Estimation of Stagnosol Hydraulic Properties and Water Flow Using Uni- and Bimodal Porosity Models in Erosion-Affected Hillslope Vineyard Soils
Abstract
:1. Introduction
2. Materials and Methods
2.1. Experimental Site and Soil Properties
2.2. Soil Hydraulic Properties Estimation
2.3. Fitting of the SWRC and SHCC Using Uni- and Bimodal Hydraulic Models
2.4. Water Flow Modeling
3. Results and Discussion
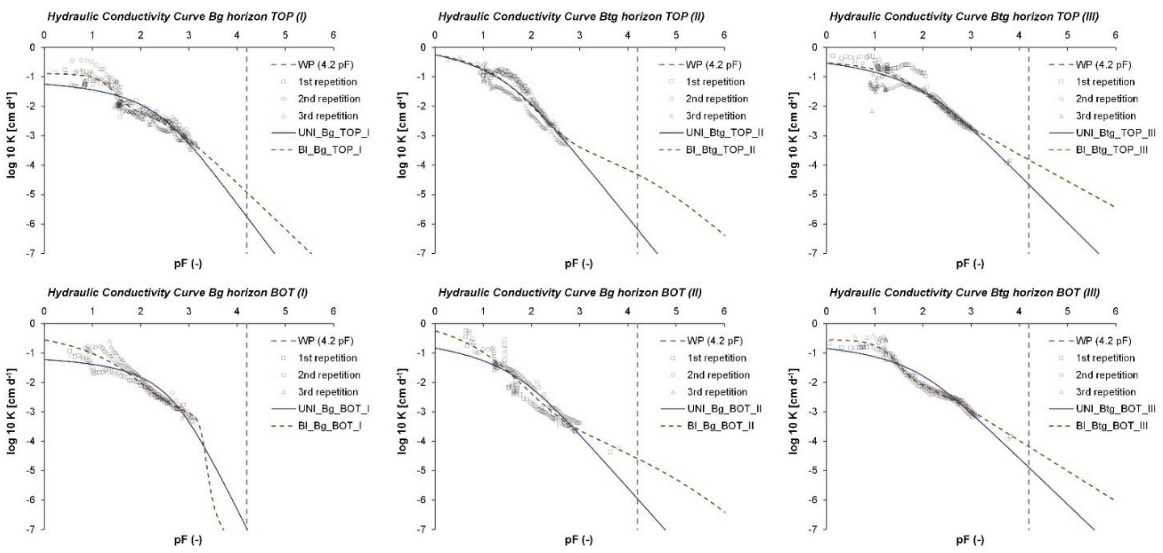
3.1. Soil Hydraulic Properties
3.2. Water Flow Modeling
4. Conclusions
Author Contributions
Funding
Institutional Review Board Statement
Informed Consent Statement
Data Availability Statement
Acknowledgments
Conflicts of Interest
References
- Poesen, J. Soil erosion in the Anthropocene: Research needs. Earth Surf. Process. Landforms 2018, 43, 64–84. [Google Scholar] [CrossRef]
- Borrelli, P.; Alewell, C.; Alvarez, P.; Anache, J.A.A.; Baartman, J.; Ballabio, C.; Bezak, N.; Biddoccu, M.; Cerdà, A.; Chalise, D.; et al. Soil erosion modelling: A global review and statistical analysis. Sci. Total Environ. 2021, 780, 146494. [Google Scholar] [CrossRef] [PubMed]
- Oldeman, L.R. Global extent of soil degradation. In Soil Resilience and Sustainable Landuse; Greenland, D.J., Szabolcs, I., Eds.; CAB International: Wallingford, UK, 1994; pp. 99–119. [Google Scholar]
- Wuepper, D.; Borrelli, P.; Finger, R. Countries and the global rate of soil erosion. Nat. Sustain. 2020, 3, 51–55. [Google Scholar] [CrossRef]
- Govers, G.; Quine, T.A.; Desmet, P.J.J.; Walling, D.E. The relative contribution of soil tillage and overland flow erosion to soil redistribution on agricultural land. Earth Surf. Process. Landforms 1996, 21, 929–946. [Google Scholar] [CrossRef]
- Comino, J.R.; Senciales, J.M.; Ramos, M.C.; Martinez-Casasnovas, J.A.; Lasanta, T.; Brevik, E.C.; Ries, J.B.; Sinoga, J.D.R. Understanding soil erosion processes in Mediterranean sloping vineyards (Montes de Málaga, Spain). Geoderma 2017, 296, 47–59. [Google Scholar] [CrossRef] [Green Version]
- Casalí, J.; Giménez, R.; De Santisteban, L.; Álvarez-Mozos, J.; Mena, J.; Lersundi, J.D.V.d. Determination of long-term erosion rates in vineyards of Navarre (Spain) using botanical benchmarks. CATENA 2009, 78, 12–19. [Google Scholar] [CrossRef]
- Biddoccu, M.; Ferraris, S.; Opsi, F.; Cavallo, E. Long-term monitoring of soil management effects on runoff and soil erosion in sloping vineyards in Alto Monferrato (North–West Italy). Soil Tillage Res. 2016, 155, 176–189. [Google Scholar] [CrossRef]
- Paroissien, J.-B.; Lagacherie, P.; Le Bissonnais, Y. A regional-scale study of multi-decennial erosion of vineyard fields using vine-stock unearthing–burying measurements. Catena 2010, 82, 159–168. [Google Scholar] [CrossRef]
- Prosdocimi, M.; Cerdà, A.; Tarolli, P. Soil water erosion on Mediterranean vineyards: A review. Catena 2016, 141, 1–21. [Google Scholar] [CrossRef]
- Verheijen, F.G.A.; Jones, R.J.A.; Rickson, R.J.; Smith, C.J. Tolerable versus actual soil erosion rates in Europe. Earth Sci. Rev. 2009, 94, 23–38. [Google Scholar] [CrossRef] [Green Version]
- Novara, A.; Pisciotta, A.; Minacapilli, M.; Maltese, A.; Capodici, F.; Cerdà, A.; Gristina, L. The impact of soil erosion on soil fertility and vine vigor. A multidisciplinary approach based on field, laboratory and remote sensing approaches. Sci. Total Environ. 2018, 622, 474–480. [Google Scholar] [CrossRef] [PubMed] [Green Version]
