Incorporating Plantain with Perennial Ryegrass-White Clover in a Dairy Grazing System: Dry Matter Yield, Botanical Composition, and Nutritive Value Response to Sowing Rate, Plantain Content and Season
Abstract
1. Introduction
2. Materials and Methods
2.1. Study Site, Pasture Treatment, and Establishment
2.2. Grazing Management
2.3. Herbage Measurement
2.4. Statistical Analysis
3. Results
3.1. Herbage Yield
3.2. Botanical Composition
3.3. Herbage Nutritive Value and Contents of Minerals and Bioactive Compounds
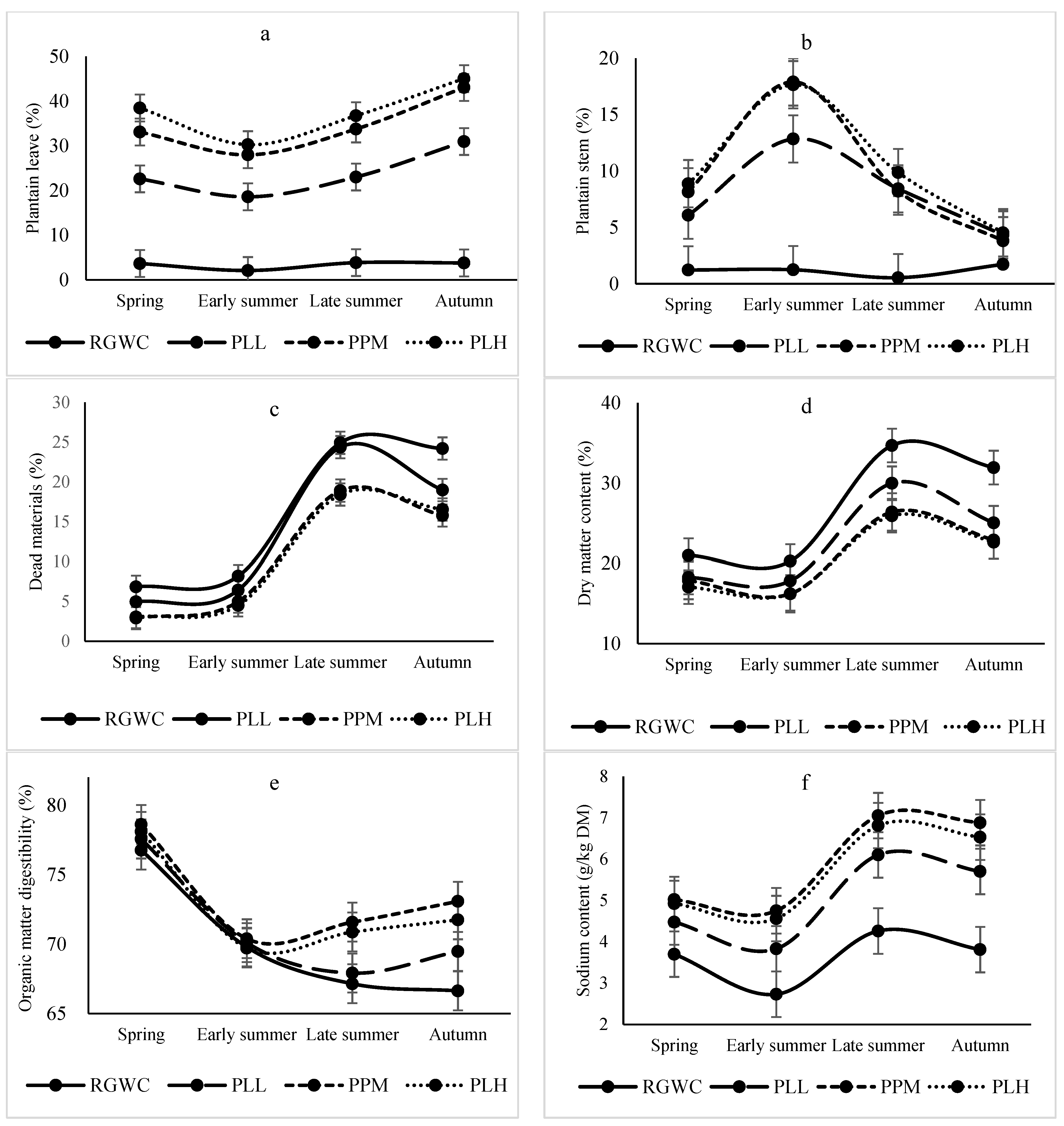
3.4. Effect of Treatment in Different Seasons
3.5. Effect of Plantain Content and Season
4. Discussion
5. Conclusions
Author Contributions
Funding
Data Availability Statement
Acknowledgments
Conflicts of Interest
References
- Judson, H.G.; Moorhead, A.J.E. Benefits and uses of Ceres Tonic plantain (Plantago lanceolata) in sheep and beef systems. In Proceedings of the Society of Sheep and Beef Cattle Veterinarians of the New Zealand Veterinary Association, Annual Seminar, Hamilton, New Zealand, 16–20 June 2014; pp. 1–6. [Google Scholar]
- Stewart, A.V. Plantain (Plantago lanceolata)—A potential pasture species. In Proceedings of the New Zealand Grassland Association, Oamaru, New Zealand, 21–24 October 1996; Volume 58, pp. 77–86. [Google Scholar] [CrossRef]
