Abstract
Parsley is an aromatic herb native to the Mediterranean region and treasured for its phytochemical profile and bioactive properties. Developmental stage at harvest is a factor that modulates the nutritional quality of vegetables, including young greens. Accordingly, an experiment under strictly controlled conditions was carried out to compare the mineral macronutrient and phytochemical composition as well as the antioxidant activity of plain-leaf parsley (Petroselinum crispum cv. Comune 2) at two different harvest maturity stages, microgreens and baby greens. Macronutrients, carotenoids (lutein and β-carotene) and polyphenols were quantified through ion chromatography, high-performance liquid chromatography with a diode-array detector (HPLC-DAD) and UHPLC-Q-Orbitrap high-resolution mass spectrometry (HRMS), respectively. Microgreens accumulated more potassium and phosphorus, whereas baby greens accumulated more calcium and magnesium, and 65.5% less nitrate. In addition, microgreens provided 1.8-fold more lutein and 2.8-fold more β-carotene, whereas baby greens provided 183.6% more total ascorbic acid, 64.2% more total polyphenols and 170.3% higher hydrophilic antioxidant activity. Based on the culinary and phytonutritive scope of the consumers, different harvest maturity stages can be opted for and production schemes designed. Future studies are warranted to appraise the importance of ontogeny as a determinant factor for the composition and bioactive value of additional micro-herb genotypes, including underutilized Mediterranean species.
    Keywords:
                                                                    micro-herbs;                    LED light;                    controlled environment;                    growth stage;                    HPLC-DAD;                    orbitrap;                    phenolic compounds;                    minerals        1. Introduction
The Mediterranean diet is characterized by high vegetables’ consumption [,], and is traditionally outlined as being rich in wild greens, herbs and spices, thereby praised for its palatability and health benefits, making it a cultural model for dietary advancement, and gaining the nomination of the “good Mediterranean diet” [,]. The dietary traits adopted in southern Italy, Greece and Crete are the traits representing the Mediterranean diet abundant in plant-based foods []. Since antiquity, this diet has been a subject of interest and is currently asserted as a prototype for the dietary guidelines in the United States and the wider world []. Adopting a traditional Mediterranean diet was found to be inversely related to inflammation [], especially considering that functional food-rich diets can hamper the risk of diseases caused by altered intracellular antioxidant systems [].
The Mediterranean basin is lavishly abundant in aromatic crops []. Among these crops, Apiaceous herbs are widely used, such as (i) parsley, (ii) cumin, (iii) coriander, (iv) fennel, (v) and dill [], either fresh or dried as seasoning, as well as in the form of seeds [,,,]. In particular, parsley is widely used in European cookery as a condiment or culinary garnish, whilst in the Middle East it is a major ingredient of the famous “Tabbouleh” salad [,]. Parsley is a biennial aromatic herb native to West Asia and the Mediterranean region, treasured for its great biological values [,], therefore nowadays it is cultivated and used worldwide [,,,]. Parsley’s three main varieties in consonance with the commercialized plant organs are plain leaf and curly leaf parsley, and turnip-rooted or “Hamburg” fleshy root parsley [,]. Parsley can be cultivated all year round [], and it encompasses an array of compositional attributes, like minerals, vitamins [], coumarins, triterpenes, volatile oils [,], flavonoids, tannins [,] and carotenoids [,]. Accordingly, numerous health-promoting properties are attributed to parsley’s leaf bioactive phytochemicals [,,,], since human cells count for defense on exogenous bioactive compounds contained in functional foods, in addition to the endogenous defense system in order to pare oxidative stress levels [].
The phenological growth stage of plants influences their biochemical composition [], therefore it may constitute a pivotal factor to modulate plant nutrient content by adopting certain agronomic techniques [], such as harvesting at different maturity stages. Based on this concept, new products are gaining fame like microgreens and baby greens [,,], which are consumed raw, hence they maintain their bioactive content intact unlike other products that undergo cooking or sterilization techniques []. Microgreens and baby greens as explained by Treadwell et al. [] are harvested and consumed at an immature growth stage. The Commission Regulation (EU) 752/2014, defined baby leaf as “the young leaves and petioles of any crops harvested up to eight true leaf stage”, while microgreens still has no legal definition yet [,]; but Di Gioia et al. [] indicated that they are harvested based on the species, between 7 and 21 days from sowing, after the formation of the cotyledon leaves and the emergence of the first true leaves. Species belonging to the Apiaceae family are expanding due to health and sensory criteria [], and can concomitantly gain the nomination of “microherbs” and provide intense culinary flavors [,].
Thus far, no work has compared parsley microgreens and baby greens grown under the same growth conditions, in terms of macrominerals and bioactive compounds. This current study aims to depict the changes that occur in the biochemical and macronutrient composition and concentration of parsley (leaf + stem) at two-different phenological stages. Hence, it may orient consumers of fresh greens and functional foods as to which harvest stage to adopt in order to reach their nutritional target and top up their diet with health-boosting components.
2. Materials and Methods
2.1. Growth Chamber and Experiment Arrangement