- Rodrigo-Comino, J.; Senciales, J.M.; Sillero-Medina, J.A.; Gyasi-Agyei, Y.; Ruiz-Sinoga, J.D.; Ries, J.B. Analysis of Weather-Type-Induced Soil Erosion in Cultivated and Poorly Managed Abandoned Sloping Vineyards in the Axarquía Region (Málaga, Spain). Air Soil Water Res. 2019, 12, 117862211983940. [Google Scholar] [CrossRef]
- Bogunovic, I.; Telak, L.J.; Pereira, P. Experimental Comparison of Runoff Generation and Initial Soil Erosion Between Vineyards and Croplands of Eastern Croatia: A Case Study. Air Soil Water Res. 2020, 13, 117862212092832. [Google Scholar] [CrossRef]
- Cerdan, O.; Govers, G.; Le Bissonnais, Y.; Van Oost, K.; Poesen, J.; Saby, N.; Gobin, A.; Vacca, A.; Quinton, J.; Auerswald, K.; et al. Rates and spatial variations of soil erosion in Europe: A study based on erosion plot data. Geomorphology 2010, 122, 167–177. [Google Scholar] [CrossRef]
- Groh, J. Crop growth and soil water fluxes at erosion-affected arable sites: A model inter-comparison based on weighing-lysimeter observations. In Proceedings of the EGU General Assembly Conference Abstracts, Vienna, Austria, 3–8 May 2020. [Google Scholar]
- Van Oost, K.; Van Muysen, W.; Govers, G.; Heckrath, G.; Quine, T.A.; Poesen, J. Simulation of the redistribution of soil by tillage on complex topographies. Eur. J. Soil Sci. 2003, 54, 63–76. [Google Scholar] [CrossRef]
- Horn, R.; Smucker, A. Structure formation and its consequences for gas and water transport in unsaturated arable and forest soils. Soil Tillage Res. 2005, 82, 5–14. [Google Scholar] [CrossRef]
- Rieckh, H.; Gerke, H.H.; Siemens, J.; Sommer, M. Water and Dissolved Carbon Fluxes in an Eroding Soil Landscape Depending on Terrain Position. Vadose Zone J. 2014, 13, vzj2013–10. [Google Scholar] [CrossRef]
- Herbrich, M.; Gerke, H.H.; Bens, O.; Sommer, M. Water balance and leaching of dissolved organic and inorganic carbon of eroded Luvisols using high precision weighing lysimeters. Soil Tillage Res. 2017, 165, 144–160. [Google Scholar] [CrossRef]
- Deumlich, D.; Schmidt, R.; Sommer, M. A multiscale soil-landform relationship in the glacial-drift area based on digital terrain analysis and soil attributes. J. Plant Nutr. Soil Sci. 2010, 173, 843–851. [Google Scholar] [CrossRef]
- Filipović, V.; Gerke, H.H.; Filipović, L.; Sommer, M. Quantifying Subsurface Lateral Flow along Sloping Horizon Boundaries in Soil Profiles of a Hummocky Ground Moraine. Vadose Zone J. 2018, 17, 170106. [Google Scholar] [CrossRef] [Green Version]
- Schindler, U.; von Unold, G.; Durner, W.; Mueller, L. Recent Progress in Measuring Soil Hydraulic Properties. In Proceedings of the International Academy of Engineers (IA-E), Pattaya, Thailand, 24–25 April 2015; pp. 24–25. [Google Scholar]
- Campbell, C.S.; Cobos, D.R.; Rivera, L.D.; Dunne, K.M.; Campbell, G.S. Constructing fast, accurate soil water characteristic curves by combining the wind/schindler and vapor pressure techniques. In Unsaturated Soils: Research and Applications; Springer: Berlin/Heidelberg, Germany, 2012; pp. 55–62. [Google Scholar]