- Moorhead, A.J.E.; Piggot, G.J. The performance of pasture mixes containing ‘Ceres Tonic’ plantain (Plantago lanceolata) in Northland. In Proceedings of the New Zealand Grassland Association, Waitangi, New Zealand, 3–5 November 2009; Volume 71, pp. 195–199. [Google Scholar] [CrossRef]
- Pembleton, K.G.; Tozer, K.N.; Edwards, G.R.; Jacobs, J.L.; Turner, L.R. Simple versus diverse pastures: Opportunities and challenges in dairy systems. Anim. Prod. Sci. 2015, 55, 893–901. [Google Scholar] [CrossRef]
- Nobilly, F.; Bryant, R.; McKenzie, B.; Edwards, G. Productivity of rotationally grazed simple and diverse pasture mixtures under irrigation in Canterbury. In Proceedings of the New Zealand Grassland Association, Tauranga, New Zealand, 4–6 November 2013; Volume 75, pp. 165–172. [Google Scholar] [CrossRef]
- Al-Marashdeh, O.; Cameron, K.; Hodge, S.; Gregorini, P.; Edwards, G. Integrating Plantain (Plantago lanceolata L.) and Italian Ryegrass (Lolium multiflorum Lam.) into New Zealand Grazing Dairy System: The Effect on Farm Productivity, Profitability, and Nitrogen Losses. Animals 2021, 11, 376. [Google Scholar] [CrossRef] [PubMed]
- Doole, G.J.; Romera, A.; Leslie, J.E.; Chapman, D.F.; Pinxterhuis, I.; Kemp, P.D. Economic assessment of plantain (Plantago lanceolata) uptake in the New Zealand dairy sector. Agri. Syst. 2021, 187, 103012. [Google Scholar] [CrossRef]
- Minister for the Environment. National Policy Statement for Freshwater Management 2020; Ministry for the Environment: Wellington, New Zealand, 2020; pp. 1–70.
