayaprakash, S.M. Impact of Long-Term Fertilizer Application on Soil Quality, Crop Productivity and Sustainability: Two Decades Experience; Department of Soil Science and Agricultural Chemistry, University of Agricultural Sciences: Bangalore, India, 2009; p. 22. [Google Scholar]




| N-K Levels (mg pot−1) | PN (µ mol CO2 m−2 S−1) | E (mmole H2Om−2 S−1) | ||||||||
|---|---|---|---|---|---|---|---|---|---|---|
| x 100% AWC | y 50% AWC | Mean | x 100% AWC | y 50% AWC | Mean | |||||
| HKE | LKE | HKE | LKE | HKE | LKE | HKE | LKE | |||
| 0-0 | 29.3 ± 3.1 | 28.0 ± 3.6 | 24.3 ± 2.2 | 21.3 ± 1.2 | 27.8 d | 3.99 ± 0.3 | 3.85 ± 0.2 | 3.81 ± 0.3 | 3.55 ± 0.2 | 3.9 b |
| 375-0 | 34.0 ± 5.6 | 30.0 ± 3.6 | 27.0 ± 3.1 | 23.0 ± 3.1 | 31.2 c | 4.06 ± 0.3 | 3.96 ± 0.1 | 3.94 ± 0.2 | 3.68 ± 0.7 | 2.9 ab |
| 750-0 | 40.3 ± 4.5 | 35.0 ± 2.3 | 33.3 ± 3.5 | 28.7 ± 6.1 | 35.7 b | 4.12 ± 0.2 | 4.08 ± 0.5 | 4.05 ± 0.2 | 3.72 ± 0.4 | 4.2 a |
| 0-208 | 33.0 ± 1.1 | 31.3 ± 5.5 | 27.7 ± 4.1 | 23.6 ± 6.1 | 31.3 c | 4.17 ± 0.3 | 4.12 ± 0.4 | 4.10 ±0.2 | 3.78 ± 0.3 | 3.9 ab |
| 375-208 | 41.3 ± 3.1 | 36.0 ± 5.5 | 35.0 ± 2.0 | 29.0 ± 4.2 | 37.2 ab | 4.43 ± 0.1 | 4.37 ± 0.4 | 4.32 ± 0.2 | 3.82 ± 0.7 | 4.1 ab |
| 750-208 | 43.0 ± 3.0 | 37.0 ± 2.2 | 36.3 ± 4.2 | 31.3 ± 2.7 | 38.9 a | 4.47 ± 0.4 | 4.41 ± 0.3 | 4.36 ± 0.3 | 3.86 ± 0.4 | 4.1 ab |
| Cv × MR | 36.8 a | 32.5 bc | 34.1 b | 31.2 c | 3.9 a | 4.0 a | 4.0 a | 4.1 a | ||
| Mean MR | 34.7 a | 32.6 b | 4.1 a | 4.0 a | ||||||
| Mean Cv | HKE = 35.5a, LKE = 31.9 b | HKE = 4.1 a, LKE= 3.9 a | ||||||||
| gs (m mol CO2 m−2 S−1) | PWUE [μmol CO2 mmol−1 H2O] | |||||||||
| 0-0 | 60.1 ± 2.47 | 54.3 ± 1.5 | 53.1 ± 2.4 | 43.7 ± 0.8 | 52.8 d | 7.34 ± 0.8 | 7.27 ± 0.5 | 6.38 ± 1.1 | 5.97 ± 1.1 | 7.2 d |
| 375-0 | 64.3 ± 1.8 | 58.6 ± 2.5 | 54.8 ± 1.8 | 49.5 ± 1.3 | 56.6 c | 8.37 ± 1.0 | 7.58 ± 0.9 | 6.88 ± 1.2 | 6.30 ± 1.2 | 8.0 cd |
| 750-0 | 68.4 ± 2.6 | 60.2 ± 2.5 | 59.2 ± 3.3 | 51.4 ± 2.2 | 59.3 b | 9.78 ± 1.2 | 8.26 ± 1.1 | 8.22 ± 1.2 | 7.67 ± 1.3 | 8.4 bc |
| 0-208 | 58.0 ± 3.5 | 55.3 ± 2.3 | 52.0 ± 2.3 | 47.3 ± 2.4 | 53.1 cd | 7.91 ± 0.9 | 7.60 ± 0.8 | 6.62 ± 1.0 | 6.24 ± 0.8 | 7.9 cd |
| 375-208 | 82.8 ± 2.5 | 70.5 ± 3.5 | 69.3 ± 2.1 | 63.9 ± 3.6 | 71.7 a | 9.36 ± 1.4 | 8.26 ± 1.2 | 8.13 ± 1.0 | 7.62 ± 1.1 | 9.2 ab |
| 750-208 | 86.6 ± 3.6 | 72.4 ± 2.4 | 71.1 ± 4.9 | 66.7 ± 4.8 | 74.4 a | 9.62 ± 1.3 | 8.40 ± 1.2 | 8.30 ± 0.9 | 8.13 ± 1.2 | 9.4 a |
| Cv × MR | 70.0 a | 61.9 b | 60.0 b | 53.7 c | 9.3 a | 85 b | 8.0 bc | 7.5 c | ||
| Mean MR | 66.0 a | 56.9 b | 8.3 a | 7.2 a | ||||||
| Mean Cv | HKE = 65.2 a, LKE = 57.8 b | HKE = 8.9 a, LKE = 7.8 b | ||||||||
| N:K Levels (mg pot−1) | N Uptake (mg Plant−1) | K Uptake (mg Plant−1) | ||||||||
