Next Article in Journal
Spatial and Temporal Variability of the Microbiological and Chemical Properties of Soils under Wheat and Oilseed Rape Cultivation
Previous Article in Journal
Effects of Sound Wave and Water Management on Growth and Cd Accumulation by Water Spinach (Ipomoea aquatica Forsk.)
 
 
Font Type:
Arial Georgia Verdana
Font Size:
Aa Aa Aa
Line Spacing:
Column Width:
Background:
Article

Biomass Allocation and Competitive Ability of a Semiarid Perennial Grass and a Legume in Mixtures under Periodical Soil Water Decreasing Conditions

1
College of Life Science, Yulin University, Yulin 719000, China
2
State Key Laboratory of Soil Erosion and Dryland Farming on the Loess Plateau, Northwest A&F University, Xianyang 712100, China
3
Institute of Soil and Water Conservation, Chinese Academy of Sciences and Ministry of Water Resources, Xianyang 712100, China
4
The UWA Institute of Agriculture, School of Agriculture and Environment, The University of Western Australia, Perth, WA 6001, Australia
5
CSIRO Agriculture & Food, Private Bag No. 5, Wembley, WA 6913, Australia
*
Author to whom correspondence should be addressed.
Agronomy 2022, 12(10), 2256; https://doi.org/10.3390/agronomy12102256
Submission received: 9 July 2022 / Revised: 8 September 2022 / Accepted: 15 September 2022 / Published: 21 September 2022
(This article belongs to the Section Grassland and Pasture Science)

Abstract

Soil moisture is the key factor controlling plant growth in semiarid grasslands. Here, we sought to evaluate the effects of soil moisture decreasing at different growth stages on biomass accumulation, water use efficiency, and plant-plant interaction of a C3 leguminous subshrub Lespedeza davurica (L) and a C4 perennial grass Bothriochloa ischaemum (B) when sown singly and as a mix in five different ratios in a pot experiment. Results showed that soil water decrease significantly reduced total biomass production of the mixtures by 3.7–53.8% compared with well-watered conditions, and plants at the heading and flowering periods were more vulnerable to soil water decline than those at the late stage. The relative yield total (RYT) of the mixtures was mostly greater than those sown singly. Soil water decreasing increased root/shoot ratio and water use efficiency (WUE) of the mixtures, and such effects were mediated by mixture ratio and/or growth stage. In the mixtures, a strong intraspecific competition was observed in B. ischaemum, whereas interspecific competition in L. davurica. The highest overall biomass (86.47 g pot−1) and WUE (6.33 g kg−1) were observed when the mixture ratio was B:L = 10:2 regardless of soil moisture, and thus could be considered an optimal mixture ratio for establishing restored grassland using the two species. Our results suggest that sown seed mixtures of the two species with an appropriate ratio could sustain a relatively high total biomass production and improve WUE under soil water decreasing conditions in the semiarid Loess Plateau.

1. Introduction

The semiarid grassland consists of ca. 30–40% total land area on the Loess Plateau of China and provides key ecosystem functions such as biodiversity preservation, carbon storage, and soil and water conservation [1,2]. Water is the key environmental factor limiting grassland growth, and discrete rainfall events following periodic droughts are the common field condition in the region [3,4,5]. Although the annual precipitation seems to be unchanged over the whole Loess Plateau region [6], the precipitation regime may shift to more extreme rainfall events following frequent and prolonged droughts [7]. Limited soil water conditions could trigger plant reactions from cellular to the whole plant level and often results in adverse effects on plant growth [8]. Thus, understanding the physiological responses of plants under drought conditions is of great significance to predict the regional vegetation distribution and its dynamics under altered precipitation regimes in the context of climate change [9,10].
Numerous efforts have been made to understand plant ecophysiology, e.g., water use efficiency, photosynthetic performance, biomass accumulation, and primary productivity under wet-dry (during drought events) and dry-wet (following rainfall/watering) soil water dynamics in natural grassland communities in the Loess Plateau hilly-gully region [11,12]. However, these field studies are often centered around the overall effects of drought/watering during the peak growing period or over the whole growing season. Studies on crops have suggested that plant responses to drought and rewatering are not only determined by drought intensity and plant drought adaptability but also mediated by the plant development stage [13,14], which could provide valuable information for agricultural water management. However, there are only limited studies specifically delineating the drought/watering effects at varied plant growth stages of native grass species [15]. This information is needed to better understand the responses of vegetation to soil water dynamics and provide knowledge for precision grassland management.
Intercropping is a common agricultural practice involving the cultivation of two or more crops in proximity to boost crop yield per unit area [16] and is considered a sustainable solution of modern intensified agriculture to meet rapidly growing food demand globally [17]. Besides increased crop yield, intercropping could provide various other benefits simultaneously, such as reducing fertilization, preventing weed invasion, controlling plant disease, and improving soil health and crop quality [16]. It may also have great potential in grassland construction and grassland restoration on heavily degraded lands [18,19]. The mixture of grasses with shallow-fibrous roots and legumes with deep taproots can lead to more effective utilization of soil resources at different soil depths through niche complementarity [20]. There could also be other mechanisms like resource sharing and facilitation occurring between species in a mixture [16]. The deep-rooted species may improve soil moisture at upper soil layers through hydraulic lifting, which is beneficial to intercropped shallow-rooted species [21]. The nitrogen (N)-fixing leguminous forages could either release competition of soil N for other species, which ostensibly improves soil N availability for non-legumes, or directly transfer N to adjacent grass species [22,23]. Mutual interactions could also occur between grass and legume to improve N acquisition and efficiency of transformation of acquired N into biomass in both plant functional groups [24]. Conversely, intercropping does not necessarily provide beneficial effects, and there might be undesirable interspecific competition for water, nutrients, and light in a mixture under an inappropriate planting pattern/density [25,26]. Thus, when ‘intercropping’ is adopted, studies are needed to explore the species competitiveness and resource utilization within a mixture and to seek an optimal growing pattern/density to improve targeted functions and services of a constructed/restored grassland and maintain a sustainable environment at the same time.
Perennial C4 grass Bothriochloa ischaemum and N-fixing perennial C3 subshrub Lespedeza davurica are two co-occurring species in the regional grassland community in the Loess Plateau hilly-gully region [15]. Both species play an important role in soil and water conservation and in maintaining community structure and function. For grassland construction on severely degraded lands on the Plateau, the mixture of two species have been considered an effective nature-based solution [19]. Previous studies have assessed many aspects of the ecophysiological processes of the two species to soil water dynamics in either natural grassland communities in the field [11,12] or in their mixtures under pot conditions [19,27]. The intercropping of the two species could increase grass N and phosphorus (P) utilization and thus biomass production under various soil water regimes and nutrient supplies [19,27]. Our previous study investigated the effects of soil rehydration on the two species in different growth stages in mixtures and showed that B. ischaemum was more sensitive to increasing soil water availability than L. davurica subshrub [15]. While the opposite, the effects of soil drying on the two species in mixtures have not been well understood. In this study, a controlled pot experiment was conducted to determine the effects of decreasing soil water content on the two species at various life stages in mixtures with different mixture ratios. Our aims were (1) to assess the overall performance of the grass and subshrub mixtures under different soil water decreasing treatments, (2) to test if the plant responses to drought were controlled by their growth stage, and (3) to evaluate plant-plant interactions in the mixtures under drought conditions. The results may help to understand the local semiarid grassland community in a changing climate and may provide insights into grassland restoration and precision grassland management.

