Zero-Tillage Effects on Durum Wheat Productivity and Soil-Related Variables in Future Climate Scenarios: A Modeling Analysis
Abstract
:1. Introduction
2. Materials and Methods
2.1. Site Description
2.2. Soil Characterization
2.3. Field Monitoring
2.4. Climate Scenarios
2.5. ARMOSA Model
Model Description
2.6. Model Parametrization and Calibration
- (a)
- the Pearson’s correlation coefficient (r) [55] is a measure of the degree of association between simulations and observations. It varies between 0—no agreement and 1—full agreement between the simulated and observed data:
- (b)
- the relative root mean square error (RRMSE) [56] is a measure for the accuracy of the predictions, which needs to be equal or close to 0, evidencing a perfect match between the simulated and observed variables.
- (c)
- the average absolute error (AAE) represents the average error size associated with the estimations, and it varies between 0—perfect match and positive infinitive—no match between the simulated and measured values:
- (d)
- the percent bias (PBIAS) [57] indicates the trend of the model predictions to be larger or smaller than the equivalent observed: positive values indicate an underestimation bias, while negative values correspond to an overestimation bias and values close to zero indicate the absence of trends:
- (e)
- the efficiency index (EF) proposed by [58] varies between negative infinity and 1.0, whose positive values indicates that the model is a better forecast than the average of measured values:
3. Results
3.1. Soil Survey Results and Plot Definition
3.2. Parameter’s Calibration of the Durum Wheat Crop Growth Model
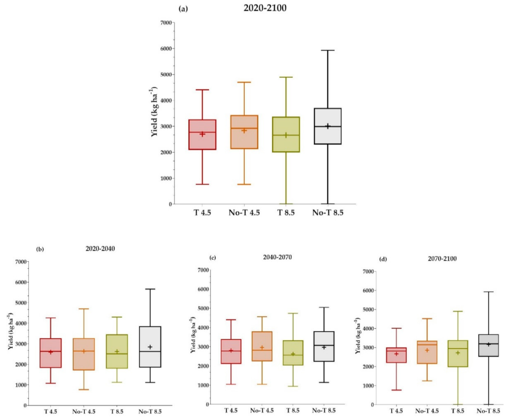
3.3. Simulations with Climate-Change Scenarios
4. Discussion
4.1. Performance of ARMOSA with Durum Wheat under Tillage and No Tillage Techniques
4.2. Application of ARMOSA in T and No-T Managements under Two Future Climate-Change Scenarios
5. Conclusions
Author Contributions
Funding
Institutional Review Board Statement
Informed Consent Statement
Data Availability Statement
Conflicts of Interest
References
- Kassam, A.; Friedrich, T.; Derpsch, R. Global Spread of Conservation Agriculture Global Spread of Conservation Agriculture. Int. J. Environ. Stud. 2019, 76, 29–51. [Google Scholar] [CrossRef]
- FAO Conservation Agriculture. Available online: https://www.fao.org/conservation-agriculture/en/ (accessed on 15 October 2021).