- Schaap, M.G.; Leij, F.J.; van Genuchten, M.T. Rosetta: A computer program for estimating soil hydraulic parameters with hierarchical pedotransfer functions. J. Hydrol. 2001, 251, 163–176. [Google Scholar] [CrossRef]
- Van Genuchten, M.T.; Simunek, J.; Schaap, M.G.; Skaggs, T.H. Unsaturated Zone Parameter Estimation Using the HYDRUS and Rosetta Software Packages. Proceedings of International Workshop “Uncertainty, Sensitivity, and Parameter Estimation for Multimedia Environmental Modeling”, Rockville, MD, USA, 19–21 August 2003. [Google Scholar]
- Shokrana, M.S.B.; Ghane, E. Measurement of soil water characteristic curve using HYPROP2. MethodsX 2020, 7, 100840. [Google Scholar] [CrossRef] [PubMed]
- Kodešová, R.; Šimůnek, J.; Nikodem, A.; Jirků, V. Estimation of the Dual-Permeability Model Parameters using Tension Disk Infiltrometer and Guelph Permeameter. Vadose Zone J. 2010, 9, 213–225. [Google Scholar] [CrossRef]
- Filipović, V.; Coquet, Y.; Gerke, H.H. Representation of Plot-Scale Soil Heterogeneity in Dual-Domain Effective Flow and Transport Models with Mass Exchange. Vadose Zone J. 2019, 18, 1–14. [Google Scholar] [CrossRef] [Green Version]
- Filipović, V.; Defterdarović, J.; Šimůnek, J.; Filipović, L.; Ondrašek, G.; Romić, D.; Bogunović, I.; Mustać, I.; Ćurić, J.; Kodešová, R. Estimation of vineyard soil structure and preferential flow using dye tracer, X-ray tomography, and numerical simulations. Geoderma 2020, 380, 114699. [Google Scholar] [CrossRef]
- Durner, W. Hydraulic conductivity estimation for soils with heterogeneous pore structure. Water Resour. Res. 1994, 30, 211–223. [Google Scholar] [CrossRef]
- Gerke, H.H. Preferential flow descriptions for structured soils. J. Plant Nutr. Soil Sci. 2006, 169, 382–400. [Google Scholar] [CrossRef]
- Jarvis, N.J. A review of non-equilibrium water flow and solute transport in soil macropores: principles, controlling factors and consequences for water quality. Eur. J. Soil Sci. 2007, 58, 523–546. [Google Scholar] [CrossRef]
- Gerke, H.H.; van Genuchten, M.T. A dual-porosity model for simulating the preferential movement of water and solutes in structured porous media. Water Resour. Res. 1993, 29, 305–319. [Google Scholar] [CrossRef]
- Haghverdi, A.; Najarchi, M.; Öztürk, H.S.; Durner, W. Studying Unimodal, Bimodal, PDI and Bimodal-PDI Variants of Multiple Soil Water Retention Models: I. Direct Model Fit Using the Extended Evaporation and Dewpoint Methods. Water 2020, 12, 900. [Google Scholar] [CrossRef] [Green Version]
- Flanagan, D.C.; Gilley, J.E.; Franti, T.G. Water erosion prediction project (WEPP): Development history, model capabilities, and future enhancements. Trans. ASABE 2007, 50, 1603–1612. [Google Scholar] [CrossRef]
- Arnold, J.G.; Moriasi, D.N.; Gassman, P.W.; Abbaspour, K.C.; White, M.J.; Srinivasan, R.; Santhi, C.; Harmel, R.D.; Van Griensven, A.; Van Liew, M.W.; et al. SWAT: Model use, calibration and validation. Trans. ASABE 2012, 55, 1491–1508. [Google Scholar] [CrossRef]
- Nyakatawa, E.Z.; Reddy, K.C.; Lemunyon, J.L. Predicting soil erosion in conservation tillage cotton production systems using the revised universal soil loss equation (RUSLE). Soil Tillage Res. 2001, 57, 213–224. [Google Scholar] [CrossRef]
- Šimůnek, J.; van Genuchten, M.T.; Šejna, M. Recent Developments and Applications of the HYDRUS Computer Software Packages. Vadose Zone J. 2016, 15. [Google Scholar] [CrossRef] [Green Version]
