Adaptation Potential of Current Wheat Cultivars and Planting Dates under the Changing Climate in Ethiopia
Abstract
:1. Introduction
2. Materials and Methods
2.1. The Study Area
2.2. Data Resources
2.3. Bias Correction
2.4. Performance Assessment of GCMs
2.5. Crop Simulation Model Calibration and Validation
2.6. Crop Model Simulation Design for the Future Period
2.7. Quantifying Adaptation Gain
- (1)
- Sowing date
- (2)
- New (improved) cultivar
2.8. Adjustment of Virtual Cultivars for Future Climate
3. Results
3.1. Climate Background
3.2. Performance of GCMs on Simulating Maximum Temperature, Minimum Temperature, and Precipitation
3.3. Temperature and Precipitation Projections for Wheat Growing Period
3.4. Crop Model Calibration and Validation
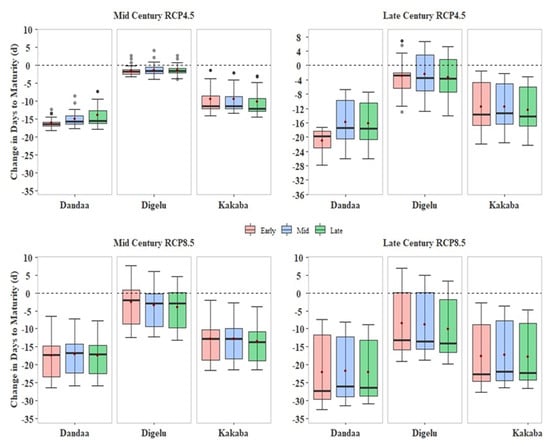
3.5. Crop Response to Future Climate Scenarios
3.6. Adaptation Gain from Adjusting Sowing Date and Using New (Improved) Variety
3.7. Yield Potential of Virtual Cultivars in the Future Climate
4. Discussion
5. Conclusions
- (1)
- For early sowing dates, yield decreased up to 5% and 4% for Dandaa and Digelu cultivars, respectively, for the future period, except in the 2080s, of RCP 8.5.
- (2)
- The Dandaa cultivar with a delay in the sowing date showed better adaptation potential by increasing its yield up to about 140 kg/ha and 148 kg/ha for mid-century and late-century, respectively, under RCP4.5. However, the Kakaba cultivar with early sowing dates demonstrated higher adaptation potential by increasing yield up to 142 kg/ha and 170kg/ha in the mid-century and late-century, respectively, under RCP 8.5.
- (3)
- The yield potential of virtual cultivars for late sowing dates increased up to 160% and 149% during mid-century and late-century, respectively, under RCP 4.5, and yield increased by 160% and 157% during mid-century and late-century, respectively, under RCP 8.5, compared to the reference cultivar baseline yield.
Author Contributions
Funding
Data Availability Statement
Acknowledgments
Conflicts of Interest
References
- IPCC. Summary for Policymakers. In Climate Change 2021: The Physical Science Basis. Contribution of Working Group I to the Sixth Assessment Report of the Intergovernmental Panel on Climate Change; Masson-Delmotte, V., Zhai, P., Pirani, A., Connors, S.L., Péan, C., Berger, S., Caud, N., Chen, Y., Goldfarb, L., Gomis, M.I., et al., Eds.; Cambridge University Press: Cambridge, UK, 2021; p. 41. [Google Scholar]
- Asseng, S.; Foster, I.; Turner, N.C. The impact of temperature variability on wheat yields. Glob. Chang. Biol. 2011, 17, 997–1012. [Google Scholar] [CrossRef]
- Ren, S.; Qin, Q.; Ren, H. Contrasting wheat phenological responses to climate change in global scale. Sci. Total Environ. 2019, 665, 620–631. [Google Scholar] [CrossRef]
- Rezaei, E.E.; Siebert, S.; Hüging, H.; Ewert, F. Climate change effect on wheat phenology depends on cultivar change. Sci. Rep. 2018, 8, 4891. [Google Scholar] [CrossRef] [Green Version]
- Liu, B.; Asseng, S.; Müller, C.; Ewert, F.; Elliott, J.; Lobell, D.B.; Martre, P.; Ruane, A.C.; Wallach, D.; Jones, J.W. Similar estimates of temperature impacts on global wheat yield by three independent methods. Nat. Clim. Chang. 2016, 6, 1130–1136. [Google Scholar] [CrossRef]
- Asseng, S.; Ewert, F.; Martre, P.; Rötter, R.P.; Lobell, D.B.; Cammarano, D.; Kimball, B.A.; Ottman, M.J.; Wall, G.W.; Whit, J.W. Rising temperatures reduce global wheat production. Nat. Clim. Chang. 2014, 5, 143–147. [Google Scholar] [CrossRef]
