Designing Integrated Systems for the Low Rainfall Zone Based on Grazed Forage Shrubs with a Managed Interrow
Abstract
:1. Introduction
2. Materials and Methods
2.1. Overview
2.2. Simulating Grazing of Saltbush Systems with Interrow Plants
- Daily intake of saltbush was additional to interrow and selected as Figure 3;
- Animals consumed feed according to daily energy maintenance requirements;
- Potential animal intake was determined by daily animal energy requirements related to the live bodyweight of the animal [22];
- The sheep were accustomed and willing to graze the saltbush [23].
2.3. Systems Scenarios
2.4. Assessing Forage Shrub Systems with Interrow
2.4.1. Locations—Climate and Soils
2.4.2. Plant Species in the Interrow
Shrub-Row Spacing
2.4.3. Timing of Grazing
2.5. Data Analysis
3. Results
3.1. System Simulation Demonstration
3.2. Designing Farming Systems Based on Forage Shrubs
3.2.1. Different Interrow Plant Options
Supplementary Feed Requirements
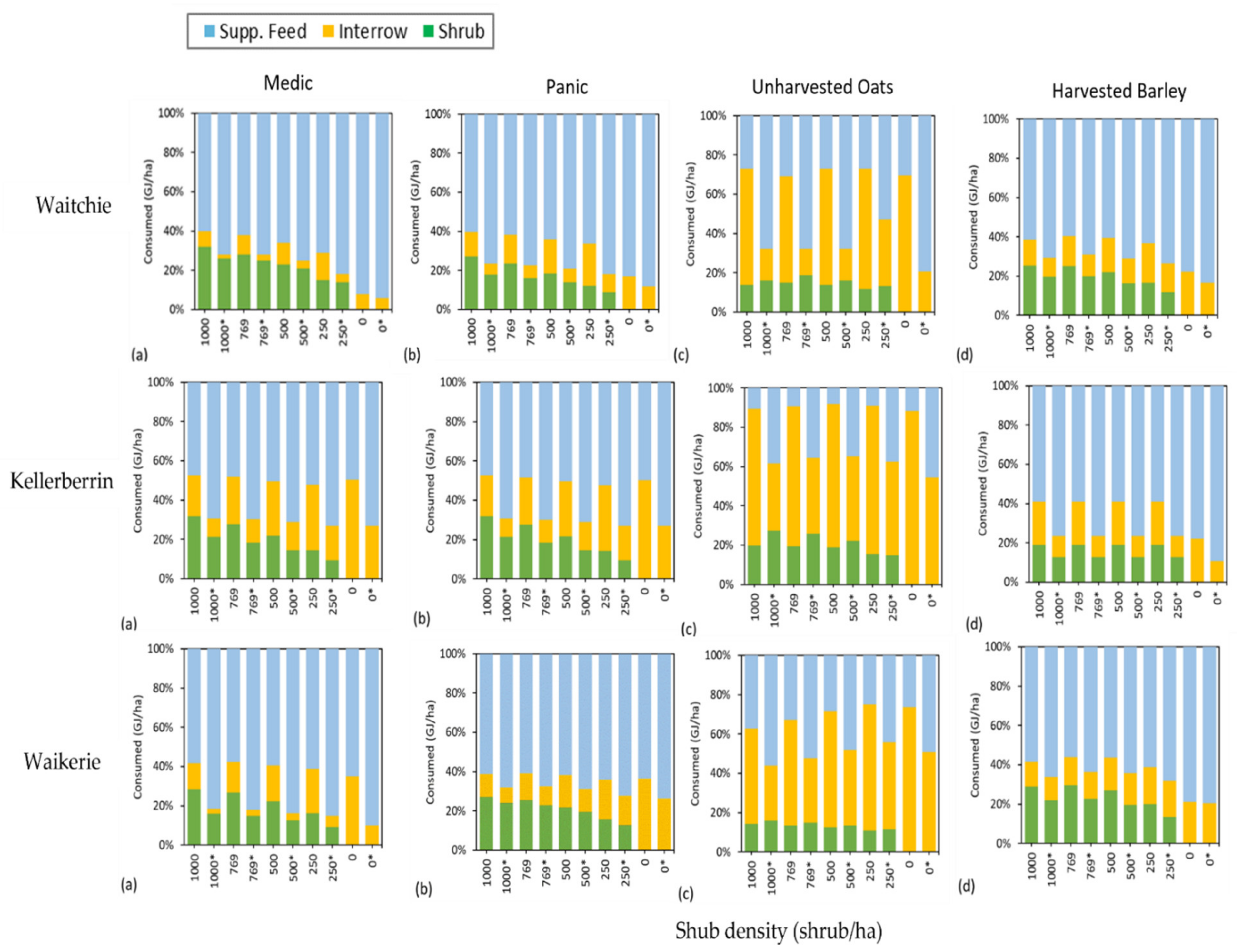
3.2.2. Varying Plantation Shrub Density
3.2.3. Different Grazing Regimes
4. Discussion
4.1. Interrow Plant Options
4.2. Decision Support for Farming Systems Design
4.3. Modelling Integrated Forage Systems
5. Conclusions
Supplementary Materials
Author Contributions
Funding
Institutional Review Board Statement
Informed Consent Statement
Data Availability Statement
Acknowledgments
Conflicts of Interest
Appendix A. Interrow Plant Properties
| Green | Dry | Litter/Dead | ||||
|---|---|---|---|---|---|---|
| Leaf | Stem | Leaf | Stem | Leaf | Stem | |
| Medic | 75 | 65 | 50 | 40 | 40 | |
| Panic | 65 | 55 | 50 | 40 | 40 | |
| Winter Weed | 70 | 60 | 40 | 30 | 30 | |
| Oats | - | - | 40 | 25 | 40 | 25 |
| Barley | - | - | 40 | 25 | 40 | 25 |
Appendix B. Soil Properties
| Description | PAWC | Root Depth | Test | Depth (mm) | ||||||
|---|---|---|---|---|---|---|---|---|---|---|
| (APSoil #) | (mm/m) | (cm) | 10 | 20 | 40 | 60 | 80 | 110 | 140 | |
| Waikerie | 54 | 80 | BD | 1.53 | 1.68 | 1.64 | 1.59 | 1.66 | 1.65 | 1.61 |
| (No. 360) | DUL | 0.08 | 0.07 | 0.09 | 0.10 | 0.17 | 0.21 | 0.19 | ||
| LL | 0.02 | 0.03 | 0.04 | 0.05 | 0.07 | 0.14 | 0.14 | |||
| EC | 0.1 | 0.1 | 0.1 | 0.2 | 0.4 | 0.4 | 0.4 | |||
| pH | 7.2 | 8.5 | 8.3 | 8.4 | 8.6 | 8.6 | 8.6 | |||
| Bo | 2 | 1.9 | 2.5 | 3.7 | 6.8 | 17 | 17 | |||
| OC | 0.61 | 0.34 | 0.23 | 0.11 | 0.04 | 0.03 | 0.03 | |||
| Waitchie | 119 | 100 | BD | 1.25 | 1.25 | 1.31 | 1.31 | 1.31 | ||
| (No 718) | DUL | 0.33 | 0.3 | 0.31 | 0.37 | 0.37 | ||||
| LL | 0.12 | 0.12 | 0.12 | 0.12 | 0.12 | |||||
| EC | 0.1 | 0.1 | 0.2 | 0.3 | 1.3 | |||||
| pH | 8.4 | 8.7 | 8.7 | 9 | 8.3 | |||||
| Bo | 1.2 | 1.1 | 1.5 | 3.2 | 7.1 | |||||
