Combining Proximal and Remote Sensors in Spatial Prediction of Five Micronutrients and Soil Texture in a Case Study at Farmland Scale in Southeastern Brazil
Abstract
1. Introduction
2. Materials and Methods
2.1. Study Area
2.2. Soil Sampling and Laboratory Analyses
2.3. Terrain Attributes
2.4. Modeling and Validation of the Predictions
3. Results and Discussion
3.1. Characterization of Soil Attributes
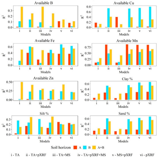
3.2. Prediction Model Performance for Available Micronutrients and Texture
3.3. Variable Importance
3.4. Spatial Prediction of Soil Properties
4. Conclusions
Author Contributions
Funding
Data Availability Statement
Conflicts of Interest
References
- Fageria, N.K.; Stone, L.F. Micronutrient Deficiency Problems in South America. In Micronutrient Deficiencies in Global Crop Production; Springer: Dordrecht, The Netherlands, 2008; pp. 245–266. [Google Scholar]
- Lopes, A.S.; Guilherme, L.R.G. A Career Perspective on Soil Management in the Cerrado Region of Brazil. In Advances in Agronomy; Elsevier: Amsterdam, The Netherlands, 2016; Volume 137, pp. 1–72. ISBN 9780128046920. [Google Scholar]
- da Silva, R.d.C.F.; da Silva, F.B.V.; Biondi, C.M.; do Nascimento, C.W.A.; de Oliveira, E.C.A. Assessing the Content of Micronutrients in Soils and Sugarcane in Different Pedogeological Contexts of Northeastern Brazil. Rev. Bras. Ciência Solo 2019, 43, e0180228. [Google Scholar] [CrossRef]
- Resende, M.; Curi, N.; Rezende, S.B.; Corrêa, G.F.; Ker, J.C. Pedologia: Base Para Distinção de Ambientes, 6th ed.; Editora UFLA: Lavras, Brazil, 2014. [Google Scholar]
- Huuskonen, J.; Oksanen, T. Soil Sampling with Drones and Augmented Reality in Precision Agriculture. Comput. Electron. Agric. 2018, 154, 25–35. [Google Scholar] [CrossRef]
- Adams, M.L.; Cook, S.; Bowden, J.W. Using Yield Maps and Intensive Soil Sampling to Improve Nitrogen Fertiliser Recommendations from a Deterministic Model in the Western Australian Wheatbelt. Aust. J. Exp. Agric. 2000, 40, 959–968. [Google Scholar] [CrossRef]
- Takele, C.; Iticha, B. Use of Infrared Spectroscopy and Geospatial Techniques for Measurement and Spatial Prediction of Soil Properties. Heliyon 2020, 6, e05269. [Google Scholar] [CrossRef]
- Mulla, D.J. Twenty Five Years of Remote Sensing in Precision Agriculture: Key Advances and Remaining Knowledge Gaps. Biosyst. Eng. 2013, 114, 358–371. [Google Scholar] [CrossRef]
- Duda, B.M.; Weindorf, D.C.; Chakraborty, S.; Li, B.; Man, T.; Paulette, L.; Deb, S. Soil Characterization across Catenas via Advanced Proximal Sensors. Geoderma 2017, 298, 78–91. [Google Scholar] [CrossRef]
- Pelegrino, M.H.P.; Weindorf, D.C.; Silva, S.H.G.; de Menezes, M.D.; Poggere, G.C.; Guilherme, L.R.G.; Curi, N. Synthesis of Proximal Sensing, Terrain Analysis, and Parent Material Information for Available Micronutrient Prediction in Tropical Soils. Precis. Agric. 2019, 20, 746–766. [Google Scholar] [CrossRef]
- Ribeiro, B.T.; Silva, S.H.G.; Silva, E.A.; Guilherme, L.R.G. Portable X-Ray Fluorescence (PXRF) Applications in Tropical Soil Science. Ciência Agrotecnologia 2017, 41, 245–254. [Google Scholar] [CrossRef]
- Weindorf, D.C.; Bakr, N.; Zhu, Y. Advances in Portable X-Ray Fluorescence (PXRF) for Environmental, Pedological, and Agronomic Applications. Adv. Agron. 2014, 128, 1–45. [Google Scholar] [CrossRef]