- Zhao, C.; Liu, B.; Piao, S.; Wang, X.; Lobell, D.B.; Huang, Y.; Huang, M. Temperature increase reduces global yields of major crops in four independent estimates. Proc. Nat. Acad. Sci. USA 2017, 114, 9326–9331. [Google Scholar] [CrossRef] [Green Version]
- Ray, D.K.; West, P.C.; Clark, M.; Gerber, J.S.; Prishchepov, V.; Chatterjee, S. Climate change has likely already affected global food production. PLoS ONE 2019, 14, e0217148. [Google Scholar] [CrossRef]
- Gourdji, S.M.; Sibley, A.M.; Lobell, D.B. Global crop exposure to critical high temperatures in the reproductive period: Historical trends and future projections. Environ. Res. Lett. 2013, 8, 024041. [Google Scholar] [CrossRef]
- Cibangu, S.K. Human Dark Skin and Equatorial Africa: Toward a Critique. Curr. Res. J. Soc. Sci. 2015, 7, 49–66. [Google Scholar] [CrossRef]
- Herold, N.; Alexander, L.; Green, D.; Donat, M. Greater increases in temperature extremes in low versus high income countries. Environ. Res. Lett. 2017, 12, 26–30. [Google Scholar] [CrossRef] [Green Version]
- Kheir, A.M.S.; El Baroudy, A.; Aiad, M.A.; Zoghdan, M.G.; Abd El-Aziz, M.A.; Ali, M.G.M.; Fullen, M.A. Impacts of rising temperature, carbon dioxide concentration and sea level on wheat production in North Nile delta. Sci. Total Environ. 2019, 651, 3161–3173. [Google Scholar] [CrossRef] [PubMed]
- Tadesse, W.; Bishaw, Z.; Assefa, S. Wheat production and breeding in Sub-Saharan Africa Challenges and opportunities in the face of climate change. Int. J. Clim. Chang. Strateg. Manag. 2018, 11, 696–715. [Google Scholar] [CrossRef] [Green Version]
- Demeke, M.; Di Marcantonio, F. Analysis of Incentives and Disincentives for Wheat in Ethiopia; Technicalnotes Series; MAFAP; FAO: Rome, Italy, 2013. [Google Scholar]
- World Bank. Cereal Market Performance In Ethiopia: Policy Implications for Improving Investments in Maize and Wheat Value Chain; World Bank: Washington, DC, USA, 2018; pp. 1–89. [Google Scholar]
- Haileselassie, B.; Habte, D.; Haileselassie, M.; Gebremeskel, G. Effects of mineral nitrogen and phosphorus fertilizers on yield and nutrient utilization of bread wheat (Tritcum aestivum) on the sandy soils of Hawzen District, Northern Ethiopia. Agric. For. Fish. 2014, 3, 189–198. [Google Scholar]
- Tufa, Z.D.; Getnet, M.; Nigatu, L. Modeling Impacts of Climate Change on Bread Wheat (Triticum Aestivum l.) Productivity in Bale Highlands, South Eastern Ethiopia: Case of Robe Area. Asian J. Appl. Sci. Eng. 2018, 7, 29–40. [Google Scholar]
- Tesfaye, S.; Bedada, B.; Mesay, Y. Impact of improved wheat technology adoption on productivity and income in Ethiopia. Afr. Crop Sci. J. 2016, 24, 127–135. [Google Scholar] [CrossRef] [Green Version]
- Evangelista, P.; Young, N.; Burnett, J. How will climate change spatially affect agriculture production in Ethiopia? Case studies of important cereal crops. Clim. Chang. 2013, 119, 855–873. [Google Scholar]
- Bryan, E.; Deressa, T.; Gbetibouo, G.A.; Ringler, C. Adaptation to Climate Change in Ethiopia and South Africa: Options and Constraints. Environ. Sci. Policy 2009, 12, 413–426. [Google Scholar] [CrossRef]
- NMA. Climate Change National Adaptation Programme of Action (NAPA) of Ethiopia; National Meteorological Services Agency, Ministry of Water Resources: Addis Ababa, Ethiopia, 2007; pp. 1–85.