| OC | 0.77 | 0.62 | 0.38 | 0.19 | 0.12 | |||||
| Kellerberrin | 92 | 110 | BD | 1.7 | 1.6 | 1.6 | 1.5 | 1.5 | 1.4 | 1.4 |
| (No 406) | DUL | 0.14 | 0.14 | 0.16 | 0.20 | 0.21 | 0.21 | 0.21 | ||
| LL | 0.07 | 0.07 | 0.07 | 0.12 | 0.12 | 0.12 | 0.12 | |||
| EC | − | − | − | − | − | − | − | |||
| pH | 6.1 | 5.8 | 6.5 | 7.2 | 7.8 | 8.3 | 8.4 | |||
| Bo | − | − | − | − | − | − | − | |||
| OC | 0.57 | 0.3 | 0.2 | 0.14 | 0.12 | 0.1 | 0.1 | |||
References
- Moore, A.D.; Bell, L.W.; Revell, D.K. Feed gaps in mixed-farming systems: Insights from the Grain & Graze program. Anim. Prod. Sci. 2009, 49, 736–748. [Google Scholar]
- Le Houerou, H.N. Utilization of fodder trees and shrubs in the arid and semiarid zones of West Asia and North Africa. Arid Soil Res. Rehabil. 2000, 14, 101–135. [Google Scholar] [CrossRef]
- Nefzaoui, A. The integration of fodder shrubs and cactus in the feeding of small ruminants in the arid zones of north Africa. In Livestock Feed Resources within Integrated Farming Systems; FAO: Rome, Italy, 1996; pp. 467–483. [Google Scholar]
- El Shaer, H.M. Adaptation to climate change in desertified lands of the marginal regions in Egypt through sustainable crop and livestock diversification systems. Sci. Cold Arid Reg. 2015, 7, 16–22. [Google Scholar]
- Ben Salem, H.; Norman, H.C.; Nefzaoui, A.; Mayberry, D.E.; Pearce, K.L.; Revell, D.K. Potential use of oldman saltbush (Atriplex nummularia Lindl.) in sheep and goat feeding. Small Rumin. Res. 2010, 91, 13–28. [Google Scholar] [CrossRef]
- Abu-Zanat, M.W.; Ruyle, G.B.; Abdel-Hamid, N.F. Increasing range production from fodder shrubs in low rainfall areas. J. Arid Environ. 2004, 59, 205–216. [Google Scholar] [CrossRef]
- Monjardino, M.; Revell, D.; Pannell, D.J. The potential contribution of forage shrubs to economic returns and environmental management in Australian dryland agricultural systems. Agric. Syst. 2010, 103, 187–197. [Google Scholar] [CrossRef]
- Thomas, D.T.; White, C.L.; Hardy, J.; Collins, J.P.; Ryder, A.; Norman, H.C. An on-farm evaluation of the capability of saline land for livestock production in southern Australia. Anim. Prod. Sci. 2009, 49, 79–83. [Google Scholar] [CrossRef]
- Mirza, S.N. Fodder Shrubs and Trees in Pakistan; International Center for Agricultural Research in the Dry Areas (ICARDA): Aleppo, Syria, 2000; pp. 153–177. [Google Scholar]
- Zucca, C.; Pulido-Fernandez, M.; Fava, F.; Dessena, L.; Mulas, M. Effects of restoration actions on soil and landscape functions: Atriplex nummularia L. plantations in Ouled Dlim (Central Morocco). Soil Tillage Res. 2013, 133, 101–110. [Google Scholar] [CrossRef]
