Validation of Propidium Monoazide-qPCR for Assessing Treatment Effectiveness against ‘Candidatus Liberibacter asiaticus’ in Citrus
Abstract
1. Introduction
2. Materials and Methods
2.1. Plant Materials
2.2. Evaluations of Primer Sets for Live CLas Detection
2.3. DNA Extraction
2.4. qPCR Evaluation
2.5. Citrus Cuttings Assays
2.6. Validiation of PMA-qPCR for Evaluation of Antimicrobials agaisnt CLas in the Field
2.7. Statistical Analysis
3. Results
3.1. Evaluation of Primer Sets
3.2. Evaluation of PMA Effect on CLas after Heat Treatment
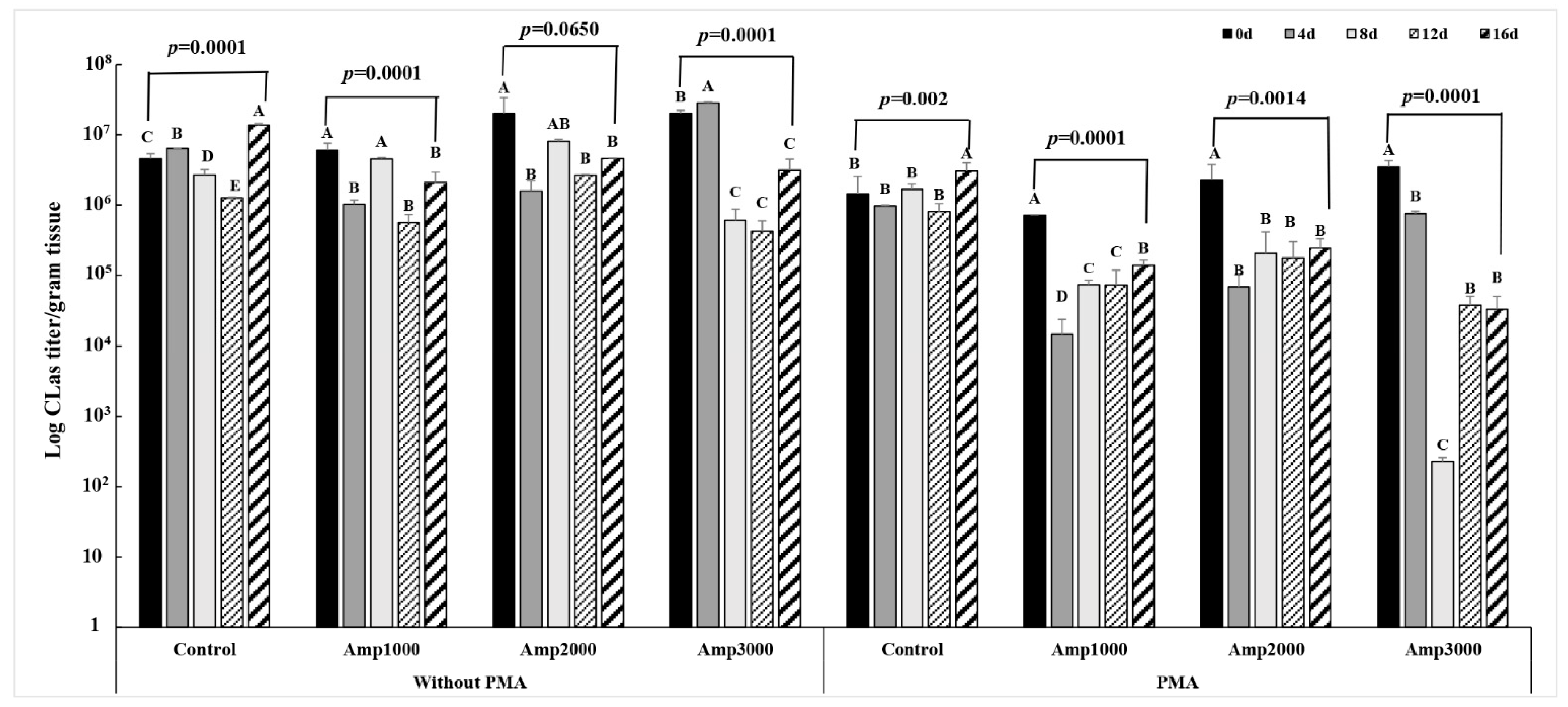
3.3. Evaluation of PMA Effect on CLas after Amp Treatment
3.4. Validation of Antibacterial Activity of Chemical Compounds against CLas via Optimized PMA-qPCR Assay
4. Discussion
Supplementary Materials
Author Contributions
Funding
Data Availability Statement
Acknowledgments
Conflicts of Interest
References
- Reinking, O.A. Diseases of economic plants in southern China. Philipp. Agric. 1919, 8, 109–134. [Google Scholar]
- Zhou, C. The status of citrus Huanglongbing in China. Trop. Plant Pathol. 2020, 45, 279–284. [Google Scholar] [CrossRef]
- Bové, J.M. Huanglongbing: A destructive, newly-emerging, century-old disease of citrus. J. Plant Pathol. 2006, 88, 7–37. [Google Scholar]
- Texeira, D.; Ayres, J.; Kitajima, E.; Danet, L.; Jagoueix-Eveillard, S.; Saillard, C.; Bové, J. First report of a huanglongbing-like disease of citrus in São Paulo State, Brazil and association of a new Liberibacter species,“Candidatus Liberibacter ameri-canus”, with the disease. Plant Dis. 2005, 89, 107. [Google Scholar] [CrossRef] [PubMed]
- da Graça, J.V.; Douhan, G.W.; Halbert, S.E.; Keremane, M.L.; Lee, R.F.; Vidalakis, G.; Zhao, H. Huanglongbing: An overview of a complex pathosystem ravaging the world’s citrus. J. Integr. Plant Biol. 2016, 58, 373–387. [Google Scholar] [CrossRef] [PubMed]
- Graham, J.; Gottwald, T.; Setamou, M. Status of huanglongbing (HLB) outbreaks in Florida, California and Texas. Trop. Plant Pathol. 2020, 45, 265–278. [Google Scholar] [CrossRef]
- Spreen, T.H.; Baldwin, J.-P. The Impact of Huanglongbing (HLB) on Citrus Tree Planting in Florida. In Proceedings of the Southern Agricultural Economics Association (SAEA) Annual Meeting, Orlando, FL, USA, 3–5 February 2013. [Google Scholar]
- Singerman, A.; Rogers, M.E. The economic challenges of dealing with citrus greening: The case of Florida. J. Integr. Pest Manag. 2020, 11, 3. [Google Scholar] [CrossRef]
- Ramadugu, C.; Keremane, M.L.; Halbert, S.E.; Duan, Y.P.; Roose, M.L.; Stover, E.; Lee, R.F. Long-term field evaluation reveals Huanglongbing resistance in Citrus relatives. Plant Dis. 2016, 100, 1858–1869. [Google Scholar] [CrossRef]
- Munir, S.; He, P.; Wu, Y.; He, P.; Khan, S.; Huang, M.; Cui, W.; He, P.; He, Y. Huanglongbing control: Perhaps the end of the beginning. Microb. Ecol. 2018, 76, 192–204. [Google Scholar] [CrossRef]