- Araya, A.; Prasad, P.V.V.; Zambreski, Z.; Gowda, P.H.; Ciampitti, I.A.; Assefa, Y.; Girma, A. Spatial analysis of the impact of climate change factors and adaptation strategies on productivity of wheat in Ethiopia. Sci. Total Environ. 2020, 731, 139094. [Google Scholar] [CrossRef]
- Ketema, M.; Kassa, B. Impact of Technology on Smallholder Wheat Production in Bale Highlands of Ethiopia: Application of Output Decomposition Model. Turk. J. Agric. Food Sci. Technol. 2016, 4, 446–454. [Google Scholar] [CrossRef] [Green Version]
- Shiferaw, B.; Kassie, M.; Jaleta, M.; Yirga, C. Adoption of improved wheat varieties and impacts on household food security in Ethiopia. Food Policy 2014, 44, 272–284. [Google Scholar] [CrossRef]
- Howden, S.M.; Soussana, J.-F.; Tubiello, F.N.; Chhetri, N.; Dunlop, M.; Meinke, H. Adapting agriculture to climate change. Proc. Nat. Acad. Sci. USA 2007, 104, 19691–19696. [Google Scholar] [CrossRef] [Green Version]
- Nhemachena, C.; Nhamo, L.; Matchaya, G.; Nhemachena, C.R.; Muchara, B.; Karuaihe, S.T.; Mpandeli, S. Climate Change Impacts on Water and Agriculture Sectors in Southern Africa: Threats and Opportunities for Sustainable Development. Water 2020, 12, 2673. [Google Scholar] [CrossRef]
- Peng, B.; Guan, K.; Tang, J.; Ainsworth, E.A.; Asseng, S.; Bernacchi, C.J.; Cooper, M.; Delucia, E.H.; Elliott, J.W.; Ewert, F. Towards a multiscale crop modelling framework for climate change adaptation assessment. Nat. Plants 2020, 6, 338–348. [Google Scholar] [CrossRef]
- IPCC. Climate Change 2007: Impacts, Adaptation and Vulnerability. Contribution of Working Group II to the Fourth Assessment Report of the Intergovernmental Panel on Climate Change; Parry, M.L., Canziani, O.F., Palutikof, J.P., Van der, P.J., Hanson, C.E., Eds.; Cambridge University Press: Cambridge, UK, 2007. [Google Scholar]
- EPCC. Ethiopian Panel on Climate Change (2015), First Assessment Report, Working Group I Physical Science Basis; Ethiopian Academy of Science: Addis Ababa, Ethiopia, 2015; p. 105. [Google Scholar]
- Abera, E.A.; Getnet, M.; Nigatu, L. Impacts of Climate Change on Bread Wheat (Triticum aestivum L) Yield in Adet, North Western Ethiopia. J. Pet. Environ. Biotechnol. 2019, 10, 396. [Google Scholar]
- Degefie, D.T.; Seid, J.; Gessesse, B.; Bedada, T.B. Agricultural drought projection in Ethiopia from 1981 to 2050: Using coordinated regional climate downscaling experiment climate data for Africa. In Extreme Hydrology and Climate Variability Monitoring, Modelling, Adaptation and Mitigation; Melesse, A.M., Abtew, W., Senay, G., Eds.; Elsevier: Amsterdam, The Netherlands, 2019; pp. 311–323. [Google Scholar]
- Gidey, E.; Dikinya, O.; Sebego, R.; Segosebe, E.; Zenebe, A. Predictions of future meteorological drought hazard (~2070) under the representative concentration path (RCP) 4.5 climate change scenarios in Raya, Northern Ethiopia. Model. Earth Syst. Environ. 2018, 4, 475–488. [Google Scholar]
