Next Article in Journal
Phosphorus Fractions in Temperate Grassland Soils and Their Interactions with Agronomic P Tests
Next Article in Special Issue
Identification, Characterization, and Expression Profiling of Maize GATA Gene Family in Response to Abiotic and Biotic Stresses
Previous Article in Journal
Effects of Hydraulic Retention Time of Aquaculture Effluent on Nutrient Film Technique Lettuce Productivity
Previous Article in Special Issue
Understanding the Role of Physiological and Agronomical Traits during Drought Recovery as a Determinant of Differential Drought Stress Tolerance in Barley
 
 
Font Type:
Arial Georgia Verdana
Font Size:
Aa Aa Aa
Line Spacing:
Column Width:
Background:
Article

Winter Cereal Reactions to Common Root Rot and Crown Rot Pathogens in the Field

1
Centre for Crop Health, University of Southern Queensland, Toowoomba, QLD 4350, Australia
2
Leslie Research Facility, Department of Agriculture and Fisheries, Toowoomba, QLD 4350, Australia
*
Author to whom correspondence should be addressed.
Agronomy 2022, 12(10), 2571; https://doi.org/10.3390/agronomy12102571
Submission received: 12 August 2022 / Revised: 13 September 2022 / Accepted: 17 October 2022 / Published: 19 October 2022
(This article belongs to the Collection Crop Breeding for Stress Tolerance)

Abstract

In Australia, Fusarium pseudograminearum and F. culmorum are the two main fungi causing crown rot, while Bipolaris sorokiniana is the causal agent of common root rot. Fusarium graminearum is typically linked with Fusarium head blight; however, it has been associated with crown rot in Australia and other parts of the world. This study investigated the reactions of single cultivars of barley, bread wheat, durum wheat, oat, and triticale to inoculation with strains of F. pseudograminearum, F. culmorum, F. graminearum and B. sorokiniana in field trials across two seasons. Fusarium pseudograminearum and F. culmorum caused greater visual discolouration than F. graminearum and B. sorokiniana on both stems and sub crown internodes of all hosts. Fusarum pseudograminearum caused the greatest reduction in plant dry weight across hosts in both years. Durum wheat (cv. Hyperno) barley (cv. Grimmett), bread wheat (cv. Livingston) and triticale (cv. Endeavour) observed significantly high levels of visual discolouration on stems when inoculated with F. pseudograminearum, while oat (cv. Genie) exhibited the least visual discolouration. Despite variation in the visual discolouration, the DNA of all pathogens were detected in all cultivars. This research further highlights the complicated nature of the pathogen × strain × cultivar × environment interaction, which remains a challenge in breeding for genetic resistance. The specific infection of each fungus and the host responses in these field trials improves our understanding of disease development and its importance in cropping systems.

1. Introduction

Crown rot and common root rot are important soil-borne diseases of wheat (Triticum aestivum L.) and barley (Hordeum vulgare L.) worldwide, including countries such as Australia, Canada, China, New Zealand, North Africa, South Africa, and the USA [1,2]. In Australia, annual crown rot and common root rot losses in wheat and barley were estimated at 97 M AUD and 43 M AUD, respectively [3,4].
Crown rot has been associated with several Fusarium species including F. pseudograminearum, F. culmorum, F. graminearum, F. avenaceum, F. crookwellense, and F. poae [5,6,7,8]. In Australia, F. pseudograminearum and F. culmorum are the predominant pathogens causing crown rot in barley and wheat [6,9,10]. Fusarium pseudograminearum occurs across all wheat growing regions and can be severe under the hot, dry conditions found in Australia [8,9]. Fusarium culmorum is more widely distributed in high rainfall temperate regions of Victoria (VIC), South Australia, and in the summer rainfall regions of the northern region [eastern Darling Downs in southern Queensland (QLD)] [6,9]. In Australia, F. graminearum (F. graminearum sensu stricto) has been reported to cause localised Fusarium head blight epidemics in subtropical areas with high summer rainfall [9]. Although F. graminearum has been associated with crown rot under wet conditions in Australia, it has not been considered a significant pathogen to date [10,11].
Bipolaris sorokiniana is both a root and foliar pathogen causing common root rot, seedling blight, and spot blotch [12,13]. This fungus occurs in most regions where barley and wheat are grown [13]. Common root rot is widespread and causes the most damage to plants grown in warmer areas with high rainfall at the beginning of the growing season and water-stress conditions at the end of the season [14].
Both B. sorokiniana and Fusarium species can affect the sub-crown internode (SCI), crown, leaf base, coleoptile, and roots of plants [1,2,8,15]. The first symptoms of crown rot and common root rot are lesions on the coleoptile, SCI, and leaf sheaths, followed by brown discolouration along the basal stem tissues. These crown rot and common root rot symptoms are difficult to distinguish, however, discolouration caused by B. sorokiniana does not extend as high up the stem as lesions caused by F. pseudograminearum [8,16]. During severe crown rot infection, visual symptoms progress up the stem, sometimes as high as the fifth node [8]. Lesions caused by B. sorokiniana are usually dark brown to black [17] compared to the honey brown coloured lesions typical of crown rot infections [8,18]. At flowering, Fusarium infected stems may undergo premature senescence, resulting in whiteheads containing no or shrivelled grain [1,8,19]. No reports are suggesting that B. sorokiniana is associated with whiteheads [20]. A positive correlation has been reported between the severity of infection, yield loss and the severity of discolouration of the SCI caused by B. sorokiniana for wheat cultivars [12,15]. The SCI tissue discolouration has been adopted as a standard method to measure common root rot severity, while stem tissue browning has been used to measure crown rot disease [15,18,21,22].
Crown rot and common root rot pathogens have been associated with an extensive range of hosts including barley, bread wheat, durum wheat (Triticum turgidum L. var. durum), oat (Avena sativa L.), rye (Secale cereale L.), maize (Zea mays L.), sorghum (Sorghum bicolor L. Moench), and triticale (× Triticosecale Wittmack) [1,2,8,23]. The incidence and severity of these diseases can vary significantly within the host, field, and season [2,8,24]. The importance of barley and wheat associated with F. pseudograminearum is clear. However, other host–pathogen associations in Australian cropping systems are unclear.
Crown rot research in Australia has focussed on F. pseudograminearum as the dominant pathogen due to the wide distribution of the F. pseudograminearum [6,8]. Most of the bread wheat cultivars and all of the durum wheat cultivars are very susceptible to susceptible to F. pseudograminearum [18,24,25,26]. Barley cultivars exhibit a high level of disease severity to crown rot caused by F. pseudograminearum, similar or greater than bread wheat cultivars [18,27,28,29]. However, estimated yield losses of barley are less than those in bread wheat and the formation of whiteheads is less common [30].
Bipolaris sorokiniana can cause a range of common root rot reactions depending on the host [12,15,25]. In Australia, bread and durum wheat cultivars range from susceptible to moderately resistant [31,32], and barley cultivars range from susceptible to moderately susceptible to common root rot. [32,33].
Oats have been shown to exhibit a low level of brown discolouration when they are inoculated with crown rot (F. pseudograminearum and F. culmorum) and common root rot pathogens [18,28,29,34]. Collins et al. [35] reported that oats are more susceptible to F. culmorum than F. pseudograminearum. However, the role of oat cultivars as a rotation crop to crown rot and common root rot is not clear.
Long-term management and control of crown rot and common root rot pathogens can be difficult as the fungus can survive in stubble and soil for several years [8,36]. Stubble is managed in the field using incorporation by disc cultivators that invert the soil and surface residue and stubble retention on the soil surface with minimum tillage [8,36]. Good tillage and removal of stubble reduce crown rot and common root rot inoculum levels [36,37], however, this practice may have a negative effect on crop yield by removing moisture that would otherwise be available to the crop [8]. Crop rotation is an effective method for crown rot management to reduce the levels of inoculum in the field [1,8]. Non-host cereal crops such as chickpea, canola, and sorghum can be efficient at reducing crown rot in subsequent plantings with at least two years of non-host crops [8,22].
Glasshouse studies examining seedling reactions of a range of cereals to crown rot and common root rot pathogens have reported variation in the visual discolouration and the host response among the hosts for both diseases [28,29]. Disease reactions in the field are an essential extension of this research and will assist in providing a robust understanding of winter cereal host responses to crown rot and common root rot pathogens. In Australia, only one study has compared the visual discolouration and the yield loss of wheat cultivars infected with a single strain each of F. pseudograminearum and F. culmorum in field trials [38]. It was reported that F. culmorum caused the same or less visual discolouration on wheat cultivars as F. pseudograminearum. In Australia, F. graminearum has not frequently been associated with crown rot [11]. However, with the predicted climate changes [39], F. graminearum could become a significant pathogen causing crown rot on a range of winter cereals.
The primary aim of the current study was to determine the comparative disease-causing capabilities of the four crown rot and common root rot pathogen species across commercially grown cultivars of barley, bread wheat, durum wheat, oat, and triticale grown under field conditions. These crops were inoculated with strains of F. pseudograminearum, F. culmorum, F. graminearum, and B. sorokiniana in two field trials. Cultivars and pathogens were compared for visual disease severity on SCI and stem tissues of inoculated and non-inoculated treatments. The impact of each pathogen on host cultivars was further compared by reporting differences in plant height and plant dry weight at tillering, flowering, and maturity. This research is the first detailed comparative study of the pathogen impacts on different hosts, which may help to improve crown rot and common root rot resistance breeding. The comparison of cereal reactions to these pathogens in the field will provide valuable information for management strategies in crop rotation targeting crown rot and common root rot diseases.