- Bahri, H.; Annabi, M.; Cheikh, H.; Hamed, M.; Frija, A. Science of the Total Environment Assessing the Long-Term Impact of Conservation Agriculture on Wheat-Based Systems in Tunisia Using APSIM Simulations under a Climate Change Context. Sci. Total Environ. 2019, 692, 1223–1233. [Google Scholar] [CrossRef] [PubMed]
- Devkota, K.P.; Hoogenboom, G.; Boote, K.J.; Singh, U.; Lamers, J.P.A.; Devkota, M.; Vlek, P.L.G. Agricultural and Forest Meteorology Simulating the Impact of Water Saving Irrigation and Conservation Agriculture Practices for Rice–Wheat Systems in the Irrigated Semi-Arid Drylands of Central Asia. Agric. For. Meteorol. 2015, 214–215, 266–280. [Google Scholar] [CrossRef]
- Laudicina, V.A.; Novara, A.; Gristina, L.; Badalucco, L. Soil Carbon Dynamics as Affected by Long-Term Contrasting Cropping Systems and Tillages under Semiarid Mediterranean Climate. Appl. Soil Ecol. 2014, 73, 140–147. [Google Scholar] [CrossRef]
- Liu, S.; Yang, J.Y.; Zhang, X.Y.; Drury, C.F.; Reynolds, W.D.; Hoogenboom, G. Modelling Crop Yield, Soil Water Content and Soil Temperature for a Soybean–Maize Rotation under Conventional and Conservation Tillage Systems in Northeast China. Agric. Water Manag. 2013, 123, 32–44. [Google Scholar] [CrossRef]
- Perego, A.; Rocca, A.; Cattivelli, V.; Tabaglio, V.; Fiorii, A.; Barbieri, S.; Schillaci, C.; Chiodini, M.E.; Brenna, S.; Acutis, M. Agro-Environmental Aspects of Conservation Agriculture Compared to Conventional Systems: A 3-Year Experience on 20 Farms in the Po Valley. Agric. Syst. 2019, 168, 73–87. [Google Scholar] [CrossRef] [Green Version]
- Colecchia, S.A.; De Vita, P.; Rinaldi, M. Effects of Tillage Systems in Durum Wheat under Rainfed Mediterranean Conditions. Cereal Res. Commun. 2015, 43, 704–716. [Google Scholar] [CrossRef] [Green Version]
- Troccoli, A.; Maddaluno, C.; Mucci, M.; Russo, M.; Rinaldi, M. Is It Appropriate to Support the Farmers for Adopting Conservation Agriculture? Economic and Environmental Impact Assessment. Ital. J. Agron. 2015, 10, 169–177. [Google Scholar] [CrossRef] [Green Version]
- ISTAT. Data Warehouse of Statistics Produced by ISTAT-Italian National Institute of Statistics. 2012. Available online: http://dati.istat.it/Index.aspx (accessed on 20 September 2021).
- Marandola, D.; Belliggiano, A.; Romagnoli, L.; Ievoli, C. The Spread of No-till in Conservation Agriculture Systems in Italy: Indications for Rural Development Policy-Making. Agric. Food Econ. 2019, 7, 7. [Google Scholar] [CrossRef] [Green Version]
- European Commission. List of Potential Agricultural Practices That Eco-Schemes Could Support; European Commission: Brussels, Belgium, 2021; p. 5. [Google Scholar]
- Italmopa—Associazione Industriali Mugnai d’Italia. Available online: https://www.italmopa.com/landamento-economico-del-settore/ (accessed on 20 September 2021).
- International Grain Council. Available online: https://www.igc.int/en/default.aspx (accessed on 20 September 2021).
- Abd-Elmabod, S.K.; Muñoz-Rojas, M.; Jordán, A.; Anaya-Romero, M.; Phillips, J.D.; Laurence, J.; Zhang, Z.; Pereira, P.; Fleskens, L.; van der Ploeg, M.; et al. Climate Change Impacts on Agricultural Suitability and Yield Reduction in a Mediterranean Region. Geoderma 2020, 374, 114453. [Google Scholar] [CrossRef]