2. Materials and Methods

2.1. Pot Experiment

Seeds of the two species (i.e., B. ischaemum and L. davurica) were collected from a natural grassland community in 2011 at the Ansai Research Station (ARS) of the Chinese Academy of Sciences (36°51′ N, 109°19′ E), which is located at the center of the semiarid loess hilly and gully region. The pot experiment was conducted (April–November 2013) under a rainout shelter at a common garden of the State Key Laboratory of Soil Erosion and Dryland Farming on the Loess Plateau, Yangling, Shaanxi Province, China (34°12′ N, 108°7′ E). The mean annual precipitation is 638 mm, the maximum and minimum mean monthly temperatures are 26.7 °C in July and −2 °C in January, respectively, and the mean annual temperature in the region is 12.9 °C. Loessial soils were collected in the grassland at the ARS from the top 20 cm soil layer. The soil wilting point and soil field capacity (FC) were 4.0% (gravimetric) and 19.3%, respectively. Plastic pots sized 20 cm × 30 cm (inner diameter × height) filled with 9.0 kg of air-dried soils were used. N and P fertilizers in the form of urea (0.481 g per pot) and monopotassium phosphate (3.949 g per pot) were thoroughly mixed into the soils when filling the pots as basal fertilization [28].

2.2. Plant Mixtures and Watering Treatments

A replacement series method was adopted to design mixture ratios [27]. B. ischaemum (B) and L. davurica (L) were sown at two monoculture [B0L12 = 0 (B):12 (L); B12L0 = 12:0] and five mixture ratios (B2L10L = 2:10, B4L8 = 4:8, B6L6 = 6:6, B8L4 = 8:4, and B10L2 = 10:2), with total 12 plants per pot on 1 April 2013. Seeds of the two species were sown about 1 cm below the soil surface. Additionally, L. davurica seeds were not inoculated with Rhizobia. All pots were well-watered to FC (19.3%) during seed germination and seedling establishment. Then, three watering regimes [i.e., watered to 80 ± 5% FC (high watering, H), 60 ± 5% FC (moderate watering, M), and 40 ± 5% FC (low watering, L)] were applied gravimetrically when B. ischaemum grass started tillering on 10 June 2013. All pots were sealed in the base to prevent drainage, and pots were watered manually daily.
Soil water decreasing treatments (i.e., soil drying) were conducted according to the growth stage of B. ischaemum. When B. ischaemum was at the heading period (10 July 2013), the watering regimes decreased from H to M/L (H-M-1 and H-L-1), and from M to L (M-L-1); the same soil water decreasing (i.e., H to M/L, and M to L) was conducted during the flowering period (10 August 2013; H-M-2, H-L-2, and M-L-2), and mature period (10 September 2013; H-M-3, H-L-3, and M-L-3), respectively (Figure 1). After watering regimes were ‘decreased’ to the target regimes, they were kept consistent until the end of the growing season (10 October 2013). Pots under three soil water regimes (i.e., H, M, and L) without any soil water decreasing throughout the whole growing season were taken as references and were noted as ‘no decreasing’. A total of 420 pots were used: 7 (mixture ratios) × 12 {3 (unchanged soil water regimes throughout the whole growth stage) + [3 (soil water decreasing treatments) × 3 (growth stages)]} × 5 (replicates). The mixture ratios and soil water decreasing treatments were assigned to pots following a completely random design, and pots were randomly placed on the benches under the rainout shelter.

2.3. Biomass Harvest

At the end of the growing season on 10 October 2013, the shoots and roots of species were harvested from randomly chosen three pots per treatment. Aboveground parts were carefully harvested. Roots were gently washed from the soil, and no root nodulation was observed in L. davurica. The above- and below-ground parts were oven-dried to constant weight at 75 °C and weighed separately. The root/shoot ratio (RSR) was obtained by dividing the weight of belowground and aboveground parts.

2.4. Water Use Efficiency

Each pot was weighed every day at 18:00 h to estimate daily water loss from the pot. Three additional pots with the identical setup but without growing plants per soil watering treatment were weighed daily at 18:00 h to estimate water loss via soil evaporation. Then, plant water use efficiency (WUE) over the season was calculated as total biomass accumulation divided by total plant water use (summing daily water loss minus daily soil evaporation).

2.5. Competitive Indices

The inter- and intra-specific competition of both species were compared by relative competition intensity (RCI) [29], and to assess the relative competitiveness of each species in mixtures, the competitive balance (CB) index was calculated [30]. The biological efficiency of the mixed cropping system was assessed by the relative yield total (RYT) [31]. These indices were calculated as follows:
RCI = Y BB × Z BL Y BL / Y BB × Z BL
CB = I n Y BL / Y LB
RYT = Y BL / Y BB + Y LB / Y LL
where YBB and YLL are dry weights (above/belowground biomass or total biomass depending on indices) of B. ischaemum and L. davurica in monoculture, respectively. YBL and YLB are dry weights of B. ischaemum and L. davurica in mixtures. ZBL or ZLB is the mixture ratio of B. ischaemum or L. davurica in mixtures.

2.6. Statistical Analysis

All statistical analyses were conducted using SPSS 17.0 (IBM, Chicago, IL, USA). One-way analysis of variance (ANOVA) with Tukey’s test was used to detect differences in WUE, biomass production, and competitive indices among soil watering treatments. Three-way ANOVA was used to test the effects of growth stage, soil water decreasing, mixture ratio, and their interactions on biomass production, WUE, and competition indices of the two species in mixtures. Differences were considered significant at the p < 0.05 level.