- Benedet, L.; Acuña-Guzman, S.F.; Faria, W.M.; Silva, S.H.G.; Mancini, M.; Teixeira, A.F.D.S.; Pierangeli, L.M.P.; Acerbi Júnior, F.W.; Gomide, L.R.; Pádua Júnior, A.L.; et al. Rapid Soil Fertility Prediction Using X-Ray Fluorescence Data and Machine Learning Algorithms. Catena 2021, 197, 105003. [Google Scholar] [CrossRef]
- Dijair, T.S.B.; Silva, F.M.; Teixeira, A.F.d.S.; Silva, S.H.G.; Guilherme, L.R.G.; Curi, N. Correcting Field Determination of Elemental Contents in Soils via Portable X-Ray Fluorescence Spectrometry. Ciência Agrotecnologia 2020, 44, e002420. [Google Scholar] [CrossRef]
- Silva, S.H.G.; Poggere, G.C.; Menezes, M.D.; Carvalho, G.S.; Guilherme, L.R.G.; Curi, N. Proximal Sensing and Digital Terrain Models Applied to Digital Soil Mapping and Modeling of Brazilian Latosols (Oxisols). Remote Sens. 2016, 8, 614. [Google Scholar] [CrossRef]
- Tavares, T.R.; Molin, J.P.; Nunes, L.C.; Alves, E.E.N.; Melquiades, F.L.; Carvalho, H.W.P.; Mouazen, A.M. Effect of X-Ray Tube Configuration on Measurement of Key Soil Fertility Attributes with XRF. Remote Sens. 2020, 12, 963. [Google Scholar] [CrossRef]
- Teixeira, A.F.d.S.; Silva, S.H.G.; Soares de Carvalho, T.; Silva, A.O.; Azarias Guimarães, A.; de Souza Moreira, F.M. Soil Physicochemical Properties and Terrain Information Predict Soil Enzymes Activity in Phytophysiognomies of the Quadrilátero Ferrífero Region in Brazil. Catena 2021, 199, 105083. [Google Scholar] [CrossRef]
- Vasques, G.M.; Rodrigues, H.M.; Coelho, M.R.; Baca, J.F.M.; Dart, R.O.; Oliveira, R.P.; Teixeira, W.G.; Ceddia, M.B. Field Proximal Soil Sensor Fusion for Improving High-Resolution Soil Property Maps. Soil Syst. 2020, 4, 52. [Google Scholar] [CrossRef]
- Curi, N.; Silva, S.H.G.; Poggere, G.C.; de Menezes, M.D. Mapeamento de Solos e Magnestismo No Campus Da UFLA Como Traçadores Ambientais, 1st ed.; Editora UFLA: Lavras, Brazil, 2017; Volume 1. [Google Scholar]
- Cervi, E.C.; da Costa, A.C.S.; de Souza Junior, I.G. Magnetic Susceptibility and the Spatial Variability of Heavy Metals in Soils Developed on Basalt. J. Appl. Geophys. 2014, 111, 377–383. [Google Scholar] [CrossRef]
- Mancini, M.; Weindorf, D.C.; Silva, S.H.G.; Chakraborty, S.; Teixeira, A.F.d.S.; Guilherme, L.R.G.; Curi, N. Parent Material Distribution Mapping from Tropical Soils Data via Machine Learning and Portable X-Ray Fluorescence (PXRF) Spectrometry in Brazil. Geoderma 2019, 354, 113885. [Google Scholar] [CrossRef]
- Camargo, L.A.; Marques Júnior, J.; Pereira, G.T.; Bahia, A.S.R.D.S. Clay Mineralogy and Magnetic Susceptibility of Oxisols in Geomorphic Surfaces. Sci. Agric. 2014, 71, 244–256. [Google Scholar] [CrossRef]
- Andrade, R.; Silva, S.H.G.; Faria, W.M.; Poggere, G.C.; Barbosa, J.Z.; Guilherme, L.R.G.; Curi, N. Proximal Sensing Applied to Soil Texture Prediction and Mapping in Brazil. Geoderma Reg. 2020, 23, e00321. [Google Scholar] [CrossRef]
- Jenny, H. Factors of Soil Formation: A System of Quantitative Pedology; McGraw-Hill Book Co., Inc.: New York, NY, USA, 1941; ISBN 0486681289. [Google Scholar]
- McBratney, A.B.; Mendonça, L.; Minasny, B. On Digital Soil Mapping; Elsevier: Amsterdam, The Netherlands, 2003; Volume 117, ISBN 0016-7061. [Google Scholar]
- Moore, I.D.; Gessler, P.E.; Nielsen, G.A.; Peterson, G.A. Soil Attribute Prediction Using Terrain Analysis. Soil Sci. Soc. Am. J. 1993, 57, 443–452. [Google Scholar] [CrossRef]