- Bird, D.N.; Benabdallah, S.; Gouda, N.; Hummel, F.; Koeberl, J.; La Jeunesse, I.; Meyer, S.; Prettenthaler, F.; Soddu, A.; Woess-Gallasch, S. Modelling Climate Change Impacts on and Adaptation Strategies for Agriculture in Sardinia and Tunisia Using AquaCrop and Value-at-Risk. Sci. Total Environ. 2016, 543, 1019–1027. [Google Scholar] [CrossRef] [PubMed]
- IPCC. Part A: Global and Sectoral Aspects. (Contribution of Working Group II to the Fifth Assessment Report of the Intergovernmental Panel on Climate Change). In Climate Change 2014: Impacts, Adaptation and Vulnerability; IPCC: Geneva, Switzerland, 2014; p. 1132. [Google Scholar]
- Ahmed, M.; Nasib, M.; Asim, M.; Aslam, M.; Hassan, F.; Higgins, S.; Stöckle, C.O.; Hoogenboom, G. Calibration and Validation of APSIM-Wheat and CERES-Wheat for Spring Wheat under Rainfed Conditions: Models Evaluation and Application. Comput. Electron. Agric. 2016, 123, 384–401. [Google Scholar] [CrossRef]
- Ngwira, A.R.; Aune, J.B.; Thierfelder, C. DSSAT Modelling of Conservation Agriculture Maize Response to Climate Change in Malawi. Soil Tillage Res. 2014, 143, 85–94. [Google Scholar] [CrossRef]
- Corbeels, M.; Berre, D.; Rusinamhodzi, L.; Lopez-Ridaura, S. Can We Use Crop Modelling for Identifying Climate Change Adaptation Options? Agric. For. Meteorol. 2018, 256–257, 46–52. [Google Scholar] [CrossRef]
- Shafeeq, M.P.; Aggarwal, P.; Krishnan, P. Modeling the Temporal Distribution of Water, Ammonium-N and Nitrate-N in the Root Zone of Wheat Using HYDRUS-2D under Conservation Agriculture. Environ. Sci. Pollut. Res. 2020, 27, 2197–2216. [Google Scholar] [CrossRef]
- Corbeels, M.; Chirat, G.; Messad, S.; Thierfelder, C. Performance and Sensitivity of the DSSAT Crop Growth Model in Simulating Maize Yield under Conservation Agriculture. Eur. J. Agron. 2016, 76, 41–53. [Google Scholar] [CrossRef]
- Gerardeaux, E.; Giner, M.; Ramanantsoanirina, A.; Dusserre, J. Positive Effects of Climate Change on Rice in Madagascar. Agron. Sustain. Dev. 2012, 32, 619–627. [Google Scholar] [CrossRef] [Green Version]
- Maccarthy, D.S.; Vlek, P.L.G.; Bationo, A.; Tabo, R.; Fosu, M. Field Crops Research Modeling Nutrient and Water Productivity of Sorghum in Smallholder Farming Systems in a Semi-Arid Region of Ghana. Field Crop. Res. 2010, 118, 251–258. [Google Scholar] [CrossRef] [Green Version]
- Chaki, A.K.; Gaydon, D.S.; Dalal, R.C.; Bellotti, W.D.; Gathala, M.K.; Hossain, A.; Menzies, N.W. How We Used APSIM to Simulate Conservation Agriculture Practices in the Rice-Wheat System of the Eastern Gangetic Plains. Field Crop. Res. 2022, 275, 108344. [Google Scholar] [CrossRef]
- Matthews, R.B.; Rivington, M.; Muhammed, S.; Newton, A.C.; Hallett, P.D. Adapting Crops and Cropping Systems to Future Climates to Ensure Food Security: The Role of Crop Modelling. Glob. Food Sec. 2013, 2, 24–28. [Google Scholar] [CrossRef]
- Perego, A.; Giussani, A.; Sanna, M.; Fumagalli, M.; Carozzi, M.; Brenna, S.; Acutis, M. The ARMOSA Simulation Crop Model: Overall Features, Calibration and Validation Results. Ital. J. Agrometeorol. 2013, 18, 23–38. [Google Scholar]
