Next Article in Journal
Biochar and Its Broad Impacts in Soil Quality and Fertility, Nutrient Leaching and Crop Productivity: A Review
Next Article in Special Issue
Diversity of Leaf Stomatal Traits among Coffea canephora Pierre ex A. Froehner Genotypes
Previous Article in Journal
Open Field Simulating Nocturnal Warming on Summer Maize Performance in the North China Plain
Previous Article in Special Issue
Yield Potential and Variability of Teff (Eragrostis tef (Zucc.) Trotter) Germplasms under Intensive and Conventional Management Conditions
 
 
Font Type:
Arial Georgia Verdana
Font Size:
Aa Aa Aa
Line Spacing:
Column Width:
Background:
Article

Diversity of Cowpea [Vigna unguiculata (L.) Walp] Landraces in Mozambique: New Opportunities for Crop Improvement and Future Breeding Programs

by
Ana Maria Figueira Gomes
1,2,3,
David Draper
4,
Nascimento Nhantumbo
2,
Rafael Massinga
2,
José C. Ramalho
1,5,*,
Isabel Marques
1,* and
Ana I. Ribeiro-Barros
1,5,*
1
Plant Stress and Biodiversity Lab, Forest Research Center (CEF), Instituto Superior de Agronomia (ISA), Universidade de Lisboa, 1349-017 Lisboa, Portugal
2
Divisão de Agricultura, Instituto Superior Politécnico de Manica (DivAG-ISPM), 2202 Chimoio, Mozambique
3
TropiKMan Doctorate Programme, Nova School of Business and Economics, Universidade NOVA de Lisboa, 2775-405 Carcavelos, Portugal
4
National Museum of Natural History and Science and Centre for Ecology, Evolution and Environmental Change, Universidade de Lisboa, 1250-102 Lisboa, Portugal
5
GeoBioSciences, GeoTechnologies and GeoEngineering (GeoBioTec), Faculdade de Ciências e Tecnologia, Universidade NOVA de Lisboa, 2829-516 Caparica, Portugal
*
Authors to whom correspondence should be addressed.
Agronomy 2021, 11(5), 991; https://doi.org/10.3390/agronomy11050991
Submission received: 20 April 2021 / Revised: 6 May 2021 / Accepted: 11 May 2021 / Published: 17 May 2021

Abstract

Cowpea (Vigna unguiculata) is a neglected crop native to Africa, with an outstanding potential to contribute to the major challenges in food and nutrition security, as well as in agricultural sustainability. Two major issues regarding cowpea research have been highlighted in recent years—the establishment of core collections and the characterization of landraces—as crucial to the implementation of environmentally resilient and nutrition-sensitive production systems. In this work, we have collected, mapped, and characterized the morphological attributes of 61 cowpea genotypes, from 10 landraces spanning across six agro-ecological zones and three provinces in Mozambique. Our results reveal that local landraces retain a high level of morphological diversity without a specific geographical pattern, suggesting the existence of gene flow. Nevertheless, accessions from one landrace, i.e., Maringué, seem to be the most promising in terms of yield and nutrition-related parameters, and could therefore be integrated into the ongoing conservation and breeding efforts in the region towards the production of elite varieties of cowpea.

1. Introduction

Cowpea (Vigna unguiculata L. Walp) is a multi-purpose, underutilized legume crop mostly grown in dry tropical areas [1,2]. The beans are highly nutritive owing to their high protein and carbohydrate content [3]. The leaves are also rich in calcium, zinc, fiber, and phytonutrients [4], being an important source of beta-carotene, iron, and protein, whose deficiency is high among the vulnerable populations of arid and sub-arid countries [5,6].
With the rising interest in orphan crops due to their nutritional potential and ability to thrive in arid and semi-arid lands, the cultivation of cowpea is being promoted in many countries, although this crop still has a limited value chain [7,8]. On one hand, cowpea production is often limited by erratic rainfall patterns and elevated temperatures [1]. For instance, cowpea plants can produce more than 1000 kg·ha−1, but this number can decrease to ca. 300 kg·ha−1, especially when water deficit occurs at the flowering stage [1]. Temperatures above the optimal 16 °C cause 4–14% loss in pod set and grain yield depending on cultivars [9]. On the other hand, cowpea cultivation is largely seasonal, and many producers lack appropriate storage and postharvest methods that could enhance the availability of cowpea beyond its natural season [7]. Additionally, field and storage pests (aphids, leaf beetles, pod borers, and bruchids), low soil fertility, and parasitic weeds such as Striga gesnerioides (Willd.) Vatke and Alectra vogelii (Benth.) severely affect cowpea production [10,11].
The bulk of cowpea production and consumption is in sub-Saharan Africa where its nutritional value and drought tolerance place this crop in a unique position in nutrition-sensitive food systems to fight malnutrition, particularly among the most vulnerable—pregnant, lactating women and children under five [8]. However, even though 80% (7.8 million ha) of cowpea is produced in west and central Africa, the yield in this sub-region is low, i.e., ca. 0.5 t ha−1 with an estimated per capita consumption of ca. 5 kg person per year [12]. Despite being native to Africa [13], the domestication center of cowpea is unclear, but thought to be either in East or West Africa where a high morphological diversity is found [14]. In accordance, cowpea research has been underway in several African countries for many years. Breeding activities in sub-Saharan Africa involving germplasm collection, evaluation, and screening for the identification of lines with high yield potential resulted in a diverse germplasm collection constituted by 15,003 accessions from 89 different countries [1]. A core collection of 2062 accessions based on geographical, agronomical, and botanical descriptors has been established with the aim of discovering new traits related with resistance and new breeding lines. Cowpea also has several features suitable for the development of a model plant for genomic studies such as a relatively small diploid (2n = 2x = 22 chromosomes) genome (~613 Mbp), a short annual life cycle, and a highly selfing nature due to the cleistogamous flower structure [15]. Nevertheless, in wild cowpea African populations, 1% to 9.5% outcrossing as well as gene flow from cultivated to wild cowpea still occurs [16]. This further underscores the importance of evaluating the performance of cowpea as a food security crop under the current and foreseeable future scenarios.
The limited number of cowpea breeding programs in Mozambique has contributed to the country’s ineffectiveness at taking advantage of the continent’s high genetic potential. A significant pool of cowpea genetic resources is thought to be available, but the limited detailed information about the diversity of its germplasm makes it difficult for breeding programs to thrive. In this region, most smallholders relay on local landraces which harbor a great genetic potential for cowpea improvement [17], including the presence of tolerant genotypes [18]. Unlike commercial varieties, landraces maintained by farmers usually have high levels of genetic variability as they have evolved from years of uncontrolled cross-regional and infield genetic exchange, even between previously released and discontinued open pollinated varieties [19]. This results in a rich collection of genetic resources adapted to a wide range of agro-ecological niches that constitute a source of stress tolerance genes. In this context, the aim of this study was to (1) assess the morphological diversity of cowpea accessions from 10 Central Mozambique landraces spread across six agro-ecological zones where cowpea is an integral component of agricultural systems and (2) to help identify candidate materials to be used as promising sources in breeding programs, contributing to the establishment of a unified core cowpea collection.