- Grunwald, S. Multi-Criteria Characterization of Recent Digital Soil Mapping and Modeling Approaches. Geoderma 2009, 152, 195–207. [Google Scholar] [CrossRef]
- Adhikari, K.; Minasny, B.; Greve, M.B.; Greve, M.H. Constructing a Soil Class Map of Denmark Based on the FAO Legend Using Digital Techniques. Geoderma 2014, 214–215, 101–113. [Google Scholar] [CrossRef]
- Fernandes, D.; Machado, T.; De Menezes, M.D.; Henrique, S.; Silva, G. Transferability, Accuracy, and Uncertainty Assessment of Different Knowledge-Based Approaches for Soil Types Mapping. Catena 2019, 182, 104134. [Google Scholar] [CrossRef]
- Mbaga-Semgalawe, Z.; Folmer, H. Household Adoption Behaviour of Improved Soil Conservation: The Case of the North Pare and West Usambara Mountains of Tanzania. Land Use Policy 2000, 17, 321–336. [Google Scholar] [CrossRef]
- Nawar, S.; Corstanje, R.; Halcro, G.; Mulla, D.; Mouazen, A.M. Delineation of Soil Management Zones for Variable-Rate Fertilization. Adv. Agron. 2017, 143, 175–245. [Google Scholar] [CrossRef]
- Breiman, L. Random Forests. Mach. Learn. 2001, 45, 5–32. [Google Scholar] [CrossRef]
- Chagas, C.d.S.; de Carvalho Junior, W.; Bhering, S.B.; Calderano Filho, B. Spatial Prediction of Soil Surface Texture in a Semiarid Region Using Random Forest and Multiple Linear Regressions. Catena 2016, 139, 232–240. [Google Scholar] [CrossRef]
- Chakraborty, S.; Li, B.; Weindorf, D.C.; Deb, S.; Acree, A.; De, P.; Panda, P. Use of Portable X-Ray Fluorescence Spectrometry for Classifying Soils from Different Land Use Land Cover Systems in India. Geoderma 2019, 338, 5–13. [Google Scholar] [CrossRef]
- Rawal, A.; Chakraborty, S.; Li, B.; Lewis, K.; Godoy, M.; Paulette, L.; Weindorf, D.C. Determination of Base Saturation Percentage in Agricultural Soils via Portable X-Ray Fluorescence Spectrometer. Geoderma 2019, 338, 375–382. [Google Scholar] [CrossRef]
- Quéméneur, J.J.G.A.; Ribeiro, R.A.J.; Trow, F.V.P.; Paciullo; Paciullo Helibron, M. Geologia Da Folha Lavras. In Projeto Sul de Minas; COMIG, UFMG, UFRJ/UERJ: Belo Horizonte, Brazil, 2002; pp. 259–319. [Google Scholar]
- Dantas, A.A.A.; De Carvalho, L.G.; Ferreira, E. Climatic Classification and Tendencies in Lavras Region, MG. Ciência Agrotecnologia 2007, 31, 1862–1866. [Google Scholar] [CrossRef]
- Mehlich, A. Determination of P, Ca, Mg, K, Na and NH4; North Carolina Soil Testing Division: Raleigh, NC, USA, 1953; p. 195. [Google Scholar]
- Jackson, M.L. Soil Chemical Analysis; Prentice Hall, Inc.: Englewood Cliffs, NJ, USA, 1958; Volume 498. [Google Scholar]
- Berger, K.C.; Truog, E. Boron Determination in Soils and Plants. Ind. Eng. Chem. Anal. Ed. 1939, 11, 540–545. [Google Scholar] [CrossRef]
- Wolf, B. The Determination of Boron in Soil Extracts, Plant Materials, Composts, Manures, Water and Nutrient Solutions. Commun. Soil Sci. Plant Anal. 1971, 2, 363–374. [Google Scholar] [CrossRef]
- Gee, G.W.; Bauder, J.W. Particle-Size Analysis. In Methods of Soil Analysis: Part 1—Physical and Mineralogical Methods; Soil Science Society of America, American Society of Agronomy: Madison, WI, USA, 1986; Volume 5, pp. 383–411. ISBN 978-0-89118-864-3. [Google Scholar]