- Lindi, S.; Hone, M.; Meskelu, E.; Iticha, B.; Admasu, W.; Tadesse, K. Integrated Effect of Different Mulching and Furrow Irrigation Techniques on Potato (Solanum tuberosum L.) Yield and Water Productivity at Kulumsa, Ethiopia. Acad. Res. J. Agric. Sci. Res. 2018, 6, 488–494. [Google Scholar]
- Wolde, T.; Eticha, F.; Alamerew, S.; Assefa, E.; Dutamo, D.; Birhanu, M. Trait Associations in Some Durum Wheat (Triticum durum L.) Accessions among Yield and Yield related Traits at Kulumsa, South Eastern Ethiopia. Adv. Crop Sci. Technol. 2016, 4, 234. [Google Scholar]
- Fikre, G.; Alamerew, S.; Zerihun, T. Genetic Variability Studies in Bread Wheat (Triticum Aestivum L.) Genotypes at Kulumsa Agricultural Research Center, South East Ethiopia. J. Biol. Agric. Healthc. 2015, 5, 89–99. [Google Scholar]
- Amanuel, G.; Kühne, R.F.; Tanner, D.G.; Vlek, P.L.G. Biological nitrogen fixation in faba bean (Vicia faba L.) in the Ethiopian highlands as affected by P fertilization and inoculation. Biol. Fertil. Soils 2000, 32, 353–359. [Google Scholar]
- Gebre-Mariam, H.; Tanner, D.G.; Hulluka, M. Wheat Research in Ethiopia: A Historical Perspective; Institute of Agricultural Research and International Maize and Wheat Improvement Center: Addis Ababa, Ethiopia, 1991; p. 392. [Google Scholar]
- Ziska, L.H.; Fleisher, D.H.; Linscombe, S. Ratooning as an adaptive management tool for climatic change in rice systems along a north-south transect in the southern Mississippi valley. Agric. For. Meteorol. 2018, 263, 409–416. [Google Scholar] [CrossRef]
- Jones, P.G.; Thornton, P.K. Generating downscaled weather data from a suite of climate models for agricultural modelling applications. Agric. Syst. 2013, 114, 1–5. [Google Scholar] [CrossRef]
- Hadgu, G.; Tesfaye, K.; Mamo, G. Analysis of climate change in Northern Ethiopia: Implications for agricultural production. Theor. Appl. Clim. 2014, 121, 733–747. [Google Scholar] [CrossRef]
- Muluneh, A. Impact of climate change on soil water balance, maize production, and potential adaptation measures in the Rift Valley drylands of Ethiopia. J. Arid Environ. 2020, 179, 104195. [Google Scholar] [CrossRef]
- Sorecha, E.M.; Tsehai, K.K.; Hadgu, G.; Lupi, A. Exploring the Impacts of Climate Change on Chickpea (Cicer arietinum L.) Production in Central Highlands of Ethiopia. Acad. Res. J. Agri. Sci. Res. 2017, 5, 140–150. [Google Scholar]
- Woldesenbet, T.A.; Elagib, N.A.; Ribbe, L.; Jürgen, H. Catchment response to climate and land use changes in the Upper Blue Nile sub-basins, Ethiopia. Sci. Total Environ. 2018, 644, 193–206. [Google Scholar] [CrossRef] [PubMed]
- Yadeta, D.; Kebede, A.; Tessema, N. Potential evapotranspiration models evaluation, modelling, and projection under climate scenarios, Kesem sub-basin, Awash River basin, Ethiopia. Model. Earth Syst. Environ. 2020, 6, 2165–2176. [Google Scholar] [CrossRef]
- Jones, P.G.; Thornton, P.K.; Diaz, W.; Wilkens, P. MarkSim: A Computer Tool that Generates Simulated Weather Data for Crop Modeling and Risk Assessment; Centro International de Agricultura Tropical (CIAT): Cali, Colombia, 2002; pp. 1–87. [Google Scholar]