2. Materials and Methods

2.1. Plant Material and Morphological Characterization

Fifty-nine accessions collected in 10 Central Mozambique landraces spanned throughout three central Mozambique provinces and six agro-ecological zones (AEZs), where cowpea is an integral component of local cropping systems, were used in this study (Table 1). Additionally, two widely exploited commercial cultivars (IT16 and IT18) released by the Mozambican Institute of Agricultural Research (IIAM) were also used in this study for comparison. Six accessions were collected in the AEZ R10, in the Zambeze highlands, i.e., the Gurué District. AEZ R10 is a high altitude zone covering the Zambezia, Tete, and Manica highlands [17]. Also, in the Zambezia province, 12 additional accessions were collected in three communities of the AEZ R7, a medium altitude zone spanning across Zambezia and Tete provinces in Central Mozambique and Nampula, Niassa and Cabo Delgado provinces in Northern Mozambique. In central Mozambique drylands, encompassing the AEZ R6, in the Manica province, 26 accessions were collected in the Tambara central Business District (23) and Sede Nova (3). In the Sofala province, three accessions were collected in Maringué, within AEZ R5, which covers mainly inland and coastal areas of the lower Sofala. Seven accessions were collected in two sites of AEZ R4, namely Nhamatanda (Sofala) and Matsinho (Manica). AEZ R4 is a medium altitude zone covering most districts of southern and central Manica province, interrupted by the Manica highlands (AEZ R10). AEZ R4 also covers a slight part of the southeast of the Sofala province. Lastly, five accessions were collected in the Machaze district, which falls within AEZ R3, a lower altitude zone spanning across North and Central Gaza, Western Inhambane, and linking with AEZ R4 in Machaze, in the southern Manica province.
Morphological characterization studies were conducted at the Instituto Superior Politecnico de Manica Experimental Station and the Biotechnology Laboratory in Vanduzi, Mozambique. Cowpea seeds were sown in polyethylene bags of 13 × 13 × 21 cm, 3.5 L volume, filled with 3 kg of a dark colored and sandy loam textured Gleysol collected from the experimental station of the Instituto Superior Politecnico de Manica, characterized by pH of 6.72, 5.10 ppm of nitrogen (NO3-N), 19.8 ppm phosphorus (P-Olsen), 14.5 ppm ok potassium (K), and 2.04% soil organic carbon (SOC). Bags were organized in a randomized complete block design using 10 replicates per each accession. The bags were grouped by agroecological zone and collection site with the commercial cultivars placed randomly within the trial. A 1 × 1 m spacing was left between bags to allow growth of prostate materials. Two seeds were planted per bag and tined to 7 days after emergence. Morphological characterization was based on 34 qualitative and quantitative traits retrieved from the list of the Bioversity International cowpea descriptors [20] (Table S1). That included nine traits linked to seed (seed shape, seed color, testa texture, eye pattern, eye color, seed length, width, thickness, and weight), 19 vegetative traits (hypocotyl length, leaf color, texture and marking, terminal leaflet shape, length and width, number of main branches, number of nodes on main stem, stipule width and length, growth habitat, twinning tendency, plant pigmentation, hairiness, vigor height, and diameter and stem diameter), two traits related to pest and disease susceptibility (early pests and rust incidence), and four inflorescence and fruit traits (flowering pigment pattern, flower color, days to flowering, and days to first mature pods). Vegetative, pest and disease susceptibility, and inflorescence traits were measured in the field between the 3rd and 8th week as recommended by the Bioversity International Cowpea Descriptors [20]. Seed related traits were measured at harvest in 10 mature seeds excluding those from the extremities of the pods.

2.2. Data Analysis

For the 16 quantitative (continuous) variables, descriptive statistics as average, maximum, minimum, and standard deviation were calculated using SPSS version 26.0 [21]. To test for differences between landraces, a univariate ANOVA was calculated for each of these quantitative traits followed by post-hoc Scheffe comparisons. For the 18 nominal discrete data, mode values were computed followed by a Chi-square test to test for differences between landraces. Grids for all significant traits were generated in R, with a cell size of 30 s (which corresponds to approximately 1 km in the study area), applying a 1.5-degree circular neighborhood diameter. The circular neighborhood was used to re-sample the composition of a landrace to all surrounding grid cells, with a size of 30 s and within a diameter of 1.5 degrees around its location. A principal component analysis (PCA) based on quantitative variables was performed to show the distribution of the cowpea samples and to detect any specific clustering on a two-dimension plane. Euclidean distances of the morphological traits were calculated using the Unweighted Pair Group Method with Arithmetic averaging (UPGMA) in the MVSP version 3.0 (Provalis Research, Montreal, Canada).