- Blaustein, R.A.; Lorca, G.L.; Teplitski, M. Challenges for managing Candidatus Liberibacter spp.(Huanglongbing disease pathogen): Current control measures and future directions. Phytopathology 2018, 108, 424–435. [Google Scholar] [CrossRef]
- Jagoueix, S.; Bove, J.-M.; Garnier, M. The phloem-limited bacterium of greening disease of citrus is a member of the α sub-division of the Proteobacteria. Int. J. Syst. Evol. Microbiol. 1994, 44, 379–386. [Google Scholar]
- Bove, J.M.; Ayres, A.J. Etiology of three recent diseases of citrus in Sao Paulo State: Sudden death, variegated chlorosis and huanglongbing. IUBMB Life 2007, 59, 346–354. [Google Scholar] [CrossRef] [PubMed]
- Lopes, S.; Frare, G.; Bertolini, E.; Cambra, M.; Fernandes, N.; Ayres, A.; Marin, D.; Bové, J. Liberibacters associated with citrus huanglongbing in Brazil: ‘Candidatus Liberibacter asiaticus’ is heat tolerant,‘Ca. L. americanus’ is heat sensitive. Plant Dis. 2009, 93, 257–262. [Google Scholar] [CrossRef] [PubMed]
- Gottwald, T.R. Current epidemiological understanding of citrus huanglongbing. Annu. Rev. Phytopathol. 2010, 48, 119–139. [Google Scholar] [CrossRef] [PubMed]
- Hoffman, M.T.; Doud, M.S.; Williams, L.; Zhang, M.-Q.; Ding, F.; Stover, E.; Hall, D.; Zhang, S.; Jones, L.; Gooch, M. Heat treatment eliminates ‘Candidatus Liberibacter asiaticus’ from infected citrus trees under controlled conditions. Phytopathology 2013, 103, 15–22. [Google Scholar] [CrossRef] [PubMed]
- Hu, J.; Jiang, J.; Wang, N. Control of citrus Huanglongbing via trunk injection of plant defense activators and antibiotics. Phytopathology 2018, 108, 186–195. [Google Scholar] [CrossRef]
- Hu, J.; Wang, N. Evaluation of the spatiotemporal dynamics of oxytetracycline and its control effect against citrus Huanglongbing via trunk injection. Phytopathology 2016, 106, 1495–1503. [Google Scholar] [CrossRef]
- Yang, C.; Powell, C.A.; Duan, Y.; Shatters, R.; Zhang, M. Antimicrobial nanoemulsion formulation with improved penetra-tion of foliar spray through citrus leaf cuticles to control citrus huanglongbing. PLoS ONE 2015, 10, e0133826. [Google Scholar]
- Yang, C.; Powell, C.A.; Duan, Y.; Shatters, R.G.; Lin, Y.; Zhang, M. Mitigating citrus huanglongbing via effective application of antimicrobial compounds and thermotherapy. Crop Prot. 2016, 84, 150–158. [Google Scholar] [CrossRef]
- Zhang, M.; Guo, Y.; Powell, C.A.; Doud, M.S.; Yang, C.; Duan, Y. Effective antibiotics against ‘Candidatus Liberibacter asiaticus’ in HLB-affected citrus plants identified via the graft-based evaluation. PLoS ONE 2014, 9, e111032. [Google Scholar] [CrossRef]
- Yang, C.; Powell, C.; Duan, Y.; Zhang, M. Characterization and antibacterial activity of oil-in-water Nano-emulsion formu-lation against Candidatus Liberibacter asiaticus. Plant Dis. 2016, 100, 2448–2454. [Google Scholar] [CrossRef] [PubMed]