- Kemp, P.D.; Matthew, C.; Lucas, R.J. Pasture species and cultivars. In New Zealand Pasture and Crop Science; White, J., Hodgson, J., Eds.; Oxford University Press: Melbourne, Australian, 2000; pp. 83–100. [Google Scholar]
- Sanderson, M.A.; Labreveux, M.; Hall, M.H.; Elwinger, G.F. Nutritive Value of Chicory and English Plantain Forage. Crop Sci. 2003, 43, 1797–1804. [Google Scholar] [CrossRef]
- Box, L.A.; Edwards, G.R.; Bryant, R.H. Seasonal and diurnal changes in aucubin, catalpol and acteoside concentration of plantain herbage grown at high and low N fertiliser inputs. N. Z. J. Agric. Res. 2018, 62, 343–353. [Google Scholar] [CrossRef]
- Minneé, E.M.K.; Chapman, D.F.; Pinxterhuis, I.J.B.; Kuhn-Sherlock, B. Meta-analyses comparing the nutritional composition of perennial ryegrass (Lolium perenne) and plantain (Plantago lanceolata) pastures. J. N. Z. Grassl. 2020, 81, 117–124. [Google Scholar] [CrossRef]
- Minneé, E.M.K.; Waghorn, G.C.; Lee, J.M.; Clark, C.E.F. Including chicory or plantain in a perennial ryegrass/white clover-based diet of dairy cattle in late lactation: Feed intake, milk production and rumen digestion. Anim. Feed Sci. Technol. 2017, 227, 52–61. [Google Scholar] [CrossRef]
- Harrington, K.C.; Thatcher, A.; Kemp, P.D. Mineral Composition and Nutritive Value of Some Common Pasture Weeds. N. Z. Plant Prot. 2006, 59, 261–265. [Google Scholar] [CrossRef]
- Navarrete, S.; Kemp, P.D.; Pain, S.J.; Back, P.J. Bioactive compounds, aucubin and acteoside, in plantain (Plantago lanceolata L.) and their effect on in vitro rumen fermentation. Anim. Feed Sci. Technol. 2016, 222, 158–167. [Google Scholar] [CrossRef]
- Totty, V.K.; Greenwood, S.L.; Bryant, R.H.; Edwards, G.R. Nitrogen partitioning and milk production of dairy cows grazing simple and diverse pastures. J. Dairy Sci. 2013, 96, 141–149. [Google Scholar] [CrossRef] [PubMed]
- Carlton, A.J.; Cameron, K.C.; Di, H.J.; Edwards, G.R.; Clough, T.J. Nitrate leaching losses are lower from ryegrass/white clover forages containing plantain than from ryegrass/white clover forages under different irrigation. N. Z. J. Agric. Res. 2019, 62, 150–172. [Google Scholar] [CrossRef]
- Simon, P.L.; de Klein, C.A.M.; Worth, W.; Rutherford, A.J.; Dieckow, J. The efficacy of Plantago lanceolata for mitigating nitrous oxide emissions from cattle urine patches. Sci. Total Environ. 2019, 691, 430–441. [Google Scholar] [CrossRef] [PubMed]
- Minnée, E.M.K.; Leach, C.M.T.; Dalley, D.E. Substituting a pasture-based diet with plantain (Plantago lanceolata) reduces nitrogen excreted in urine from dairy cows in late lactation. Livest. Sci. 2020, 239, 104093. [Google Scholar] [CrossRef]
- Nkomboni, D.; Bryant, R.H.; Edwards, G.R. Effect of increasing dietary proportion of plantain on milk production and nitrogen use of grazing dairy cows in late lactation. Anim. Prod. Sci. 2021, 61, 770–779. [Google Scholar] [CrossRef]