- Valkama, E.; Kunypiyaeva, G.; Zhapayev, R.; Karabayev, M.; Zhusupbekov, E.; Perego, A.; Schillaci, C.; Sacco, D.; Moretti, B.; Grignani, C.; et al. Can Conservation Agriculture Increase Soil Carbon Sequestration? A Modelling Approach. Geoderma 2020, 369, 114298. [Google Scholar] [CrossRef]
- Hargreaves, G.H. The estimation of potential and crop evapotranspiration. Am. Soc. Agric. Eng. Trans. 1974, 17, 701–704. [Google Scholar] [CrossRef]
- MIPAF-Ministero delle Politiche Agricole e Forestali. Metodi Ufficiali di Analisi Chimica del Suolo; MIPAF: Rome, Italy, 1999; pp. 1–63. [Google Scholar]
- Reynolds, W.D.; Elrick, D.E. Constant head well permeameter (vadose zone). In Methods of Soil Analysis. Part 4. Physical Methods; Dane, J., Topp, G.C., Eds.; Soil Science Society of America: Madison, WI, USA, 2002. [Google Scholar]
- Arya, L.M. Wind and hot air methods. In Methods of Soil Analysis. Part 4. Physical Methods; SSSA Book Series; Dane, J.K., Topp, G.C., Eds.; Soil Science Society of America: Madison, WI, USA, 2002; Volume 5, pp. 916–920. [Google Scholar]
- Basile, A.; Buttafuoco, G.; Mele, G.; Tedeschi, A. Complementary Techniques to Assess Physical Properties of a Fine Soil Irrigated with Saline Water. Environ. Earth Sci. 2012, 66, 1797–1807. [Google Scholar] [CrossRef]
- Van Genuchten, M.T. A closed-form equation for predicting the hydraulic conductivity of unsaturated soils. Soil Sci. Soc. Am. J. 1980, 44, 892–898. [Google Scholar] [CrossRef] [Green Version]
- Witzenberger, A.; Hack, H.; van den Boom, T. Erläuterungen zum BBCH-Dezimal-Code für die Entwicklungsstadien des Getreides—Mit Abbildungen. Gesunde Pflanz. 1989, 41, 384–388. [Google Scholar]
- Rockel, B.; Will, A.; Hense, A. The Regional Climate Model COSMO-CLM (CCLM). Meteorol. Z. 2008, 17, 347–348. [Google Scholar] [CrossRef]
- Bucchignani, E.; Montesarchio, M.; Zollo, A.L.; Mercogliano, P. High-Resolution Climate Simulations with COSMO-CLM over Italy: Performance Evaluation and Climate Projections for the 21st Century. Int. J. Climatol. 2016, 36, 735–756. [Google Scholar] [CrossRef]
- Zollo, A.L.; Rillo, V.; Bucchignani, E.; Montesarchio, M.; Mercogliano, P. Extreme Temperature and Precipitation Events over Italy: Assessment of High-Resolution Simulations with COSMO-CLM and Future Scenarios. Int. J. Climatol. 2016, 36, 987–1004. [Google Scholar] [CrossRef] [Green Version]
- Meinshausen, M.; Smith, S.J.; Calvin, K.; Daniel, J.S.; Kainuma, M.L.T.; Lamarque, J.; Matsumoto, K.; Montzka, S.A.; Raper, S.C.B.; Riahi, K.; et al. The RCP Greenhouse Gas Concentrations and Their Extensions from 1765 to 2300. Clim. Chang. 2011, 109, 213–241. [Google Scholar] [CrossRef] [Green Version]
- Scoccimarro, E.; Gualdi, S.; Bellucci, A.; Sanna, A.; Fogli, P.G.; Manzini, E.; Vichi, M.; Oddo, P.; Navarra, A. Effects of Tropical Cyclones on Ocean Heat Transport in a High-Resolution Coupled General Circulation Model. J. Clim. 2011, 24, 4368–4384. [Google Scholar] [CrossRef] [Green Version]
- Donatelli, M.; Bellocchi, G.; Fontana, F. RadEst3.00: Software to Estimate Daily Radiation Data from Commonly Available Meteorological Variables. Eur. J. Agron. 2003, 18, 363–367. [Google Scholar] [CrossRef]