2. Materials and Methods

2.1. Strains and Inoculum Preparation

Colonised wheat/barley grain inoculum was prepared for two strains each of F. pseudograminearum [Fp1, BRIP no. (Queensland Plant Pathology Herbarium number) 64949 and Fp2, BRIP no. 64952], F. graminearum (Fg1, BRIP no. 64975 and Fg2, BRIP no. 64976), F. culmorum (Fc1, BRIB no. 64973 and Fc2, BRIP no. 64974), and B. sorokiniana (Bs1, BRIP no. 64970 and Bs2, BRIP no. 64972). Further details of inoculum production and isolates used in this study are presented in Saad et al. [29]. Inoculum was stored at 4 ℃ and ground to pass through a 2 mm sieve prior to application in the field.

2.2. Field Site Characteristics

Field trials were conducted in 2016 and 2017 at the Wellcamp Field Station, Department of Agriculture and Fisheries, Queensland, Australia (coordinates: 27°33′54″ S 151°51′51″ E). The soil at the site was a self-mulching black Vertisol of the Irving clay soil association (Australian black earth) [40]. In each year, urea (100 kg N/ha) was applied three weeks before sowing at a depth of 50 mm. In 2017, 40 mL of water was applied with overhead irrigation eight weeks after planting.
In both years, DNA levels of important soilborne pathogens, including B. sorokiniana, F. culmorum, F. graminearum, and F. pseudograminearum, were determined with a PreDicta B full crop test provided by South Australian Research and Development Institute (SARDI) for soil and stubble borne disease DNA detection [38]. Three soil samples were taken from the site pre-planting and twenty soil samples were taken from the non-inoculated controls at post-harvest for both years using an Accucore sampler at a depth of 30 cm (15 to 20 cores were included for each sample).
In both years, trials were planted in July and plants at the tillering (Zadoks growth stage GS20–29) and flowering stages (Zadoks growth stage GS60–69) were harvested in September and November, respectively. Mature plants (Zadoks growth stage GS90–99) were harvested in December of each year.
The minimum and maximum temperature and rainfall were recorded for both years from the Toowoomba Airport station, 8.1 km from the site of the trials (site number 041529, coordinates: Latitude: 27.54° S; Longitude: 151.91° E).

2.3. Experimental Design

Both trials were conducted as randomised completed block designs, where each treatment (combination of harvest time, pathogen, strain, and cultivar) was randomly allocated to a plot within each replicate block (three replicates for each harvest time). Five cultivars [barley (cv. Grimmett), bread wheat (cv. Livingston), durum wheat (cv. Hyperno), oat (cv. Genie), and triticale (cv. Endeavour)] were exposed to the four crown rot and common root rot pathogens. Two individual strains were used for each pathogen. In both years, twenty seeds were sown in 1 m rows, then covered with soil. In 2016, treatments consisted of individual plots inoculated with individual strains of each pathogen species. In 2017, the individual strains were combined to inoculate each plot. Control treatments consisted of non-inoculated plots for each trial. Two grams of ground colonised grain inoculum were applied on top of a layer of soil above the seed along the 1 m furrow at planting. In 2016 seed was hand planted into furrows. In 2017 the seed was machine planted. Inoculum was applied manually in both years to avoid cross contamination. Plants from three replicates of each treatment were harvested at the three harvest times, tillering, flowering, and maturity.
For both trials, harvest at tillering was conducted nine weeks after planting. The flowering harvest varied depending on each host. Bread and durum wheat cultivars were harvested at 13 weeks and barley, oat, and triticale cultivars at 15 weeks after planting. Mature plants were harvested at 17 weeks after planting for barley, bread and durum wheat cultivars, and 18 weeks after planting for oat and triticale cultivars.

2.4. Visual Discolouration Rating and Physiological Response

At each harvest, ten plants were collected from each plot. At tillering, flowering, and maturity, the stem number and the number of stems with visual discolouration were counted for each plant. The SCI and basal 15 cm of each cleaned stem was rated for visual discolouration, measured as a honey brown to black discolouration of tissue, using a 0 to 100% rating scale where 0 = no discolouration and 100% = completely discoloured tissue (Figure 1). Following visual discolouration rating, the roots and the SCI were removed, and plant height of each plant was measured from the base of the stem to the tip of the longest leaf at tillering stage and from the base of the stem to the tip of the longest stem with the longest head at flowering and maturity stages. All heads were removed, and the individual plants (leaves and stems) were dried at 60 °C in a drying oven (Wessberg Martin Engineering Pty Ltd., Sydney, NSW, Australia) for three days. Following drying, the individual plants were weighed.

2.5. Data Analysis

The incidence of discoloured stems (%) was calculated by dividing the number of discoloured stems by the total number of stems per plant. The visual discolouration (%) was calculated by using the average value of all stems in one plant. To ensure the assumptions of normality were not violated, the total stem number per plant, the incidence of discoloured stems, the visual discolouration assessed on each stem and the visual discolouration of the SCI were logit transformed, and the plant dry weight and stem height were log transformed. The analysis of each variable was performed using a linear mixed model. The model included fixed effects for pathogen, harvest time, cultivars, and their interactions. Terms to account for such as the replicate blocks, plots, and plants within plots were included as random effects. Estimates of variance parameters were generated using Residual maximum likelihood (REML) estimations [41]. Predictions for each trait were generated from their respective models as empirical Best Linear Unbiased Estimators (eBLUEs). Where a transformation had been used, predicted means were back-transformed to the original scale, and approximate standard errors were calculated using the Taylor series approximation. All analyses were performed using ASReml-R [42], in the R software environment [43].

2.6. Tissue Processing and DNA Extraction

Fungal DNA from each strain was extracted from mycelium grown under 24 h darkness for 14 days on Potato Dextrose Agar (PDA) at 25 °C for Fusarium species and 20 °C for B. sorokiniana. Mycelium was scraped off plates and placed in a 2 mL centrifuge tube with two 2 mm metal beads (Winchester Australia limited, Moolap, VIC, Australia) and ground twice at 6.5 m/s for 15 s using a FastPrep-24 instrument (MP Biomedicals, Santa Ana, CA, USA). The extraction was conducted using the Wizard Genomic DNA Purification Kit for plant tissue (Promega, Sydney, NSW, Australia) according to the manufacturer’s recommended procedure.
In 2017, DNA was extracted from one random stem from each of five randomly selected plants from each plot, resulting in a total of 15 stems from each of the four pathogen treatments, along with the non-inoculated control treatments collected at flowering stage. The basal 3 cm of each stem was cleaned and stored separately in 5 cm tubes. Stems were dried at 60 °C in a drying oven (Wessberg Martin Engineering Pty Ltd., Sydney, NSW, Australia) for three days and stored in a −80 °C freezer. The basal 3 cm portion of the stem was cut into approximately 2 mm lengths and placed in 2 mL tubes. Prior to the extraction, each sample was again dried overnight in a dehydrator set at 65 °C (UF160-en, Memmert, Schwabach, Germany). Four 2 mm metal beads (Winchester Australia limited, Moolap, VIC, Australia) were placed into the 2 mL tube and each stem was ground twice at 6.5 m/s for 60 s using a FastPrep-24 instrument (MP Biomedicals, Valiant Co., Ltd., Santa Ana, CA, USA). Genomic DNA was extracted using the Wizard Genomic DNA Purification Kit for plant tissue (Promega, Sydney, Australia). The protocol provided by the manufacturer was used with the exception that incubation time was increased to 60 min at 65 °C after the addition of the Nuclei Lysis Solution. DNA was resuspended in 100 μL of autoclaved deionised water and stored at −20 °C until required.