3. Results

3.1. Plant Biomass Production (BP)

The total BP and the respective BP of B. ischaemum or L. davurica in the mixtures were significantly affected by soil water decreasing, mixture ratio, growth stage, and their interactions (p < 0.05), except for the interaction of soil water decreasing and mixture ratio on BP of B. ischaemum, and the interaction of soil water decreasing and growth stage on BP of L. davurica (Table 1 and Table 2).
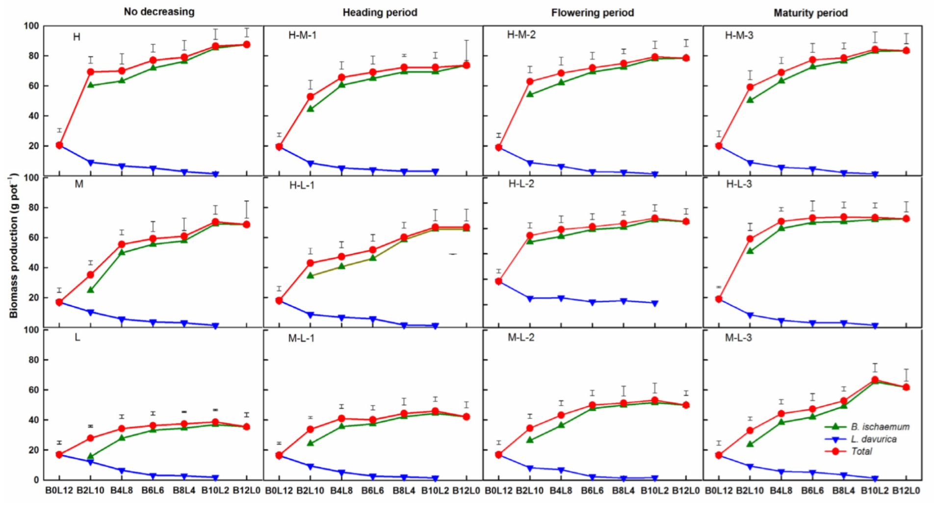
The total BP of the mixture increased with the proportion of B. ischaemum, and the highest BP was observed in the B10L2 mixture ratio and monoculture B. ischaemum (Figure 2). Replacement series diagrams based on the biomass showed that the curves of B. ischaemum were concave while convex for L. davurica, and those curves were not intersected at any mixture ratio (Figure 2).
Soil water decreasing significantly decreased the BP of the mixtures (Figure 2). Compared with H treatment, total BP averaged across all mixture ratios was decreased by 3.7–53.8% under M, L, H-M, and M-L treatments at heading, flowering, and maturity periods (Figure 2). The average values were significantly decreased by 28.1%, 18.5%, and 12.1% under M-L at heading, flowering, and maturity, respectively, compared with the respective M (Figure 2).

3.2. Root/Shoot Ratio (RSR)

The RSR of both species were significantly affected by soil water decreasing, growth stage, mixture ratio, and their interactions, except for the effect of mixture ratio on B. ischaemum (p = 0.056; Table 2). There were no notably changing trends for the RSR of the two species under each water treatment along with different mixture ratios, particularly in B. ischaemum (Figure 3). RSR of B. ischaemum ranged from 0.39 to 0.68 in different mixture ratios under varied soil water decreasing and from 0.50 to 1.54 in L. davurica (Figure 3).
When there was no soil water decreasing, the RSR values of the two species were highest under L, moderate under M, and lowest under H (Figure 3 insets). The soil water decreasing treatment increased the RSR in general (Figure 3 insets), with the highest RSR observed under the M-L treatment in both species in all three growth stages.

3.3. Relative Yield Total (RYT)

There were no significant effects of soil water decreasing, growth stage, mixture ratio, and their interactions on the RYT, with the lone exception of a significant interaction of soil water decreasing and growth stage (Table 3). There was no evident changing trend for the RYT values across the different mixture ratios (Table 4). The RYT at varied mixture ratios was always higher than 1.0, apart from under M treatment at the B2L10 mixture ratio and under M-L treatment at B2L10 and B4L8 during the mature period (Table 4).

3.4. Relative Competition Intensity (RCI)

The interactive effects of soil water decreasing, growth stage, and mixture ratio, were significant on the RCI of both species (Table 3). The RCI values of B. ischaemum gradually increased (less negative) as its proportion increased in mixtures under each water treatment, but L. davurica showed the opposite (Figure 4). RCI values of B. ischaemum were all negative, which indicating that the competition was stronger in intra- than inter-specific; while RCI values of L. davurica were greater than zero, indicating stronger interspecific competition (Figure 4). The soil water decreasing treatments increased the RCI of B. ischaemum (particularly under M-L), while decreased the RCI of L. davurica.

3.5. Competitive Balance (CB)

Same as for RCI, the CB values of B. ischaemum were significantly affected by the interactive effects of soil water decreasing, growth stage, and mixture ratio (Table 3). CB values of B. ischaemum calculated from shoot, root, and total biomass were gradually increased with the proportion of B. ischaemum (Figure 5).

3.6. Water Use Efficiency (WUE)

WUE of the mixtures was significantly affected by soil water decreasing, growth stage, mixture ratio, the interaction of soil water decreasing and mixture ratio (Table 1). Furthermore, the WUE increased with the proportion of B. ischaemum (Figure 6). The WUE of B. ischaemum was significantly higher than L. davurica in monoculture. The B10L2 had the significantly highest WUE in most cases (p < 0.05; Figure 6). Soil water decreasing treatment generally increased the WUE of the mixtures, and this effect was attenuated with the increasing of L. davurica proportion and was greatest at heading and flowering periods (Figure 6).