- Papanastasis, V.P.; Yiakoulaki, M.D.; Decandia, M.; Dini-Papanastasi, O. Integrating woody species into livestock feeding in the Mediterranean areas of Europe. Anim. Feed Sci. Technol. 2008, 140, 1–17. [Google Scholar] [CrossRef]
- Mallee Sustainable Farming. Saltbush in the farming system. The farmer’s perspective. In Case Studies of Four Farmers Who Are Successfully Using Saltbush on Their Farms; Mallee Sustainable Farming: Mildura, VIC, Australia, 2014; p. 8. [Google Scholar]
- Rural Solutions. Strategic Practical Options for Intergrating Cropping and Livestock Systems: A Case by Case Study of 20 Successful Mixed Farming Enterprises in the South Australian Mallee; Primary Industries and Resources of South Australia: Murray Bridge, Australia, 2009. [Google Scholar]
- Abu-Zanat, M.M.W.; Titi, H.H.; Akash, M.W.; Al-Antary, T.M. Effect of planting forage shrubs and barley on attributes of natural vegetation in arid lands. Fresenius Environ. Bull. 2020, 29, 4777–4788. [Google Scholar]
- Gintzburger, G.; Bounejmate, M.; Nefzaoui, A. Fodder shrub development in arid and semi-arid zones. In Proceedings of the Workshop on Native and Exotic Fodder Shrubs in Arid and Semi-Arid Zones, Hammamet, Tunisia, 27 October–2 November 1996; p. 299. [Google Scholar]
- Descheemaeker, K.; Smith, A.P.; Robertson, M.J.; Whitbread, A.M.; Huth, N.I.; Davoren, W.; Emms, J.; Llewellyn, R. Simulation of water-limited growth of the forage shrub saltbush (Atriplex nummularia Lindl.) in a low-rainfall environment of southern Australia. Crop Pasture Sci. 2014, 65, 1068. [Google Scholar] [CrossRef]
- Holzworth, D.P.; Huth, N.I.; deVoil, P.G.; Zurcher, E.J.; Herrmann, N.I.; McLean, G.; Chenu, K.; van Oosterom, E.J.; Snow, V.; Murphy, C.; et al. APSIM-Evolution towards a new generation of agricultural systems simulation. Environ. Model. Softw. 2014, 62, 327–350. [Google Scholar] [CrossRef]
- Standing Committee on Agriculture. Feeding Standards for Australian Livestock: Ruminants; CSIRO Australia: East Melbourne, Australia, 1990; p. 256. [Google Scholar]
- Norman, H.C.; Wilmot, M.G.; Thomas, D.T.; Barrett-Lennard, E.G.; Masters, D.G. Sheep production, plant growth and nutritive value of a saltbush-based pasture system subject to rotational grazing or set stocking. Small Rumin. Res. 2010, 91, 103–109. [Google Scholar] [CrossRef]
- Fancote, C.R.; Norman, H.C.; Williams, I.H.; Masters, D.G. Cattle performed as well as sheep when grazing a river saltbush (Atriplex amnicola)-based pasture. Anim. Prod. Sci. 2009, 49, 998–1006. [Google Scholar] [CrossRef]
- Norman, H.C.; Revell, D.K.; Mayberry, D.E.; Rintoul, A.J.; Wilmot, M.G.; Masters, D.G. Comparison of in vivo organic matter digestion of native Australian shrubs by sheep to in vitro and in sacco predictions. Small Rumin. Res. 2010, 91, 69–80. [Google Scholar] [CrossRef]