2.7. Species-Specific PCR Assays

Species-specific PCR primers were used to amplify DNA of F. pseudograminearum [Fp_TEF1α.2F (5′-ATCATTCGAATCGCTCGACG-3′) and Fp_TEF1α.2R (5′-AAAAATTACGACAAAGCCGTAAAAA-3′)] [44], F. culmorum [Fc_K13B-P_F (5′- ATGACCGAAGACTCGGAGAA-3′) and Fc_K13B-P_R (5′-CCTTGTGCTGAGCTCGTCT-3′)] [28,44], F. graminearum [Fg16NF (5′-ACAGATGACAAGATTCAGGCACA-3′) and Fg16NR (5′-TTCTTTGACATCTGTTCAACCCA-3′)] [45], and B. sorokiniana [CosA_F_519 (5′-TCAAGCTGACCAAATCACCTTC-3′) & CosA_R_248 (5′-AATGTCGAGCTTGCCAAAGT-3′) [46]. Pure genomic DNA standards of each pathogen strain were used as positive controls.
Each 10 uL PCR reaction consisted of 0.5 Units Immolase DNA polymerase (Bioline Pty Ltd., Eveleigh, NSW, Australia), 100 μM dNTPs, 1× Immolase buffer, 2.5 mM MgCl2, 0.25 mM forward and reverse primers, and 3 μL of DNA template. Thermal cycling conditions for primers Fc_K13B-P_F & Fc_K13B-P_R and Fg16NF & Fg16NR were 95 °C for 7 min followed by 40 cycles at 94 °C for 30 s, 60 °C for 30 s, and 72 °C for 30 s, with a final extension at 72 °C for 10 min. Thermal cycling conditions for primers Fp_TEF1α.2F & Fp_TEF1α.2R and CosA_F_519 & CosA_R_248 were 7 min at 95 °C, followed by 35 cycles of 94 °C for 30 s, 55 °C for 30 s, and 72 °C for 30 s, with a final extension at 72 °C for 10 min. DNA amplicons were separated by electrophoresis (100 V) in a 1% agarose gel with 5 μL GelRed and visualised using a Fusion FX (Vilber Lourmat, Fisher Biotec, Wembley, WA, Australia). For size assessment, a 100 bp DNA ladder was used (New England, Biolabs Inc., Dallas, TX, USA).

3. Results

Variation in rainfall was observed between the two seasons. In 2016 high rainfall occurred early in the season (tillering) and early spring (flowering), with a dry finish (maturity). In contrast, in 2017, dry conditions occurred at the beginning and the end of the season and high rainfall was recorded during the flowering stage (October 2017) (Supplementary Materials Table S1). While the environmental impact was discussed, each trial was analysed separately.
The PreDicta B result of the pre-sowing soil samples indicated that Fusarium species and B. sorokiniana DNA were not present at the site. In both years the post-harvesting soil samples had low levels (0 to 4 pg DNA/g sample) of F. culmorum, F. graminearum, F. pseudograminearum, and B. sorokiniana DNA in the non-inoculated control plots, which could be due to intense sampling. For the 2016 trial, some data sets of barley, oat, and triticale were excluded from the analysis due to storage damage to the plant at flowering stage.

3.1. Incidence of Discoloured Stems

A significant interaction was observed in the incidence of discoloured stems between harvest time, cultivars, and pathogens in both 2016 (p = 0.008) and 2017 (p = 0.001) trials (Tables S2 and S3). Differences between strains were not significant in the 2016 trial. In general, the number of discoloured stems per plant increased in each cultivar at each harvest time, with the highest incidence of discoloured stems per plant occurring at maturity (Figure S1). In both 2016 and 2017, the incidence of discoloured stems per plant was higher than expected in the non-inoculated control plots, with few significant differences detected between pathogen treatments within each cultivar. The greatest differences in the number of discoloured stems per plant were observed at flowering for all treatments (Figure S1).

3.2. Visual Discolouration on Stems

A significant interaction between harvest time, cultivar, pathogen, and strain within the pathogen (p = 0.002) (Table S4) was detected for the percentage of visual discolouration on the stems in the 2016 trial (Figure 2a and Figure 3a). Low levels of visual discolouration (less than 20%) were recorded on the stems of all treatments in all cultivars at flowering except for one strain of F. graminearum inoculated cv. Endeavour (27.4%) (Figure 2a and Figure 3a). At maturity, all cultivars inoculated with F. pseudograminearum strains had visual discolouration on stems (18.1 to 54.8%), significantly higher than the non-inoculated controls (6.2 to 11.2%), except for oat cv. Genie (Figure 2a). One strain of F. culmorum inoculated onto cv. Grimmett (22.4%) and cv. Hyperno (32.5%) both strains of F. culmorum inoculated onto cv. Endeavour (22.2 and 37.9%) were significantly higher than the non-inoculated control plots at maturity in the 2016 field trial (p < 0.05) (Figure 2a). Significant differences were observed between the F. pseudograminearum strains on cv. Hyperno (Fp1 36.4% and Fp2 54.8%) and cv. Endeavour (Fp2 22.2% and Fp1 37.9%), and the F. culmorum strains on cv. Hyperno at maturity (p < 0.05) (Figure 2a).
Cultivars Hyperno (36.4 to 54.8%), Livingston (35.8 to 41%), Endeavour (22.2 to 37.9%), and Grimmett (18.1 to 22.4%), respectively, had the highest visual discolouration on stems when inoculated with F. pseudograminearum strains at maturity (Figure 3a). The cv. Genie exhibited the least visual discolouration (4.1 to 4.9%) across all pathogens at maturity compared to the other hosts, although these differences were not always significantwith only low levels of visual discolouration (< 20%) observed on the stems of all cultivars when inoculated with B. sorokiniana or F. graminearum (Figure 3a).
A significant interaction between harvest time, cultivar, and pathogen (p = 0.003) (Table S5) was detected for visual discolouration on the stems in the 2017 field trial (Figure 2b and Figure 3b). The highest levels of visual discolouration on stems were recorded in cv. Hyperno (61 to 68.5%), followed by cv. Grimmett (46.8 to 50.4%) and cv. Livingston (33.5 to 36.1%) when inoculated with F. pseudograminearum at flowering and maturity in the 2017 field trial (Figure 2b and Figure 3b). Visual discolouration in F. culmorum inoculated plots were also significantly higher than in the non-inoculated controls in cv. Grimmett (13.2 to 28.7%) and cv. Hyperno (32.7 to 36.1%) at both flowering and maturity (Figure 2b). In contrast to the 2016 field trial, visual discolouration on the stems of cv. Endeavour was only significantly different from the control treatment when inoculated with F. pseudograminearum at maturity (23.4%) (Figure 2b). Visual discolouration of stems in cv. Hyperno were significantly higher than cultivars Grimmett, Endeavour and Genie when inoculated with B. sorokiniana and F. graminearum in the 2017 field trial at maturity (Figure 3b). Similar to 2016, low levels of visual discolouration were observed on the stems of oat cv. Genie in all treatments at both harvest times in the 2017 field trial (Figure 2b and Figure 3b).

3.3. Sub-Crown Internode Visual Discolouration

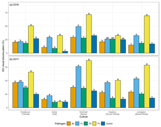
A significant cultivar by pathogen interaction (p < 0.001) (Tables S6 and S7) was detected for the percentage of visual discolouration of the SCI for both the 2016 and 2017 trials (Figure 4a, b). The highest level of visual discolouration of the SCI was observed in cultivars Grimmett (71.2 to 87.7%), Livingston (69.2 to 78.8%) and Endeavour (50.3 to 66%) inoculated with F. pseudograminearum in both the 2016 and 2017 field trials and cv, Genie in the 2016 field trial (Figure 4). Significant visual discolouration of the SCI was also observed in F.culmorum inoculated plots of cultivars Grimmett, Livingston and Genie in 2016 and cultivars Grimmett, Livingston, Endeavour and Hyperno in the 2017 field trial. Visual discolouration of SCI’s inoculated with B.sorokiniana were only significantly higher than the non-inoculated controls in Genie in 2016 and Endeavour in 2017. Visual discolouration of the SCI of plots inoculated with F. graminearum were not significantly different from the non-inoculated controls in any host in either the 2016 or 2017 field trial.