4. Discussion

Limited soil moisture in frequently occurring drought events largely constrains vegetation growth in semiarid and arid grasslands [4,5]. In the present study, our results indicated that the limited soil water conditions (60% and 40% of field capacity) across the whole growing season substantially decreased the total biomass production of the C3 subshrub L. davurica and C4 grass B. ischaemum mixtures in a controlled pot experiment, particularly the grass biomass accumulation, which largely affects the total biomass production of the mixtures (Figure 2). The declined biomass under drought conditions in B. ischaemum may be ascribed to inhibited photosynthetic performance under soil water deficit [32]. Contrarily, there was only a limited decline in biomass production of L. davurica subshrub in mixtures, and almost no decline in L. davurica monoculture under limited soil water conditions (Figure 2). These suggested that L davurica was likely more drought-resistant than B. ischaemum no matter in a mixture or monoculture. The great drought resistance of L. davurica may be due to its various physiological and morphological traits. Yang et al. [33] reported that the adjustment of enzymes and osmotic compounds of L. davurica greatly contributed to its drought resistance. Our previous studies indicated that L. davurica had higher maximum photochemical efficiency than B. ischaemum under drought conditions [34], which may also contribute to its greater drought resistance. Furthermore, the root system/morphology determines plants’ responses to drought in the regional semiarid grassland [35], the deep-rooted L. davurica could potentially be more accessible to deep soil water than the shallow-rooted B. ischaemum, and thus has greater drought resistance. However, this was unlikely to be the case in our pot experiment due to the limited pot size and short experimental duration for root development. Soil water decreasing treatments at varying growth stages revealed that biomass production of the mixtures was more affected by drought at the peak growth stages (heading and flowering periods; Figure 2). Similar results were reported on crops, e.g., Eck et al. [36] showed that the water stress caused the greatest decline in the yield of soybean during the pod development stage; Wagg et al. [37] suggested that the water deficit at the vegetative and tuberization stages affected the growth of potato the most. It is expected that plants commonly require abundant resources such as water/nutrients to sustain their rapid growth and development during these important phases of their life cycle. On the other hand, the drought events during the late growing period, e.g., at the mature stage in this study, may only have limited effects on plant growth.
RSR is often used to assess plant strategies of biomass allocation in response to drought perturbances [30,38]. Following the optimal partitioning theory [39], plants would allocate more photosynthates to roots than to shoots to sustain water uptake when soil moisture is limited, which leads to a great RSR. This has also been observed in both species in this study (Figure 3 insets), which corroborates with several other studies focusing on the two species [32,40]. Furthermore, the increase of RSR was mediated by the mixture ratio and growth stage (Table 2), with more evident increases in L. davurica during all three growth stages (Figure 2). Different responses of biomass allocation to drought conditions between the two species may attribute to their distinct root morphology (tap roots vs. fibrous roots) since the root architecture largely controls root plasticity in responses to drought [41]. Xu et al. [42] studied the root morphology of L. davurica when intercropped with B. ischaemum under water deficit conditions, and their results indicated that L davurica had reduced root diameter and increased specific root area and specific root length when soil moisture was limited, which may all contribute to its improved root water uptake. However, a precipitation manipulating study at the inner Mongolian semiarid steppe showed that the effects of drought stress do not necessarily alter plant biomass allocation. The grassland plants can adjust their vertical distribution of roots to adapt to drought [43]. Future studies investigating the root vertical distribution of the two species in the mixtures are needed to fully explore plant responses to drought conditions, preferably in a field setting.
RYT for the species biomass production of the mixtures under different soil watering treatments were similar and were mostly greater than 1.0 (Table 4), indicating a net gain of biomass production by mixing the two species. The increased yield under drought conditions has been widely reported on many crop intercropping systems, e.g., maize and legume (common beans, cowpea, and groundnut) [44], sorghum and groundnut [45], soybean and pigeon pea [46], maize and grass pea [47]. Our previous study with the same setup but soil water increasing (i.e., soil rehydration) on the two species mixtures also showed increased RYT of their mixtures, indicating intercropping of the two could thus improve the RYT regardless of soil water regime [15]. Competition indices are commonly used to explore plant-plant interactions in mixtures [48]. The RCI was used to assess the intra- and interspecific competition between the two species in the mixtures. When intraspecific competition is equal to interspecific, the RCI would equal zero, and an RCI greater than zero indicates stronger interspecific competition, and smaller indicates stronger intraspecific competition [29]. In the mixtures, our results showed that dominant intraspecific competition in the grass is contrary to dominant interspecific competition in the subshrub (Figure 4). Similar results were reported in our previous study testing the soil rehydration on the mixtures [15]. Together suggest that B. ischaemum grass was in a more dominant position in the mixtures. The competition balance index (CB) [30] was employed to evaluate the relative competitive ability in the mixture, and a value of zero indicates equal competitive ability between the two species, and a positive value indicates one outperformed another. Results demonstrated that the CB value was mostly positive in the mixtures, implying strong competition of B. ischaemum in the mixtures (Figure 5), which corroborates the results of RCI. Overall, both competition indices employed here suggest that soil water decreasing altered species competition between the grass and the subshrub, and these effects were mediated by growth stage and mixture ratio together (Table 3).
The increased WUE under drought conditions has been commonly reported in many dryland plants (see review by Van Duivenbooden et al. [49]). Our results showed a similar increased WUE by soil water decreasing across different growth stages (Figure 6). This increased WUE under relatively drought conditions may be caused by multilevel biochemical and physiological adjustments of plants to limited soil water conditions and is considered an important mechanism for plants to adapt to dry environments [49,50]. Furthermore, the mixture of the two species, particularly under the B10:L2, had the highest WUE under soil water decreasing treatments (Figure 6). The overall increased yield and WUE of the mixtures under drought conditions may involve various mechanisms such as niche complementarity, facilitation, and resource sharing [16]. For instance, the tap-rooted subshrub L. davurica and the shallow-fibrous rooted B. ischaemum may maximize the utilization of soil resources at different soil depths via niche complementarity [20].
Here, the mixtures of the two species were grown in pot conditions, which constrained the plant root development, particularly for the tap-rooted L. davurica subshrub. Furthermore, the study was only conducted for one growing season. In other words, it focused on the early development stage (‘emergence period’) of the mixtures. Future works under field conditions should be conducted over multiple years, especially on mature mixtures, to fully assess plant performance by mixing the two species. Additionally, the interaction between soil moisture and other important drivers, e.g., grazing and fertilization, should also be tested. Lastly, the L. davurica seeds were not priorly inoculated with Rhizobia in this study, and inoculation was not occurring naturally either since we did not detect any root nodulation when washing roots. However, when seed rhizobial inoculation (either artificially or naturally) occurs, the intercropped L. davurica with N fixation potential may reduce soil N competition and/or directly transfer N to the B. ischaemum grass [22,23], which would further improve the overall production of the mixture, and this needs to be explored in field trials.

5. Conclusions

Our controlled pot experiment showed that soil water decreasing significantly reduced the total biomass production of L. davurica and B. ischaemum mixtures, with a more notable decline during the peak growing periods (e.g., heading and flowering periods) than in the mature stage. On the other hand, the root-to-shoot ratio and overall WUE of the mixtures increased under soil water decreasing treatments, indicating that the two species intercropping could improve the drought resistance of the mixture system, which may be due to niche complementarity, species facilitation, and resource sharing. This increased WUE is of particular importance on the water-limited Loess Plateau. Plant-plant interaction was evident in mixtures, and dominant intraspecific competition was observed in B. ischaemum grass, whereas interspecific competition in the leguminous L. davurica subshrub hints that B. ischaemum was the superior dominant in their mixtures. Additionally, B. ischaemum:L. davurica mixture ratio of 10:2 showed the highest overall biomass and WUE under soil water deficit and without fertilization conditions, this ratio could be considered when sowing these two species to create renovated grasslands on the semi-arid Loess Plateau of China. Besides, the mixing of the legume could also increase grassland quality by N fixation and improving feeding value.