- Freer, M.; Moore, A.D.; Donnelly, J.R. GRAZPLAN: Decision support systems for Australian grazing enterprises--II. The animal biology model for feed intake, production and reproduction and the GrazFeed DSS. Agric. Syst. 1997, 54, 77–126. [Google Scholar] [CrossRef]
- Future Farm Industries. Perennial Forage Shrubs Providing Profitable and Sustainable Grazing. In Key Practical Findings from the Enrich Project; Future Farm Industries CRC: Crawley, Australia, 2014; p. 45. [Google Scholar]
- Llewellyn, R.; Whitbread, A.; Lawes, R.; Raisbeck-Brown, N.; Hill, P. Fork in the road: Forage shrub plantings by crop-livestock farmers in a low rainfall region of southern Australia. In Proceedings of the Australian Agronomy Conference, Lincoln, New Zealand, 15–18 November 2010; p. 3. [Google Scholar]
- Norman, H.C.; Masters, D.; Silberstein, R.; Byrne, F. Achieving profitable and environmentally beneficial grazing systems for saline land in Australia. Options Mediterraneennes. Ser. A Semin. Mediterr. 2008, 79, 85–88. [Google Scholar]
- Barson, M.M.; Abraham, B.; Malcolm, C.V. Improving the productivity of saline discharge areas: An assessment of the potential use of saltbush in the Murray-Darling Basin. Aust. J. Exp. Agric. 1994, 34, 1143–1154. [Google Scholar] [CrossRef]
- Masters, D.G.; Norman, H.C.; Barrett-Lennard, E.G. Agricultural systems for saline soil: The potential role of livestock. Asian-Australas. J. Anim. Sci. 2005, 18, 296–300. [Google Scholar] [CrossRef]
- Jeffrey, S.J.; Carter, J.O.; Moodie, K.B.; Beswick, A.R. Using spatial interpolation to construct a comprehensive archive of Australian climate data. Environ. Model. Softw. 2001, 16, 309–330. [Google Scholar] [CrossRef]
- Peel, M.C.; Finlayson, B.L.; McMahon, T.A. Updated world map of the Koppen-Geiger climate classification. Hydrol. Earth Syst. Sci. 2007, 11, 1633–1644. [Google Scholar] [CrossRef]
- Dalgliesh, N.P.; Foale, M.A. Soil Matters—Monitoring Soil Water and Nitrogen in Dryland Farming; Agricultural Production Systems Research Unit: Toowoomba, Australia, 1998. [Google Scholar]
- Descheemaeker, K.; Llewellyn, R.; Moore, A.; Whitbread, A. Summer-growing perennial grasses are a potential new feed source in the low rainfall environment of southern Australia. Crop Pasture Sci. 2014, 65, 1033–1043. [Google Scholar] [CrossRef]
- Cochrane, M.J.; Radcliffe, J.C. Effect of long-term hay storage on dry-matter, digestible dry-matter and crude protein. J. Aust. Inst. Agric. Sci. 1977, 43, 151–153. [Google Scholar]