3.4. Plant Dry Weight

In the 2016 trial, there was a significant interaction between harvest time and pathogen for plant dry weight (p = 0.008) (Table S8). There was 48.8% and 28.8% increase in the plant dry weight for F. pseudograminearum treatments, and 41% and 23.0% for F. culmorum treatments at flowering and maturity, respectively, compared to the non-inoculated control (Figure S2).
In the 2017 field trial, a significant effect for pathogens was observed for the plant dry weight (p < 0.001) (Table S9). Fusarium pseudograminearum caused a significant reduction in the plant dry weight (p < 0.05) compared to the non-inoculated control (Figure S3). A significant interaction was also observed between harvest time and cultivar for plant dry weight in 2017 (p < 0.001), where an increase in plant dry weight was observed from tillering to maturity (Figure S4).

3.5. Stem Number

In 2016, there was a significant interaction between harvest time, pathogen, and strain within the pathogen (p = 0.021) (Table S10) for the stem number (Figure S5). Fusarium pseudograminearum inoculated plots had an increase in stem number (3.2 to 4.9%) compared to the non-inoculated controls at both flowering and maturity (Figure S5). This increase in stem number was also observed in cultivars inoculated with Fp2 of F. pseudograminearum at tillering. An increase in stem number compared to the non-inoculated controls was also observed in plots inoculated with both strains of F. culmorum at tillering and F. culmorum strain Fc2 at maturity in the 2016 field trial.
In 2017, a significant interaction was observed between cultivars and pathogens for stem number (p = 0.010) (Table S11). The stem number of durum wheat cv. Hyperno and bread wheat cv. Livingston were significantly lower than the other cultivars for most treatments, with barley cv. Grimmett recording the highest stem numbers. Differences in stem number of cultivars between inoculation treatments were usually not significant, with the exception of barley cv. Grimmett, where there was a 4 to 5.6% reduction in the stem number when inoculated with F. pseudograminearum and F. culmorum compared to the other inoculation treatments in the 2017 field trial (Figure S6).

3.6. Plant height

A significant interaction between harvest time and cultivars (p <0.001) and a significant effect for pathogens (p <0.001) was observed for the plant height in both the 2016 and 2017 field trials (Tables S12 and S13). In both the 2016 and 2017 field trials the oat cv. Genie was the tallest cultivar, significant at both flowering and maturity, followed by triticale cv. Endeavour (Figure S7). In both seasons, F. pseudograminearum caused a significant reduction (5 to 7%) in plant height compared to the non-inoculated control (Figure S8). In 2017 F. culmorum caused a 3% reduction in plant height compared to the non-inoculated control (Figure S8b).

3.7. PCR Detection of Fusarium pseudograminearum, Fusarium culmorum, Fusarium graminearum, and Bipolaris sorokiniana

Polymerase chain reaction assays were conducted on one stem of five plants sampled from each of the inoculated and non-inoculated control treatments plots at flowering of the 2017 field trial. The PCR assay detected the F. pseudograminearum DNA fragment most frequently in cv. Grimmett (80%), cv. Livingston (73%), cv. Endeavour (67%), and cv. Hyperno (53%), respectively (Table S14). The F. culmorum DNA was detected in all species with cv. Hyperno and cv. Genie having the highest percentage of detection (73%). Fusarium graminearum DNA was only detected in cv. Genie. Most of the B. sorokiniana, F. graminearum and the on-inoculated control treatments that had symptoms but did not amplify the fungal fragments had 5% or lower visual discolouration (Table S15). Although cv. Genie had the lowest levels of visual discolouration on the stem, F. culmorum (73%), F. pseudograminearum (47%), F. graminearum (13%), and B. sorokiniana (7%) DNA were detected (Table S14).

3.8. Comparison of Visual Discolouration Incidence and Pathogen DNA Detection

The incidence of visual discolouration and the presence of PCR fragments in stems are presented in Table S15. Cultivars Livingston and Hyperno had the greatest incidence of plants having both positive disease symptoms and positive DNA of F. pseudograminearum and F. culmorum in stems. Pathogen DNA was detected in asymptomatic plants of cv. Genie when inoculated with F.pseudograminearum (13.3%), F. culmorum (6.7%), F. graminearum (13.3%) and B. sorokiniana (6.7%) (Table S15).