- Cranston, L.M.; Kenyon, P.R.; Morris, S.T.; Lopez-Villalobos, N.; Kemp, P.D. Morphological and Physiological Responses of Plantain (Plantago lanceolata) and Chicory (Cichorium intybus) to Water Stress and Defoliation Frequency. J. Agron. Crop Sci. 2016, 202, 13–24. [Google Scholar] [CrossRef]
- Tamura, Y. Effects of Temperature, Shade, and Nitrogen Application on the Growth and Accumulation of Bioactive Compounds in Cultivars of Plantago lanceolata L. Jpn. J. Crop Sci. 2001, 70, 548–553. [Google Scholar] [CrossRef][Green Version]
- Metson, A.J.; Saunders, W.M.H. Seasonal variations in chemical composition of pasture. N. Z. J. Agric. Res. 1978, 21, 341–353. [Google Scholar] [CrossRef]
- Judson, H.G.; Fraser, P.M.; Peterson, M.E.; Edwards, G.R. Specific genotypes of plantain (Plantago lanceolata) vary in their impact on sheep urine volume and nitrification in the urine patch. J. N. Z. Grassl. 2018, 80, 125–128. [Google Scholar] [CrossRef]
- Hill Lab. Technical Note: Analysis of Feedstuffs Using Near Infra-Red Spectroscopy; Hill Laboratories: Wellington, New Zealand, 2021; pp. 1–2. [Google Scholar]
- SAS Institute. SAS User’s Guide, 9.4; Statistical Analysis Systems (SAS) Institute: Cary, NC, USA, 2020. [Google Scholar]
- Archontoulis, S.V.; Miguez, F.E. Nonlinear Regression Models and Applications in Agricultural Research. Agron. J. 2015, 107, 786–798. [Google Scholar] [CrossRef]
- Julious, S.A. Using confidence intervals around individual means to assess statistical significance between two means. Pharm. Stat. 2004, 3, 217–222. [Google Scholar] [CrossRef]
- Woodward, S.L.; Waugh, C.D.; Roach, C.G.; Fynn, D.; Phillips, J. Are diverse species mixtures better pastures for dairy farming? In Proceedings of the New Zealand Grassland Association, Tauranga, New Zealand, 4–6 November 2013; Volume 75, pp. 79–84. [Google Scholar] [CrossRef]
- Stephen, R.C.; Revfeim, K.J.A. A comparison of three pasture measurement techniques. In Proceedings of the New Zealand Grassland Association, Taupo, New Zealand, 1 January 1971; Volume 33, pp. 76–82. [Google Scholar] [CrossRef]
- Dodd, M.B.; Moss, R.A.; Pinxterhuis, I.J.B. A paddock survey of on-farm plantain use. J. N. Z. Grassl. 2020, 81, 125–130. [Google Scholar] [CrossRef]
- Bryant, R.H.; Welten, B.G.; Costall, D.; Shorten, P.R.; Edwards, G.R. Milk yield and urinary-nitrogen excretion of dairy cows grazing forb pasture mixtures designed to reduce nitrogen leaching. Livest. Sci. 2018, 209, 46–53. [Google Scholar] [CrossRef]
- Bryant, R.H.; Dodd, M.B.; Moorhead, A.J.E.; Edwards, P.; Pinxterhuis, I.J.B. Establishment of plantain into existing pastures. J. N. Z. Grassl. 2020, 81, 131–138. [Google Scholar] [CrossRef]
- Rodriguez, M.J.; Kemp, P.D.; Navarrete, S.; Hanly, J.A.; Horne, D.J.; Bishop, P. Nitrogen losses from plantain: What we can say? In Proceedings of the 33rd Annual FLRC Workshop, Palmerston North, New Zealand, 11–13 February 2020; pp. 1–8. [Google Scholar]