Author Contributions

Conceptualization, W.X. and B.X.; methodology, W.X. and B.X.; software, W.X.; validation, W.X. and B.X.; formal analysis, W.X.; investigation, W.X.; data curation, W.X.; writing—original draft preparation, W.X. and F.N.; writing—review and editing, W.X., F.N., F.K., B.X., X.D., J.A.P. and Y.C. All authors have read and agreed to the published version of the manuscript.

Funding

This research was funded by the National Natural Science Foundation of China (41701602), and the Innovation Capability Support Program of Shaanxi (2021KJXX-53).

Data Availability Statement

The data presented in this study are available on reasonable request from the corresponding author.

Acknowledgments

We are grateful to the three anonymous referees and the editor for their insightful comments on previous versions of the manuscript.

Conflicts of Interest

The authors declare no conflict of interest.

References

  1. Chang, R.; Fu, B.; Liu, G.; Liu, S. Soil carbon sequestration potential for “Grain for Green” project in Loess Plateau, China. Environ. Manag. 2011, 48, 1158–1172. [Google Scholar] [CrossRef]
  2. Jia, X.; Shao, M.; Wei, X. Richness and composition of herbaceous species in restored shrubland and grassland ecosystems in the northern Loess Plateau of China. Biodivers. Conserv. 2011, 20, 3435–3452. [Google Scholar] [CrossRef]
  3. Noy-Meir, I. Desert ecosystems: Environment and producers. Annu. Rev. Ecol. Evol. Syst. 1973, 4, 25–51. [Google Scholar] [CrossRef]
  4. Yang, L.; Wei, W.; Mo, B.; Chen, L. Soil water deficit under different artificial vegetation restoration in the semi-arid hilly region of the Loess Plateau. Acta Ecol. Sin. 2011, 31, 3060–3068. [Google Scholar]
  5. Zhang, X.; Zhao, W.; Liu, Y.; Fang, X.; Feng, Q. The relationships between grasslands and soil moisture on the Loess Plateau of China: A review. Catena 2016, 145, 56–67. [Google Scholar] [CrossRef]
  6. Peng, S.; Gang, C.; Cao, Y.; Chen, Y. Assessment of climate change trends over the Loess Plateau in China from 1901 to 2100. Int. J. Climatol. 2018, 38, 2250–2264. [Google Scholar] [CrossRef]
  7. Miao, C.; Sun, Q.; Duan, Q.; Wang, Y. Joint analysis of changes in temperature and precipitation on the Loess Plateau during the period 1961–2011. Clim. Dyn. 2016, 47, 3221–3234. [Google Scholar] [CrossRef]
  8. Chaves, M.M.; Maroco, J.P.; Pereira, J.S. Understanding plant responses to drought—from genes to the whole plant. Funct. Plant Biol. 2003, 30, 239–264. [Google Scholar] [CrossRef]
  9. Xu, H.; Li, Y.; Xu, G.; Zou, T. Ecophysiological response and morphological adjustment of two Central Asian desert shrubs towards variation in summer precipitation. Plant Cell Environ. 2007, 30, 399–409. [Google Scholar] [CrossRef]
  10. Anjum, S.A.; Xie, X.Y.; Wang, L.C.; Saleem, M.F.; Man, C.; Lei, W. Morphological, physiological and biochemical responses of plants to drought stress. Afr. J. Agric. Res. 2011, 6, 2026–2032. [Google Scholar]
  11. Niu, F.; Duan, D.; Chen, J.; Xiong, P.; Zhang, H.; Wang, Z.; Xu, B. Eco-physiological responses of dominant species to watering in a natural grassland community on the semi-arid Loess Plateau of China. Front. Plant Sci. 2016, 7, 663. [Google Scholar] [CrossRef] [PubMed]
  12. Xiong, P.; Shu, J.; Zhang, H.; Jia, Z.; Song, J.; Palta, J.A.; Xu, B. Small rainfall pulses affected leaf photosynthesis rather than biomass production of dominant species in semiarid grassland community on Loess Plateau of China. Funct. Plant Biol. 2017, 44, 1229–1242. [Google Scholar] [CrossRef]
  13. Abid, M.; Tian, Z.; Ata-Ul-Karim, S.T.; Wang, F.; Liu, Y.; Zahoor, R.; Jiang, D.; Dai, T. Adaptation to and recovery from drought stress at vegetative stages in wheat (Triticum aestivum) cultivars. Funct. Plant Biol. 2016, 43, 1159–1169. [Google Scholar] [CrossRef]
  14. Fahad, S.; Bajwa, A.A.; Nazir, U.; Anjum, S.A.; Farooq, A.; Zohaib, A.; Sadia, S.; Nasim, W.; Adkins, S.; Saud, S.; et al. Crop production under drought and heat stress: Plant responses and management options. Front. Plant Sci. 2017, 8, 1147. [Google Scholar] [CrossRef]
  15. Xu, W.; Deng, X.; Xu, B.; Palta, J.A.; Chen, Y. Soil water availability changes in amount and timing favor the growth and competitiveness of grass than a co-dominant legume in their mixtures. Front. Plant Sci. 2021, 12, 723839. [Google Scholar] [CrossRef]
  16. Brooker, R.W.; Bennett, A.E.; Cong, W.F.; Daniell, T.J.; George, T.S.; Hallett, P.D.; Hawes, C.; Iannetta, P.P.; Jones, H.G.; Karley, A.J.; et al. Improving intercropping: A synthesis of research in agronomy, plant physiology and ecology. New Phytol. 2015, 206, 107–117. [Google Scholar] [CrossRef] [PubMed]
  17. Martin-Guay, M.O.; Paquette, A.; Dupras, J.; Rivest, D. The new green revolution: Sustainable intensification of agriculture by intercropping. Sci. Total Environ. 2018, 615, 767–772. [Google Scholar] [CrossRef] [PubMed]
  18. Xie, K.; Zhao, Y.; Li, X.; He, F.; Wan, L.; Wang, D.; Han, D. Relationships between grasses and legumes in mixed grassland: A review. Acta Prataculturae Sin. 2013, 22, 284–296. [Google Scholar]
  19. Xu, B.; Gao, Z.; Wang, J.; Xu, W.; Palta, J.A.; Chen, Y. N:P ratio of the grass Bothriochloa ischaemum mixed with the legume Lespedeza davurica under varying water and fertilizer supplies. Plant Soil 2016, 400, 67–79. [Google Scholar] [CrossRef]
  20. Nyfeler, D.; Huguenin-Elie, O.; Suter, M.; Frossard, E.; Connolly, J.; Lüscher, A. Strong mixture effects among four species in fertilized agricultural grassland led to persistent and consistent transgressive overyielding. J. Appl. Ecol. 2009, 46, 683–691. [Google Scholar] [CrossRef]
  21. Horton, J.L.; Hart, S.C. Hydraulic lift: A potentially important ecosystem process. Trends Ecol. Evol. 1998, 13, 232–235. [Google Scholar] [CrossRef]
  22. Ta, T.C.; Faris, M.A. Species variation in the fixation and transfer of nitrogen from legumes to associated grasses. Plant Soil 1987, 98, 265–274. [Google Scholar] [CrossRef]
  23. White, P.J.; George, T.S.; Gregory, P.J.; Bengough, A.G.; Hallett, P.D.; McKenzie, B.M. Matching roots to their environment. Ann. Bot. 2013, 112, 207–222. [Google Scholar] [CrossRef]
  24. Nyfeler, D.; Huguenin-Elie, O.; Suter, M.; Frossard, E.; Lüscher, A. Grass–legume mixtures can yield more nitrogen than legume pure stands due to mutual stimulation of nitrogen uptake from symbiotic and non-symbiotic sources. Agric. Ecosyst. Environ. 2011, 140, 155–163. [Google Scholar] [CrossRef]
  25. Aasim, M. Yield and competition indices of intercropping cotton (Gossypium hirsutum L.) using different planting patterns. J. Agric. Sci. 2008, 14, A-5949. [Google Scholar]
  26. Yin, W.; Chai, Q.; Zhao, C.; Yu, A.; Fan, Z.; Hu, F.; Fan, H.; Guo, Y.; Coulter, J.A. Water utilization in intercropping: A review. Agric. Water Manag. 2020, 241, 106335. [Google Scholar] [CrossRef]