|---|---|---|---|---|---|---|---|---|---|---|
| x 100% AWC | y 50% AWC | Mean | x 100% AWC | y 50% AWC | Mean | |||||
| HKE | LKE | HKE | LKE | HKE | LKE | HKE | LKE | |||
| 0-0 | 194 ± 30 | 149 ± 15 | 152 ± 16 | 106 ± 18 | 150 d | 180 ± 16 | 134 ± 18 | 134 ± 13 | 101 ± 17 | 137 d |
| 375-0 | 387 ± 31 | 261 ± 21 | 308 ± 26 | 201 ± 32 | 289 c | 267 ± 34 | 171 ± 11 | 181 ± 9 | 122 ± 23 | 186 c |
| 750-0 | 648 ± 30 | 393 ± 50 | 527 ± 27 | 297 ± 29 | 466 b | 355 ± 13 | 215 ± 18 | 251 ± 21 | 149 ± 10 | 243 b |
| 0-208 | 272 ± 62 | 185 ± 16 | 207 ± 16 | 124 ± 15 | 197 d | 293 ± 38 | 211 ± 18 | 223 ± 7.7 | 154 ± 24 | 220 bc |
| 375-208 | 799 ± 72 | 612 ± 81 | 641 ± 55 | 488 ± 69 | 635 a | 614 ± 69 | 468 ± 33 | 499 ± 74 | 366 ± 63 | 487 a |
| 750-208 | 855 ± 40 | 664 ± 67 | 699 ± 50 | 531 ± 32 | 687 a | 641 ± 46 | 505 ± 49 | 522 ± 49 | 381 ± 40 | 5123 a |
| Cv × MR | 526 a | 422 b | 377 b | 292 c | 392 a | 302 b | 284 b | 212 c | ||
| Mean MR | 474a | 335 b | 347 a | 248 b | ||||||
| Mean Cv | HKE = 452 a, LKE = 357 b | HKE = 338 a, LKE = 257 b | ||||||||
| N:K Levels (mg pot−1) | Seed Cotton Yield (g Plant−1) | Mean Boll Weight (g Plant−1) | ||||||||
|---|---|---|---|---|---|---|---|---|---|---|
| x 100% AWC | y 50% AWC | Mean | x 100% AWC | y 50% AWC | Mean | |||||
| HKE | LKE | HKE | LKE | HKE | LKE | HKE | LKE | |||
| 0-0 | 10.5 ± 2.6 | 8.3 ± 3.5 | 8.8 ± 2.07 | 5.7 ± 1.3 | 8.36 d | 2.53 ± 0.01 | 2.41 ± 0.03 | 2.38 ± 0.03 | 2.35 ± 0.04 | 2.42 e |
| 375-0 | 15.6 ± 3.4 | 12.5 ± 3.8 | 12.2 ± 2.8 | 9.9 ± 3.4 | 13.26 bc | 2.67 ± 0.05 | 2.55 ± 0.07 | 2.53 ± 0.04 | 2.45 ± 0.05 | 2.55 d |
| 750-0 | 18.9 ± 4.5 | 14.8 ± 3.3 | 16.6 ± 1.6 | 11.6 ± 3.7 | 15.47 b | 2.75 ± 0.07 | 2.62 ± 0.04 | 2.61 ± 0.05 | 2.57 ± 0.06 | 2.64 c |
| 0-208 | 15.2 ± 2.1 | 12.1 ± 2.2 | 13.1 ± 0.4 | 10.3 ± 2.6 | 12.64 c | 2.51 ± 0.06 | 2.52 ± 0.05 | 2.42 ± 0.06 | 2.41 ± 0.04 | 2.47 e |
| 375-208 | 29.8 ± 3.0 | 23.4 ± 4.5 | 24.8 ± 6.3 | 19.3 ± 3.9 | 24.08 a | 3.12 ± 0.03 | 2.75 ± 0.06 | 2.95 ± 0.10 | 2.62 ± 0.07 | 2.86 b |
| 750-208 | 31.5 ± 4.0 | 25.8 ± 5.0 | 26.6 ± 5.3 | 21.5 ± 3.6 | 26.30 a | 3.16 ± 0.10 | 2.85 ± 0.13 | 3.02 ± 0.12 | 2.72 ± 0.07 | 2.94 a |
| Cv × MR | 20.23 a | 16.58 b | 16.86 b | 13.06 c | 2.79 a | 2.62 b | 2.65 b | 2.52 c | ||
| Mean MR | 18.41 a | 14.96 b | 2.70 a | 2.59 b | ||||||
| Mean Cv | HKE = 18.5 a, LKE = 14.82 b | HKE = 2.72 a, LKE =2.57 b | ||||||||
| N:K Levels (mg pot−1) | N Apparent Recovery Efficiency (%) | K Apparent Recovery Efficiency (%) | ||||||||
|---|---|---|---|---|---|---|---|---|---|---|
| x 100% AWC | y 50% AWC | Mean | x 100% AWC | y 50% AWC | Mean | |||||
| HKE | LKE | HKE | LKE | HKE | LKE | HKE | LKE | |||
| 0-0 | - | - | - | - | - | - | - | - | - | - |