- Ahmed, F.; Rafii, M.Y.; Ismail, M.R.; Juraimi, A.S.; Rahim, H.A.; Asfaliza, R.; Latif, M.A. Waterlogging tolerance of crops: Breeding, mechanism of tolerance, molecular approaches, and future prospects. Biomed. Res. Int. 2013, 2013, 963525. [Google Scholar] [CrossRef] [PubMed]
- Maraun, D.; Shepherd, T.G.; Widmann, M.; Zappa, G.; Walton, D.; Gutiérrez, J.M.; Hagemann, S.; Richter, I.; Soares, P.M.M.; Hall, A. Towards process-informed bias correction of climate change simulations. Nat. Clim. Chang. 2017, 7, 764–773. [Google Scholar] [CrossRef] [Green Version]
- Aqilah Tukimat, N.N. Assessing the implementation of bias correction in the climate prediction. IOP Conf. Ser. Mater. Sci. Eng. 2018, 342, 012004. [Google Scholar] [CrossRef]
- Shrestha, S.; Shrestha, M.; Babel, M.S. Modelling the potential impacts of climate change on hydrology and water resources in the Indrawati River Basin, Nepal. Environ. Earth Sci. 2016, 75, 280. [Google Scholar] [CrossRef]
- Rezzoug, W.; Gabrielle, B.; Suleiman, A.; Benabdeli, K. Application and evaluation of the DSSAT-wheat in the Tiaret region of Algeria. Afr. J. Agric. Res. 2008, 3, 284–296. [Google Scholar]
- Gangadhar Rao, D. Validation Of Corn, Soybean, And Wheat Models In Dssat For Assessing Climate Change Impacts On Midwest Crop Production. In Effects of Climate Change and Variability on Agricultural Production Systems; Doering, O.C., Randolph, J.C., III, Southworth, J., Pfeifer, R.A., Eds.; Kluwer Academic Publishers: Hyderabad, India, 2002; pp. 101–125. [Google Scholar]
- AGMIP. Guide for Regional Integrated Assessments: Handbook of Methods and Procedures Version 5.1; World Scientific Publishing Co Pte Ltd.: Singapore, 2014; p. 53. [Google Scholar]
- Lobell, D.B. Climate change adaptation in crop production: Beware of illusions. Glob. Food Sec. 2014, 3, 72–76. [Google Scholar] [CrossRef]
- Senapati, N.; Brown, H.E.; Semenov, M.A. Raising genetic yield potential in high productive countries: Designing wheat ideotypes under climate change. Agric. For. Meteorol. 2019, 271, 33–45. [Google Scholar] [CrossRef]
- Rötter, R.P.; Tao, F.; Höhn, J.G.; Palosuo, T. Use of crop simulation modelling to aid ideotype design of future cereal cultivars. J. Exp. Bot. 2015, 66, 3463–3476. [Google Scholar] [CrossRef] [Green Version]
- Araya, A.; Hoogenboom, G.; Luedeling, E.; Hadgu, K.M.; Kisekka, I.; Martorano, L.G. Assessment of maize growth and yield using crop models under present and future climate in southwestern Ethiopia. Agric. For. Meteorol. 2015, 214–215, 252–265. [Google Scholar]
- Ongoma, V.; Chena, H.; Gaoa, C. Projected changes in mean rainfall and temperature over east Africa based on CMIP5 models. Int. J. Climatol. 2017, 38, 1375–1392. [Google Scholar] [CrossRef]
- Gebrechorkos, S.H.; Hülsmann, S.; Bernhofer, C. Regional climate projections for impact assessment studies in East Africa. Environ. Res. Lett. 2019, 14, 044031. [Google Scholar] [CrossRef]
- Kassie, B.T.; Rötter, R.P.; Hengsdijk, H.; Asseng, S.; Van Ittersum, M.K.; Kahiluoto, H.; Van Keulen, H. Climate variability and change in the Central Rift Valley of Ethiopia: Challenges for rainfed crop production. J. Agric. Sci. 2013, 152, 58–74. [Google Scholar] [CrossRef]