- Dettmann, U.; Bechtold, M.; Frahm, E.; Tiemeyer, B. On the applicability of unimodal and bimodal van Genuchten-Mualem based models to peat and other organic soils under evaporation conditions. J. Hydrol. 2014, 515, 103–115. [Google Scholar] [CrossRef] [Green Version]
- Rieckh, H.; Gerke, H.H.; Sommer, M. Hydraulic properties of characteristic horizons depending on relief position and structure in a hummocky glacial soil landscape. Soil Tillage Res. 2012, 125, 123–131. [Google Scholar] [CrossRef]
- Jakšík, O.; Kodešová, R.; Kubiš, A.; Stehlíková, I.; Drábek, O.; Kapička, A. Soil aggregate stability within morphologically diverse areas. Catena 2015, 127, 287–299. [Google Scholar] [CrossRef]
- Nikodem, A.; Kodešová, R.; Fér, M.; Klement, A. Using scaling factors for characterizing spatial and temporal variability of soil hydraulic properties of topsoils in areas heavily affected by soil erosion. J. Hydrol. 2021, 593, 125897. [Google Scholar] [CrossRef]
- Bogunovic, I.; Pereira, P.; Kisic, I.; Sajko, K.; Sraka, M. Tillage management impacts on soil compaction, erosion and crop yield in Stagnosols (Croatia). Catena 2018, 160, 376–384. [Google Scholar] [CrossRef]
- Haghverdi, A.; Öztürk, H.S.; Durner, W. Studying Unimodal, Bimodal, PDI and Bimodal-PDI Variants of Multiple Soil Water Retention Models: II. Evaluation of Parametric Pedotransfer Functions Against Direct Fits. Water 2020, 12, 896. [Google Scholar] [CrossRef] [Green Version]
- Lin, H.; Bouma, J.; Pachepsky, Y.; Western, A.; Thompson, J.; van Genuchten, R.; Vogel, H.-J.; Lilly, A. Hydropedology: Synergistic integration of pedology and hydrology. Water Resour. Res. 2006, 42, W05301. [Google Scholar] [CrossRef]
- Jahn, R.; Blume, H.P.; Asio, V.B.; Spaargaren, O.; Schad, P. Guidelines for Soil Description, 4th ed.; FAO: Rome, Italy, 2006. [Google Scholar]
- WRB-IUSS. World Reference Base for Soil Resources. World Soil Resources Reports 106; FAO: Rome, Italy, 2014; ISBN 9789251083697. [Google Scholar]
- Bogunović, M.; Vidaček, Ž.; Husnjak, S.; Sraka, M. Inventory of soils in Croatia. Agric. Conspec. Sci. 1998, 63, 105–112. [Google Scholar]
- Rubinić, V.; Lazarević, B.; Husnjak, S.; Durn, G. Climate and relief influence on particle size distribution and chemical properties of Pseudogley soils in Croatia. Catena 2015, 127, 340–348. [Google Scholar] [CrossRef]
- Gee, G.W.; Or, D. Methods of soil analysis: Particle-size analysis. In Methods of Soil Analysis; Dane, J.H., Topp, G.C., Eds.; Soils Science Society of America: Madison, WI, USA, 2002; pp. 1381–1402. [Google Scholar]
- Schindler, U.G.; Müller, L. Soil hydraulic functions of international soils measured with the Extended Evaporation Method (EEM) and the HYPROP device. Open Data J. Agric. Res. 2017, 3, 1–7. [Google Scholar] [CrossRef] [Green Version]
- Haghverdi, A.; Öztürk, H.S.; Durner, W. Measurement and estimation of the soil water retention curve using the evaporation method and the pseudo continuous pedotransfer function. J. Hydrol. 2018, 563, 251–259. [Google Scholar] [CrossRef]
- UMS Manual HYPROP. Version 2015_01. UMS GmbH, Gmunder Straße 37, Munich, Germany. Available online: http://library.metergroup.com/Manuals/UMS/Hyprop_Manual.pdf (accessed on 18 February 2021).