- Smith, A.P.; Llewellyn, R.S. Defining sowing windows for tropical grasses in the low rainfall zone. In Proceedings of the 17th Australian Agronomy Conference, Building Productive, Diverse and Sustainable Landscapes, Hobart, Australia, 20–24 September 2015; p. 4. [Google Scholar]
- Balandier, P.; Bergez, J.-E.; Etienne, M. Use of the management-oriented silvopastoral model ALWAYS: Calibration and evaluation. Agrofor. Syst. 2003, 57, 159–171. [Google Scholar] [CrossRef]
- Finlayson, J.D.; Lawes, R.A.; Metcalf, T.; Robertson, M.J.; Ferris, D.; Ewing, M.A. A bio-economic evaluation of the profitability of adopting subtropical grasses and pasture-cropping on crop-livestock farms. Agric. Syst. 2012, 106, 102–112. [Google Scholar] [CrossRef]
- Morcombe, P.; Young, G.; Boase, K. Grazing a saltbush Atriplex maireana stand by Merino wethers to fill the autumn feed-gap experienced in the Western Australian wheat belt. Aust. J. Exp. Agric. 1996, 36, 641–647. [Google Scholar] [CrossRef]
- Bergez, J.E.; Etienne, M.; Balandier, P. ALWAYS: A plot-based silvopastoral system model. Ecol. Model. 1999, 115, 1–17. [Google Scholar] [CrossRef]
- Gillet, F.; Besson, O.; Gobat, J.M. PATUMOD: A compartment model of vegetation dynamics in wooded pastures. Ecol. Model. 2002, 147, 267–290. [Google Scholar] [CrossRef]
- Gillet, F. Modelling vegetation dynamics in heterogeneous pasture-woodland landscapes. Ecol. Model. 2008, 217, 1–18. [Google Scholar] [CrossRef]
- Zhai, T.; Mohtar, R.H.; Gillespie, A.R.; von Kiparski, G.R.; Johnson, K.D.; Neary, M. Modeling forage growth in a Midwest USA silvopastoral system. Agrofor. Syst. 2006, 67, 243–257. [Google Scholar] [CrossRef]
- Wallis, R.H.; Thomas, D.T.; Speijers, E.J.; Vercoe, P.E.; Revell, D.K. Short periods of prior exposure can increase the intake by sheep of a woody forage shrub, Rhagodia preissii. Small Rumin. Res. 2014, 121, 280–288. [Google Scholar] [CrossRef]
- Arnold, G.W.; Dudzinski, M.L. Studies on diet of grazing animal. 3. Effect of pasture species and pasture structure on herbage intake of sheep. Aust. J. Agric. Res. 1967, 18, 657–666. [Google Scholar] [CrossRef]









| Plant Name | Lifecycle | APSIM Model | Cultivar |
|---|---|---|---|
| Barrel Medic (Medicago truncatula) | A | AusFarm | Paraggio |
| Panic (Megathyrsus maximus) 1 | P | AusFarm | Gatton |
| Oats (Avena sativa) | A | Crop | Wintaroo |
| Barley (Hordeum vulgare) | A | Crop | Hindmarsh |
| Medic | Panic | Oats | Barley | |||||
|---|---|---|---|---|---|---|---|---|
| Shrub | Interrow | Shrub | Interrow | Shrub | Interrow | Shrub | Interrow | |
| Waitchie | 6.1 | 2.0 | 5.5 | 1.2 | 5.0 | 7.2 | 5.3 | 3.7 |
| Waikerie | 5.8 | 5.5 | 5.5 | 4.2 | 4.7 | 9.0 | 6.1 | 3.5 |
| Kellerberrin | 5.8 | 5.5 | 5.5 | 2.9 | 6.0 | 10.6 | 5.5 | 2.1 |
| Common | Summer | Autumn | Dual a | Dual b | ||