- Haile, G.G.; Tang, Q.; Hosseini-Moghari, S.; Liu, X.; Gebremicael, T.G.; Leng, G.; Kebede, A.; Xu, X.; Yun, X. Projected Impacts of Climate Change on Drought Patterns Over East Africa Earth ’ s Future. Earth’s Future 2020, 10, e2020EF001502. [Google Scholar]
- Eitzinger, J.; Štastná, M.; Žalud, Z.; Dubrovský, M.A. simulation study of the effect of soil water balance and water stress on winter wheat production under different climate change scenarios. Agric. Water Manag. 2003, 61, 195–217. [Google Scholar] [CrossRef]
- Hei, N.; Shimelis, H.A.; Laing, M. Appraisal of farmers ’ wheat production constraints and breeding priorities in rust prone agro-ecologies of Ethiopia. Afr. J. Agric. Res. 2017, 12, 944–952. [Google Scholar]
- Bassu, S.; Asseng, S.; Motzo, R.; Giunta, F. Optimising sowing date of durum wheat in a variable Mediterranean environment. F. Crop. Res. 2009, 111, 109–118. [Google Scholar] [CrossRef]
- Yang, C.; Fraga, H.; van Ieperen, W.; Trindade, H.; Santos, J.A. Effects of climate change and adaptation options on winter wheat yield under rainfed Mediterranean conditions in southern Portugal. Clim. Change 2019, 154, 159–178. [Google Scholar] [CrossRef] [Green Version]
- Sultan, B.; Guan, K.; Kouressy, M.; Biasutti, M.; Piani, C.; Hammer, G.L.; McLean, G.; Lobell, D.B. Robust features of future climate change impacts on sorghum yields in West Africa. Environ. Res. Lett. 2014, 9, 104006. [Google Scholar] [CrossRef]
- Joshi, K.D.; Rehman, A.U.; Ullah, G.; Nazir, M.F.; Zahara, M.; Akhtar, J.; Khan, M.; Baloch, A.; Khokhar, J.; Ellahi, E. Acceptance and competitiveness of new improved wheat varieties by smallholder farmers. J. Crop Improv. 2017, 31, 608–627. [Google Scholar] [CrossRef] [Green Version]
- Abdoulaye, T.; Wossen, T.; Awotide, B. Impacts of improved maize varieties in Nigeria: Ex-post assessment of productivity and welfare outcomes. Food Secur. 2018, 10, 369–379. [Google Scholar] [CrossRef]
- Dibaba, R.; Hagos, A.; Bekele, A. Effect of Climate Change on Agricultural Technologies and Determinants of Adaptation Strategies by Small-holder Farmers in Benishangul-Gumuz Regional State of Ethiopia. Am. Res. J. Bus. Manag. 2019, 5, 1–17. [Google Scholar] [CrossRef]


















| Data | Description | Source |
|---|---|---|
| Climate | Daily data from 1981 to 2015: maximum temperature, minimum temperature, precipitation, and solar radiation at Kulumsa station | National Meteorology Agency of Ethiopia |
| Crop | Row spacing, sowing date, days to emergence, days to anthesis, days to maturity, grain yield, fertilizer application, etc. of Digelu, Kakaba and Dandaa cultivars from 2011 to 2015 | Kulumsa Agricultural Research Center, Ethiopia |
| Soil | Organic carbon, pH in water, cation exchange capacity, bulk density, total nitrogen, etc. | Technical Reports of National Soil Research Center of Ethiopian Agricultural Research Organization |