4. Discussion

This research is the most extensive study to date reporting a comparative analysis of four crown rot and common root rot pathogens in a single cultivar of five winter cereal species across different stages of growth in two field trials. This study has been employed along with a previously reported direct comparison of the four pathogens across the five-grain cereals in glasshouse tests [29]. In both studies, significant variation among the visual discolouration ratings was caused by the four pathogens on stems and SCI tissues of the five winter cereals across harvest time. Climatic variables were also a major factor in our study, impacting the disease and the host response throughout the seasons. This study has identified significant differences in the visual discolouration caused by the three Fusarium species and B. sorokiniana in the five winter cereals in the field. In particular, F. pseudograminearum caused the greatest visual discolouration on the stem and SCI followed by F. culmorum, B. sorokiniana, and F. graminearum. The current study informed a significant variation in the extent of visual discolouration across the cultivars depending on which pathogen they were exposed to, with durum wheat cv. Hyperno, barley cv. Grimmett, bread wheat cv. Livingston and triticale cv. Endeavour recording the most disease symptoms, while oat cv. Genie developing the least visual discolouration when exposed to each pathogen.
Differences between the years in the levels of visual discolouration caused by F. pseudograminearum and F. culmorum strains were observed on cv. Hyperno and cv. Grimmett stems at flowering and maturity, with the levels of visual discolouration higher in 2017 than in 2016. This may be due to the wet conditions at the start of the 2016 season compared to the dry start of the 2017 season. This outcome is in contrast with other reports, which suggest that crown rot pathogens become more aggressive in the wet start and dry finish of the season [6,8,19], which indicates that the increase in the infection due to crown rot pathogens was intensified by limited rainfall towards the end of the season [8,38]. Our study suggests that the escalation in the infection due to crown rot pathogens for some hosts could be increased by water stress early in the season, providing moisture is sufficient for plant establishment and initiation of infection by the pathogen in the host. While differences in pathogenicity have not been reported thus far in any of these host pathogen combinations, differences in aggressiveness do occur and interactions between cultivars and strains is possible. Inoculation with a mixture of strains from different geographic areas has been recommended to determine the potential value of bread wheat cultivars in local crown rot improvement breeding programs [47,48]. The higher levels of disease observed in 2017 could be due to combining the strains of each pathogen in this trial, compared to single isolates used in 2016, which could enhance the aggressiveness of each pathogen towards the host.
In this study, the durum wheat cv. Hyperno had a high level of visual discolouration on stems in both years compared to other cultivars when inoculated with either F. pseudograminearum or F. culmorum. This result agrees with other reports that have indicated that durum wheat cultivars are very susceptible to susceptible to F. pseudograminearum [18,32,49]. In contrast Saad et al. [29] reported a low level of visual discolouration on both the SCI and the leaf sheaths of cv. Hyperno seedlings when inoculated with F. pseudograminearum and F. culmorum. In both field trials reported here, we observed no differences in the visual discolouration among inoculated treatments and the non-inoculated controls at the tillering stage in cv. Hyperno (data not shown). This suggests that different genes may be responsible for crown rot resistance at an early developmental stage in durum wheat cv. Hyperno and that resistance may not be expressed at the later stages of development [50].
In contrast to differences in disease severity observed between years in cultivars Hyperno and Grimmett, a higher level of visual discolouration was observed in 2016 in the triticale cv. Endeavour on stems at maturity infected with one strain of F. pseudograminearum and both strains of F. culmorum compared to the 2017 trial. This further highlights the complex environment × cultivar × pathogen interactions that occur in crown rot infections where higher levels of rainfall in this instance may have resulted in higher disease severity in cv. Endeavour. The results agree with previous studies, which suggested that during the season, the increased growth of plants reduces the sub-soil moisture, making the plant more susceptible to water stress late in the season and more vulnerable to disease infection [2,6]. Previous reports have shown that triticale may be susceptible to the crown rot pathogen F. pseudograminearum [28,51]. In our study, F. pseudograminearum inoculation resulted in a higher level of visual discolouration compared to the other inoculated treatments and the non-inoculated control on cv. Endeavour at maturity for both years. Our study also demonstrated significant discolouration on the SCI of cv. Endeavour caused by B. sorokiniana and F. culmorum in the 2017 field trial. A study by Klein et al. [51] reported high levels of visual discolouration caused by F. pseudograminearum infection on the triticale cv. Ningadhu (ranged from 85 to 91%). The findings of our study are in contrast with the results in Saad et al. [29] where cv. Endeavour seedlings showed a low level of visual discolouration on both the SCI and the leaf sheaths when inoculated with F. pseudograminearum.
Oat is considered to be a resistant or asymptomatic host to crown rot [18,28,29,34], and common root rot [22] pathogens; however, other studies have recommended that oat should not be employed in crop rotation for crown rot [34] nor common root rot management due to an increase in the levels of inoculum in the soil after planting oat [22]. Low levels of visual discolouration were exhibited on the stems of the oat cv. Genie when inoculated with each pathogen in these field trials. However, these were not significantly different from the non-inoculated controls. In the 2016 field trial, the visual discolouration was significantly greater than the non-inoculated control on the SCI of Genie when inoculated with both F. pseudograminearum and F. culmorum (p < 0.05). These findings are consistent with the results of Saad et al. [29], which reported F. pseudograminearum or F. culmorum had higher visual discolouration than the control on the SCI of oat cv. Genie. Collins et al. [35] tested the resistance and tolerance in six oat cultivars (Bannister, Carrolup, Durack, Kojonup, Mitika, Williams and Yallara), and two bread wheat cultivars (Mace and Emu Rock) to F. pseudograminearum and F. culmorum through two seasons of field experimentation (total of four trials) between 2016 and 2017. All oat cultivars were more resistant (lower level of visual discolouration) to F. pseudograminearum than wheat cultivars and had four-times lower yield loss. However, in 2016 at post-harvest, the inoculum levels of F. culmorum in the oats trials were higher than that in the wheat trials and similar to levels recorded for F. pseudograminearum [35].
Knight and Sutherland [28] reported low or no discolouration and low levels of fungal biomass measured in F. pseudograminearum infected oat seedlings (cv. Taipan and Quoll), suggesting that oat is a poor host and may be a potential crop for rotation. In the current report, the oat cv. Genie was observed to have little or no visual discolouration across all pathogen treatments in the 2017 field trial. However, the PCR assay detected the DNA of all pathogens in the base of cv. Genie stems. Furthermore, F. culmorum had a higher incidence of DNA amplified on cv. Genie followed by F. pseudograminearum compared to the other strains, suggesting that greater levels of F. culmorum colonisation are occurring in cv. Genie then expressed disease symptoms. Thus, oat is not recommended for crop rotation as it may host crown rot and common root rot pathogens and escalate the pathogen population in the field. This requires further investigation using qPCR assays to identify the fungal biomass in oat cultivars.
The symptoms of crown rot pathogens might differ in the same field on the same host [8,13]. Initially, the brown discolouration that is associated with crown rot manifests as small necrotic lesions on the coleoptile tissue which is followed by brown discolouration on the SCI and the first leaf sheaths. The discolouration then develops on the base of the first internode of the stem tissue [1,8,16]. In our study, across harvest time, the brown discolouration was observed mostly to start at the base of the stem, with lesions progressing into higher internodes. However, in some cases, at flowering, the discolouration had only developed on the second internode in both years. Knight and Sutherland [52] indicated that the fungal invasion of internodes above ground level could occur via stomata, with penetration hyphae growing across from the infected subtending leaf sheaths in close contact with the stem. This may indicate that while the fungus colonised on the first leaf sheath tissue, penetration hyphae did not invade the second or the third leaf sheath tissue until late in the development of the plant more likely after or during stem extension.
An increase in the plant dry weight was observed from tillering to maturity for the cultivars tested when inoculated with F. pseudograminearum and F. culmorum strains in the 2016 trial compared to the non-inoculated control. This may be due to higher stem numbers observed at flowering and maturity in F. pseudograminearum and F. culmorum inoculated treatments compared to the non-inoculated controls. In the 2017 trial, the increase in plant dry weight was observed but rather F. pseudograminearum had an overall negative effect on all cultivars tested compared to the non-inoculated control. This result is in line with Saad et al. [29] who found that there was a decrease in the plant dry weight in seedlings across the cultivars tested when infected with F. pseudograminearum, F. culmorum, and F. graminearum. Further research is needed to examine the impact of crown rot and common root rot pathogens on the physiological response of the host at different stages of growth.
A higher than expected incidence of visual discolouration was detected in the non-inoculated control treatments in both years. The pre-sowing Predicta-B results indicated that there was no evidence of any of the crown rot nor common root rot pathogens or any other soilborne pathogens such as take-all (Gaeumannomyces graminis) in the paddock for both years. Furthermore, Fusarium species and B. sorokiniana DNA were not detected on the sub-sample of control plots for both years. The low levels of visual discolouration that were detected on the non-inoculated plants (1 to 5%) could be due to physiological or other biological impacts, which cause brown discolouration similar to the disease.

5. Conclusions

In conclusion, this research has shown significant variation in the visual discolouration caused by three crown rot pathogens and B. sorokiniana across a single cultivar each of five winter cereals in two field trials over two years. Fusarium pseudograminearum caused the most visual discolouration on the stem and SCI followed by F. culmorum. Furthermore, F. pseudograminearum resulted in the greatest reduction in plant height compared to the other treatments. Low levels of visual discolouration were observed on stems and SCI’s of all treatments inoculated with F. graminearum compared to other pathogens. This suggests that these strains of these pathogens do not play an important role in causing crown rot or common root rot in the field. Bipolaris sorokiniana was observed to have a relatively low level of visual discolouration on the stem and SCI’s of hosts compared to F. pseudograminearum and F. culmorum. This was unexpected as B. sorokiniana usually causes significant lesioning and visual discolouration of the sub-crown area of the host, particularly bread wheat and barley. The isolates used in this may have low aggressiveness and requires further investigation for pathogenicity across winter cereals. Significant differences were detected across pathogen infection within the crop species. Cultivars Hyperno and Grimmett had the highest level of visual discolouration on stems and SCI’s infected with F. pseudograminearum and then F. culmorum, while Genie observed the least discolouration across the pathogens compared to the other crops. The complicated nature of the pathogen × strain × cultivar × environment interaction further highlights the difficulty in breeding for crown rot and common root rot resistance in winter cereals. Understanding the disease-causing capability of each pathogen across a variety of hosts will lead to a better understanding of the potential host–pathogen interactions which will, in turn, inform management and breeding strategies and the search for resistance in these different cereal species.