| 375-0 | 52 | 41 | 28 | 24 | 36 d | - | - | - | - | - |
| 750-0 | 60 | 48 | 32 | 25 | 41 c | - | - | - | - | - |
| 0-208 | - | - | - | - | - | 90 | 38 | 33 | 22 | 46 c |
| 375-208 | 105 | 85 | 92 | 75 | 89 a | 159 | 143 | 136 | 110 | 137 a |
| 750-208 | 76 | 65 | 62 | 53 | 64 b | 129 | 115 | 128 | 105 | 119 b |
| Cv × MR | 49 a | 40 b | 36 c | 30 d | 63 a | 49 b | 50 b | 39 c | ||
| Mean MR | 44.5 a | 33.0 b | 56.0 a | 44.5 b | ||||||
| Mean Cv | HKE = 42.5 a; LKE = 35.0 b | HKE = 56.5 a; LKE= 44.0 b | ||||||||
| Parameters | SCY | NAE | KAE | NARE | KARE |
|---|---|---|---|---|---|
| SCY | 1 | ||||
| NAE | 0.882 ** | 1 | |||
| KAE | 0.947 ** | 0.867 ** | 1 | ||
| NARE | 0.882 ** | 0.994 ** | 0.838 ** | 1 | |
| KARE | 0.946 ** | 0.860 ** | 0.995 ** | 0.830 ** | 1 |
Publisher’s Note: MDPI stays neutral with regard to jurisdictional claims in published maps and institutional affiliations. |
© 2022 by the authors. Licensee MDPI, Basel, Switzerland. This article is an open access article distributed under the terms and conditions of the Creative Commons Attribution (CC BY) license (https://creativecommons.org/licenses/by/4.0/).
Share and Cite
Akhtar, M.N.; Ul-Haq, T.; Ahmad, F.; Imran, M.; Ahmed, W.; Ghaffar, A.; Shahid, M.; Saleem, M.H.; Alshaya, H.; Okla, M.K.; et al. Application of Potassium along with Nitrogen under Varied Moisture Regimes Improves Performance and Nitrogen-Use Efficiency of High- and Low-Potassium Efficiency Cotton Cultivars. Agronomy 2022, 12, 502. https://doi.org/10.3390/agronomy12020502
Akhtar MN, Ul-Haq T, Ahmad F, Imran M, Ahmed W, Ghaffar A, Shahid M, Saleem MH, Alshaya H, Okla MK, et al. Application of Potassium along with Nitrogen under Varied Moisture Regimes Improves Performance and Nitrogen-Use Efficiency of High- and Low-Potassium Efficiency Cotton Cultivars. Agronomy. 2022; 12(2):502. https://doi.org/10.3390/agronomy12020502
Chicago/Turabian StyleAkhtar, Muhammad Naeem, Tanveer Ul-Haq, Fiaz Ahmad, Muhammad Imran, Wazir Ahmed, Abdul Ghaffar, Muhammad Shahid, Muhammad Hamzah Saleem, Huda Alshaya, Mohammad K. Okla, and et al. 2022. "Application of Potassium along with Nitrogen under Varied Moisture Regimes Improves Performance and Nitrogen-Use Efficiency of High- and Low-Potassium Efficiency Cotton Cultivars" Agronomy 12, no. 2: 502. https://doi.org/10.3390/agronomy12020502
APA StyleAkhtar, M. N., Ul-Haq, T., Ahmad, F., Imran, M., Ahmed, W., Ghaffar, A., Shahid, M., Saleem, M. H., Alshaya, H., Okla, M. K., & Ali, S. (2022). Application of Potassium along with Nitrogen under Varied Moisture Regimes Improves Performance and Nitrogen-Use Efficiency of High- and Low-Potassium Efficiency Cotton Cultivars. Agronomy, 12(2), 502. https://doi.org/10.3390/agronomy12020502