- Singh, A.; Haghverdi, A.; Öztürk, H.S.; Durner, W. Developing Pseudo Continuous Pedotransfer Functions for International Soils Measured with the Evaporation Method and the HYPROP System: II. The Soil Hydraulic Conductivity Curve. Water 2021, 13, 878. [Google Scholar] [CrossRef]
- Peters, A.; Iden, S.C.; Durner, W. Revisiting the simplified evaporation method: Identification of hydraulic functions considering vapor, film and corner flow. J. Hydrol. 2015, 527, 531–542. [Google Scholar] [CrossRef]
- van Genuchten, M.T. A closed-form equation for predicting the hydraulic conductivity of unsaturated soils. Soil Sci. Soc. Am. J. 1980, 44, 892–898. [Google Scholar] [CrossRef] [Green Version]
- Mualem, Y. A New Model for Predicting the Hydraulic Conductivity of Unsaturated Porous Media. Water Resour. Res. 1976, 12, 513–522. [Google Scholar] [CrossRef] [Green Version]
- Priesack, E.; Durner, W. Closed-Form Expression for the Multimodal Unsaturated Conductivity Function. Vadose Zone J. 2006, 5, 121–124. [Google Scholar] [CrossRef]
- Feddes, R.A.; Kowalik, P.J.; Zaradny, H. Simulation of field water use and crop yield. In Simulation Monographs; Wageningen Centre for Agricultural Publishing and Documentation: Wageningen, The Netherlands, 1978. [Google Scholar]
- Wesseling, J.G.; Elbers, J.A.; Kabat, P.; Van Den Broek, B.J. SWATRE: Instructions for Input Internal Note; Winand Staring Ctr.: Wageningen, The Netherlands, 1991. [Google Scholar]
- Monteith, J.L. Evaporation and surface temperature. Q. J. R. Meteorol. Soc. 1981, 107, 1–27. [Google Scholar] [CrossRef]
- Eden, M.; Gerke, H.H.; Houot, S. Organic waste recycling in agriculture and related effects on soil water retention and plant available water: a review. Agron. Sustain. Dev. 2017, 37, 11. [Google Scholar] [CrossRef] [Green Version]
- Wesseling, J.G.; Stoof, C.R.; Ritsema, C.J.; Oostindie, K.; Dekker, L.W. The effect of soil texture and organic amendment on the hydrological behaviour of coarse-textured soils. Soil Use Manag. 2009, 25. [Google Scholar] [CrossRef]
- Schwen, A.; Zimmermann, M.; Bodner, G. Vertical variations of soil hydraulic properties within two soil profiles and its relevance for soil water simulations. J. Hydrol. 2014, 516, 169–181. [Google Scholar] [CrossRef]
- Herbrich, M.; Gerke, H.H. Scales of Water Retention Dynamics Observed in Eroded Luvisols from an Arable Postglacial Soil Landscape. Vadose Zone J. 2017, 16. [Google Scholar] [CrossRef]
- Schindler, U.; Mueller, L.; da Veiga, M.; Zhang, Y.; Schlindwein, S.; Hu, C. Comparison of water-retention functions obtained from the extended evaporation method and the standard methods sand/kaolin boxes and pressure plate extractor. J. Plant Nutr. Soil Sci. 2012, 175, 527–534. [Google Scholar] [CrossRef]