  27. Xu, B.C.; Xu, W.Z.; Huang, J.; Shan, L.; Li, F.M. Biomass allocation, relative competitive ability and water use efficiency of two dominant species in semiarid Loess Plateau under water stress. Plant Sci. 2011, 181, 644–651. [Google Scholar] [CrossRef]
  28. Wang, Z.; Xu, W.; Chen, Z.; Jia, Z.; Huang, J.; Wen, Z.; Chen, Y.; Xu, B. Soil moisture availability at early growth stages strongly affected root growth of Bothriochloa ischaemum when mixed with Lespedeza davurica. Front. Plant Sci. 2018, 9, 1050. [Google Scholar] [CrossRef]
  29. Sammul, M.; Kull, K.; Oksanen, L.; Veromann, P. Competition intensity and its importance: Results of field experiments with Anthoxanthum odoratum. Oecologia 2000, 125, 18–25. [Google Scholar] [CrossRef]
  30. Wilson, J.B. Shoot competition and root competition. J. Appl. Ecol. 1988, 25, 279–296. [Google Scholar] [CrossRef]
  31. Williams, A.C.; Mccarthy, B.C. A new index of interspecific competition for replacement and additive designs. Ecol. Res. 2001, 16, 29–40. [Google Scholar] [CrossRef]
  32. Liu, Y.; Li, P.; Xu, G.C.; Xiao, L.; Ren, Z.P.; Li, Z.B. Growth, morphological, and physiological responses to drought stress in Bothriochloa ischaemum. Front. Plant Sci. 2017, 8, 230. [Google Scholar] [CrossRef]
  33. Yang, L.; Lai, L.; Zhou, J.; Li, Q.; Yi, S.; Sun, Q.; Zheng, Y. Changes in levels of enzymes and osmotic adjustment compounds in key species and their relevance to vegetation succession in abandoned croplands of a semiarid sandy region. Ecol. Evol. 2020, 10, 2269–2280. [Google Scholar] [CrossRef]
  34. Xu, W.Z.; Deng, X.P.; Xu, B.C.; Gao, Z.J.; Ding, W.L. Photosynthetic activity and efficiency of Bothriochloa ischaemum and Lespedeza davurica in mixtures across growth stages under water stress. Acta Physiol. Plant. 2014, 36, 1033–1044. [Google Scholar] [CrossRef]
  35. Jiang, L.; Liu, H.; Peng, Z.; Dai, J.; Zhao, F.; Chen, Z. Root system plays an important role in responses of plant to drought in the steppe of China. Land Degrad. Dev. 2021, 32, 3498–3506. [Google Scholar] [CrossRef]
  36. Eck, H.V.; Mathers, A.C.; Musick, J.T. Plant water stress at various growth stages and growth and yield of soybeans. Field Crops Res. 1987, 17, 1–16. [Google Scholar] [CrossRef]
  37. Wagg, C.; Hann, S.; Kupriyanovich, Y.; Li, S. Timing of short period water stress determines potato plant growth, yield and tuber quality. Agric. Water Manag. 2021, 247, 106731. [Google Scholar] [CrossRef]
  38. Schulze, E.D. Whole-plant responses to drought. Funct. Plant Biol. 1986, 13, 127–141. [Google Scholar] [CrossRef]
  39. Bloom, A.J.; Chapin, F.S.; Mooney, H.A. Resource limitation in plants—An economic analogy. Annu. Rev. Ecol. Evol. Syst. 1985, 16, 363–392. [Google Scholar] [CrossRef]
  40. Duan, D.; Jiang, F.; Lin, W.; Tian, Z.; Wu, N.; Feng, X.; Chen, T.; Nan, Z. Effects of drought on the growth of Lespedeza davurica through the alteration of soil microbial communities and nutrient availability. J. Fungi 2022, 8, 384. [Google Scholar] [CrossRef]
  41. Fry, E.L.; Evans, A.L.; Sturrock, C.J.; Bullock, J.M.; Bardgett, R.D. Root architecture governs plasticity in response to drought. Plant Soil 2018, 433, 189–200. [Google Scholar] [CrossRef]
  42. Xu, B.C.; Niu, F.R.; Duan, D.P.; Xu, W.Z.; Huang, J. Root morphological characteristics of Lespedeza davurica (L.) intercropped with Bothriochloa ischaemum (L.) Keng under water stress and P application conditions. Pak. J. Bot. 2012, 44, 1857–1864. [Google Scholar]
  43. Zhang, B.; Cadotte, M.W.; Chen, S.; Tan, X.; You, C.; Ren, T.; Chen, M.; Wang, S.; Li, W.; Chu, C.; et al. Plants alter their vertical root distribution rather than biomass allocation in response to changing precipitation. Ecology 2019, 100, e02828. [Google Scholar] [CrossRef]
  44. Mucheru-Muna, M.; Pypers, P.; Mugendi, D.; Kung’u, J.; Mugwe, J.; Merckx, R.; Vanlauwe, B. A staggered maize–legume intercrop arrangement robustly increases crop yields and economic returns in the highlands of Central Kenya. Field Crops Res. 2010, 115, 132–139. [Google Scholar] [CrossRef]
  45. Harris, D.; Natarajan, M.; Willey, R.W. Physiological basis for yield advantage in a sorghum/groundnut intercrop exposed to drought. 1. Dry-matter production, yield, and light interception. Field Crops Res. 1987, 17, 259–272. [Google Scholar] [CrossRef]
  46. Ghosh, P.K.; Mohanty, M.; Bandyopadhyay, K.K.; Painuli, D.K.; Misra, A.K. Growth, competition, yield advantage and economics in soybean/pigeonpea intercropping system in semi-arid tropics of India: I. Effect of subsoiling. Field Crops Res. 2006, 96, 80–89. [Google Scholar] [CrossRef]
  47. Zhu, S.G.; Cheng, Z.G.; Batool, A.; Wang, Y.B.; Wang, J.; Zhou, R.; Khan, A.; Zhu, S.Y.; Yang, Y.M.; Wang, W.; et al. Plant facilitation shifts along with soil moisture and phosphorus gradients via rhizosphere interaction in the maize-grass pea intercropping system. Ecol. Indic. 2022, 139, 108. [Google Scholar] [CrossRef]
  48. Weigelt, A.; Jolliffe, P. Indices of plant competition. J. Ecol. 2003, 91, 707–720. [Google Scholar] [CrossRef]
  49. Van Duivenbooden, N.; Pala, M.; Studer, C.; Bielders, C.L.; Beukes, D.J. Cropping systems and crop complementarity in dryland agriculture to increase soil water use efficiency: A review. NJAS Wagening. J. Life Sci. 2000, 48, 213–236. [Google Scholar] [CrossRef]
  50. Xu, Z.; Zhou, G.; Shimizu, H. Plant responses to drought and rewatering. Plant Signal. Behav. 2010, 5, 649–654. [Google Scholar] [CrossRef]
Figure 1. Scheme of periodical soil water decreasing treatments during different growth stages of Bothriochloa ischaemum. H: 80 ± 5% field capacity (FC); M: 60 ± 5% FC; L: 40 ± 5% FC; H-M-1, H-M-2, and H-M-3 or H-L-1, H-L-2, and H-L-3: soil water content decreased from H to M/L during the heading period, flowering period, and mature period, respectively; M-L-1, M-L-2, and M-L-3: soil water content decreased from M to L during the heading period, flowering period, and mature period, respectively.
Figure 1. Scheme of periodical soil water decreasing treatments during different growth stages of Bothriochloa ischaemum. H: 80 ± 5% field capacity (FC); M: 60 ± 5% FC; L: 40 ± 5% FC; H-M-1, H-M-2, and H-M-3 or H-L-1, H-L-2, and H-L-3: soil water content decreased from H to M/L during the heading period, flowering period, and mature period, respectively; M-L-1, M-L-2, and M-L-3: soil water content decreased from M to L during the heading period, flowering period, and mature period, respectively.
Agronomy 12 02256 g001
Figure 2. Total biomass production of B. ischaemum (B) and L. davurica (L) mixtures under soil water decreasing treatments. Vertical bars represent LSD 0.05 values.
Figure 2. Total biomass production of B. ischaemum (B) and L. davurica (L) mixtures under soil water decreasing treatments. Vertical bars represent LSD 0.05 values.
Agronomy 12 02256 g002