|---|---|---|---|---|---|---|
| Units | (1 February) | (1 January) | (1 April) | (1 October/1 April) | ||
| Waitchie | Panic | |||||
| Shrub removed | GJ/ha | 4.6 | 3.3 | 2.5 | 1.4 | 2.7 |
| Pasture removed | GJ/ha | 4.7 | 2.5 | 2.5 | 3.3 | 1.7 |
| Supplementary feed | kg/sheep | 46 | 63 | 67 | 6 | 21 |
| Medic | ||||||
| Shrub removed | GJ/ha | 4.6 | 5.0 | 4.4 | 2.7 | 2.1 |
| Pasture removed | GJ/ha | 0.0 | 0.0 | 0.0 | 0.7 | 1.6 |
| Supplementary feed | kg/sheep | 68 | 66 | 70 | 23 | 29 |
| Kellerberrin | Panic | |||||
| Shrub removed | GJ/ha | 5.1 | 3.6 | 2.9 | 1.8 | 2.6 |
| Pasture removed | GJ/ha | 3.8 | 1.8 | 3.6 | 2.7 | 0.2 |
| Supplementary feed | kg/sheep | 48 | 65 | 60 | 3.0 | 28 |
| Medic | ||||||
| Shrub removed | GJ/ha | 4.4 | 3.6 | 2.9 | 1.4 | 3.2 |
| Pasture removed | GJ/ha | 1.8 | 1.8 | 3.7 | 2.7 | 0.3 |
| Supplementary feed | kg/sheep | 61 | 64 | 59 | 15 | 26 |
| Waikerie | Panic | |||||
| Shrub removed | GJ/ha | 5.1 | 4.8 | 2.3 | 4.0 | 1.1 |
| Pasture removed | GJ/ha | 3.8 | 4.5 | 5.4 | 0.0 | 0.0 |
| Supplementary feed | kg/sheep | 48 | 47 | 54 | 21 | 0.0 |
| Kellerberrin | Panic | |||||
| Shrub removed | GJ/ha | 5.1 | 4.8 | 2.6 | 3.0 | 3.2 |
| Pasture removed | GJ/ha | 3.8 | 4.6 | 4.5 | 0.0 | 0.0 |
| Supplementary feed | kg/sheep | 48 | 46 | 56 | 0.0 | 2.4 |
Publisher’s Note: MDPI stays neutral with regard to jurisdictional claims in published maps and institutional affiliations. |
© 2022 by the authors. Licensee MDPI, Basel, Switzerland. This article is an open access article distributed under the terms and conditions of the Creative Commons Attribution (CC BY) license (https://creativecommons.org/licenses/by/4.0/).
Share and Cite
Smith, A.P.; Zurcher, E.; Llewellyn, R.S.; Norman, H.C. Designing Integrated Systems for the Low Rainfall Zone Based on Grazed Forage Shrubs with a Managed Interrow. Agronomy 2022, 12, 2348. https://doi.org/10.3390/agronomy12102348
Smith AP, Zurcher E, Llewellyn RS, Norman HC. Designing Integrated Systems for the Low Rainfall Zone Based on Grazed Forage Shrubs with a Managed Interrow. Agronomy. 2022; 12(10):2348. https://doi.org/10.3390/agronomy12102348
Chicago/Turabian StyleSmith, Andrew P., Eric Zurcher, Rick S. Llewellyn, and Hayley C. Norman. 2022. "Designing Integrated Systems for the Low Rainfall Zone Based on Grazed Forage Shrubs with a Managed Interrow" Agronomy 12, no. 10: 2348. https://doi.org/10.3390/agronomy12102348
APA StyleSmith, A. P., Zurcher, E., Llewellyn, R. S., & Norman, H. C. (2022). Designing Integrated Systems for the Low Rainfall Zone Based on Grazed Forage Shrubs with a Managed Interrow. Agronomy, 12(10), 2348. https://doi.org/10.3390/agronomy12102348