- Weninger, T.; Bodner, G.; Kreiselmeier, J.; Chandrasekhar, P.; Julich, S.; Feger, K.-H.; Schwärzel, K.; Schwen, A. Combination of Measurement Methods for a Wide-Range Description of Hydraulic Soil Properties. Water 2018, 10, 1021. [Google Scholar] [CrossRef] [Green Version]
- Šimůnek, J.; Jarvis, N.J.; van Genuchten, M.T.; Gärdenäs, A. Review and comparison of models for describing non-equilibrium and preferential flow and transport in the vadose zone. J. Hydrol. 2003, 272, 14–35. [Google Scholar] [CrossRef]
- Jensen, J.L.; Schjønning, P.; Watts, C.W.; Christensen, B.T.; Munkholm, L.J. Soil Water Retention: Uni-Modal Models of Pore-Size Distribution Neglect Impacts of Soil Management. Soil Sci. Soc. Am. J. 2019, 83, 18–26. [Google Scholar] [CrossRef] [Green Version]
- Beck-Broichsitter, S.; Fleige, H.; Dusek, J.; Gerke, H.H. Anisotropy of unsaturated hydraulic properties of compacted mineral capping systems seven years after construction. Soil Tillage Res. 2020, 204. [Google Scholar] [CrossRef]
- Beck-Broichsitter, S.; Gerke, H.H.; Leue, M.; von Jeetze, P.J.; Horn, R. Anisotropy of unsaturated soil hydraulic properties of eroded Luvisol after conversion to hayfield comparing alfalfa and grass plots. Soil Tillage Res. 2020, 198, 104553. [Google Scholar] [CrossRef]
- Weynants, M.; Vereecken, H.; Javaux, M. Revisiting Vereecken Pedotransfer Functions: Introducing a Closed-Form Hydraulic Model. Vadose Zone J. 2009, 8, 86–95. [Google Scholar] [CrossRef] [Green Version]
- Niemann, W.L.; Rovey, C.W., II. A systematic field-based testing program of hydraulic conductivity and dispersivity over a range in scale. Hydrogeol. J. 2009, 17, 307–320. [Google Scholar] [CrossRef]
- Bormann, H.; Klaassen, K. Seasonal and land use dependent variability of soil hydraulic and soil hydrological properties of two Northern German soils. Geoderma 2008, 145, 295–302. [Google Scholar] [CrossRef]
- Baroni, G.; Facchi, A.; Gandolfi, C.; Ortuani, B.; Horeschi, D.; van Dam, J.C. Uncertainty in the determination of soil hydraulic parameters and its influence on the performance of two hydrological models of different complexity. Hydrol. Earth Syst. Sci. 2010, 14, 251–270. [Google Scholar] [CrossRef] [Green Version]
- Fodor, N.; Sándor, R.; Orfanus, T.; Lichner, L.; Rajkai, K. Evaluation method dependency of measured saturated hydraulic conductivity. Geoderma 2011, 165, 60–68. [Google Scholar] [CrossRef]
- Yeh, H.-F.; Huang, T.-T.; Lee, J.-W. Effect of Unimodal and Bimodal Soil Hydraulic Properties on Slope Stability Analysis. Water 2021, 13, 1674. [Google Scholar] [CrossRef]








| Sample Name | Location | Soil Profile | Depth (cm) | pH (H2O) | Organic C (%) | Particle Size Distribution (%) | Bulk Density (g cm−3) | Porosity (%) | Horizon Designation (FAO, 2006) | Soil Classification (IUSS Working Group WRB, 2014) | ||
|---|---|---|---|---|---|---|---|---|---|---|---|---|
| Sand (2–0.063 mm) | Silt (0.063–0.002 mm) | Clay (<0.002 mm) | ||||||||||