3. Results

From all 16 quantitative traits measured, seven showed similar values between all cowpea landraces, and the two commercial varieties: terminal leaflet length (112.92 ± 23.47 mm), terminal leaflet width (72.44 ± 19.62 mm), number of main branches (15.58 ± 5.27), number of nodes (11.84 ± 3.11), stipule width (5.37 ± 1.11 mm), stipule length (14.48 ± 3.37 mm), and plant diameter (4.28 ± 0.96 mm) (Table 2).
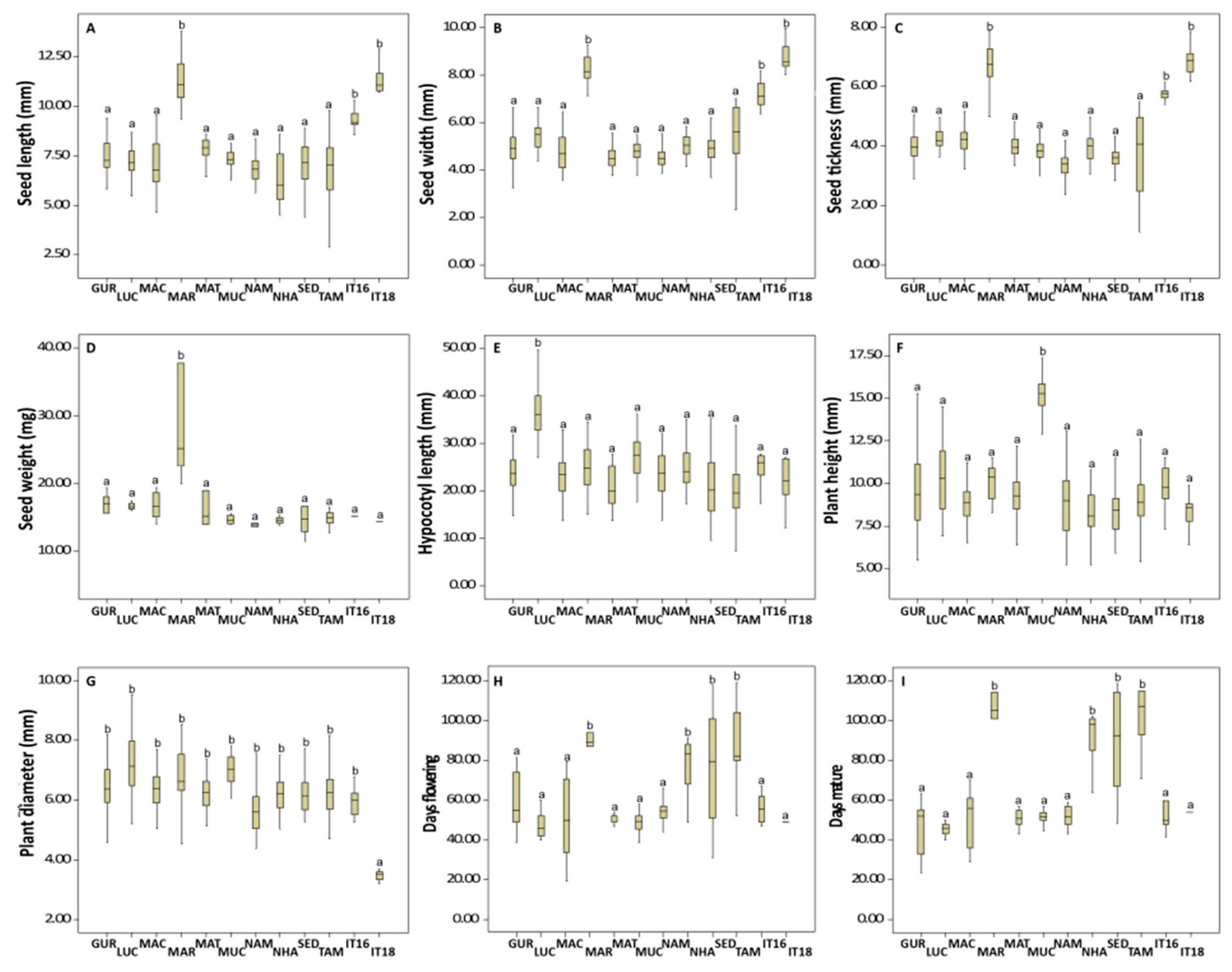
A one-way ANOVA showed significant differences between landraces in the remaining nine quantitative traits measured: seed length, width, thickness and weight, hypocotyl length, height, stem diameter, days to flowering, and days to first mature pods (Table 2). Three traits related to seed (length, width, and thickness) were found to be significantly higher on Maringué (MAR), and on the two cultivars, than on the remaining landraces, while a fourth seed trait (weight) was only higher in MAR (Figure 1). Spatial interpolation of these morphological traits indicated a gradient of values with the highest ones occurring in the central areas of Mozambique (Figure 2).
Hypocotyl length was found to be significantly higher on Lucas Blanco (LUC) than on the remaining landraces, while plant height was found to be higher in Muchela (MUC) (Figure 1). Spatial interpolation of these traits indicated a gradient of values with the highest ones occurring on the coast of Mozambique (Figure 3A,B). Plant diameter was very high in all accessions showing no significant changes between landraces, although the commercial cultivar IT18 presented significantly lower values (Figure 1). Accessions from four landraces (MAR, NHA, SED and TAM) showed the highest number of days to flowering and to first mature pods (Figure 1), with a gradient of values predicted to decrease from the central areas to the South, and most specially the North of Mozambique (Figure 3C,D).
From the 18 qualitative traits, only 3 showed significant differences between landraces based on the Chi-square test: seed color, eye color, and flower color (Table 3, Figure S1). Seed color varied from cream to black with a predominance of cream seeds; eye color varied from white/cream to dark brown with a predominance of white; flower color varied from violet to mauve-pink with a predominance of violet (Figure 4). The population of Machaze showed the widest range of traits (Figure 4).
A PCA with all morphological traits explained 39.18% of the total variance among the 610 cowpea specimens, using an eigenvalue greater than one as the measure of significance of a principal component (Figure 5). No strong spatial clustering was found in the PCA plot except for MAR and MUC. The two cultivars were clustered within cowpea accessions collected in the landraces.
In accordance with the PCA, the UPGMA cluster analysis showed several clusters among landraces, although a stronger special effect was seen in MAR and MUC (Figure 6).