A growth chamber experiment was set up at the University of Naples “Federico II”, DIA, Portici, Naples, in order to depict the influence of maturity stage harvest on smooth-leaf parsley greens. Petroselinum crispum cv. Comune 2 seeds (Semiorto Sementi, Sarno, SA, Italy) were sown in plastic trays (19 × 14 × 6 cm) at a density of 50,000 seeds m−2. The trays were filled with peat-based substrate of pH 5.48 and EC 0.282 mS cm−1 (Special Mixture, Floragard Vertriebs-GmbH, Oldenburg, Germany). Parsley seeds germinated in darkness in a growth chamber (KBP-6395F, Termaks, Bergen, Norway) for nine days at 24 °C and 100% relative humidity (RH). Once emerged, the growth chamber was set up at 24/18 °C ± 2 and 70/80% ± 5 day/night, respectively. Light was provided by a light-emitting diode panel (K5 Series XL750, Kind LED, Santa Rosa, CA, USA), with an intensity of 300 ± 15 μmol m−2 s−1 at parsley canopy level, providing a photoperiod of 12/12 h and a convenient photosynthesis spectrum ranging from 400 to 700 nm, which was controlled by a spectral radiometer (MSC15, Gigahertz-Optik, Türkenfeld, Germany). Parsley was fertigated daily by a quarter-strength Hoagland solution described in detail in Kyriacou et al. [] work, corresponding to a pH of 6.0 ± 0.2 and an EC of 0.4 ± 0.05 mS cm−1. The parsley microgreens growth cycle consisted of 21 days after sowing (DAS) when the first true leaf was fully formed, while parsley baby greens growth cycle was 36 DAS when the first three leaves were formed. All the treatments were replicated three times and randomly distributed along the shelf of the growth chamber.
2.2. Parsley Yield, Sampling and Macronutrients Analysis
At harvest, the fresh material was weighed and the yield was expressed as kg fresh weight (fw) m−2. Part of the harvested material was immediately conserved at −80 °C to be used for the qualitative analysis, and another part was placed in a forced-air oven at 70 °C until reaching a constant dry weight that was used to determine the dry matter content (DM) expressed as a percentage.
Dry matter samples for macronutrients analysis were ground in a Wiley Mill (841 μm screen). As previously described in detail in Pannico et al. [], 250 mg of dried material was extracted and used to quantify nitrate (NO3), phosphorus (P), potassium (K), calcium (Ca), magnesium (Mg), sulfur (S) and sodium (Na) through ion chromatography (ICS-3000, Dionex, Sunnyvale, CA, USA) and electrical conductivity detection. All the macronutrients were expressed as g kg−1 dry weight (dw), and then converted to mg kg−1 fw based on each sample DM%.
2.3. Chlorophylls Pigments, Total Ascorbic Acid and Hydrophilic Antioxidant Activity Assessment
The Lichtenhaler and Wellburn [] protocol was implemented in order to determine total chlorophyll content and chlorophylls a and b. Succinctly, 500 mg of frozen fresh material was extracted in 10 mL of 90% acetone, centrifuged and then the absorbance of the supernatant was measured at 662 and 645 nm through spectrophotometry (Hach DR 4000; Hach Co, Loveland, CO, USA) to determine chlorophylls a and b, respectively. Total chlorophyll content was calculated at the sum of the latter and expressed in mg 100 g−1 fw.
For total ascorbic acid (TAA) analysis, 400 mg of frozen fresh material was extracted and assessed at 525 nm through an ultraviolet–visible (UV-Vis) spectrophotometer (Hach DR 4000; Hach Co, Loveland, CO, USA) following the method of Kampfenkel et al. []. The results were expressed as mg ascorbic acid (AA) 100 g−1 fw.
Based on Fogliano et al. [] method, hydrophilic antioxidant activity (HAA) of parsley was assessed through UV-Vis spectrophotometry by extracting 200 mg of lyophilized material in distilled water with the N,N-dimethyl-p-phenylenediamine (DMPD) method. The solutions’ absorbance was measured at 505 nm, and the HAA was expressed as mmol AA 100 g−1 fw, after taking into consideration the DM% of each sample.
2.4. Carotenoids and Polyphenols Extraction and Quantification
Following the modified method of Kim et al. [] by Kyriacou et al. [], 100 mg of lyophilized parsley material was extracted in 6 mL ethanol comprising 0.1% butylated hydroxytoluene. Lutein and β-carotene were quantified through reverse phase- high-performance liquid chromatography with a diode-array detector (HPLC-DAD) separation, through a Shimadzu HPLC LC 10 (Shimadzu, Osaka, Japan), equipped with a reverse phase 250 mm × 4.6 mm, 5 μm Gemini C18 column (Phenomenex, Torrance, CA, USA). Injection volume per sample was 20 μL and the absorbance was measured at 450 nm. The values were expressed as mg kg−1 fw, after taking into consideration the DM% of each sample.
As described by Kyriacou et al. [], polyphenols were extracted from 100 mg lyophilized parsley using methanol/water (60:40, v/v). Polyphenols were separated and quantified on an UHPLC system (UHPLC, Thermo Fisher Scientific, Waltham, MA, USA), equipped with a Dionex Ultimate 3000 Quaternary pump performing at 1250 bar and a thermostated (T = 25 °C) Kinetex 1.7 μm biphenyl (100 mm × 2.1 mm) column (Phenomenex, Torrance, CA, USA). An injection volume of 2 μL was used. The mass spectrometry analysis was facilitated by a Q Exactive Orbitrap liquid chromatography tandem mass spectrometer (LC-MS/MS, Thermo Fisher Scientific, Waltham, MA, USA). A Thermo Fisher Scientific reference standard mixture was used to monitor the accuracy and calibration of the Q Exactive Orbitrap LC-MS/MS. Polyphenols were expressed as μg g−1 fw, after taking into consideration the DM% of each sample.
2.5. Statistical Analysis
The two maturity stage treatments were analyzed by an unpaired Student’s t-test (p = 0.05), and all data are shown as mean ± standard error, n = 3 (SPSS 20 software package).
3. Results and Discussion
3.1. Yield, Dry Matter and Macronutrient Content
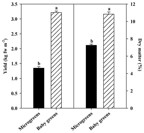
As illustrated in Figure 1, parsley microgreens (PMG) harvested 21 DAS registered a yield of 1.37 kg fw m−2 compared to 3.22 kg fw m−2 for parsley baby greens (PBG) harvested 36 DAS (2.35-fold higher). As for DM content, PBG had 10.84%, 1.46-fold higher than PMG dry matter content (7.4%). PMG and PBG were harvested in accordance to the definition given by Di Gioia et al. [] on microgreens and baby green that are harvested for 7–28 and 20–40 days, respectively, after sowing. The obtained yield of PMG is in the range of the production (1.25–5.97 kg fw m−2) obtained by growing 13 species of microgreens in a different study [], where a high sowing density was adopted, similar to the current study. As for PBG, the yield obtained is much higher than that registered in different studies on PBG grown in floating, which is due to the way lower adopted density [,]. In addition, the higher yield in PBG is partially in line with a different comparative study between microgreens and baby greens, notwithstanding the reduced sowing density in the baby greens stage []. The DM% of PBG is almost double that obtained in PBG grown in a floating system [], which is expected. The higher DM% at the BG stage was also noticed in other leafy vegetables at the same growth stage [].
 