| Apg_TOP_I | (I) Jastrebarsko | TOP | 0–55 | 5.5 | 1.2 | 4 | 56 | 40 | 1.31 | 47 | Apg | Eutric Protovertic Stagnosol (Aric, Humic, Inclinic, Loamic) |
| Bg_TOP_I | 55–110 | 5.6 | 0.4 | 3 | 62 | 35 | 1.20 | 50 | Bg | |||
| Apg_BOT_I | BOT | 0–88 | 5.1 | 1.1 | 12 | 68 | 20 | 1.59 | 45 | Apg | Dystric Stagnosol (Aric, Colluvic, Humic, Inclinic, Siltic) | |
| Bg_ BOT_I | 88–110 | 5.2 | 0.6 | 10 | 69 | 21 | 1.54 | 41 | Bg | |||
| Apg_TOP_I | (II) Jazbina | TOP | 0–50 | 6.2 | 1.2 | 11 | 67 | 22 | 1.41 | 47 | Apg | Eutric Luvic Stagnosol (Aric, Humic, Endoloamic, Episiltic) |
| Btg_TOP_I | 50–110 | 5.7 | 0.5 | 15 | 48 | 37 | 1.55 | 41 | Btg | |||
| Apg_BOT_I | BOT | 0–75 | 6.9 | 0.9 | 8 | 68 | 24 | 1.57 | 41 | Apg | Eutric Stagnosol (Siltic, Aric, Colluvic, Inclinic) | |
| Bg _BOT_I | 75–110 | 5.1 | 0.8 | 6 | 69 | 25 | 1.70 | 36 | Bg | |||
| Apg_TOP_I | (III) Jazbina | TOP | 0–50 | 5.3 | 1.2 | 6 | 71 | 23 | 1.53 | 45 | Apg | Dystric Luvic Stagnosol (Aric, Humic, Endoloamic, Episiltic) |
| Btg_TOP_I | 50–110 | 5.2 | 0.2 | 7 | 61 | 32 | 1.79 | 36 | Btg | |||
| Apg_BOT_I | BOT | 0–65 | 5.4 | 1.0 | 7 | 73 | 20 | 1.61 | 43 | Apg | Dystric Stagnosol (Aric, Colluvic, Humic, Inclinic, Siltic) | |
| Btg_BOT_I | 65–110 | 5.0 | 0.5 | 6 | 68 | 26 | 1.50 | 42 | Btg | |||
| Sample Name | θr (cm3 cm−3) | θs (cm3 cm−3) | α (cm−1) | n (-) | Ks (cm day−1) | l (-) | RMSE_θ (cm3 cm−3) | RMSE_K (cm day−1) |
|---|---|---|---|---|---|---|---|---|
| Apg_TOP_I | 0 | 0.476 | 0.00226 | 1.228 | 0.0431 | −1.94 | 0.01 | 0.3181 |
| Bg_TOP_I | 0 | 0.518 | 0.00212 | 1.263 | 0.0879 | −1.311 | 0.0102 | 0.3184 |
| Apg_BOT_I | 0 | 0.400 | 0.00845 | 1.175 | 1.95 | 0.5 | 0.0139 | 0.1735 |
| Bg_BOT_I | 0 | 0.404 | 0.00156 | 1.301 | 0.0807 | 2.31 | 0.0121 | 0.2812 |
| Apg_TOP_II | 0.035 | 0.378 | 0.0162 | 1.184 | 0.867 | −6 | 0.0168 | 0.308 |
| Btg_TOP_II | 0 | 0.439 | 0.0157 | 1.147 | 2.67 | −1.901 | 0.0084 | 0.2537 |
| Apg_BOT_II | 0 | 0.452 | 0.00641 | 1.173 | 0.648 | −2.663 | 0.0248 | 0.3383 |
| Bg_BOT_II | 0 | 0.356 | 0.0086 | 1.131 | 0.676 | −3.243 | 0.0091 | 0.3422 |
| Apg_TOP_III | 0 | 0.481 | 0.00583 | 1.261 | 1.07 | −2.461 | 0.0112 | 0.1505 |
| Btg_TOP_III | 0 | 0.42 | 0.00367 | 1.163 | 0.814 | −4.298 | 0.0097 | 0.2968 |
| Apg_TOP_III | 0 | 0.478 | 0.00211 | 1.3 | 0.173 | −3.409 | 0.0148 | 0.2101 |
| Btg_TOP_III | 0 | 0.441 | 0.00433 | 1.221 | 0.291 | −3.974 | 0.014 | 0.2561 |
| Sample Name | θr (cm3 cm−3) | θs (cm3 cm−3) | α1 (cm−1) | n1 (-) | Ks (cm day−1) | l (-) | (-) | α2 (cm−1) | n2 (-) | RMSE_θ (cm3 cm−3) | RMSE_K (cm day−1) |
|---|---|---|---|---|---|---|---|---|---|---|---|
| Apg_TOP_I | 0.044 | 0.481 | 0.00124 | 1.342 | 0.0493 | −4.416 | 0.051 | 0.0436 | 2.975 | 0.0086 | 0.2186 |
| Bg_TOP_I | 0 | 0.529 | 0.00126 | 1.328 | 0.14 | −3.327 | 0.057 | 0.0383 | 2.96 | 0.0073 | 0.2039 |
| Apg_BOT_I | 0.033 | 0.414 | 0.0699 | 2.04 | 5.15 | −0.229 | 0.8 | 0.00081 | 1.527 | 0.0037 | 0.078 |