4. Discussion

4.1. Importance of Morphological Traits in Cowpea Landraces

Morphological traits have for years formed the backbone of breeders’ attempts to capture the phenotypic differences among genotypes not only in cowpea [22], but also in several other crops worldwide [23,24,25]. These traits are a straightforward tool to estimate diversity and select parental lines for crossing [23], particularly in financially constrained agricultural research and development contexts such as the ones occurring in Africa. Thus, despite the important value of cowpea in Mozambique, to our knowledge, our study provides the most comprehensive investigation of the morphological diversity existing in the landraces of that country.
According to our results, the use of quantitative and qualitative morphological traits explained 39.18% of the total variance observed, which is higher than reported by [26]. The fact that most of the traits measured were uniform across landraces, except the ones related to seed (seed length, width, thickness, and weight), suggests the existence of gene flow between landraces. In fact, a low genetic differentiation was previously found in these landraces due to crossbreeding between individuals coupled with seed exchange promoted by farmers [17]. Over the long rural distances in Africa, certified commercial seeds do not reach all farmers and, as they are expensive, farmers tend to recycle varieties between them [27]. Therefore, it is not surprising to find similar results between landraces despite using a high number of traits (34 morphological features) that were retrieved from the list of the Bioversity International cowpea descriptors.
However, a high contribution to inter-landrace variation from qualitative traits, such as seed, eye, and flower color was found in our study. In cowpea, a high contribution to variance from qualitative morphological traits was also reported by [28,29], and also by [30] in grapes and by [31] in apricots. This shows that qualitative traits can be a low cost and resourceful tool to map diversity in cowpea germplasm collections. However, it can be misleading if used alone, mainly to track intra-landrace variation [32]. For instance, a previous genetic study on cowpea landraces found no specific genetic clustering in the different AEZs [17], in accordance also with the morphological results found here. However, that study, although based on a small sample size, revealed the existence of four different genetic groups that we did not find here: one cluster was predominant and grouped all accessions from North Zambezia and most accessions from Sofala and Central Manica; the second cluster characterized Central and South Zambezia accessions; the third clustered accessions from North Manica as well as Central Sofala; the fourth cluster was exclusively composed of accessions from South Manica. Genetic divergence is not always accompanied by phenotypic (morphological, physiological, and/or behavioral) traits due to silent mutations or phenotypic convergences that drive local adaptation [33]. Functional morphological traits are usually associated with reproductive success or physiological performance being particularly important population-level mechanisms that promote divergence and adaptation, and being sometimes divergent from genetic results [34,35]. Therefore, using mixed qualitative and quantitative morphological datasets and incorporating molecular tools such as SSR markers can add value to the analysis in the context of breeding programs.

4.2. Diversity in Landraces and Cowpea Commercial Varieties

Centers of origin are important sources of variability, which is a central key in breeding programs. Cowpea has its center of origin in Africa, where a high degree of genetic and morphological diversity can still be found [14,36,37]. However, the broad range of diversity that still exists in landraces might be subjected to losses due to the introduction of modern uniform crop varieties [38]. Indeed, cowpea genetic erosion and uniformity based on breeding programs is commonly found in the varieties produced outside the center of origin such as Europe and the USA.
However, according to our results, Mozambican cowpea landraces retain a high level of morphological diversity, corroborating a previous genetic analysis that showed a high degree of genetic admixture [17]. The two cultivars also showed no clear differentiation with the wild accessions collected in the landraces suggesting that the genetic diversity of these two commercial varieties were still close to that of the wild accessions. In the present study, the principal component analysis (PCA; Figure 5) and the UPGMA tree (Figure 6) also showed no clear morphological differentiation between modern varieties and landraces. In fact, we found that the two cultivars (IT16 and IT18) showed no differences in the traits measured except for seed length, seed width, and seed thickness that were found to be higher than in most landraces but similar to the values found for Maringué (MAR), where these traits also exhibit high values (Figure 1). The remaining traits showed no significant differences between landraces and the commercial varieties except for plant diameter which presented significantly lower values in IT18 than in landraces (Figure 1). Indeed, significant increases in traits related to yield are expected to occur in commercial varieties, but our results indicate that some local cowpea genotypes still retain valuable traits that could be used in breeding programs.

4.3. Guidelines for Future Breeding Programs

Local landraces are derived from natural adaptation to local environmental conditions that are usually maintained in a traditional farming system, and therefore might harbor key traits for breeding programs. Morphological traits constitute useful selection markers for cowpea yield and nutritional quality, especially in the case of landraces [39,40,41]. According to the results regarding quantitative traits, the most striking differences were observed in seed-related parameters. Accessions from Maringué (MAR) were nearly comparable to those from the commercial cultivars (seed length, width, and thickness), but presented the highest seed weight. Maringué also showed the highest number of days to flowering and to mature pods together with Nhamatanda (NHA), Sede Nova (SED), and Tambara (TAM); Figure 1). While seed weight is a yield indicator [40,41], late-flowering correlates with higher protein contents due to the higher availability of nitrogen remobilized from senescing leaves and stems [42]. Regarding the qualitative traits, the color of seeds, eye color, and flower color also presented significant differences between landraces. Such parameters, particularly seed coat color, have been related with the abundance of soluble sugars in the following order: pinkeye > browneye ≥ blackeye > cream ≥ red ≥ black [39]. Cream beans were abundant in all landraces, particularly in MAR (Figure 4A), in which almost half of the accessions had a brown eye. Taken together, the results suggest that MAR landrace has the most promising accessions for breeding: high yield, as well as high protein and sugar contents. Further nutritional analysis would be necessary to confirm this hypothesis. Given the limitation of water resources, the perceived threat of climate change, and the need of mitigation strategies [17], studies that address traditional and indigenous crops hold a key role for future food security.

5. Conclusions

This study showed an enormous morphological variability among cowpea genotypes grown in Mozambique. This diversity is important since it can help to lay the foundation for successful cowpea breeding programs that are needed to design elite varieties that could sustain the most common biotic and abiotic stress in local farming environments. Using low-cost and smart screening approaches as morphological traits to identify critical sources of variability and eco-types of interest for future lines would add value to local breeding programs. Our results also provide guidance involving which landraces should be prioritized in situ and ex situ conservation of cowpea, to boost the value of this crop as an important native genetic resource for food security in Mozambique.

Supplementary Materials

The following are available online at https://www.mdpi.com/article/10.3390/agronomy11050991/s1, Figure S1: Frequency plots for the qualitative traits measured in the 610 analyzed specimens of Vigna unguiculata. Table S1: Characterization of the 34 Bioversity International cowpea descriptors used to assess morphological variation in Vigna unguiculata.