- Dearing, J. Environmental Magnetic Susceptibility Using the Bartington MS2 System, 2nd ed.; Chi Publishing: Keniloworth, UK, 1999; ISBN 0952340909. [Google Scholar]
- Weindorf, D.C.; Chakraborty, S. Portable X-ray Fluorescence Spectrometry Analysis of Soils. Soil Sci. Soc. Am. J. 2020, 84, 1384–1392. [Google Scholar] [CrossRef]
- Conrad, O.; Bechtel, B.; Bock, M.; Dietrich, H.; Fischer, E.; Gerlitz, L.; Wehberg, J.; Wichmann, V.; Böhner, J. System for Automated Geoscientific Analyses (SAGA) v. 2.1.4. Geosci. Model Dev. 2015, 8, 1991–2007. [Google Scholar] [CrossRef]
- Adhikari, K.; Kheir, R.B.; Greve, M.B.; Bøcher, P.K.; Malone, B.P.; Minasny, B.; McBratney, A.B.; Greve, M.H. High-Resolution 3-D Mapping of Soil Texture in Denmark. Soil Sci. Soc. Am. J. 2013, 77, 860–876. [Google Scholar] [CrossRef]
- Silva, S.H.G.; De Menezes, M.D.; Owens, P.R.; Curi, N. Retrieving Pedologist’s Mental Model from Existing Soil Map and Comparing Data Mining Tools for Refining a Larger Area Map under Similar Environmental Conditions in Southeastern Brazil. Geoderma 2016, 267, 65–77. [Google Scholar] [CrossRef]
- Teixeira, A.F.S.; Silva, J.S.; Vilela, L.A.F.; Costa, P.F.; Costa, E.M.D.; Guimarães, A.A.; Santos, J.V.D.; Silva, S.H.G.; Carneiro, M.A.C.; Moreira, F.M.S. Microbiological Indicators of Soil Quality Under Native Forests Are Influenced by Topographic Factors. An. Acad. Bras. Cienc. 2019, 91, e20180696. [Google Scholar] [CrossRef]
- Arrouays, D.; Grundy, M.G.; Hartemink, A.E.; Hempel, J.W.; Heuvelink, G.B.M.; Hong, S.Y.; Lagacherie, P.; Lelyk, G.; McBratney, A.B.; McKenzie, N.J.; et al. GlobalSoilMap: Toward a Fine-Resolution Global Grid of Soil Properties. In Advances in Agronomy; Elsevier: Amsterdam, The Netherlands, 2014; Volume 125, pp. 93–134. ISBN 9780128001370. [Google Scholar]
- Hengl, T.; Leenaars, J.G.B.; Shepherd, K.D.; Walsh, M.G.; Heuvelink, G.B.M.; Mamo, T.; Tilahun, H.; Berkhout, E.; Cooper, M.; Fegraus, E.; et al. Soil Nutrient Maps of Sub-Saharan Africa: Assessment of Soil Nutrient Content at 250 m Spatial Resolution Using Machine Learning. Nutr. Cycl. Agroecosyst. 2017, 109, 77–102. [Google Scholar] [CrossRef]
- Teixeira, A.F.d.S.; Weindorf, D.C.; Silva, S.H.G.; Guilherme, L.R.G.; Curi, N. Portable X-Ray Fluorescence (PXRF) Spectrometry Applied to the Prediction of Chemical Attributes in Inceptisols under Different Land Uses. Ciência Agrotecnologia 2018, 42, 501–512. [Google Scholar] [CrossRef]
- R Core Team. R: A Language and Environment for Statistical Computing; R Foundation for Statistical Computing: Vienna, Austria, 2019. [Google Scholar]
- Kuhn, M. Building Predictive Models in R Using the Caret Package. J. Stat. Softw. 2008, 28, 1–26. [Google Scholar] [CrossRef]
- Liaw, A.; Wiener, M. Classification and Regression by RandomForest. R News 2002, 2, 18–22. [Google Scholar] [CrossRef]
- Lee, S.; Wolberg, G.; Shin, S.Y. Scattered Data Interpolation with Multilevel B-Splines. IEEE Trans. Vis. Comput. Graph. 1997, 3, 228–244. [Google Scholar] [CrossRef]
- Silva, S.H.G.; Weindorf, D.C.; Pinto, L.C.; Faria, W.M.; Acerbi Junior, F.W.; Gomide, L.R.; de Mello, J.M.; de Pádua Junior, A.L.; de Souza, I.A.; dos Santos Teixeira, A.F.; et al. Soil Texture Prediction in Tropical Soils: A Portable X-Ray Fluorescence Spectrometry Approach. Geoderma 2020, 362, 114136. [Google Scholar] [CrossRef]