- De Wit, A.; Boogaard, H.; Fumagalli, D.; Janssen, S.; Knapen, R.; van Kraalingen, D.; Supit, I.; van der Wijngaart, R.; van Diepen, K. 25 Years of the WOFOST Cropping Systems Model. Agric. Syst. 2019, 168, 154–167. [Google Scholar] [CrossRef]
- Groenendijk, P.; Heinen, M.; Klammler, G.; Fank, J.; Kupfersberger, H.; Pisinaras, V.; Gemitzi, A.; Peña-Haro, S.; García-Prats, A.; Pulido-Velazquez, M.; et al. Performance Assessment of Nitrate Leaching Models for Highly Vulnerable Soils Used in Low-Input Farming Based on Lysimeter Data. Sci. Total Environ. 2014, 499, 463–480. [Google Scholar] [CrossRef] [Green Version]
- Pirttioja, N.; Carter, T.R.; Fronzek, S.; Bindi, M.; Hoffmann, H. Temperature and Precipitation Effects on Wheat Yield across a European Transect: A Crop Model Ensemble Analysis Using Impact Response Surfaces. Clim. Res. 2015, 65, 87–105. [Google Scholar] [CrossRef] [Green Version]
- Sándor, R.; Barcza, Z.; Acutis, M.; Doro, L.; Hidy, D.; Köchy, M.; Minet, J.; Lellei-Kovács, E.; Ma, S.; Perego, A.; et al. Multi-Model Simulation of Soil Temperature, Soil Water Content and Biomass in Euro-Mediterranean Grasslands: Uncertainties and Ensemble Performance. Eur. J. Agron. 2017, 88, 22–40. [Google Scholar] [CrossRef] [Green Version]
- Thornley, J.H.M.; Johnson, I.R. Plant and Crop Modelling: A Mathematical Approach to Plant and Crop Physiology; Clarendon: Oxford, UK, 1990. [Google Scholar]
- Johnsson, H.; Bergstrom, L.; Jansson, P.E.; Paustian, K. Simulated Nitrogen Dynamics and Losses in a Layered Agricultural Soil. Agric. Ecosyst. Environ. 1987, 18, 333–356. [Google Scholar] [CrossRef]
- Parton, W.J. Predicting soil temperatures in a shortgrass steppe. Soil Sci. 1984, 138, 93–101. [Google Scholar] [CrossRef]
- Neitsch, S.; Arnold, J.; Kiniry, J.; Williams, J. Soil Water Assess. Tool; Theoretical Documentation Version 2009; Texas Water Resources Institute: College Station, TX, USA, 2011. [Google Scholar]
- Pereira, L.S.; Paredes, P.; Rodrigues, G.C.; Neves, M. Modeling Malt Barley Water Use and Evapotranspiration Partitioning in Two Contrasting Rainfall Years. Assessing AquaCrop and SIMDualKc Models. Agric. Water Manag. 2015, 159, 239–254. [Google Scholar] [CrossRef]
- Wessolek, G.; Plagge, R.; Leij, F.J.; van Genuchten, M.T. Analysing Problems in Describing Field and Laboratory Measured Soil Hydraulic Properties. Geoderma 1994, 64, 93–110. [Google Scholar] [CrossRef]
- Basile, A.; Ciollaro, G.; Coppola, A. Hysteresis in Soil Water Characteristics as a Key to Interpreting Comparisons of Laboratory and Field Measured Hydraulic Properties. Water Resour. Res. 2003, 39, 1355. [Google Scholar] [CrossRef]
- Basile, A.; Coppola, A.; De Mascellis, R.; Randazzo, L. Scaling Approach to Deduce Field Unsaturated Hydraulic Properties and Behavior from Laboratory Measurements on Small Cores. Vadose Zone J. 2006, 5, 1005–1016. [Google Scholar] [CrossRef]
- Sanna, M.; Bellocchi, G.; Fumagalli, M.; Acutis, M. A New Method for Analysing the Interrelationship between Performance Indicators with an Application to Agrometeorological Models. Environ. Model. Softw. 2015, 73, 286–304. [Google Scholar] [CrossRef]