Author Contributions

Conceptualization, A.M.F.G., N.N., R.M., A.I.R.-B.; methodology, A.M.F.G., D.D., N.N.; validation, A.M.F.G., D.D., N.N., I.M.; formal analysis, A.M.F.G., D.D., N.N., I.M.; investigation, A.M.F.G.; resources, D.D., N.N., R.M., J.C.R., A.I.R.-B.; data curation, I.M., D.D.; writing—original draft preparation, A.M.F.G.; writing—review and editing, D.D., I.M., J.C.R.; visualization, D.D., I.M., J.C.R.; supervision, R.M., J.C.R., A.I.R.-B.; project administration, N.N., R.M.; funding acquisition, N.N., R.M. All authors have read and agreed to the published version of the manuscript.

Funding

This research was supported by funds from the Mozambican Fundo Nacional de Investigação (Project 201-Inv-FNI), by NUFFIC, the Netherlands (Project NICHE-Moz-151), and by Fundação para a Ciência e a Tecnologia, I.P., through the PhD fellowship SFRH/BD/113952/2015 (AG), and the research units UIDP/04035/2020 (GeoBioTec), UIDP/00329/2020 (cE3c), and UIDB/00239/2020 (CEF).

Institutional Review Board Statement

Not applicable.

Informed Consent Statement

Not applicable.

Data Availability Statement

Data supporting reported results can be found in Supplementary Materials.

Conflicts of Interest

The authors declare no conflict of interest.