Supplementary Materials

The following supporting information can be downloaded at: https://www.mdpi.com/article/10.3390/agronomy12102571/s1, Figure S1: Average percentage of incidence of discoloured stems per plant between pathogen within a cultivar and harvest time interaction in 2016 (a) and 2017 (b). Different letters represent significant differences between pathogens within a cultivar and harvest time at α < 0.05. Treatments include Fusarium pseudograminearum strains (Fp), F. culmorum (Fc), F. graminearum (Fg), Bipolaris sorokiniana (Bs), and one non-inoculated control for each host. Figure S2: Average value of plant dry weight for the pathogen within harvest time interaction in 2016. Treatments include Fusarium pseudograminearum (Fp), F. culmorum (Fc), F. graminearum (Fg), Bipolaris sorokiniana (Bs) and non-inoculated control for each host. Different letters represent significant differences between pathogens within harvest time at α < 0.05. Figure S3 Average value of plant dry weight for each pathogen effect for 2017. Treatments include Fusarium pseudograminearum (Fp), F. culmorum (Fc), F. graminearum (Fg), Bipolaris sorokiniana (Bs) and Stem number. Figure S4: Average value of plant dry weight for cultivar at each harvest time for 2017. Different letters represent significant differences between cultivars and harvest time at α < 0.05. Figure S5. Average value of stem number for pathogens and strains at different harvest times for 2016. Treatments include Fusarium pseudograminearum (Fp), F. culmorum (Fc), F. graminearum (Fg), Bipolaris sorokiniana (Bs) and one non-inoculated control for each host. Different letters represent significant differences between pathogens within harvest time at α < 0.05. Figure S6. Average value of stem number for pathogens by cultivars interaction for 2017. Treatments include Fusarium pseudograminearum (Fp), F. culmorum (Fc), F. graminearum (Fg), Bipolaris sorokiniana (Bs) and one non-inoculated control for each host. Different letters represent significant differences between pathogens within cultivars at α < 0.05. Figure S7. Average value of plant height for each pathogen effect across the cultivars for 2016 (a) and 2017 (b). Treatments include Fusarium pseudograminearum strains (Fp), F. culmorum (Fc), F. graminearum (Fg), Bipolaris sorokiniana (Bs) and one non-inoculated control. Different letters represent significant differences between pathogens at α < 0.05. Figure S8: Average value of plant height for cultivar at each harvest time for 2016 (a) and 2017 (b). Different letters represent significant differences between cultivars within harvest time at α < 0.05. Table S1: Monthly rainfall (mm) for 2016 and 2017 Toowoomba Airport station http://www.bom.gov.au/climate/data. accessed on 28 August 2019. Station Number: 041529; State: QLD; Opened: 1996; Latitude: 27.54° S; Longitude: 151.91° E; Elevation: 641 m. (The total amount of the monthly rainfall of the growing season is indicated in bold). Table S2: ANOVA table for analysis discoloured stems per plant (incidence of discoloured stems) of five winter cereals colonised by the four crown rot and common root rot pathogens in the 2016 field trial. Mean separations were described using α <0.05. Table S3: ANOVA table for analysis discoloured stems per plant (incidence of discoloured stems) of five winter cereals colonised by the four crown rot and common root rot pathogens in the 2017 field trial. Mean separations were described using α < 0.05. Table S4: ANOVA table for analysis of disease severity on the stems ratings of five winter cereals colonised by the four crown rot and common root rot pathogens in the 2016 field trial. Mean separations were described using α <0.05. Table S5: ANOVA table for analysis of disease severity on the stems ratings of five winter cereals colonised by the four crown rot and common root rot pathogens in the 2017 field trial. Mean separations were described using α < 0.05. Table S6: ANOVA table for analysis of sub-crown internode rating of five winter cereals colonised by the four crown rot and common root rot pathogens in the 2016 field trial. Mean separations of α < 0.05. Table S7: ANOVA table for analysis of sub-crown internode rating of five winter cereals colonised by the four crown rot and common root rot pathogens in the 2017 field trial. Mean separations of α < 0.05. Table S8: ANOVA table for analysis of plant dry weight of five winter cereals colonised by the four crown rot and common root rot pathogens in the 2016 field trial. Mean separations of α < 0.05. Table S9: ANOVA table for analysis of plant dry weight of five winter cereals colonised by the four crown rot and common root rot pathogens in the 2017 field trial. Mean separations of α <0.05. Table S10: ANOVA table for analysis of stem number of five winter cereals colonised by the four crown rot and common root rot pathogens in the 2016 field trial. Mean separations of α < 0.05. Table S11: ANOVA table for analysis of stem number of five winter cereals colonised by the four crown rot and common root rot pathogens in the 2017 field trial. Mean separations of α < 0.05. Table S12: ANOVA table for analysis of plant height of five winter cereals colonised by the four crown rot and common root rot pathogens in the 2016 field trial. Mean separations of α < 0.05. Table S13: ANOVA table for analysis of plant height of five winter cereals colonised by the four crown rot and common root rot pathogens in the 2017 field trial. Mean separations of α <0.05. Table S14: Comparison of disease incidence (%) and DNA detection frequency (%) (in bold) of Bipolaris sorokiniana (Bs), Fusarium culmorum (Fc), F. graminearum (Fg), F. pseudograminearum (Fp) and non-inoculated control treatments (n = 15 for each of the four inoculation treatments and one non-inoculated control). Table S15: Comparison of average visual discolouration (VD) and DNA detection frequency of Bipolaris sorokiniana (Bs), Fusarium culmorum (Fc), F. graminearum (Fg), F. pseudograminearum (Fp) and non-inoculated control treatments (%) (n = 10 to 15 for each cultivar by inoculum combination).

Author Contributions

A.S. and C.P. conceived the work, contributed to the concept, design, and data collection. B.M. contributed to the design and statistical analysis of the data. A.S. wrote the manuscript. A.S., C.P., A.M., B.M. and N.L.K. contributed to the preparation and revision of the manuscript. All authors have read and agreed to the published version of the manuscript.

Funding

The first author was supported by a University of Southern Queensland Postgraduate Research Scholarship and the Australian Government Research Training Program Scholarship.

Data Availability Statement

Data supporting reported results is available upon request from the corresponding author.

Acknowledgments

The authors would like to thank their colleagues from the Centre for Crop Health; in particular, Tina Sarmon and Prue Bottomley for their technical assistance in field trials. The authors would like to thank the farm staff at the Leslie Research Facility—Department of Agriculture and Fisheries (LRF-DAF-Qld), Toowoomba, Australia for their assistance in the planting of field trials. The authors would like to thank David Backhouse from the University of New England for providing F. culmorum strains.

Conflicts of Interest

The authors declare no conflict of interest.