- Addiscott, T.M.; Whitmore, A.P. Computer Simulation of Changes in Soil Mineral Nitrogen and Crop Nitrogen during Autumn, Winter and Spring. J. Agric. Sci. 1987, 109, 141–157. [Google Scholar] [CrossRef]
- Loague, K.; Green, R.E. Statistical and Graphical Methods for Evaluating Solute Transport Models: Overview and Application. J. Contam. Hydrol. 1991, 7, 51–73. [Google Scholar] [CrossRef]
- Gupta, V.H.; Sorooshian, S.; Yapo, P.O. Status of automatic calibration for hydrologic models: Comparison with multilevel expert calibration. J. Hydrol. Eng. 1999, 4, 135–143. [Google Scholar] [CrossRef]
- Nash, J.E.; Sutcliffe, J.V. River flow forecasting through conceptual models: Part 1. A discussion of principles. J. Hydrol. 1970, 10, 282–290. [Google Scholar] [CrossRef]
- Perego, A.; Sanna, M.; Giussani, A.; Chiodini, M.E.; Fumagalli, M.; Pilu, S.R.; Bindi, M.; Moriondo, M.; Acutis, M. Designing a High-Yielding Maize Ideotype for a Changing Climate in Lombardy Plain (Northern Italy). Sci. Total Environ. 2014, 499, 497–509. [Google Scholar] [CrossRef]
- Levene, H. Robust tests for equality of variances. In Contributions to Probability and Statistics: Essays in Honor of Harold Hotelling; Olkin, I., Hotelling, H., Eds.; Stanford University Press: Palo Alto, CA, USA, 1960; pp. 278–292. [Google Scholar]
- Acutis, M.; Scaglia, B.; Confalonieri, R. Perfunctory Analysis of Variance in Agronomy, and Its Consequences in Experimental Results Interpretation. Eur. J. Agron. 2012, 43, 129–135. [Google Scholar] [CrossRef]
- IUSS Working Group WRB. World Reference Base for Soil Resources 2014. International Soil Classification System for Naming Soils and Creating Legends for Soil Maps; Update 2015; FAO: Rome, Italy, 2015. [Google Scholar]
- Bonfante, A.; Basile, A.; Acutis, M.; De Mascellis, R.; Manna, P.; Perego, A.; Terribile, F. SWAP, CropSyst and MACRO Comparison in Two Contrasting Soils Cropped with Maize in Northern Italy. Agric. Water Manag. 2010, 97, 1051–1062. [Google Scholar] [CrossRef]
- Bechini, L.; Bocchi, S.; Maggiore, T.; Confalonieri, R. Parameterization of a Crop Growth and Development Simulation Model at Sub-Model Components Level. An Example for Winter Wheat (Triticum Aestivum L.). Environ. Model. Softw. 2006, 21, 1042–1054. [Google Scholar] [CrossRef]
- Stöckle, C.O.; Donatelli, M.; Nelson, R. CropSyst, a Cropping Systems Simulation Model. Eur. J. Agron. 2003, 18, 289–307. [Google Scholar] [CrossRef]
- Keating, B.A.; Carberry, P.S.; Hammer, G.L.; Probert, M.E.; Robertson, M.J.; Holzworth, D.; Huth, N.I.; Hargreaves, J.N.G.; Meinke, H.; Hochman, Z.; et al. An Overview of APSIM, a Model Designed for Farming Systems Simulation. Eur. J. Agron. 2003, 18, 267–288. [Google Scholar] [CrossRef] [Green Version]
- Jones, J.W.; Hoogenboom, G.; Porter, C.H.; Boote, K.J.; Batchelor, W.D.; Hunt, L.A.; Wilkens, P.W.; Singh, U.; Gijsman, A.J.; Ritchie, J.T. The DSSAT Cropping System Model. Eur. J. Agron. 2003, 18, 235–265. [Google Scholar] [CrossRef]
- Beckie, H.J.; Flower, K.C.; Ashworth, B. Farming without Glyphosate? Plants 2020, 9, 96. [Google Scholar] [CrossRef] [PubMed] [Green Version]