References

  1. Boukar, O.; Belko, N.; Chamarthi, S.; Togola, A.; Batieno, J.; Owusu, E.; Haruna, M.; Diallo, S.; Umar, M.L.; Olufajo, O.; et al. Cowpea (Vigna unguiculata): Genetics, genomics and breeding. Plant Breed. 2019, 138, 415–424. [Google Scholar] [CrossRef]
  2. Chivenge, P.; Mabhaudhi, T.; Modi, A.; Mafongoya, P. The Potential Role of Neglected and Underutilised Crop Species as Future Crops under Water Scarce Conditions in Sub-Saharan Africa. Int. J. Environ. Res. Public Health 2015, 12, 5685–5711. [Google Scholar] [CrossRef] [PubMed]
  3. Bado, B.V.; Bationto, A.; Cescas, M. Assessment of cowpea and groundnut contributions to soil fertility and succeeding sorghum yields in the Guinean savannah zone of Burkina Faso (West Africa). Biol. Fertil. Soils 2006, 43, 71–176. [Google Scholar] [CrossRef]
  4. Enyiukwu, D.N.; Amadioha, A.C.; Ononuju, C.C. Nutritional Significance of Cowpea Leaves for Human Consumption. Greener Trends Food Sci. Nutr. 2018, 1, 1–10. [Google Scholar] [CrossRef]
  5. Jayathilake, C.; Visvanathan, R.; Deen, A.; Bangamuwage, R.; Jayawardana, B.C.; Nammi, S.; Liyanage, R. Cowpea: An overview on its nutritional facts and health benefits. J. Sci. Food Agric. 2018, 98, 4793–4806. [Google Scholar] [CrossRef]
  6. Kirigia, D.; Winkelmann, T.; Kasili, R.; Mibus, H. Development stage, storage temperature and storage duration influence phytonutrient content in cowpea (Vigna unguiculata L. Walp.). Heliyon 2018, 4. [Google Scholar] [CrossRef]
  7. Owade, J.O.; Abong, G.O.; Okoth, M.W.; Mwang’ombe, A.W. Trends and constraints in the production and utilization of cowpea leaves in the arid and semi-arid lands of Kenya. Open Agric. 2020, 5, 325–334. [Google Scholar] [CrossRef]
  8. Gomes, A.M.F.; Nhantumbo, N.; Ferreira-Pinto, M.; Massinga, R.; Ramalho, J.C.; Ribeiro-Barros, A. Breeding Elite Cowpea [Vigna unguiculata (L.) Walp] Varieties for Improved Food Security and Income in Africa: Opportunities and Challenges. In Lagume Crops; El-Esawi, M.A., Ed.; IntechOpen: London, UK, 2019. [Google Scholar] [CrossRef]
  9. Hall, A. Breeding for adaptation to drought and heat in cowpea. Eur. J. Agron. 2004, 21, 447–454. [Google Scholar] [CrossRef]
  10. Horn, L.; Shimelis, H.; Laing, M. Participatory appraisal of production constraints, preferred traits and farming system of cowpea in the northern Namibia: Implications for breeding. Legume Res. Int. J. 2015, 38, 691–700. [Google Scholar] [CrossRef]
  11. Horn, L.N.; Shimelis, H. Production constraints and breeding approaches for cowpea improvement for drought prone agro-ecologies in Sub-Saharan Africa. Ann. Agric. Sci. 2020, 65, 83–91. [Google Scholar] [CrossRef]
  12. FAO. Cowpea: Post-Harvest Operations; FAO: Italy, Rome, 2004; Available online: http://www.fao.org/3/a-au994e.pdf (accessed on 3 November 2019).
  13. Timko, M.P.; Singh, B.B. Cowpea, a Multifunctional Legume. In Genomics of Tropical Crop Plants; Moore, P.H., Ming, R., Eds.; Springer: New York, NY, USA, 2008; pp. 227–258. [Google Scholar] [CrossRef]
  14. Xiong, H.; Shi, A.; Mou, B.; Qin, J.; Motes, D.; Lu, W.; Ma, J.; Weng, Y.; Yang, W.; Wu, D. Genetic Diversity and Population Structure of Cowpea (Vigna unguiculata L. Walp). PLoS ONE 2016, 11. [Google Scholar] [CrossRef]
  15. Ehlers, J.D.; Hall, A.E. Cowpea (Vigna unguiculata L. Walp.). Field Crops Res. 1997, 53, 187–204. [Google Scholar] [CrossRef]
  16. Kouam, E.B.; Pasquet, R.S.; Campagne, P.; Tignegre, J.-B.; Thoen, K.; Gaudin, R.; Ouedraogo, J.T.; Salifu, A.B.; Muluvi, G.M.; Gepts, P. Genetic structure and mating system of wild cowpea populations in West Africa. BMC Plant Biol. 2012, 12, 113. [Google Scholar] [CrossRef] [PubMed]
  17. Gomes, A.M.F.; Draper, D.; Talhinhas, P.; Santos, P.B.; Simões, F.; Nhantumbo, N.; Massinga, R.; Ramalho, J.C.; Marques, I.; Ribeiro-Barros, A.I. Genetic Diversity among Cowpea (Vigna unguiculata (L.) Walp.) Landraces Suggests Central Mozambique as an Important Hotspot of Variation. Agronomy 2020, 10, 1893. [Google Scholar] [CrossRef]
  18. Gomes, A.M.F.; Rodrigues, A.P.; António, C.; Rodrigues, A.M.; Leitão, A.E.; Batista-Santos, P.; Nhantumbo, N.; Massinga, R.; Ribeiro-Barros, A.I.; Ramalho, J.C. Drought response of cowpea (Vigna unguiculata (L.) Walp.) landraces at leaf physiological and metabolite profile levels. Environ. Exp. Bot. 2020, 175, 104060. [Google Scholar] [CrossRef]
  19. Ficiciyan, A.; Loos, J.; Sievers-Glotzbach, S.; Tscharntke, T. More than Yield: Ecosystem Services of Traditional versus Modern Crop Varieties Revisited. Sustainability 2018, 10, 2834. [Google Scholar] [CrossRef]
  20. International Board for Plant Genetic Resources. Cowpea Descriptors; IBPGR: Rome, Italy, 1983. [Google Scholar]
  21. IBM Corp. IBM SPSS Statistics for Windows; Version 26.0; IBM Corp: Armonk, NY, USA, 2019. [Google Scholar]
  22. Menssen, M.; Linde, M.; Otunga Omondi, E.; Abukutsa-Onyango, M.; Dinssa, F.F.; Winkelmann, T. Genetic and morphological diversity of cowpea (Vigna unguiculata (L.) Walp.) entries from East Africa. Sci. Hortic. 2017, 226, 268–276. [Google Scholar] [CrossRef]
  23. Lee, O.N.; Park, H.Y. Assessment of genetic diversity in cultivated radishes (Raphanus sativus) by agronomic traits and SSR markers. Sci. Hortic. 2017, 223, 19–30. [Google Scholar] [CrossRef]
  24. Arteaga, S.; Yabor, L.; Torres, J.; Solbes, E.; Muñoz, E.; Díez, M.J.; Vicente, O.; Boscaiu, M. Morphological and Agronomic Characterization of Spanish Landraces of Phaseolus vulgaris L. Agriculture 2019, 9, 149. [Google Scholar] [CrossRef]
  25. Ouaja, M.; Bahri, B.A.; Aouini, L.; Ferjaoui, S.; Medini, M.; Marcel, T.C.; Hamza, S. Morphological characterization and genetic diversity analysis of Tunisian durum wheat (Triticum turgidum var. durum) accessions. BMC Genom. Data 2021, 22, 3. [Google Scholar] [CrossRef]
  26. Mafakheri, K.; Bihamta, M.R.; Abbasi, A.R. Assessment of genetic diversity in cowpea (Vigna unguiculata L.) germplasm using morphological and molecular characterisation. Cogent Food Agric. 2017, 3. [Google Scholar] [CrossRef]
  27. Njonjo, M.W.; Muthomi, J.W.; Mwang’ombe, A.W. Production Practices, Postharvest Handling, and Quality of Cowpea Seed Used by Farmers in Makueni and Taita Taveta Counties in Kenya. Int. J. Agron. 2019, 2019, 1607535. [Google Scholar] [CrossRef]
  28. Doumbia, I.Z.; Akromah, R.; Asibuo, J.Y. Comparative study of cowpea germplasm diversity from Ghana and Mali using morrphological characteristics. J. Plant Breed. Genet. 2013, 1, 139–147. [Google Scholar]
  29. Cobbinah, F.A.; Addo-Quaye, A.A.; Asante, I.K. Characterization, evaluation and selection of cowpea (Vigna unguiculata (L.) walp) accessions with desirable traits from eight regions of Ghana. J. Agric. Biol. Sci. 2011, 6, 21–32. [Google Scholar]
  30. Vafaee, Y.; Ghaderi, N.; Khadivi, A. Morphological variation and marker-fruit trait associations in a collection of grape (Vitis vinifera L.). Sci. Hortic. 2017, 225, 771–782. [Google Scholar] [CrossRef]
  31. Wani, A.A.; Zargar, S.A.; Malik, A.H.; Kashtwari, M.; Nazir, M.; Khuroo, A.A.; Ahmad, F.; Dar, T.A. Assessment of variability in morphological characters of apricot germplasm of Kashmir, India. Sci. Hortic. 2017, 225, 630–637. [Google Scholar] [CrossRef]
  32. Ghalmi, N.; Malice, M.; Jacquemin, J.-M.; Ounane, S.; Mekliche, L.; Baudoin, J.-P. Morphological and molecular diversity within Algerian cowpea (Vigna unguiculata (L.) Walp.) landraces. Genet. Resour. Crop Evol. 2009, 57, 371–386. [Google Scholar] [CrossRef]
  33. Hu, C.-C.; Wu, Y.-Q.; Ma, L.; Chen, Y.-J.; Ji, X. Genetic and morphological divergence among three closely related Phrynocephalus species (Agamidae). BMC Evol. Biol. 2019, 19, 114. [Google Scholar] [CrossRef]
  34. Lam, D.T.; Ichitani, K.; Henry, R.J.; Ishikawa, R. Molecular and Morphological Divergence of Australian Wild Rice. Plants 2020, 9, 224. [Google Scholar] [CrossRef]
  35. Galindo, J.; Carvalho, J.; Sotelo, G.; Duvetorp, M.; Costa, D.; Kemppainen, P.; Panova, M.; Kaliontzopoulou, A.; Johannesson, K.; Faria, R. Genetic and morphological divergence between Littorina fabalis ecotypes in Northern Europe. J. Evol. Biol. 2021, 34, 97–113. [Google Scholar] [CrossRef]
  36. Fatokun, C.; Girma, G.; Abberton, M.; Gedil, M.; Unachukwu, N.; Oyatomi, O.; Yusuf, M.; Rabbi, I.; Boukar, O. Genetic diversity and population structure of a mini-core subset from the world cowpea (Vigna unguiculata (L.) Walp.) germplasm collection. Sci. Rep. 2018, 8, 16035. [Google Scholar] [CrossRef]
  37. Huynh, B.-L.; Close, T.J.; Roberts, P.A.; Hu, Z.; Wanamaker, S.; Lucas, M.R.; Chiulele, R.; Cissé, N.; David, A.; Hearne, S.; et al. Gene Pools and the Genetic Architecture of Domesticated Cowpea. Plant Genome 2013, 6. [Google Scholar] [CrossRef]