References

  1. Kazan, K.; Gardiner, D.M. Fusarium crown rot caused by Fusarium pseudograminearum in cereal crops: Recent progress and future prospects. Mol. Plant Pathol. 2018, 19, 1547–1562. [Google Scholar] [CrossRef] [PubMed]
  2. Kumar, J.; Schäfer, P.; Hückelhoven, R.; Langen, G.; Baltruschat, H.; Stein, E.; Nagarajan, S.; Kogel, K.-H. Bipolaris sorokiniana, a cereal pathogen of global concern: Cytological and molecular approaches towards better control. Mol. Plant Pathol. 2002, 3, 185–195. [Google Scholar] [CrossRef] [PubMed]
  3. Murray, G.; Brennan, J. Estimating disease losses to the Australian barley industry. Australas. Plant Pathol. 2010, 39, 85–96. [Google Scholar] [CrossRef]
  4. Murray, G.M.; Brennan, J.P. Estimating disease losses to the Australian wheat industry. Australas. Plant Pathol. 2009, 38, 558–570. [Google Scholar] [CrossRef]
  5. Wearing, A.; Burgess, L. Distribution of Fusarium roseumGraminearum’ group 1 and its mode of survival in eastern Australian wheat belt soils. Trans. Br. Mycol. Soc. 1977, 69, 429–442. [Google Scholar] [CrossRef]
  6. Backhouse, D.; Abubakar, A.; Burgess, L.; Dennis, J.; Hollaway, G.; Wildermuth, G.; Wallwork, H.; Henry, F. Survey of Fusarium species associated with crown rot of wheat and barley in eastern Australia. Australas. Plant Pathol. 2004, 33, 250–261. [Google Scholar] [CrossRef]
  7. Dyer, A.T.; Johnston, R.H.; Hogg, A.C.; Johnston, J.A. Comparison of pathogenicity of the Fusarium crown rot (FCR) complex (F. culmorum, F. pseudograminearum and F. graminearum) on hard red spring and durum wheat. Eur. J. Plant Pathol. 2009, 125, 387–395. [Google Scholar] [CrossRef]
  8. Burgess, L.W.; Backhouse, D.; Summerell, B.A.; Swan, L.J. Crown Rot of Wheat. In Fusarium: Paul E. Nelson Memorial Symposium; Summerell, B.A., Leslie, J.F., Backhouse, D., Nryden, W.L., Burguess, L., Eds.; American Phytopathological Society: St. Paul, MN, USA, 2001; pp. 271–294. [Google Scholar]
  9. Backhouse, D.; Burgess, L. Climatic analysis of the distribution of Fusarium graminearum, F. pseudograminearum and F. culmorum on cereals in Australia. Australas. Plant Pathol. 2002, 31, 321–327. [Google Scholar] [CrossRef]
  10. Obanor, F.; Chakraborty, S. Aetiology and toxigenicity of Fusarium graminearum and F. pseudograminearum causing crown rot and head blight in Australia under natural and artificial infection. Plant Pathol. 2014, 63, 1218–1229. [Google Scholar] [CrossRef]
  11. Akinsanmi, O.A.; Mitter, V.; Simpfendorfer, S.; Backhouse, D.; Chakraborty, S. Identity and pathogenicity of Fusarium spp. isolated from wheat fields in Queensland and northern New South Wales. Aust. J. Agric. Res. 2004, 55, 97–107. [Google Scholar] [CrossRef]
  12. Purss, G. Resistance to common root rot (Cochliobolus sativus) in wheat in Queensland. Aust. J. Exp. Agric. 1970, 10, 497–501. [Google Scholar] [CrossRef]
  13. Wildermuth, G. Geographic distribution of common root rot and Bipolaris sorokiniana in Queensland wheat soils. Aust. J. Exp. Agric. 1986, 26, 601–606. [Google Scholar] [CrossRef]
  14. Hill, J.; Blunt, D. Wheat seedling response to root infection by Cochliobolus sativus and Fusarium acuminatum. Plant Dis. 1994, 78, 1150–1152. [Google Scholar] [CrossRef]
  15. Wildermuth, G.; Tinline, R.; McNamara, R. Assessment of yield loss caused by common root rot in wheat cultivars in Queensland. Aust. J. Agric. Res. 1992, 43, 43–58. [Google Scholar] [CrossRef]
  16. Burrage, R.; Tinline, R. Common root rot and plant development following treatments of wheat seed with aldrin, gamma BHC, and heptachlor, with and without mercury fungicides. Can. J. Plant Sci. 1960, 40, 672–679. [Google Scholar] [CrossRef]
  17. Yi, Y.; Shan, Y.; Liu, S.; Yang, Y.; Liu, Y.; Yin, Y.; Hou, Z.; Luan, P.; Li, R. Antagonistic strain Bacillus amyloliquefaciens XZ34-1 for controlling Bipolaris sorokiniana and promoting growth in wheat. Pathogens 2021, 10, 1526. [Google Scholar] [CrossRef]
  18. Percy, C.D.; Wildermuth, G.B.; Sutherland, M.W. Symptom development proceeds at different rates in susceptible and partially resistant cereal seedlings infected with Fusarium pseudograminearum. Australas. Plant Pathol. 2012, 41, 621–631. [Google Scholar] [CrossRef]
  19. Knight, N.L.; Macdonald, B.; Percy, C.; Sutherland, M.W. Disease responses of hexaploid spring wheat (Triticum aestivum) culms exhibiting premature senescence (dead heads) associated with Fusarium pseudograminearum crown rot. Eur. J. Plant Pathol. 2021, 159, 191–202. [Google Scholar] [CrossRef]
  20. Tunali, B.; Nicol, J.M.; Hodson, D.; Uckun, Z.; Büyük, O.; Erdurmuş, D.; Hekimhan, H.; Aktaş, H.; Akbudak, M.A.; Bağci, S.A. Root and crown rot fungi associated with spring, facultative, and winter wheat in Turkey. Plant Dis. 2008, 92, 1299–1306. [Google Scholar] [CrossRef]
  21. Wildermuth, G.; McNamara, R. Testing wheat seedlings for resistance to crown rot caused by Fusarium graminearum group 1. Plant Dis. 1994, 78, 949–953. [Google Scholar] [CrossRef]
  22. Wildermuth, G.; McNamara, R. Effect of cropping history on soil populations of Bipolaris sorokiniana and common root rot of wheat. Aust. J. Agric. Res. 1991, 42, 779–790. [Google Scholar] [CrossRef]
  23. Paterson, A.H.; Freeling, M.; Sasaki, T. Grains of knowledge: Genomics of model cereals. Genome Res. 2005, 15, 1643–1650. [Google Scholar] [CrossRef] [PubMed]
  24. Kelly, A.; Macdonald, B.; Percy, C.; Davies, P. An improved method for selection of wheat genotypes for tolerance to crown rot caused by Fusarium pseudograminearum. J. Phytopathol. 2021, 169, 339–349. [Google Scholar] [CrossRef]
  25. Lush, D.; Forknall, C.; Neate, S.; Sheedy, J. 2018 Wheat Varieties Queensland; The Queensland Department of Agriculture and Fisheries and the Grains Research and Development Corporation (GDRC): Barton, Australia, 2018; p. 20. [Google Scholar]
  26. Kunesch, C.Z.; Trainor, G.; Shackley, B.; Curry, J.; Nicol, D.; Shankar, M.; Huberli, D.; Thomas, G.; Dhammu, H. 2018 Wheat Variety Sowing Guide for Western Australia; Department of Primary Industries and Regional Development: Perth, Australia, 2017. [Google Scholar]
  27. Sturgess, J. Barley—Planting and Disease Guide 2014 Queensland and NNSW; The State of Queensland, Department of Agriculture Fisheries and Forestry, AgriScience Queensland: Brisbane, Australia, 2014; p. 10. [Google Scholar]
  28. Knight, N.L.; Sutherland, M.W. Assessment of Fusarium pseudograminearum and F. culmorum biomass in seedlings of potential host cereal species. Plant Dis. 2017, 101, 2116–2122. [Google Scholar] [CrossRef] [PubMed]
  29. Saad, A.; Macdonald, B.; Martin, A.; Knight, N.L.; Percy, C. Comparison of disease severity caused by four soil-borne pathogens in winter cereal seedlings. Crop Pasture Sci. 2021, 72, 325–334. [Google Scholar] [CrossRef]
  30. Wallwork, H.; Butt, M.; Cheong, J.; Williams, K. Resistance to crown rot in wheat identified through an improved method for screening adult plants. Australas. Plant Pathol. 2004, 33, 1–7. [Google Scholar] [CrossRef]
  31. Brown, S. 2021 Victorian Crop Sowing Guide; Grains Research and Development Corporation (GRDC): Barton, Australia, 2020; p. 96. [Google Scholar]
  32. GRDC. 2022 Queensland Winter Crop Sowing Guide; Grains Research and Development Corporation (GRDC): Barton, Australia, 2021. [Google Scholar]
  33. AlbatrossRuralConsulting. 2020 Queensland Winter Crop Sowing Guide; Grains Research and Development Corporation (GRDC): Barton, Australia, 2019; pp. 1–23. [Google Scholar]
  34. Nelson, K.; Burgess, L. Reaction of Australian cultivars of oats and barley to infection by Fusarium graminearum group 1. Aust. J. Exp. Agric. 1994, 34, 655–658. [Google Scholar] [CrossRef]
  35. Collins, S.; Wilkinson, C.; Hüberli, D. Oats, Pastures and Other Legumes—Are Rotations Offering Breaks for Root Lesion Nematodes or Crown Rot? GRDC: Barton, Australia, 2018. [Google Scholar]
  36. Wildermuth, G.; Thomas, G.; Radford, B.; McNamara, R.; Kelly, A. Crown rot and common root rot in wheat grown under different tillage and stubble treatments in southern Queensland, Australia. Soil Tillage Res. 1997, 44, 211–224. [Google Scholar] [CrossRef]
  37. Burgess, L.; Backhouse, D.; Swan, L.; Esdaile, R. Control of Fusarium crown rot of wheat by late stubble burning and rotation with sorghum. Australas. Plant Pathol. 1996, 25, 229–233. [Google Scholar] [CrossRef]
  38. Hollaway, G.; Evans, M.; Wallwork, H.; Dyson, C.; McKay, A. Yield loss in cereals, caused by Fusarium culmorum and F. pseudograminearum, is related to fungal DNA in soil prior to planting, rainfall, and cereal type. Plant Dis. 2013, 97, 977–982. [Google Scholar] [CrossRef]
  39. Gautam, H.; Bhardwaj, M.; Kumar, R. Climate change and its impact on plant diseases. Curr. Sci. 2013, 105, 1685–1691. [Google Scholar]
  40. Thompson, C.; Beckmann, G.G. Soils and Land Use in the Toowoomba Area, Darling Downs, Queensland; Division of Soils, Commonwealth Scientific and Industrial Research Organization: Canberra, Australia, 1959. [Google Scholar]
  41. Patterson, H.D.; Thompson, R. Recovery of inter-block information when block sizes are unequal. Biometrika 1971, 58, 545–554. [Google Scholar] [CrossRef]
  42. Butler, D.; Cullis, B.R.; Gilmour, A.; Gogel, B. ASReml-R Reference Manual; The State of Queensland, Department of Primary Industries and Fisheries: Brisbane, Australia, 2009. [Google Scholar]
  43. R Core Team. R: A Language and Environment for Statistical Computing; R Foundation for Statistical Computing: Vienna, Austria, 2016. [Google Scholar]
  44. Knight, N.L.; Sutherland, M.W.; Martin, A.; Herde, D.J. Assessment of infection by Fusarium pseudograminearum in wheat seedling tissues using quantitative PCR and a visual discoloration scale. Plant Dis. 2012, 96, 1661–1669. [Google Scholar] [CrossRef]
  45. Nicholson, P.; Simpson, D.; Weston, G.; Rezanoor, H.; Lees, A.; Parry, D.; Joyce, D. Detection and quantification of Fusarium culmorum and Fusarium graminearum in cereals using PCR assays. Physiol. Mol. Plant Pathol. 1998, 53, 17–37. [Google Scholar] [CrossRef]
  46. Horne, M. Inter-Relationships between Bipolaris sorokiniana Isolates Involved in Spot Blotch, Common Root Rot and Black Point in Winter Cereals; University of Southern Queensland: Toowoomba, Australia, 2015. [Google Scholar]
  47. Li, J.; Xu, X.; Ma, Y.; Sun, Q.; Xie, C.; Ma, J. An improved inoculation method to detect wheat and barley genotypes for resistance to Fusarium crown rot. Plant Dis. 2022, 106, 1122–1127. [Google Scholar] [CrossRef]
  48. Smiley, R.W.; Yan, H. Variability of Fusarium crown rot tolerances among cultivars of spring and winter wheat. Plant Dis. 2009, 93, 954–961. [Google Scholar] [CrossRef]
  49. Knight, N.L.; Macdonald, B.; Sutherland, M.W. Colonization of durum wheat (Triticum turgidum L. var. durum) culms exhibiting premature senescence (dead heads) associated with Fusarium pseudograminearum crown rot. Plant Dis. 2017, 101, 1788–1794. [Google Scholar] [CrossRef]
  50. Yang, X.; Ma, J.; Li, H.; Ma, H.; Yao, J.; Liu, C. Different genes can be responsible for crown rot resistance at different developmental stages of wheat and barley. Eur. J. Plant Pathol. 2010, 128, 495–502. [Google Scholar] [CrossRef]
  51. Klein, T.; Burgess, L.; Ellison, F. The incidence of crown rot in wheat, barley and triticale when sown on two dates. Aust. J. Exp. Agric. 1989, 29, 559–563. [Google Scholar] [CrossRef]
  52. Knight, N.L.; Sutherland, M.W. Histopathological assessment of Fusarium pseudograminearum colonization of cereal culms during crown rot infections. Plant Dis. 2016, 100, 252–259. [Google Scholar] [CrossRef]
Figure 1. Disease symptoms and discolouration observed on bread wheat stems (basal 15 cm) using 0 to 100% scale where 0 = no discolouration and 100 = completely discoloured tissue. This is representative of symptoms observed on barley, bread wheat, durum wheat, and oat.
Figure 1. Disease symptoms and discolouration observed on bread wheat stems (basal 15 cm) using 0 to 100% scale where 0 = no discolouration and 100 = completely discoloured tissue. This is representative of symptoms observed on barley, bread wheat, durum wheat, and oat.
Agronomy 12 02571 g001
Figure 2. Average percentage of visual discolouration on the stems of each cultivar infected with two strains of each pathogen at flowering and maturity in the 2016 field trial (pathogen and strain within a cultivar and harvest times interaction) (a), and pathogen (combined strains) within a cultivar and harvest times interaction (b) in 2017. Different letters indicate significant differences between pathogens and strains within a cultivar and harvest time (a) and between pathogens within a cultivar and harvest time (b) at α < 0.05. Treatments include Fusarium pseudograminearum (Fp1 and Fp2), F. culmorum (Fc1 and Fc2), F. graminearum (Fg1 and Fg2), Bipolaris sorokiniana (Bs1 and Bs2) and one non-inoculated control for each host. × = data sets excluded from the analysis due to storage damage to the plant.
Figure 2. Average percentage of visual discolouration on the stems of each cultivar infected with two strains of each pathogen at flowering and maturity in the 2016 field trial (pathogen and strain within a cultivar and harvest times interaction) (a), and pathogen (combined strains) within a cultivar and harvest times interaction (b) in 2017. Different letters indicate significant differences between pathogens and strains within a cultivar and harvest time (a) and between pathogens within a cultivar and harvest time (b) at α < 0.05. Treatments include Fusarium pseudograminearum (Fp1 and Fp2), F. culmorum (Fc1 and Fc2), F. graminearum (Fg1 and Fg2), Bipolaris sorokiniana (Bs1 and Bs2) and one non-inoculated control for each host. × = data sets excluded from the analysis due to storage damage to the plant.
Agronomy 12 02571 g002
Figure 3. Average visual discolouration on the stems of each cultivar infected with each pathogen in the 2016 field trial (cultivar × strain × pathogen × harvest time interaction) (a) and the 2017 field trial (cultivar × pathogen × harvest time interaction) (b). Different letters indicate significant differences between cultivars and strains within a pathogen and harvest time (a) and between cultivars within a pathogen and harvest time (b) at α < 0.05. Treatments include Fusarium pseudograminearum strains (Fp), F. culmorum (Fc), F. graminearum (Fg), Bipolaris sorokiniana (Bs), and one non-inoculated control for each host. × = data sets excluded from the analysis due to storage damage to the plant.
Figure 3. Average visual discolouration on the stems of each cultivar infected with each pathogen in the 2016 field trial (cultivar × strain × pathogen × harvest time interaction) (a) and the 2017 field trial (cultivar × pathogen × harvest time interaction) (b). Different letters indicate significant differences between cultivars and strains within a pathogen and harvest time (a) and between cultivars within a pathogen and harvest time (b) at α < 0.05. Treatments include Fusarium pseudograminearum strains (Fp), F. culmorum (Fc), F. graminearum (Fg), Bipolaris sorokiniana (Bs), and one non-inoculated control for each host. × = data sets excluded from the analysis due to storage damage to the plant.
Agronomy 12 02571 g003
Figure 4. Average percentage of sub-crown internode (SCI) visual discolouration between pathogens within a cultivar interaction for 2016 (a) and 2017 (b) experiments. Different letters represent significant differences between pathogens within a cultivar at α < 0.05. Treatments include Fusarium pseudograminearum (Fp), F. culmorum (Fc), F. graminearum (Fg), Bipolaris sorokiniana (Bs) and one non-inoculated control for each host.
Figure 4. Average percentage of sub-crown internode (SCI) visual discolouration between pathogens within a cultivar interaction for 2016 (a) and 2017 (b) experiments. Different letters represent significant differences between pathogens within a cultivar at α < 0.05. Treatments include Fusarium pseudograminearum (Fp), F. culmorum (Fc), F. graminearum (Fg), Bipolaris sorokiniana (Bs) and one non-inoculated control for each host.
Agronomy 12 02571 g004
Publisher’s Note: MDPI stays neutral with regard to jurisdictional claims in published maps and institutional affiliations.