| Bg_BOT_I | 0 | 0.41 | 0.0122 | 1.122 | 1.52 | 2.792 | 0.391 | 0.0005 | 6.999 | 0.0073 | 0.2114 |
| Apg_TOP_II | 0.085 | 0.385 | 0.00314 | 1.353 | 0.397 | −6 | 0.183 | 0.0804 | 2.406 | 0.0145 | 0.2679 |
| Btg_TOP_II | 0.125 | 0.441 | 0.00019 | 1.946 | 1.07 | −3.773 | 0.575 | 0.0256 | 1.346 | 0.0075 | 0.2569 |
| Apg_BOT_II | 0 | 0.461 | 0.0512 | 1.935 | 0.612 | −4.8 | 0.887 | 0.00177 | 1.23 | 0.0225 | 0.3632 |
| Bg_BOT_II | 0 | 0.364 | 0.00016 | 1.509 | 3.46 | −5.34 | 0.46 | 0.0453 | 1.164 | 0.0047 | 0.2603 |
| Apg_TOP_III | 0.012 | 0.489 | 0.00228 | 1.343 | 1.28 | −1.852 | 0.128 | 0.0319 | 2.259 | 0.0063 | 0.1576 |
| Btg_TOP_III | 0.074 | 0.422 | 0.00952 | 1.472 | 0.375 | −5.049 | 0.691 | 0.00031 | 1.355 | 0.008 | 0.3035 |
| Apg_TOP_III | 0 | 0.489 | 0.00123 | 1.347 | 0.37 | −5.174 | 0.088 | 0.0331 | 1.85 | 0.0121 | 0.1985 |
| Btg_TOP_III | 0 | 0.448 | 0.00152 | 1.294 | 0.308 | −5.299 | 0.098 | 0.0418 | 2.642 | 0.0099 | 0.1317 |
Publisher’s Note: MDPI stays neutral with regard to jurisdictional claims in published maps and institutional affiliations. |
© 2021 by the authors. Licensee MDPI, Basel, Switzerland. This article is an open access article distributed under the terms and conditions of the Creative Commons Attribution (CC BY) license (https://creativecommons.org/licenses/by/4.0/).
Share and Cite
Filipović, V.; Defterdarović, J.; Krevh, V.; Filipović, L.; Ondrašek, G.; Kranjčec, F.; Magdić, I.; Rubinić, V.; Stipičević, S.; Mustać, I.; et al. Estimation of Stagnosol Hydraulic Properties and Water Flow Using Uni- and Bimodal Porosity Models in Erosion-Affected Hillslope Vineyard Soils. Agronomy 2022, 12, 33. https://doi.org/10.3390/agronomy12010033
Filipović V, Defterdarović J, Krevh V, Filipović L, Ondrašek G, Kranjčec F, Magdić I, Rubinić V, Stipičević S, Mustać I, et al. Estimation of Stagnosol Hydraulic Properties and Water Flow Using Uni- and Bimodal Porosity Models in Erosion-Affected Hillslope Vineyard Soils. Agronomy. 2022; 12(1):33. https://doi.org/10.3390/agronomy12010033
Chicago/Turabian StyleFilipović, Vilim, Jasmina Defterdarović, Vedran Krevh, Lana Filipović, Gabrijel Ondrašek, Filip Kranjčec, Ivan Magdić, Vedran Rubinić, Sanja Stipičević, Ivan Mustać, and et al. 2022. "Estimation of Stagnosol Hydraulic Properties and Water Flow Using Uni- and Bimodal Porosity Models in Erosion-Affected Hillslope Vineyard Soils" Agronomy 12, no. 1: 33. https://doi.org/10.3390/agronomy12010033
APA StyleFilipović, V., Defterdarović, J., Krevh, V., Filipović, L., Ondrašek, G., Kranjčec, F., Magdić, I., Rubinić, V., Stipičević, S., Mustać, I., Bubalo Kovačić, M., He, H., Haghverdi, A., & Gerke, H. H. (2022). Estimation of Stagnosol Hydraulic Properties and Water Flow Using Uni- and Bimodal Porosity Models in Erosion-Affected Hillslope Vineyard Soils. Agronomy, 12(1), 33. https://doi.org/10.3390/agronomy12010033