- Curi, N.; Silva, E.; Gomes, F.H.; Menezes, M.D.; Silva, S.H.G.; Teixeira, A.F.d.S. Mapeamento de Solos, Aptidão Agrícola e Taxa de Adequação Do Uso Das Terras Do Município de Lavras (MG), 1st ed.; Editora UFLA: Lavras, Brazil, 2020; ISBN 9786586561050. [Google Scholar]
- Curi, N.; Lima, J.M.; Andrade, H.; Gualberto, V. Geomorfologia, Física, Química e Mineralogia Dos Principais Solos Da Região de Lavras (MG). Ciência Prática 1990, 14, 297–307. [Google Scholar]
- Marques Júnior, J.; Curi, N.; Lima, J.M. Evolução Diferenciada de Latossolo Vermelho-Amarelo e Latossolo Vermelho-Escuro Em Função Da Litologia Gnáissica Na Região de Lavras-MG. Rev. Bras. Ciência Solo 1992, 26, 235–240. [Google Scholar]
- Resende, M.; Curi, N.; de Rezende, S.B.; Silva, S.H.G. Da Rocha Ao Solo: Enfoque Ambiental, 1st ed.; Editora UFLA: Lavras, Brazil, 2019. [Google Scholar]
- Soil Survey Staff. Keys to Soil Taxonomy, 12th ed.; USDA: Washington, DC, USA, 2014. [Google Scholar]
- Alvarez V, V.H.; Novais, R.F.; Barros, N.F.; Cantarutti, R.B.; Lopes, A.S. Interpretação Dos Resultados Das Análises de Solos. In Recomendações Para o Uso de Corretivos e Fertilizantes em Minas Gerais: 5a Aproximação; Comissão de Fertilidade do Solo do Estado de Minas Gerais – CFSEMG: Viçosa, Brazil, 1999; pp. 25–32. [Google Scholar]
- Shukla, A.K.; Behera, S.K.; Lenka, N.K.; Tiwari, P.K.; Prakash, C.; Malik, R.S.; Sinha, N.K.; Singh, V.K.; Patra, A.K.; Chaudhary, S.K. Spatial Variability of Soil Micronutrients in the Intensively Cultivated Trans-Gangetic Plains of India. Soil Tillage Res. 2016, 163, 282–289. [Google Scholar] [CrossRef]
- Zhu, H.; Zhao, Y.; Nan, F.; Duan, Y.; Bi, R. Relative Influence of Soil Chemistry and Topography on Soil Available Micronutrients by Structural Equation Modeling. J. Soil Sci. Plant Nutr. 2016, 16, 1038–1051. [Google Scholar] [CrossRef]
- Zhu, H.; Hu, W.; Bi, R.; Peak, D.; Si, B. Scale- and Location-Specific Relationships between Soil Available Micronutrients and Environmental Factors in the Fen River Basin on the Chinese Loess Plateau. Catena 2016, 147, 764–772. [Google Scholar] [CrossRef]
- de Lima, T.M.; Weindorf, D.C.; Curi, N.; Guilherme, L.R.G.; Lana, R.M.Q.; Ribeiro, B.T. Elemental Analysis of Cerrado Agricultural Soils via Portable X-Ray Fluorescence Spectrometry: Inferences for Soil Fertility Assessment. Geoderma 2019, 353, 264–272. [Google Scholar] [CrossRef]
- Teixeira, A.F.d.S.; Henrique Procópio Pelegrino, M.; Missina Faria, W.; Henrique Godinho Silva, S.; Gabriela Marcolino Gonçalves, M.; Weimar Acerbi Júnior, F.; Rezende Gomide, L.; Linares Pádua Júnior, A.; de Souza, I.A.; Chakraborty, S.; et al. Tropical Soil PH and Sorption Complex Prediction via Portable X-Ray Fluorescence Spectrometry. Geoderma 2020, 361, 114132. [Google Scholar] [CrossRef]
- Kämpf, N.; Marques, J.J.; Curi, N. Mineralogia de Solos Brasileiros. In Pedologia Fundamentos; SBCS: Viçosa, Brazil, 2012; p. 343. [Google Scholar]
- Resende, M.; Curi, N.; Ker, J.C.; de Rezende, S.B. Mineralogia de Solos Brasileiros: Interpretação e Aplicações, 2nd ed.; Editora UFLA: Lavras, MG, Brazil, 2011; ISBN 9788587692252. [Google Scholar]
- Curi, N.; Silva, S.H.G.; Poggere, G.C.; Menezes, M.D. Mapeamento de Solos e Magnetismo No Campus Da UFLA; UFLA: Lavras, Brazil, 2017. [Google Scholar]