Figure 3. Root/shoot ratio (RSR) of B. ischaemum (B) and L. davurica (L) under soil water decreasing treatments in their mixtures. Vertical bars represent LSD 0.05 values. Inset: mean (±SE) RSR across all mixture ratios, different letters indicating significant differences between soil watering treatments (p < 0.05).
Figure 3. Root/shoot ratio (RSR) of B. ischaemum (B) and L. davurica (L) under soil water decreasing treatments in their mixtures. Vertical bars represent LSD 0.05 values. Inset: mean (±SE) RSR across all mixture ratios, different letters indicating significant differences between soil watering treatments (p < 0.05).
Agronomy 12 02256 g003
Figure 4. Relative competition intensity (RCI) of B. ischaemum (B) and L. davurica (L) in their mixtures under soil water decreasing treatments. Vertical bars represent LSD 0.05 values.
Figure 4. Relative competition intensity (RCI) of B. ischaemum (B) and L. davurica (L) in their mixtures under soil water decreasing treatments. Vertical bars represent LSD 0.05 values.
Agronomy 12 02256 g004
Figure 5. Competitive balance index (CB) calculated from total biomass, shoot biomass, and root biomass of B. ischaemum (B) in the mixtures with L. davurica (L) under soil water decreasing treatments. Vertical bars represent LSD 0.05 values.
Figure 5. Competitive balance index (CB) calculated from total biomass, shoot biomass, and root biomass of B. ischaemum (B) in the mixtures with L. davurica (L) under soil water decreasing treatments. Vertical bars represent LSD 0.05 values.
Agronomy 12 02256 g005
Figure 6. Water use efficiency (WUE) of B. ischaemum (B) and L. davurica (L) under soil water decreasing treatments in their mixtures. Vertical bars represent LSD 0.05 values.
Figure 6. Water use efficiency (WUE) of B. ischaemum (B) and L. davurica (L) under soil water decreasing treatments in their mixtures. Vertical bars represent LSD 0.05 values.
Agronomy 12 02256 g006
Table 1. Results of three-way ANOVA testing effects of soil water decreasing (SWD), growth stage (GS), mixture ratio (MR), and their interactions on total biomass production (BP) and water use efficiency (WUE) of the mixtures.
Table 1. Results of three-way ANOVA testing effects of soil water decreasing (SWD), growth stage (GS), mixture ratio (MR), and their interactions on total biomass production (BP) and water use efficiency (WUE) of the mixtures.
FactordfTotal BPWUE
FpFp
SWD2674.90<0.00179.05<0.001
GS2145.31<0.00113.41<0.001
MR6873.69<0.001615.56<0.001
SWD × GS415.65<0.0011.860.140
SWD × MR1216.97<0.0013.81<0.001
GS × MR125.39<0.0010.830.63
SWD × GS × MR243.43<0.0011.120.34
Statistically significant is indicated in bold.
Table 2. Results of three-way ANOVA testing the effects of soil water decreasing (SWD), growth stage (GS), mixture ratio (MR), and their interactions on biomass production (BP) and root/shoot ratio (RSR) of the two species in the mixtures.
Table 2. Results of three-way ANOVA testing the effects of soil water decreasing (SWD), growth stage (GS), mixture ratio (MR), and their interactions on biomass production (BP) and root/shoot ratio (RSR) of the two species in the mixtures.
FactordfB. ischaemumL. davurica
BPRSRBPRSR
FpFpFpFp
SWD21055.85<0.001258.30<0.0010.030.98125.77<0.001
GS2178.19<0.00146.22<0.00112.81<0.001148.13<0.001
MR5328.92<0.0012.240.056750.87<0.0012.490.04
SWD × GS310.30<0.0017.15<0.0012.430.0527.93<0.001
SWD × MR101.830.063.90<0.0014.80<0.0013.120.002
GS × MR104.12<0.0013.90<0.0016.17<0.0012.530.01
SWD × GS × MR156.97<0.0012.95<0.00110.07<0.0012.010.01
Statistically significant is indicated in bold.
Table 3. Results of three-way ANOVA testing the effects of soil water decreasing (SWD), growth stage (GS), mixture ratio (MR), and their interactions on relative yield total (RYT) and relative competition intensity (RCI) calculated from biomass of both species, and competitive balance (CB) calculated from total biomass, shoot biomass and root biomass of B. ischaemum.
Table 3. Results of three-way ANOVA testing the effects of soil water decreasing (SWD), growth stage (GS), mixture ratio (MR), and their interactions on relative yield total (RYT) and relative competition intensity (RCI) calculated from biomass of both species, and competitive balance (CB) calculated from total biomass, shoot biomass and root biomass of B. ischaemum.
FactordfRYTRCICB
B. ischaemumL. davuricaTotalRootShoot
FpFpFpFpFpFp
SWD20.150.8732.85<0.00121.79<0.00139.50<0.00123.50<0.00127.27<0.001
GS20.710.5015.66<0.00144.87<0.00138.70<0.00130.98<0.00124.79<0.001
MR41.510.211045.38<0.00117.44<0.0011274.29<0.001874.31<0.001955.13<0.001
SWD × GS39.08<0.00138.55<0.0016.10<0.00136.96<0.00117.37<0.00140.61<0.001
SWD × MR81.120.3621.46<0.00118.68<0.0019.17<0.0017.55<0.0016.50<0.001
GS × MR80.680.716.61<0.00117.19<0.00119.10<0.00113.74<0.00114.90<0.001
SWD × GS × MR121.920.037.38<0.00121.79<0.00117.39<0.00112.97<0.00112.92<0.001
Statistically significant is indicated in bold.
Table 4. Relative yield total (RYT; mean ± SD) for total biomass production in the mixtures under periodical soil water decreasing treatments. H: 80 ± 5% FC; M: 60 ± 5% FC; L: 40 ± 5% FC; H-M-1, H-M-2, and H-M-3 or H-L-1, H-L-2, and H-L-3: soil water content decreased from H to M/L during the heading/flowering/mature period, respectively; M-L-1, M-L-2, and M-L-3: soil water content decreased from M to L during the heading/flowering/mature period, respectively.
Table 4. Relative yield total (RYT; mean ± SD) for total biomass production in the mixtures under periodical soil water decreasing treatments. H: 80 ± 5% FC; M: 60 ± 5% FC; L: 40 ± 5% FC; H-M-1, H-M-2, and H-M-3 or H-L-1, H-L-2, and H-L-3: soil water content decreased from H to M/L during the heading/flowering/mature period, respectively; M-L-1, M-L-2, and M-L-3: soil water content decreased from M to L during the heading/flowering/mature period, respectively.
Mixture RatioNo DecreasingHeading Period
HMLH-M-1H-L-1M-L-1
B2L101.13 ± 0.040.98 ± 0.031.17 ± 0.051.04 ± 0.031.02 ± 0.021.15 ± 0.03
B4L81.05 ± 0.041.07 ± 0.051.17 ± 0.011.09 ± 0.051.01 ± 0.031.17 ± 0.05
B6L61.08 ± 0.021.03 ± 0.031.12 ± 0.061.10 ± 0.091.05 ± 0.081.06 ± 0.06
B8L41.01 ± 0.051.03 ± 0.101.15 ± 0.041.10 ± 0.061.01 ± 0.071.13 ± 0.08
B10L21.04 ± 0.041.09 ± 0.051.15 ± 0.031.07 ± 0.071.11 ± 0.101.15 ± 0.03
MixtureRatioFlowering PeriodMature Period
H-M-2H-L-2M-L-2H-M-3H-L-3M-L-3
B2L101.16 ± 0.081.03 ± 0.021.02 ± 0.031.05 ± 0.061.15 ± 0.060.95 ± 0.05
B4L81.13 ± 0.041.12 ± 0.031.14 ± 0.021.04 ± 0.041.16 ± 0.040.98 ± 0.08
B6L61.03 ± 0.011.02 ± 0.041.09 ± 0.031.11 ± 0.041.13 ± 0.081.00 ± 0.05
B8L41.06 ± 0.041.10 ± 0.071.08 ± 0.081.03 ± 0.061.14 ± 0.041.01 ± 0.06
B10L21.06 ± 0.031.10 ± 0.051.13 ± 0.051.06 ± 0.011.07 ± 0.021.14 ± 0.09
Publisher’s Note: MDPI stays neutral with regard to jurisdictional claims in published maps and institutional affiliations.