- Fan, G.-C.; Xia, Y.-L.; Lin, X.-J.; Hu, H.-Q.; Wang, X.-D.; Ruan, C.-Q.; Lu, L.-M.; Bo, L. Evaluation of thermotherapy against Huanglongbing (citrus greening) in the greenhouse. J. Integr. Agric. 2016, 15, 111–119. [Google Scholar] [CrossRef]
- Gottwald, T.; Poole, G.; McCollum, T.; Hall, D.; Hartung, J.; Bai, J.; Luo, W.; Posny, D.; Duan, Y.-P.; Taylor, E. Canine ol-factory detection of a vectored phytobacterial pathogen, Liberibacter asiaticus, and integration with disease control. Proc. Natl. Acad. Sci. USA 2020, 117, 3492–3501. [Google Scholar] [CrossRef] [PubMed]
- Braswell, W.E.; Park, J.-W.; Stansly, P.A.; Kostyk, B.C.; Louzada, E.S.; da Graça, J.V.; Kunta, M. Root samples provide early and improved detection of Candidatus Liberibacter asiaticus in Citrus. Sci. Rep. 2020, 10, 16982. [Google Scholar] [CrossRef] [PubMed]
- Pandey, S.S.; Wang, N. Targeted early detection of citrus Huanglongbing causal agent ‘Candidatus Liberibacter asiaticus’ before symptom expression. Phytopathology 2019, 109, 952–959. [Google Scholar] [CrossRef] [PubMed]
- Ammar, E.-D.; Walter, A.J.; Hall, D.G. New excised-leaf assay method to test inoculativity of Asian citrus psyllid (Hemiptera: Psyllidae) with Candidatus Liberibacter asiaticus associated with citrus huanglongbing disease. J. Econ. Entomol. 2013, 106, 25–35. [Google Scholar] [CrossRef]
- Etxeberria, E.; Gonzalez, P.; Vincent, C.; Schumann, A. Extended persistence of Candidatus Liberibacter asiaticus (CLas) DNA in Huanglongbing-affected citrus tissue after bacterial death. Physiol. Mol. Plant Pathol. 2019, 106, 204–207. [Google Scholar] [CrossRef]
- Zhang, M.; Duan, Y.; Zhou, L.; Turechek, W.W.; Stover, E.; Powell, C.A. Screening molecules for control of citrus huanglongbing using an optimized regeneration system for ‘Candidatus Liberibacter asiaticus’-infected periwinkle (Catharanthus roseus) cuttings. Phytopathology 2010, 100, 239–245. [Google Scholar] [CrossRef]
- Zhang, M.; Powell, C.A.; Guo, Y.; Doud, M.S.; Duan, Y. A graft-based chemotherapy method for screening effective mole-cules and rescuing huanglongbing-affected citrus plants. Phytopathology 2012, 102, 567–574. [Google Scholar] [CrossRef][Green Version]
- Yang, C.; Zhong, Y.; Powell, C.A.; Doud, M.S.; Duan, Y.; Huang, Y.; Zhang, M. Antimicrobial compounds effective against Candidatus Liberibacter asiaticus discovered via graft-based assay in citrus. Sci. Rep. 2018, 8, 17288. [Google Scholar] [CrossRef]
- Keer, J.; Birch, L. Molecular methods for the assessment of bacterial viability. J. Microbiol. Methods 2003, 53, 175–183. [Google Scholar] [CrossRef]