- Powell, A.M.; Kemp, P.D.; Jaya, I.K.D.; Osborne, M.A. Establishment, growth and development of plantain and chicory under grazing. In Proceedings of the New Zealand Grassland Association, Wairakei, New Zealand, 13–15 November 2007; Volume 69, pp. 40–45. [Google Scholar] [CrossRef]
- Tiley, G.E.D.; France, J. An agronomic evaluation of forage herbs in grassland. In Proceedings of the 13th General Meeting of the European Grassland Federation. Soil-Grassland-Animal Relationships, Banská Bystrica, Czechoslovakia, 25–29 June 1990; pp. 163–166. [Google Scholar]
- Condren, S.A.; Kelly, A.K.; Lynch, M.B.; Boland, T.M.; Whelan, S.J.; Grace, C.; Rajauria, G.; Pierce, K.M. The effect of by-product inclusion and concentrate feeding rate on milk production and composition, pasture dry matter intake, and nitrogen excretion of mid-late lactation spring-calving cows grazing a perennial ryegrass-based pasture. J. Dairy Sci. 2019, 102, 1247–1256. [Google Scholar] [CrossRef] [PubMed]
- Mangwe, M.C.; Bryant, R.H.; Beck, M.R.; Beale, N.; Bunt, C.; Gregorini, P. Forage herbs as an alternative to ryegrass-white clover to alter urination patterns in grazing dairy systems. Anim. Feed Sci. Technol. 2019, 252, 11–22. [Google Scholar] [CrossRef]
- Box, L.A.; Edwards, G.R.; Bryant, R.H. Milk production and urinary nitrogen excretion of dairy cows grazing plantain in early and late lactation. N. Z. J. Agric. Res. 2017, 60, 470–482. [Google Scholar] [CrossRef]
- McCarthy, K.M.; McAloon, C.G.; Lynch, M.B.; Pierce, K.M.; Mulligan, F.J. Herb species inclusion in grazing swards for dairy cows-A systematic review and meta-analysis. J. Dairy Sci. 2020, 103, 1416–1430. [Google Scholar] [CrossRef]
- Nguyen, T.T.; Navarrete, S.; Horne, D.J.; Donaghy, D.J.; Kemp, P.D. Forage plantain (Plantago lanceolata L.): Meta-analysis quantifying the decrease in nitrogen excretion, the increase in milk production, and the changes in milk composition of dairy cows grazing pastures containing plantain. Anim. Feed Sci. Technol. 2022, 285, 115244. [Google Scholar] [CrossRef]
- O’Connell, C.A.; Judson, H.G.; Barrell, G.K. Sustained diuretic effect of plantain when ingested by sheep. In Proceedings of the New Zealand Society of Animal Production, Adelaide, Australia, 5–7 July 2016; Volume 76, pp. 14–17. [Google Scholar]
- Stamp, N.E.; Deane Bowers, M. Effects of cages, plant age and mechanical clipping on plantain chemistry. Oecologia 1994, 99, 66–71. [Google Scholar] [CrossRef]
- Gershenzon, J. Changes in the Levels of Plant Secondary Metabolites Under Water and Nutrient Stress. In Phytochemical Adaptations to Stress. Recent Advances in Phytochemistry; Timmermann, B.N., Steelink, C., Loewus, F.A., Eds.; Springer: Boston, MA, USA, 1984; Volume 18. [Google Scholar]


| Species/Cultivar | Sowing Rate (kg seed/ha) | |||
|---|---|---|---|---|
| RGWC | PLL | PLM | PLH | |
| Plantain (Agritonic) | 0 | 4 | 7 | 10 |
| White clover (Tribute) | 3 | 3 | 3 | 3 |
| Perennial ryegrass (ONE50) | 20 | 15 | 10 | 5 |
| 2019/2020 | 2020/2021 | |||||