  38. FAO/IPGRI. Review and Development of Indicators for Genetic Diversity, Genetic Erosion and Genetic Vulnerability (GDEV): Summary Report of a Joint FAO/IPGRI. Workshop; FAO/IPGRI: Rome, Italy, 2002. [Google Scholar]
  39. Weng, Y.; Ravelombola, W.; Yang, W.; Qin, J.; Zhou, W.; Wang, Y.; Mou, B.; Shi, A. Screening of Seed Soluble Sugar Content in Cowpea (Vigna unguiculata (L.) Walp). Am. J. Plant Sci. 2018, 9, 1455–1466. [Google Scholar] [CrossRef]
  40. Santos, A.D.; Ceccon, G.; Davide, L.M.C.; Correa, A.M.; Alves, V.B. Correlations and path analysis of yield components in cowpea. Crop Breed. Appl. Biotechnol. 2014, 14, 82–87. [Google Scholar] [CrossRef]
  41. Udensi, O.; Ikpeme, E.V.; Edu, E.A.; Ekpe, D.E. Relationship studies in cowpea (Vigna unguiculata L. Walp) landraces grown under humid lowland condition. Int. J. Agric. Res. 2012, 7, 33–45. [Google Scholar] [CrossRef]
  42. Iseki, K.; Olaleye, O.; Ishikawa, H. Intra-plant variation in seed weight and seed protein content of cowpea. Plant Prod. Sci. 2020, 23, 103–113. [Google Scholar] [CrossRef]
Figure 1. Box-and-whisker plots for the quantitative traits measured in the 610 analyzed specimens of Vigna unguiculata collected in 10 landraces, and the two commercial varieties. Names of landraces follow Table 1. Different letters indicate statistically significant differences between samples obtained by ANOVA followed by the post-hoc Scheffe test (p < 0.05). (A): seed length (mm), (B): Seed width (mm), (C): Seed thickness (mm), (D): Seed weight (mg), (E): Hypocotyl length (mm), (F): Plant height (mm), (G): Plant diameter (mm), (H): Days to flowering, (I): Days to first mature pods.
Figure 1. Box-and-whisker plots for the quantitative traits measured in the 610 analyzed specimens of Vigna unguiculata collected in 10 landraces, and the two commercial varieties. Names of landraces follow Table 1. Different letters indicate statistically significant differences between samples obtained by ANOVA followed by the post-hoc Scheffe test (p < 0.05). (A): seed length (mm), (B): Seed width (mm), (C): Seed thickness (mm), (D): Seed weight (mg), (E): Hypocotyl length (mm), (F): Plant height (mm), (G): Plant diameter (mm), (H): Days to flowering, (I): Days to first mature pods.
Agronomy 11 00991 g001
Figure 2. Spatial distribution of seed length (A), seed width (B), seed thickness (C) and seed weight (D). Names of landraces follow Table 1.
Figure 2. Spatial distribution of seed length (A), seed width (B), seed thickness (C) and seed weight (D). Names of landraces follow Table 1.
Agronomy 11 00991 g002
Figure 3. Spatial distribution of hypocotyl length (A), plant height (B), days to flowering (C) and days to mature (D). Names of landraces follow Table 1.
Figure 3. Spatial distribution of hypocotyl length (A), plant height (B), days to flowering (C) and days to mature (D). Names of landraces follow Table 1.
Agronomy 11 00991 g003
Figure 4. Frequency plots for the three qualitative traits that showed significant differences between the landraces of Vigna unguiculata: seed color (A), eye color (B) and flower color (C). Names of landraces follow Table 1.
Figure 4. Frequency plots for the three qualitative traits that showed significant differences between the landraces of Vigna unguiculata: seed color (A), eye color (B) and flower color (C). Names of landraces follow Table 1.
Agronomy 11 00991 g004
Figure 5. Distribution of the 610 cowpea specimens, according to the first and second principal components. The different colors indicate the landraces following Table 1. The two cultivars are also indicated.
Figure 5. Distribution of the 610 cowpea specimens, according to the first and second principal components. The different colors indicate the landraces following Table 1. The two cultivars are also indicated.
Agronomy 11 00991 g005
Figure 6. Circular UPGMA tree based on all morphological traits showing the distribution of the 610 cowpea specimens. The different colors indicate the landraces following Table 1. The two cultivars are also indicated.
Figure 6. Circular UPGMA tree based on all morphological traits showing the distribution of the 610 cowpea specimens. The different colors indicate the landraces following Table 1. The two cultivars are also indicated.
Agronomy 11 00991 g006
Table 1. List of the cowpea [Vigna unguiculata (L) Walp] accessions used for the morphological study, sorted by province, agro-ecological zone, latitude, longitude, and collection sites. The two commercial cultivars—IT8 and IT16—used as controls in the study are also indicated. N indicates the number of accessions studied within each landrace. From each accession, 10 replicates were used in the morphological study totalling 610 specimens.
Table 1. List of the cowpea [Vigna unguiculata (L) Walp] accessions used for the morphological study, sorted by province, agro-ecological zone, latitude, longitude, and collection sites. The two commercial cultivars—IT8 and IT16—used as controls in the study are also indicated. N indicates the number of accessions studied within each landrace. From each accession, 10 replicates were used in the morphological study totalling 610 specimens.
OriginAbbreviationProvinceAEZNLatitudeLongitude
GurueGURNorth ZambeziaR106−15.471436.9809
NamarroiNAMNorth ZambeziaR74−15.953936.8658
MuchelaMUCCentral ZambeziaR74−17.311137.5147
Lucas BrancoLUCSouth ZambeziaR74−17.491937.0289
NhamatandaNHACentral SofalaR44−19.269234.2128
MaringueMARCentral SofalaR53−17.964434.3906
TambaraTAMNorth ManicaR623−15.125832.0558
Sede NovaSEDNorth ManicaR63−19.116433.4833
MatsinhoMATCentral ManicaR43−18.951133.2686
MachazeMACSouth ManicaR35−20.245634.1697
IT16 Commercial cultivar-1--
IT18 Commercial cultivar-1--
Table 2. Quantitative traits of Vigna unguiculata across 610 specimens measured. Values indicate mean ± SE and maximum and minimum range values in parentheses found across the landraces studied. Comparisons between landraces were performed with one-way ANOVA. *** p < 0.001.
Table 2. Quantitative traits of Vigna unguiculata across 610 specimens measured. Values indicate mean ± SE and maximum and minimum range values in parentheses found across the landraces studied. Comparisons between landraces were performed with one-way ANOVA. *** p < 0.001.
Quantitative TraitsMean ± SEF Values
Seed length (mm)7.80 ± 1.74
(2.90–13.10)
64.316 ***
Seed width (mm)6.50 ± 1.37
(1.65–9.99)
31.960 ***
Seed thickness (mm)4.63 ± 1.69
(0.23–7.66)
18.886 ***
Seed weight (mg)14.94 ± 4.64
(9.96–37.39)
114.918 ***
Hypocotyl length (mm)22.57 ± 5.94
(2.01–43.07)
13.216 ***
Terminal leaflet length (mm)112.92 ± 23.47
(9.03–201.31)
9.273
Terminal leaflet width (mm)72.44 ± 19.62
(4.41–145.79)
18.075
Number main branches15.58 ± 5.27
(4.00–28.00)
8.049
Number nodes11.84 ± 3.11
(4.00–24.00)
8.428
Stipule width (mm)5.37 ± 1.11
(2.14–8.96)
1.521
Stipule length (mm)14.48 ± 3.37
(5.73–24.48)
1.288
Height (mm)9.25 ± 1.83
(4.06–16.80)
14.209 ***
Plant diameter (mm)4.28 ± 0.96
(2.01–9.92)
10.756
Stem diameter (mm)12.66 ± 3.15
(4.95–23.14)
10.909 ***
Days to flowering71.40 ± 22.40
53.00–119.00)
61.151 ***
Days to first mature pods86.86 ± 20.72
(62.00–115.00)
49.827 ***
Table 3. Qualitative trait mode value, and maximum and minimum range values for Vigna unguiculata populations studied. Comparisons between landraces were performed with a Chi-square test. *** p < 0.001. See Table S1 for a full description of International cowpea descriptors.
Table 3. Qualitative trait mode value, and maximum and minimum range values for Vigna unguiculata populations studied. Comparisons between landraces were performed with a Chi-square test. *** p < 0.001. See Table S1 for a full description of International cowpea descriptors.
Qualitative TraitsModeMinimum and Maximum Rangeχ2
Seed shapeOvoidKidney to rhomboid71.328
Seed colorCreamCream to black195.902 ***
Texta textureSmoothSmooth to rough7.656
Eye patternAbsentAbsent to very small62.131
Eye colorWhite/creamWhite/cream to dark brown388.689 ***
Leaf colorPale greenPale green to dark green73.862
Leaf textureCariaceousCariaceous to membranous96.961
Leaf markingPresentAbsent to present98.059
Terminal leaflet shapeSub-hastateGlobose to hastate39.834
Growth habitatIndeterminate, spreading not climbingIndeterminate to determinate62.393
TwinningNoneNone to pronounced44.426
Plant pigmentationModerateNone to solid43.921
Plant hairinessShort appressed hairsShort to pubescent hairs)21.715
Plant vigorVery vigorousNon-vigorous to very vigorous47.598
Pest incidenceNon-infestedNon-infested to low infestation78.901
Rust incidenceNon-susceptibleNon to high susceptible90.931
Flowering pigmentPigmented marginsNone to completed pigmented26.282
Flower colorVioletWhite to mauve-pink457.075 ***
Publisher’s Note: MDPI stays neutral with regard to jurisdictional claims in published maps and institutional affiliations.