- Tatyanchenko, T.V.; Alekseeva, T.V.; Kalinin, P.I. Mineralogical and Chemical Compositions of the Paleosols of Different Ages Buried under Kurgans in the Southern Ergeni Region and Their Paleoclimatic Interpretation. Eurasian Soil Sci. 2013, 46, 341–354. [Google Scholar] [CrossRef]
- Zhu, Y.; Weindorf, D.C.; Zhang, W. Characterizing Soils Using a Portable X-Ray Fluorescence Spectrometer: 1. Soil Texture. Geoderma 2011, 167–168, 167–177. [Google Scholar] [CrossRef]
- Benedet, L.; Faria, W.M.; Silva, S.H.G.; Mancini, M.; Demattê, J.A.M.; Guilherme, L.R.G.; Curi, N. Soil Texture Prediction Using Portable X-Ray Fluorescence Spectrometry and Visible near-Infrared Diffuse Reflectance Spectroscopy. Geoderma 2020, 376, 114553. [Google Scholar] [CrossRef]
- Shahbazi, F.; Hughes, P.; McBratney, A.B.; Minasny, B.; Malone, B.P. Evaluating the Spatial and Vertical Distribution of Agriculturally Important Nutrients—Nitrogen, Phosphorous and Boron—in North West Iran. Catena 2019, 173, 71–82. [Google Scholar] [CrossRef]
- Faria, Á.J.G.D.; Silva, S.H.G.; Melo, L.C.A.; Andrade, R.; Mancini, M.; Mesquita, L.F.; Teixeira, A.F.D.S.; Guilherme, L.R.G.; Curi, N. Soils of the Brazilian Coastal Plains Biome: Prediction of Chemical Attributes via Portable X-Ray Fluorescence (PXRF) Spectrometry and Robust Prediction Models. Soil Res. 2020, 58, 683–695. [Google Scholar] [CrossRef]
- Mckay, J.; Grunwald, S.; Shi, X.; Long, R.F. Evaluation of the Transferability of a Knowledge-Based Soil-Landscape Model. In Digital Soil Mapping: Bridging Research, Environmental Application, and Operation; Boettinger, J.L., Howell, D.W., Moore, A.C., Hartemink, A.E., Kienast-Brown, S., Eds.; Springer: London, UK, 2010; pp. 165–178. ISBN 9789048188635. [Google Scholar]
- Arrouays, D.; Lagacherie, P.; Hartemink, A.E. Digital Soil Mapping across the Globe. Geoderma Reg. 2017, 9, 1–4. [Google Scholar] [CrossRef]
- Pelegrino, M.H.P.; Silva, S.H.G.; de Menezes, M.D.; da Silva, E.; Owens, P.R.; Curi, N. Mapping Soils in Two Watersheds Using Legacy Data and Extrapolation for Similar Surrounding Areas. Ciência Agrotecnologia 2016, 40, 534–546. [Google Scholar] [CrossRef]
- Machado, D.F.T.; Silva, S.H.G.; Curi, N.; Menezes, M.D. de Soil Type Spatial Prediction from Random Forest: Different Training Datasets, Transferability, Accuracy and Uncertainty Assessment. Sci. Agric. 2019, 76, 243–254. [Google Scholar] [CrossRef]
- Nolan, T.; Connolly, J.; Sall, C.; Cesar, J. Mixed Livestock Grazing in Diverse Temperate and Semi-Arid Environments. Afr. J. Range Forage Sci. 2000, 17, 10–21. [Google Scholar] [CrossRef]
- Nawar, S.; Delbecque, N.; Declercq, Y.; De Smedt, P.; Finke, P.; Verdoodt, A.; Van Meirvenne, M.; Mouazen, A.M. Can Spectral Analyses Improve Measurement of Key Soil Fertility Parameters with X-Ray Fluorescence Spectrometry? Geoderma 2019, 350, 29–39. [Google Scholar] [CrossRef]
- Stumpf, F.; Schmidt, K.; Goebes, P.; Behrens, T.; Schönbrodt-Stitt, S.; Wadoux, A.; Xiang, W.; Scholten, T. Uncertainty-Guided Sampling to Improve Digital Soil Maps. Catena 2017, 153, 30–38. [Google Scholar] [CrossRef]
- Malone, B.P.; McBratney, A.B.; Minasny, B.; Laslett, G.M. Mapping Continuous Depth Functions of Soil Carbon Storage and Available Water Capacity. Geoderma 2009, 154, 138–152. [Google Scholar] [CrossRef]