|---|---|---|---|---|---|---|
| Season | Grazing Period | Cow × Day/Plot | Measurement | Grazing Period | Cow × Day/Plot | Measurement |
| Spring | 18–20 September | 4 × 2 | DM, BC, NV | 2–5 September | 3 × 3 | DM, BC, NV |
| 22–24 Octorber | 4 × 2 | DM, BC | 12–15 Octorber | 4 × 3 | DM, BC, NV | |
| 19–21 November | 4 × 2 | DM, BC | 16–19 November | 4 × 3 | DM, BC, NV | |
| Summer | 10–12 December | 4 × 2 | DM, BC, NV, BA | 8–10 December | 3 × 2 | DM, BC, NV, BA |
| 14–17 January | 4 × 3 | DM, BC | 11–14 January | 4 × 3 | DM, BC | |
| 11–12 February | 3 × 1.5 | DM, BC, NV, BA | 8–10 February | 3 × 2 | DM, BC, NV, BA | |
| Autumn | 17–19 March | 3 × 2 | DM, BC, NV, BA | 29–31 March | 3 × 2 | DM, BC, NV, BA |
| 12–15 May | 3 × 3 | DM | ||||
| Winter | 6–10 July | 3 × 4 | DM, BC |
| Parameter | RGWC | PLL | PLM | PLH | SEM | Ptreat | Psea | Ptreat×sea |
|---|---|---|---|---|---|---|---|---|
| Pasture production | ||||||||
| Pre-grazing mass (kg DM/ha) | 3466 | 3418 | 3255 | 3356 | 424 | 0.263 | 0.189 | 0.420 |
| Post graze mass (kg DM/ha) | 1875 a | 1761 b | 1571 c | 1661 bc | 451 | 0.006 | <0.001 | 0.056 |
| Annual DM yield (kg DM/ha) | 14,303 | 14,361 | 14,407 | 14,999 | 1981 | 0.495 | NA | NA |
| Botanical composition | ||||||||
| Plantain leaves (%) | 3.3 a | 23.8 b | 34.5 c | 37.6 c | 3.0 | <0.001 | 0.599 | 0.090 |
| Plantain stem (%) | 1.2 a | 7.9 b | 9.5 b | 10.2 b | 2.1 | <0.001 | 0.345 | <0.001 |
| Perennial ryegrass (%) | 62.7 a | 37.7 b | 27.6 c | 25.2 c | 7.4 | <0.001 | 0.024 | 0.145 |
| White clover (%) | 16.1 | 14.0 | 15.3 | 14.5 | 5.8 | 0.842 | 0.002 | 0.516 |
| Weeds (%) | 1.1 | 1.3 | 0.8 | 1.1 | 0.6 | 0.759 | 0.144 | 0.814 |
| Dead material (%) | 16.3 a | 13.7 b | 10.8 c | 10.0 c | 1.4 | <0.001 | <0.001 | 0.014 |
| Nutritive value | ||||||||
| DM (%) | 27.0 a | 22.8 b | 20.8 c | 20.5 c | 2.1 | <0.001 | <0.001 | <0.001 |
| OMD (g/kg DM) | 701 a | 713 a | 734 b | 726 ab | 14 | <0.001 | 0.027 | 0.007 |
| CP (g/kg DM) | 186 | 188 | 194 | 192 | 23 | 0.333 | 0.924 | 0.750 |
| ADF (g/kg DM) | 269 a | 265 a | 254 b | 255 b | 6.5 | 0.003 | 0.027 | 0.427 |
| NDF (g/kg DM) | 465 a | 440 b | 403 c | 405 c | 10 | <0.001 | 0.002 | 0.987 |
| Lignin (g/kg DM) | 77 | 81 | 86 | 90 | 5.9 | 0.103 | 0.018 | 0.342 |
| Ash (g/kg DM) | 109 a | 111 ab | 118 b | 115 b | 9.5 | <0.001 | 0.678 | 0.297 |
| Soluble sugars (g/kg DM) | 72 | 68 | 70 | 67 | 11 | 0.671 | 0.018 | 0.003 |
| Starch (g/kg DM) | 7.7 a | 10 ab | 11 b | 13 b | 1.7 | 0.009 | 0.673 | 0.709 |
| CF (g/kg DM) | 28 a | 27 ab | 26 bc | 25 c | 0.5 | <0.001 | <0.001 | 0.317 |
| NSC (g/kg DM) | 211 a | 232 b | 258 c | 253 c | 19 | <0.001 | 0.055 | 0.988 |
| ME (MJ/kg DM) | 10.0 | 10.2 | 10.4 | 11.1 | 0.9 | 0.683 | 0.171 | 0.894 |
| Mineral content | ||||||||
| P (g/kg DM) | 3.5 a | 3.8 b | 3.9 c | 3.9 c | 0.2 | <0.001 | <0.001 | 0.038 |
| K (g/kg DM) | 23.5 | 23.7 | 24.2 | 24.6 | 1.8 | 0.699 | <0.001 | 0.470 |
| S (g/kg DM) | 2.8 a | 3.1 b | 3.3 c | 3.3 c | 0.1 | <0.001 | 0.492 | 0.094 |