- Van der Vliet, G.; Schepers, P.; Schukkink, R.; Van Gemen, B.; Klatser, P.R. Assessment of mycobacterial viability by RNA amplification. Antimicrob. Agents Chemother. 1994, 38, 1959–1965. [Google Scholar] [CrossRef] [PubMed]
- Thapa, N.; Danyluk, M.D.; Gerberich, K.M.; Johnson, E.G.; Dewdney, M.M. Assessment of the effect of thermotherapy on ‘Candidatus Liberibacter asiaticus’ viability in woody tissue of citrus via graft-based assays and RNA assays. Phytopathology 2021, 111, 808–818. [Google Scholar] [CrossRef] [PubMed]
- Xiao, L.; Zhang, L.; Wang, H.H. Critical issues in detecting viable Listeria monocytogenes cells by real-time reverse transcriptase PCR. J. Food Prot. 2012, 75, 512–517. [Google Scholar] [CrossRef] [PubMed]
- Trivedi, P.; Sagaram, U.S.; Kim, J.-S.; Brlansky, R.H.; Rogers, M.E.; Stelinski, L.L.; Oswalt, C.; Wang, N. Quantification of viable Candidatus Liberibacter asiaticus in hosts using quantitative PCR with the aid of ethidium monoazide (EMA). Eur. J. Plant Pathol. 2009, 124, 553–563. [Google Scholar] [CrossRef]
- Kobayashi, H.; Oethinger, M.; Tuohy, M.; Hall, G.; Bauer, T. Unsuitable distinction between viable and dead Staphylococcus aureus and Staphylococcus epidermidis by ethidium bromide monoazide. Lett. Appl. Microbiol. 2009, 48, 633–638. [Google Scholar] [CrossRef]
- Cawthorn, D.M.; Witthuhn, R. Selective PCR detection of viable Enterobacter sakazakii cells utilizing propidium monoazide or ethidium bromide monoazide. J. Appl. Microbiol. 2008, 105, 1178–1185. [Google Scholar] [CrossRef]
- Nocker, A.; Cheung, C.-Y.; Camper, A.K. Comparison of propidium monoazide with ethidium monoazide for differentiation of live vs. dead bacteria by selective removal of DNA Dead Cells. J. Microbiol. Methods 2006, 67, 310–320. [Google Scholar]
- Hu, H.; Davis, M.; Brlansky, R. Quantification of live ‘Candidatus Liberibacter asiaticus’ populations using real-time PCR and propidium monoazide. Plant Dis. 2013, 97, 1158–1167. [Google Scholar] [CrossRef]
- Hu, H.; Roy, A.; Brlansky, R. Live population dynamics of ‘Candidatus Liberibacter asiaticus’, the bacterial agent associated with citrus huanglongbing, in citrus and non-citrus hosts. Plant Dis. 2014, 98, 876–884. [Google Scholar] [CrossRef]
- Krystel, J.; Shi, Q.; Shaw, J.; Gupta, G.; Hall, D.; Stover, E. An in vitro protocol for rapidly assessing the effects of antimicrobial compounds on the unculturable bacterial plant pathogen, Candidatus Liberibacter asiaticus. Plant Methods 2019, 15, 1–11. [Google Scholar] [CrossRef] [PubMed]
- Li, W.; Hartung, J.S.; Levy, L. Quantitative real-time PCR for detection and identification of Candidatus Liberibacter species associated with citrus huanglongbing. J. Microbiol. Methods 2006, 66, 104–115. [Google Scholar] [CrossRef] [PubMed]
- Zheng, Z.; Xu, M.; Bao, M.; Wu, F.; Chen, J.; Deng, X. Unusual five copies and dual forms of nrdB in “Candidatus Liberi-bacter asiaticus”: Biological implications and PCR detection application. Sci. Rep. 2016, 6, 39020. [Google Scholar] [CrossRef] [PubMed]