- Terra, F.S.; Demattê, J.A.M.; Viscarra Rossel, R.A. Proximal Spectral Sensing in Pedological Assessments: Vis–NIR Spectra for Soil Classification Based on Weathering and Pedogenesis. Geoderma 2018, 318, 123–136. [Google Scholar] [CrossRef]
- Palleiro, L.; Patinha, C.; Rodríguez-Blanco, M.L.; Taboada-Castro, M.M.; Taboada-Castro, M.T. Metal Fractionation in Topsoils and Bed Sediments in the Mero River Rural Basin: Bioavailability and Relationship with Soil and Sediment Properties. Catena 2016, 144, 34–44. [Google Scholar] [CrossRef]
- Silva, S.H.G.; Silva, E.A.; Poggere, G.C.; Guilherme, L.R.G.; Curi, N. Tropical Soils Characterization at Low Cost and Time Using Portable X-Ray Fluorescence Spectrometer (PXRF): Effects of Different Sample Preparation Methods. Ciência Agrotecnologia 2018, 42, 80–92. [Google Scholar] [CrossRef]
- Vasu, D.; Singh, S.K.; Sahu, N.; Tiwary, P.; Chandran, P.; Duraisami, V.P.; Ramamurthy, V.; Lalitha, M.; Kalaiselvi, B. Assessment of Spatial Variability of Soil Properties Using Geospatial Techniques for Farm Level Nutrient Management. Soil Tillage Res. 2017, 169, 25–34. [Google Scholar] [CrossRef]







| Parameter | asp | CA | CD | CI | CNBL | CS | CSC | Flow | LC | lsf | MCA | RSP | slp | SWI | TWI | VD | VDCN |
|---|---|---|---|---|---|---|---|---|---|---|---|---|---|---|---|---|---|
| Min a | 5.7 × 10−2 | 144.0 | 0.0 | −43.3 | 809.8 | 0.0 | −7.9 × 10−3 | 144.0 | 1 × 10−4 | 0.0 | 282.5 | 2.2 × 10−3 | 0.0 | 2.8 | 4.3 | 4 × 10−2 | 0.1 |
| Max b | 6.3 | 3729.4 | 2.0 | 14.8 | 835.5 | 0.2 | 3.5 × 10−3 | 12,665.6 | 5 × 10−3 | 3.7 | 6982.1 | 1.0 | 25.3 | 7.7 | 11.8 | 34.5 | 35.3 |
| Mean | 3.3 | 788.7 | 0.5 | −1.1 | 820.8 | 0.1 | 6 × 10−5 | 1686.3 | 6 × 10−5 | 1.3 | 1446.8 | 0.6 | 11.3 | 4.2 | 6.8 | 11.3 | 16.5 |
| SD c | 2.2 | 811.6 | 0.6 | 8.4 | 7.3 | 0.1 | 2 × 10−3 | 2595.8 | 2 × 10−3 | 1.0 | 1499.3 | 0.3 | 6.5 | 0.8 | 1.9 | 8.5 | 8.7 |
| CV d | 67.4 | 102.9 | 128.8 | −773.1 | 0.9 | 49.2 | −3290.9 | 153.9 | 3628.2 | 75.1 | 103.6 | 47.8 | 58.0 | 20.0 | 28.2 | 74.9 | 52.7 |
| Attribute | Soil Horizon | n a | Min b | Max c | Mean | SD d | CV e |
|---|---|---|---|---|---|---|---|
| (mg kg−1) | % | ||||||
| B | A | 39 | 0.03 | 0.22 | 0.11 | 0.05 | 45.45 |
| B | 39 | 0.02 | 0.22 | 0.08 | 0.05 | 62.50 | |
| A + B | 78 | 0.02 | 0.22 | 0.10 | 0.05 | 50.00 | |
| Cu | A | 39 | 0.18 | 4.08 | 0.84 | 0.73 | 86.90 |
| B | 39 | 0.10 | 2.57 | 0.71 | 0.52 | 73.24 | |
| A + B | 78 | 0.10 | 4.08 | 0.78 | 0.64 | 82.05 | |
| Fe | A | 39 | 17.99 | 230.24 | 63.89 | 52.89 | 82.78 |
| B | 39 | 14.09 | 343.02 | 49.47 | 57.91 | 117.06 | |
| A + B | 78 | 14.09 | 343.02 | 56.68 | 55.57 | 98.04 | |
| Mn | A | 39 | 8.35 | 180.55 | 32.95 | 33.02 | 100.21 |
| B | 39 | 1.08 | 72.46 | 10.01 | 12.71 | 126.97 | |
| A + B | 78 | 1.08 | 180.55 | 21.48 | 27.40 | 127.56 | |
| Zn | A | 39 | 0.49 | 86.63 | 7.87 | 13.47 | 171.16 |
| B | 39 | 0.10 | 4.79 | 1.05 | 1.09 | 103.81 | |
| A + B | 78 | 0.10 | 86.63 | 4.46 | 10.09 | 226.23 | |
| (%) | |||||||
| Clay | A | 39 | 27 | 67 | 46 | 9 | 20 |
| B | 39 | 30 | 74 | 50 | 9 | 19 | |
| A + B | 78 | 27 | 74 | 48 | 10 | 20 | |
| Silt | A | 39 | 1 | 36 | 19 | 8 | 41 |
| B | 39 | 9 | 32 | 17 | 6 | 33 | |
| A + B | 78 | 1 | 36 | 18 | 7 | 38 | |
| Sand | A | 39 | 10 | 55 | 35 | 9 | 26 |
| B | 39 | 9 | 55 | 33 | 10 | 32 | |
| A + B | 78 | 9 | 55 | 34 | 10 | 29 | |
| Element | A Horizon | B Horizon | ||||||||
|---|---|---|---|---|---|---|---|---|---|---|