| Ca (g/kg DM) | 8.4 a | 11.9 b | 14.6 c | 14.6 c | 0.7 | <0.001 | 0.277 | 0.546 |
| Mg (g/kg DM) | 2.6 a | 2.7 ab | 2.8 b | 2.8 b | 0.1 | <0.001 | 0.001 | 0.287 |
| Na (g/kg DM) | 3.6 a | 5.0 b | 5.9 b | 5.7 b | 0.5 | <0.001 | 0.154 | 0.072 |
| Cl (g/kg DM) | 12.8 a | 15.7 b | 17.2 b | 17.0 b | 1.9 | <0.001 | 0.711 | 0.052 |
| Fe (mg/kg DM) | 242 a | 184 b | 162 b | 162 b | 39 | <0.001 | 0.032 | 0.181 |
| Mn (mg/kg DM) | 125 a | 115 ab | 109 ab | 95 b | 14 | 0.025 | 0.125 | 0.297 |
| Zn (mg/kg DM) | 36 a | 42 b | 46 c | 46 c | 2.5 | <0.001 | 0.071 | 0.553 |
| Cu (mg/kg DM) | 11 a | 13 b | 14 b | 14 b | 2.5 | <0.001 | 0.143 | 0.002 |
| B (mg/kg DM) | 12 a | 16 b | 19 c | 19 c | 2.4 | <0.001 | 0.468 | 0.676 |
| Mo (mg/kg DM) | 0.48 | 0.51 | 0.51 | 0.51 | 0.07 | 0.877 | <0.001 | 0.535 |
| Co (mg/kg DM) | 0.43 a | 0.44 a | 0.43 a | 0.59 b | 0.16 | <0.001 | 0.266 | <0.001 |
| Se (mg/kg DM) | 0.03 | 0.03 | 0.04 | 0.03 | 0.00 | 0.058 | 0.197 | 0.213 |
| Ryegrass staggers index (meq) | 1.01 | 0.80 | 0.69 | 1.10 | 0.38 | 0.804 | 0.257 | 0.912 |
| DCAD (meq/kg DM) | 228 | 204 | 191 | 195 | 41 | 0.129 | 0.209 | 0.008 |
| Bioactive compound | ||||||||
| Aucubin (g/kg DM) | 0.69 a | 3.78 b | 5.76 c | 6.58 c | 2.00 | <0.001 | 0.249 | 0.136 |
| Acteoside (g/kg DM) | 0.68 a | 4.79 b | 8.01 c | 8.89 c | 0.79 | <0.001 | 0.090 | 0.131 |
| Catalpol (g/kg DM) | 0.38 a | 0.69 b | 0.80 b | 0.80 b | 0.31 | 0.002 | 0.158 | 0.087 |
| Parameter | PLL | PLM | PLH | ||||||
|---|---|---|---|---|---|---|---|---|---|
| Mean | SE | 83.4% CI | Mean | SE | 83.4% CI | Mean | SE | 83.4% CI | |
| Peak | 46.5 | 2.8 | 42.7–50.4 | 63.0 | 2.1 | 60.1–65.9 | 64.2 | 2.7 | 60.5–67.9 |
| Day | 442 | 11 | 427–458 | 455 | 7 | 445–465 | 421 | 9 | 408–433 |
| Slope | 200 | 16 | 177–222 | 211 | 10 | 196–225 | 235 | 16 | 212–258 |
| Parameter | α | β | Season | p-Value | R2 | r.m.s.e | ||||
|---|---|---|---|---|---|---|---|---|---|---|
| Spring | Early Summer | Late Summer | Autumn | Plantain | Season | |||||
| Ryegrass (%) | 81 | −1.03 | 0 a | −18.2 b | −31.3 c | −17.1 a | <0.001 | <0.001 | 0.75 | 12.2 |
| Dead (%) | 6.9 | −0.10 | 0 a | 1.1 a | 17.2 b | 15.1 b | <0.001 | <0.001 | 0.75 | 4.2 |
| DM (%) | 21 | −0.11 | 0 a | −1.4 a | 10.7 b | 7.7 c | <0.001 | <0.001 | 0.60 | 3.9 |
| OMD (g/kg DM) | 757 | 0.73 | 0 a | −71 b | −81 b | −77 b | <0.001 | <0.001 | 0.51 | 41 |
| ADF (g/kg DM) | 255 | −0.46 | 0 a | 32 b | 22 c | 16 c | <0.001 | <0.001 | 0.42 | 19 |
| NDF (g/kg DM) | 436 | −1.61 | 0 a | 59 b | 38 c | 36 c | <0.001 | <0.001 | 0.59 | 34 |
| Ash (g/kg DM) | 108 | 0.28 | 0 | −3.0 | −3.7 | 2.6 | <0.001 | 0.100 | 0.20 | 13 |
| CF (g/kg DM) | 31 | 0.06 | 0 a | −4.9 b | −3.4 c | −3.2 c | <0.001 | <0.001 | 0.36 | 2.9 |
| NSC (g/kg DM) | 235 | 0.93 | 0 a | −49 b | −12 b | −29 b | <0.001 | <0.001 | 0.28 | 44 |
| P (g/kg DM) | 4.0 | 0.01 | 0 a | −0.02 a | −0.42 b | −1.08 c | <0.001 | <0.001 | 0.53 | 0.4 |