- Morgan, J.K.; Zhou, L.; Li, W.; Shatters, R.G.; Keremane, M.; Duan, Y.-P. Improved real-time PCR detection of ‘Candidatus Liberibacter asiaticus’ from citrus and psyllid hosts by targeting the intragenic tandem-repeats of its prophage genes. Mol. Cell. Probes 2012, 26, 90–98. [Google Scholar] [CrossRef]
- Li, W.; Li, D.; Twieg, E.; Hartung, J.S.; Levy, L. Optimized quantification of unculturable Candidatus Liberibacter spp. in host plants using real-time PCR. Plant Dis. 2008, 92, 854–861. [Google Scholar] [CrossRef]
- Emerson, J.B.; Adams, R.I.; Román, C.M.B.; Brooks, B.; Coil, D.A.; Dahlhausen, K.; Ganz, H.H.; Hartmann, E.M.; Hsu, T.; Justice, N.B. Schrödinger’s microbes: Tools for distinguishing the living from the dead in microbial ecosystems. Microbiome 2017, 5, 1–23. [Google Scholar] [CrossRef]
- Cebrián, G.; Condón, S.; Mañas, P. Physiology of the inactivation of vegetative bacteria by thermal treatments: Mode of action, influence of environmental factors and inactivation kinetics. Foods 2017, 6, 107. [Google Scholar] [CrossRef]
- Spratt, B.G.; Cromie, K.D. Penicillin-binding proteins of gram-negative bacteria. Clin. Infect. Dis. 1988, 10, 699–711. [Google Scholar] [CrossRef]
- Louzada, E.; Vazquez, O.; Chavez, S.; Sétamou, M.; Kunta, M. Optimization of vqPCR for Reliable Detection of Viable Candidatus Liberibacter asiaticus in Citrus. HortScience 2022, 57, 692–697. [Google Scholar] [CrossRef]
- Ding, F.; Allen, V.; Luo, W.; Zhang, S.; Duan, Y. Molecular mechanisms underlying heat or tetracycline treatments for citrus HLB control. Hortic. Res. 2018, 5, 1–11. [Google Scholar] [CrossRef]
- Huang, S.; Wang, K.; Jiao, N.; Chen, F. Genome sequences of siphoviruses infecting marine Synechococcus unveil a diverse cyanophage group and extensive phage-host genetic exchanges. Environ. Microbiol. 2012, 14, 540–558. [Google Scholar] [CrossRef] [PubMed]
- Lohr, J.E.; Chen, F.; Hill, R.T. Genomic analysis of bacteriophage ΦJL001: Insights into its interaction with a sponge-associated alpha-proteobacterium. Appl. Environ. Microbiol. 2005, 71, 1598–1609. [Google Scholar] [CrossRef] [PubMed]
- Puttamuk, T.; Zhang, S.; Duan, Y.; Jantasorn, A.; Thaveechai, N. Effect of chemical treatments on ‘Candidatus Liberibacter asiaticus’ infected pomelo (Citrus maxima). Crop Prot. 2014, 65, 114–121. [Google Scholar] [CrossRef]
- Shin, K.; Ascunce, M.S.; Narouei-Khandan, H.A.; Sun, X.; Jones, D.; Kolawole, O.O.; Goss, E.M.; van Bruggen, A.H. Effects and side effects of penicillin injection in huanglongbing affected grapefruit trees. Crop Prot. 2016, 90, 106–116. [Google Scholar] [CrossRef]