- Bonfante, A.; Monaco, E.; Langella, G.; Mercogliano, P.; Bucchignani, E.; Manna, P.; Terribile, F. A Dynamic Viticultural Zoning to Explore the Resilience of Terroir Concept under Climate Change. Sci. Total Environ. 2018, 624, 294–308. [Google Scholar] [CrossRef]
- Asseng, S. Rising Temperatures Reduce Global Wheat Production. Nat. Clim. Chang. 2015, 5, 143–147. [Google Scholar] [CrossRef]
- Kuhn, N.J.; Hu, Y.; Bloemertz, L.; He, J.; Li, H.; Greenwood, P. Conservation Tillage and Sustainable Intensification of Agriculture: Regional vs. Global Benefit Analysis. Agric. Ecosyst. Environ. 2016, 216, 155–165. [Google Scholar] [CrossRef]
- O’Brien, P.L.; Daigh, A.L.M. Tillage Practices Alter the Surface Energy Balance—A Review. Soil Tillage Res. 2019, 195, 104354. [Google Scholar] [CrossRef]
- Lampurlanés, J.; Plaza-Bonilla, D.; Álvaro-Fuentes, J.; Cantero-Martínez, C. Long-Term Analysis of Soil Water Conservation and Crop Yield under Different Tillage Systems in Mediterranean Rainfed Conditions. Field Crop. Res. 2016, 189, 59–67. [Google Scholar] [CrossRef] [Green Version]









| Crop Growth Stages | |||||||||
|---|---|---|---|---|---|---|---|---|---|
| Season | Sowing | Emergence | Tillering | Stem Elongation | Ear Emergence | Flowering | Begin Grain Filling | Physiological Maturity | Harvest |
| 2013–2014 | 0 | 31 | 103 | 141 | 165 | 184 | 206 | 224 | 236 |
| BBCH scale | 00 | 09 | 29 | 35 | 55 | 65 | 73 | 89 | 99 |
| Field Monitoring | |||||
|---|---|---|---|---|---|
| Variable | Method | Frequency | Number of Measurements | Type | |
| Meteorology | Minimum/maximum air temperature (°C) | Local meteorological station | Daily | 730 | Continuous |
| Relative humidity (%) | |||||
| Global solar radiation (MJ m−2) | |||||
| Precipitation (mm) | |||||
| Reference evapotranspiration (mm) | Hargreaves ETo method | Daily | 730 | Continuous | |
| Soil | Volumetric soil water content (m3 m−3) | Time domain reflectometry sensor | Daily | 460 (T) 548 (No-T) | Continuous |
| Crop | Leaf area index (m2 m−2) | LAI Licor 2000 | At each phenological stage | 6 | Discontinuous |
| Aboveground biomass (Kg ha−1) | Oven drying | At each phenological stage | 9 | Discontinuous | |
| Site | Soil Profile | Depth | pH (H2O) | O.C (%) | CaCO3 (%) | E.C (ms cm−1) | C.E.C (meq/100 g) |
|---|---|---|---|---|---|---|---|
| T | Ap1 | 0–10 | 8.4 | 1.4 | 12.4 | 275 | 39 |
| Ap2 | 10–40 | 8.4 | 1.3 | 10.9 | 183 | 33 | |
| Bss1 | 40–65 | 8.7 | 0.9 | 12.3 | 315 | 36 | |
| Bss2 | 65–90 | 8.8 | 0.8 | 18.9 | 392 | 29 | |
| Bss3 | 90–105 | 8.8 | 0.6 | 20.5 | 564 | 34 | |
| Bw | 105–120 | 8.8 | 0.6 | 18.7 | 697 | 24 | |
| CB | 120–150 | 8.8 | 0.5 | 24.9 | 789 | 28 | |
| No-T | Ap1 | 0–10 | 8.1 | 1.2 | 10.5 | 252 | 33 |
| Ap2 | 10–45 | 8.3 | 1.1 | 10.1 | 177 | 33 | |
| Bss1 | 45–100 | 8.4 | 0.7 | 13.3 | 372 | 31 | |
| Bss2 | 100–120 | 8.5 | 0.7 | 17.4 | 317 | 31 | |
| 2Bss | 120–130 | 8.5 | 0.5 | 18.2 | 271 | 31 | |
| 2CB | 130–160 | 8.5 | 0.4 | 22.2 | 271 | 23 | |
| 2C | 160–170 | 8.6 | 0.5 | 29.1 | 247 | 18 |
| Depths (m) | Treatments | ||
|---|---|---|---|
| T | No-T | ||
| r | 0–15 | 0.90 | 0.83 |