| S (g/kg DM) | 2.4 | 0.02 | 0 a | 0.43 b | 0.53 b | 0.38 b | <0.001 | <0.001 | 0.49 | 0.4 |
| Ca (g/kg DM) | 7.3 | 0.15 | 0 a | 1.0 a | 2.7 b | 1.3 a | <0.001 | <0.001 | 0.64 | 2.2 |
| Mg (g/kg DM) | 2.1 | 0.01 | 0 a | 0.12 b | 0.81 c | 0.98 d | <0.001 | <0.001 | 0.73 | 0.28 |
| Na (g/kg DM) | 3.0 | 0.06 | 0 a | −0.14 a | 1.67 b | 0.98 c | <0.001 | <0.001 | 0.51 | 1.3 |
| Cl (g/kg DM) | 11.2 | 0.21 | 0 a | −3.0 b | −0.80 a | 0.88 a | <0.001 | <0.001 | 0.51 | 4.3 |
| Fe (mg/kg DM) | 198 | −1.22 | 0 a | 62 b | −14 a | 54 b | <0.001 | <0.001 | 0.16 | 92 |
| Mn (mg/kg DM) | 110 | −0.45 | 0 a | 16 b | 0.4 a | 27 c | <0.001 | <0.001 | 0.22 | 26 |
| Zn (mg/kg DM) | 26 | 0.29 | 0 a | 10 b | 12 bc | 14 c | <0.001 | <0.001 | 0.61 | 6.3 |
| Cu (mg/kg DM) | 10.3 | 0.06 | 0 a | 1.9 b | 2.6 b | 1.2 b | <0.001 | <0.001 | 0.18 | 2.0 |
| B (mg/kg DM) | 11.6 | 0.18 | 0 a | 0.2 a | 4.0 b | −1.4 a | <0.001 | <0.001 | 0.37 | 3.8 |
| Aucubin (mg/g DM) | −0.68 | 0.18 | NA | 0 | 0.79 | 0.10 | <0.001 | 0.186 | 0.70 | 2.1 |
| Acteoside (mg/g DM) | 1.27 | 0.16 | NA | 0 a | 1.68 b | −1.0 a | <0.001 | 0.001 | 0.47 | 3.1 |
| Catalpol (mg/g DM) | 0.51 | 0.01 | NA | 0 a | −0.12 a | −0.47 b | <0.001 | <0.001 | 0.28 | 0.43 |
Publisher’s Note: MDPI stays neutral with regard to jurisdictional claims in published maps and institutional affiliations. |
© 2022 by the authors. Licensee MDPI, Basel, Switzerland. This article is an open access article distributed under the terms and conditions of the Creative Commons Attribution (CC BY) license (https://creativecommons.org/licenses/by/4.0/).
Share and Cite
Nguyen, T.T.; Navarrete, S.; Horne, D.J.; Donaghy, D.J.; Kemp, P.D. Incorporating Plantain with Perennial Ryegrass-White Clover in a Dairy Grazing System: Dry Matter Yield, Botanical Composition, and Nutritive Value Response to Sowing Rate, Plantain Content and Season. Agronomy 2022, 12, 2789. https://doi.org/10.3390/agronomy12112789
Nguyen TT, Navarrete S, Horne DJ, Donaghy DJ, Kemp PD. Incorporating Plantain with Perennial Ryegrass-White Clover in a Dairy Grazing System: Dry Matter Yield, Botanical Composition, and Nutritive Value Response to Sowing Rate, Plantain Content and Season. Agronomy. 2022; 12(11):2789. https://doi.org/10.3390/agronomy12112789
Chicago/Turabian StyleNguyen, Thi Truong, Soledad Navarrete, David J. Horne, Daniel J. Donaghy, and Peter D. Kemp. 2022. "Incorporating Plantain with Perennial Ryegrass-White Clover in a Dairy Grazing System: Dry Matter Yield, Botanical Composition, and Nutritive Value Response to Sowing Rate, Plantain Content and Season" Agronomy 12, no. 11: 2789. https://doi.org/10.3390/agronomy12112789
APA StyleNguyen, T. T., Navarrete, S., Horne, D. J., Donaghy, D. J., & Kemp, P. D. (2022). Incorporating Plantain with Perennial Ryegrass-White Clover in a Dairy Grazing System: Dry Matter Yield, Botanical Composition, and Nutritive Value Response to Sowing Rate, Plantain Content and Season. Agronomy, 12(11), 2789. https://doi.org/10.3390/agronomy12112789