- McVay, J.; Sun, X.; Jones, D.; Urbina, H.; Aldeek, F.; Cook, J.M.; Jeyaprakash, A.; Hodges, G.; Smith, T. Limited persistence of residues and metabolites in fruit and juice following penicillin trunk infusion in citrus affected by Huanglongbing. Crop Prot. 2019, 125, 104753. [Google Scholar] [CrossRef]
- Zhang, M.; Powell, C.A.; Zhou, L.; He, Z.; Stover, E.; Duan, Y. Chemical compounds effective against the citrus Huanglongbing bacterium ‘Candidatus Liberibacter asiaticus’ in planta. Phytopathology 2011, 101, 1097–1103. [Google Scholar] [CrossRef]
- Li, J.; Pang, Z.; Duan, S.; Lee, D.; Kolbasov, V.G.; Wang, N. The in planta effective concentration of oxytetracycline against ‘Candidatus Liberibacter asiaticus’ for suppression of citrus huanglongbing. Phytopathology 2019, 109, 2046–2054. [Google Scholar] [CrossRef]
- Li, J.; Kolbasov, V.G.; Lee, D.; Pang, Z.; Huang, Y.; Collins, N.; Wang, N. Residue dynamics of streptomycin in citrus delivered by foliar spray and trunk injection and effect on ‘Candidatus Liberibacter asiaticus’ titer. Phytopathology 2021, 111, 1095–1103. [Google Scholar] [CrossRef]





| Primer Sets | Type | Sequence (5′-3′) | Source |
|---|---|---|---|
| HLBas/HLBr | HLBas | TCGAGCGCGTATGCAATACG | [43] |
| HLBr | GCGTTATCCCGTAGAAAAAGGTAG | ||
| HLBp | FAM-AGACGGGTGAGTAACGCG-BHQ | ||
| RNRf/RNRr | RNRf | CATGCTCCATGAAGCTACCC | [44] |
| RNRr | GGAGCATTTAACCCCACGAA | ||
| RNRp | FAM-CCTCGAAATCGCCTATGCAC-BHQ | ||
| LJ900f/LJ900r | LJ900f | GCCGTTTTAACACAAAAGATGAATATC | [45] |
| LJ900r | ATAAATCAATTTGTTCTAGTTTACGAC | ||
| LJ900p | FAM-ACATCTTTCGTTTGAGTAGCTAG-BHQ |
Publisher’s Note: MDPI stays neutral with regard to jurisdictional claims in published maps and institutional affiliations. |
© 2022 by the authors. Licensee MDPI, Basel, Switzerland. This article is an open access article distributed under the terms and conditions of the Creative Commons Attribution (CC BY) license (https://creativecommons.org/licenses/by/4.0/).
Share and Cite
Yang, C.; Ancona, V. Validation of Propidium Monoazide-qPCR for Assessing Treatment Effectiveness against ‘Candidatus Liberibacter asiaticus’ in Citrus. Agronomy 2022, 12, 2783. https://doi.org/10.3390/agronomy12112783
Yang C, Ancona V. Validation of Propidium Monoazide-qPCR for Assessing Treatment Effectiveness against ‘Candidatus Liberibacter asiaticus’ in Citrus. Agronomy. 2022; 12(11):2783. https://doi.org/10.3390/agronomy12112783
Chicago/Turabian StyleYang, Chuanyu, and Veronica Ancona. 2022. "Validation of Propidium Monoazide-qPCR for Assessing Treatment Effectiveness against ‘Candidatus Liberibacter asiaticus’ in Citrus" Agronomy 12, no. 11: 2783. https://doi.org/10.3390/agronomy12112783
APA StyleYang, C., & Ancona, V. (2022). Validation of Propidium Monoazide-qPCR for Assessing Treatment Effectiveness against ‘Candidatus Liberibacter asiaticus’ in Citrus. Agronomy, 12(11), 2783. https://doi.org/10.3390/agronomy12112783