Share and Cite

MDPI and ACS Style

Gomes, A.M.F.; Draper, D.; Nhantumbo, N.; Massinga, R.; Ramalho, J.C.; Marques, I.; Ribeiro-Barros, A.I. Diversity of Cowpea [Vigna unguiculata (L.) Walp] Landraces in Mozambique: New Opportunities for Crop Improvement and Future Breeding Programs. Agronomy 2021, 11, 991. https://doi.org/10.3390/agronomy11050991

AMA Style

Gomes AMF, Draper D, Nhantumbo N, Massinga R, Ramalho JC, Marques I, Ribeiro-Barros AI. Diversity of Cowpea [Vigna unguiculata (L.) Walp] Landraces in Mozambique: New Opportunities for Crop Improvement and Future Breeding Programs. Agronomy. 2021; 11(5):991. https://doi.org/10.3390/agronomy11050991

Chicago/Turabian Style

Gomes, Ana Maria Figueira, David Draper, Nascimento Nhantumbo, Rafael Massinga, José C. Ramalho, Isabel Marques, and Ana I. Ribeiro-Barros. 2021. "Diversity of Cowpea [Vigna unguiculata (L.) Walp] Landraces in Mozambique: New Opportunities for Crop Improvement and Future Breeding Programs" Agronomy 11, no. 5: 991. https://doi.org/10.3390/agronomy11050991

APA Style

Gomes, A. M. F., Draper, D., Nhantumbo, N., Massinga, R., Ramalho, J. C., Marques, I., & Ribeiro-Barros, A. I. (2021). Diversity of Cowpea [Vigna unguiculata (L.) Walp] Landraces in Mozambique: New Opportunities for Crop Improvement and Future Breeding Programs. Agronomy, 11(5), 991. https://doi.org/10.3390/agronomy11050991

Note that from the first issue of 2016, this journal uses article numbers instead of page numbers. See further details here.

Article Metrics

Back to TopTop