| Cultivar | Sowing Date | Row Spacing | Date of Emergence | Anthesis Date | Maturity Date | Harvesting Date |
|---|---|---|---|---|---|---|
| Dandaa | 25/06/2011 | 20 cm | 30/06/2011 | 14/09/2011 | 16/11/2011 | 30/11/2011 |
| 29/06/2012 | 20 cm | 05/07/2012 | 15/09/2012 | 24/10/2012 | 11/11/2012 | |
| 30/06/2013 | 20 cm | 04/07/2013 | 14/09/2013 | 30/10/2013 | 15/11/2013 | |
| 02/07/2014 | 20 cm | 06/07/2014 | 26/08/2014 | 16/10/2014 | 03/11/2014 | |
| 05/07/2015 | 20 cm | 09/07/2015 | 10/09/2015 | 22/10/2015 | 06/11/2015 | |
| Digelu | 25/06/2011 | 20 cm | 01/07/2011 | 04/09/2011 | 16/10/2011 | 03/11/2011 |
| 29/06/2012 | 20 cm | 06/07/2012 | 14/09/2012 | 27/10/2012 | 14/11/2012 | |
| 30/06/2013 | 20 cm | 05/07/2013 | 15/09/2013 | 04/11/2013 | 21/11/2013 | |
| 27/06/2014 | 20 cm | 02/07/2014 | 12/09/2014 | 28/10/2014 | 14/11/2014 | |
| 22/06/2015 | 20 cm | 27/06/2015 | 07/09/2015 | 02/11/2015 | 20/11/2015 | |
| Kakaba | 26/06/2011 | 20 cm | 01/07/2011 | 28/08/2011 | 19/10/2011 | 04/11/2011 |
| 29/06/2012 | 20 cm | 05/07/2012 | 21/08/2012 | 29/09/2012 | 02/11/2012 | |
| 27/06/2013 | 20 cm | 01/07/2013 | 29/08/2013 | 28/10/2013 | 13/11/2013 | |
| 02/07/2014 | 20 cm | 06/07/2014 | 20/08/2014 | 14/10/2014 | 31/10/2014 | |
| 28/06/2015 | 20 cm | 02/07/2015 | 24/08/2015 | 14/10/2015 | 30/10/2015 |
| GCM | Institution | Resolution (Latitude × Longitude) |
|---|---|---|
| CSIRO-Mk3.6.0 | Commonwealth Scientific and Industrial Research Organization and the Queensland Climate Change Centre of Excellence | 1.875 × 1.875 |
| HadGEM2-ES | Met Office Hadley Centre | 1.2414 × 1.875 |
| MIROC5 | Japan Agency for Marine–Earth Science and Technology, Atmosphere and Ocean Research Institute (The University of Tokyo), and National Institute for Environmental Studies | 1.4063 × 1.4063 |
| MRI-CGCM3 | Meteorological Research Institute | 1.125 × 1.125 |
| Coefficients | Definition |
|---|---|
| P1V | Days, optimum vernalizing temperature, required for vernalization |
| P1D | Photoperiod response (% reduction in rate/10 h drop in pp) |
| P5 | Grain-filling (excluding lag) phase duration (degree day) |
| G1 | Kernel number per unit canopy weight at anthesis (kernel number/g) |
| G2 | Standard kernel size under optimum conditions (mg) |
| G3 | Standard, non-stressed dry weight (total, including grain) of a single tiller at maturity (g) |
| PHINT | Thermal time between the appearance of leaf tips (degree days) |
| Scenario | Years | Carbon Dioxide Concentration |
|---|---|---|
| Current | 1980–2009 | 360 ppm |
| RCP 4.5 | 2010–2039 | 423 ppm |
| RCP 8.5 | 2010–2039 | 432 ppm |
| RCP 4.5 | 2040–2069 | 499 ppm |
| RCP 8.5 | 2040–2069 | 571 ppm |
| RCP 4.5 | 2070–2099 | 532 ppm |
| RCP 8.5 | 2070–2099 | 801 ppm |
| Parameter | Reference Cultivar Value | Minimum Value | Maximum Value | ||
|---|---|---|---|---|---|
| Dandaa Digelu Kakaba | |||||
| P1V | 6 | 8 | 9 | 0 | 60 |
| P1D | 92 | 78 | 81 | 0 | 200 |
| P5 | 585 | 777 | 768 | 100 | 999 |
| G1 | 15 | 15 | 21 | 10 | 50 |
| G2 | 23 | 21 | 23 | 10 | 80 |
| G3 | 1.0 | 1.0 | 1.3 | 0.5 | 8 |
| PHINT | 60 | 60 | 60 | 30 | 150 |