| Min a | Max b | Mean | SD c | CV d | Min | Max | Mean | SD | CV | |
| Al | 44,781 | 105,232 | 72,441 | 16,494 | 23 | 49.65 | 98.17 | 70,835 | 11,898 | 17 |
| As | 6 | 38 | 13 | 5 | 41 | 8 | 24 | 14 | 4 | 26 |
| Ca | <LODe | 3742 | 1082 | 896 | 83 | <LOD | 2018 | 117 | 390 | 334 |
| Cr | 56 | 150 | 81 | 18 | 22 | 52 | 150 | 85 | 24 | 28 |
| Cu | 16 | 59 | 28 | 8 | 29 | 17 | 44 | 27 | 7 | 25 |
| Fe | 24,863 | 68,014 | 43,567 | 9604 | 22 | 27,261 | 75,936 | 47,983 | 10,812 | 23 |
| K | <LOD | 15,245 | 4772 | 4765 | 100 | <LOD | 15,194 | 4189 | 4399 | 105 |
| Mn | 68 | 1.45 | 238 | 263 | 110 | 64 | 947 | 176 | 187 | 106 |
| Ni | 16 | 42 | 28 | 7 | 24 | 14 | 55 | 30 | 11 | 36 |
| P | <LOD | 1602 | 664 | 342 | 51 | 74 | 777 | 351 | 162 | 46 |
| Pb | 9 | 37 | 19 | 6 | 32 | 6 | 32 | 19 | 6 | 34 |
| Rb | 7 | 112 | 38 | 31 | 80 | 5 | 122 | 38 | 32 | 85 |
| S | <LOD | 635 | 242 | 120 | 49 | <LOD | 233 | 85 | 67 | 78 |
| Si | 41,149 | 14,4397 | 70,634 | 21,794 | 31 | 39,146 | 116,214 | 65,331 | 20,403 | 31 |
| Sr | 10 | 74 | 30 | 17 | 56 | 8 | 81 | 27 | 19 | 69 |
| Ti | 6052 | 10,970 | 8385 | 1.37 | 16 | 5144 | 10,829 | 8369 | 1578 | 19 |
| V | 36 | 98 | 68 | 14 | 20 | 41 | 94 | 69 | 15 | 22 |
| Y | 9 | 22 | 14 | 3 | 21 | 7 | 24 | 15 | 3 | 23 |
| Zn | 28 | 284 | 62 | 48 | 77 | 22 | 81 | 43 | 16 | 37 |
| MS | 2 | 57 | 13 | 11 | 83 | 2 | 75 | 15 | 14 | 95 |
Publisher’s Note: MDPI stays neutral with regard to jurisdictional claims in published maps and institutional affiliations. |
© 2022 by the authors. Licensee MDPI, Basel, Switzerland. This article is an open access article distributed under the terms and conditions of the Creative Commons Attribution (CC BY) license (https://creativecommons.org/licenses/by/4.0/).
Share and Cite
Pierangeli, L.M.P.; Silva, S.H.G.; Teixeira, A.F.d.S.; Mancini, M.; Andrade, R.; de Menezes, M.D.; Marques, J.J.; Weindorf, D.C.; Curi, N. Combining Proximal and Remote Sensors in Spatial Prediction of Five Micronutrients and Soil Texture in a Case Study at Farmland Scale in Southeastern Brazil. Agronomy 2022, 12, 2699. https://doi.org/10.3390/agronomy12112699
Pierangeli LMP, Silva SHG, Teixeira AFdS, Mancini M, Andrade R, de Menezes MD, Marques JJ, Weindorf DC, Curi N. Combining Proximal and Remote Sensors in Spatial Prediction of Five Micronutrients and Soil Texture in a Case Study at Farmland Scale in Southeastern Brazil. Agronomy. 2022; 12(11):2699. https://doi.org/10.3390/agronomy12112699
Chicago/Turabian StylePierangeli, Luiza Maria Pereira, Sérgio Henrique Godinho Silva, Anita Fernanda dos Santos Teixeira, Marcelo Mancini, Renata Andrade, Michele Duarte de Menezes, João José Marques, David C. Weindorf, and Nilton Curi. 2022. "Combining Proximal and Remote Sensors in Spatial Prediction of Five Micronutrients and Soil Texture in a Case Study at Farmland Scale in Southeastern Brazil" Agronomy 12, no. 11: 2699. https://doi.org/10.3390/agronomy12112699
APA StylePierangeli, L. M. P., Silva, S. H. G., Teixeira, A. F. d. S., Mancini, M., Andrade, R., de Menezes, M. D., Marques, J. J., Weindorf, D. C., & Curi, N. (2022). Combining Proximal and Remote Sensors in Spatial Prediction of Five Micronutrients and Soil Texture in a Case Study at Farmland Scale in Southeastern Brazil. Agronomy, 12(11), 2699. https://doi.org/10.3390/agronomy12112699