Share and Cite

MDPI and ACS Style

Xu, W.; Niu, F.; Kang, F.; Xu, B.; Deng, X.; Palta, J.A.; Chen, Y. Biomass Allocation and Competitive Ability of a Semiarid Perennial Grass and a Legume in Mixtures under Periodical Soil Water Decreasing Conditions. Agronomy 2022, 12, 2256. https://doi.org/10.3390/agronomy12102256

AMA Style

Xu W, Niu F, Kang F, Xu B, Deng X, Palta JA, Chen Y. Biomass Allocation and Competitive Ability of a Semiarid Perennial Grass and a Legume in Mixtures under Periodical Soil Water Decreasing Conditions. Agronomy. 2022; 12(10):2256. https://doi.org/10.3390/agronomy12102256

Chicago/Turabian Style

Xu, Weizhou, Furong Niu, Furen Kang, Bingcheng Xu, Xiping Deng, Jairo A. Palta, and Yinglong Chen. 2022. "Biomass Allocation and Competitive Ability of a Semiarid Perennial Grass and a Legume in Mixtures under Periodical Soil Water Decreasing Conditions" Agronomy 12, no. 10: 2256. https://doi.org/10.3390/agronomy12102256

APA Style

Xu, W., Niu, F., Kang, F., Xu, B., Deng, X., Palta, J. A., & Chen, Y. (2022). Biomass Allocation and Competitive Ability of a Semiarid Perennial Grass and a Legume in Mixtures under Periodical Soil Water Decreasing Conditions. Agronomy, 12(10), 2256. https://doi.org/10.3390/agronomy12102256

Note that from the first issue of 2016, this journal uses article numbers instead of page numbers. See further details here.

Article Metrics

Back to TopTop