| Parameters | Virtual Cultivars | ||||||||
|---|---|---|---|---|---|---|---|---|---|
| VC 1 | VC 2 | VC 3 | VC 4 | VC 5 | VC 6 | VC 7 | VC 8 | VC 9 | |
| P1V | 1 | 8 | 4 | 5 | 11 | 10 | 6 | 4 | 11 |
| P1D | 60 | 94 | 84 | 71 | 80 | 85 | 65 | 72 | 83 |
| P5 | 575 | 589 | 560 | 760 | 717 | 725 | 710 | 812 | 765 |
| G1 | 16 | 17 | 13 | 16 | 19 | 17 | 26 | 24 | 19 |
| G2 | 47 | 27 | 32 | 27 | 24 | 25 | 28 | 26 | 24 |
| G3 | 0.4 | 1.1 | 0.8 | 1.3 | 1.4 | 1.2 | 1.5 | 1.1 | 1.1 |
| PHINT | 81 | 62 | 72 | 62 | 66 | 63 | 64 | 62 | 62 |
| Statistic | Parameter | GCM | ||||
|---|---|---|---|---|---|---|
| CSIRO-Mk3.6.0 | HadGEM2-ES | MIROC5 | MRI-CGCM3 | Mean of GCMs | ||
| R2 | Maximum temperature | 0.9 | 0.9 | 0.7 | 0.8 | 0.9 |
| Minimum temperature | 0.9 | 0.8 | 0.8 | 0.9 | 0.9 | |
| Precipitation | 0.9 | 0.8 | 0.6 | 0.8 | 0.9 | |
| RMSE | Maximum temperature | 0.4 | 0.5 | 0.9 | 0.6 | 0.3 |
| Minimum temperature | 0.4 | 0.7 | 0.6 | 0.6 | 0.3 | |
| Precipitation | 20.7 | 25 | 51.7 | 21 | 19.5 |
| Coefficients | Dandaa | Digelu | Kakaba |
|---|---|---|---|
| P1V | 6 | 8 | 9 |
| P1D | 92 | 78 | 81 |
| P5 | 585 | 777 | 768 |
| G1 | 15 | 15 | 21 |
| G2 | 23 | 21 | 23 |
| G3 | 1.0 | 1.0 | 1.3 |
| PHINT | 60 | 60 | 60 |
| Cultivar | Parameter | RMSE | d | ME | R2 |
|---|---|---|---|---|---|
| Dandaa | Days to anthesis | 3 | 0.9 | 0.8 | 0.9 |
| Days to maturity | 8.7 | 0.9 | 0.6 | 0.9 | |
| Yield | 331.3 | 0.9 | −1.1 | 0.8 | |
| Digelu | Days to anthesis | 6.4 | 0.7 | −5.4 | 0.2 |
| Days to maturity | 4.1 | 0.9 | 0.8 | 0.9 | |
| Yield | 137.1 | 0.9 | 0.7 | 0.9 | |
| Kakaba | Days to anthesis | 3.4 | 0.9 | 0.6 | 0.6 |
| Days to maturity | 4.7 | 0.9 | 0.5 | 0.6 | |
| Yield | 323.1 | 0.9 | 0.6 | 0.9 |
Publisher’s Note: MDPI stays neutral with regard to jurisdictional claims in published maps and institutional affiliations. |
© 2021 by the authors. Licensee MDPI, Basel, Switzerland. This article is an open access article distributed under the terms and conditions of the Creative Commons Attribution (CC BY) license (https://creativecommons.org/licenses/by/4.0/).
Share and Cite
Demelash, T.; Amou, M.; Gyilbag, A.; Tesfay, G.; Xu, Y. Adaptation Potential of Current Wheat Cultivars and Planting Dates under the Changing Climate in Ethiopia. Agronomy 2022, 12, 37. https://doi.org/10.3390/agronomy12010037
Demelash T, Amou M, Gyilbag A, Tesfay G, Xu Y. Adaptation Potential of Current Wheat Cultivars and Planting Dates under the Changing Climate in Ethiopia. Agronomy. 2022; 12(1):37. https://doi.org/10.3390/agronomy12010037
Chicago/Turabian StyleDemelash, Tsedale, Martial Amou, Amatus Gyilbag, Goitom Tesfay, and Yinlong Xu. 2022. "Adaptation Potential of Current Wheat Cultivars and Planting Dates under the Changing Climate in Ethiopia" Agronomy 12, no. 1: 37. https://doi.org/10.3390/agronomy12010037
APA StyleDemelash, T., Amou, M., Gyilbag, A., Tesfay, G., & Xu, Y. (2022). Adaptation Potential of Current Wheat Cultivars and Planting Dates under the Changing Climate in Ethiopia. Agronomy, 12(1), 37. https://doi.org/10.3390/agronomy12010037