| 20 | 0.88 | 0.82 | |
| 30 | NA | 0.79 | |
| 40 | 0.51 | NA | |
| 50 | 0.91 | −0.49 | |
| 0–50 | 0.86 | 0.83 | |
| PBIAS (%) | 0–15 | 2.4 | −6.7 |
| 20 | 13.1 | 7.8 | |
| 30 | NA | 1.1 | |
| 40 | 1.4 | NA | |
| 50 | 0.6 | 0.4 | |
| 0–50 | 3.5 | 0.9 | |
| RRMSE (%) | 0–15 | 8.04 | 12.11 |
| 20 | 15.83 | 12.56 | |
| 30 | NA | 9.2 | |
| 40 | 8.73 | NA | |
| 50 | 4.92 | 3.11 | |
| 0–50 | 9.34 | 9.1 | |
| AAE (m3/m3) | 0–15 | 0.02 | 0.03 |
| 20 | 0.05 | 0.03 | |
| 30 | NA | 0.03 | |
| 40 | 0.03 | NA | |
| 50 | 0.02 | 0.01 | |
| 0–50 | 0.03 | 0.03 | |
| EF | 0–15 | 0.79 | 0.55 |
| 20 | 0.23 | 0.32 | |
| 30 | NA | −0.47 | |
| 40 | −0.43 | NA | |
| 50 | −0.05 | −1.15 | |
| 0–50 | 0.59 | 0.59 | |
| LAI | AGB | |||
|---|---|---|---|---|
| T | No-T | T | No-T | |
| r | 0.84 | 0.92 | 0.96 | 0.98 |
| PBIAS (%) | −18.2 | 13.3 | 1.3 | 11.4 |
| RRMSE (%) | 28.07 | 24.11 | 15.92 | 16.27 |
| AAE (m2/m2) | 0.84 | 0.70 | 836 | 1370.12 |
| EF | −0.74 | 0.74 | 0.93 | 0.91 |
| Measured 2013 | Simulated 2013 RCP4.5 | Simulated 2013 RCP8.5 | Measured 2021 | Simulated 2021 RCP4.5 | Simulated 2021 RCP8.5 |
|---|---|---|---|---|---|
| 108% | 75% | 75% | 84% | 62% | 60% |
| Average of Water-Stress Index | Average of Nitrogen-Stress Index | |
|---|---|---|
| T RCP4.5 | 0.66 | 0.96 |
| No-T RCP4.5 | 0.58 | 1.00 |
| T RCP8.5 | 0.68 | 0.94 |
| No-T RCP8.5 | 0.61 | 1.00 |
Publisher’s Note: MDPI stays neutral with regard to jurisdictional claims in published maps and institutional affiliations. |
© 2022 by the authors. Licensee MDPI, Basel, Switzerland. This article is an open access article distributed under the terms and conditions of the Creative Commons Attribution (CC BY) license (https://creativecommons.org/licenses/by/4.0/).
Share and Cite
Puig-Sirera, À.; Acutis, M.; Bancheri, M.; Bonfante, A.; Botta, M.; De Mascellis, R.; Orefice, N.; Perego, A.; Russo, M.; Tedeschi, A.; et al. Zero-Tillage Effects on Durum Wheat Productivity and Soil-Related Variables in Future Climate Scenarios: A Modeling Analysis. Agronomy 2022, 12, 331. https://doi.org/10.3390/agronomy12020331
Puig-Sirera À, Acutis M, Bancheri M, Bonfante A, Botta M, De Mascellis R, Orefice N, Perego A, Russo M, Tedeschi A, et al. Zero-Tillage Effects on Durum Wheat Productivity and Soil-Related Variables in Future Climate Scenarios: A Modeling Analysis. Agronomy. 2022; 12(2):331. https://doi.org/10.3390/agronomy12020331
Chicago/Turabian StylePuig-Sirera, Àngela, Marco Acutis, Marialaura Bancheri, Antonello Bonfante, Marco Botta, Roberto De Mascellis, Nadia Orefice, Alessia Perego, Mario Russo, Anna Tedeschi, and et al. 2022. "Zero-Tillage Effects on Durum Wheat Productivity and Soil-Related Variables in Future Climate Scenarios: A Modeling Analysis" Agronomy 12, no. 2: 331. https://doi.org/10.3390/agronomy12020331
APA StylePuig-Sirera, À., Acutis, M., Bancheri, M., Bonfante, A., Botta, M., De Mascellis, R., Orefice, N., Perego, A., Russo, M., Tedeschi, A., Troccoli, A., & Basile, A. (2022). Zero-Tillage Effects on Durum Wheat Productivity and Soil-Related Variables in Future Climate Scenarios: A Modeling Analysis. Agronomy, 12(2), 331. https://doi.org/10.3390/agronomy12020331