Share and Cite

MDPI and ACS Style

Saad, A.; Macdonald, B.; Martin, A.; Knight, N.L.; Percy, C. Winter Cereal Reactions to Common Root Rot and Crown Rot Pathogens in the Field. Agronomy 2022, 12, 2571. https://doi.org/10.3390/agronomy12102571

AMA Style

Saad A, Macdonald B, Martin A, Knight NL, Percy C. Winter Cereal Reactions to Common Root Rot and Crown Rot Pathogens in the Field. Agronomy. 2022; 12(10):2571. https://doi.org/10.3390/agronomy12102571

Chicago/Turabian Style

Saad, Ahmed, Bethany Macdonald, Anke Martin, Noel L. Knight, and Cassandra Percy. 2022. "Winter Cereal Reactions to Common Root Rot and Crown Rot Pathogens in the Field" Agronomy 12, no. 10: 2571. https://doi.org/10.3390/agronomy12102571

APA Style

Saad, A., Macdonald, B., Martin, A., Knight, N. L., & Percy, C. (2022). Winter Cereal Reactions to Common Root Rot and Crown Rot Pathogens in the Field. Agronomy, 12(10), 2571. https://doi.org/10.3390/agronomy12102571

Note that from the first issue of 2016, this journal uses article numbers instead of page numbers. See further details here.

Article Metrics

Back to TopTop