      
    
    Figure 1.
      Fresh yield and dry matter percentage of Petroselinum crispum in virtue of harvest stage. Different letters indicate significant differences according to Student’s t-test (p = 0.05). All data are expressed as mean ± standard error, n = 3.
  
The macronutrient profile studied for both harvest stages of parsley, revealed a significant difference for all the elements, except for sulfur (Table 1). Microgreens nitrate concentration accounted for 3362 mg kg−1 fw, 189.6% higher than that of baby greens (1161 mg kg−1 fw). Other than nitrate, PMG proved to be significantly richer in P, K around 45.3% and 4.5%, respectively. PBG accumulated more Ca, Mg and Na (47.5%, 59.8% and 94.2%). Our results are partially in line with those obtained by Waterland et al. [], who assessed another leafy vegetable at different maturity stage (microgreens, baby greens and mature), and obtained significantly higher K, Ca and Mg, and non-significantly different P and Na concentrations in kale microgreens compared to baby greens when expressed on fw basis. As for parsley nitrate concentration, the results obtained showed a similar behavior like mustard and tatsoi microgreens who exhibited significant higher nitrate content in microgreens stage than in baby greens []. In contrast, parsley nitrate concentration is not in accordance with the results of Lenzi et al. [] obtained in three wild leafy species, which could be explained by a lesser density of baby greens, thus enjoying luxurious nitrogen fertilization per plant in comparison to this current study, or in our case explained by a quarter-strength nutrient solution adopted for both maturity stages, hence inducing the advanced maturity stage to be characterized by a lower nitrate content. Waterland et al. [] and Kopsell et al. [] emphasized that K is abundantly present is most plant cells and tissues, nonetheless this concentration is higher in young tissues, because K is actively involved in water homeostasis, respiration and photosynthesis. In addition, P is a crucial nutrient for energy storage and is needed for nucleic acids synthesis, adenosine triphosphate (ATP) and phospholipids []. Furthermore, a considerable concentration of P is commonly stored in plant seeds, to be employed for the development of the embryo, the germination and the seedling growth [].
 
       
    
    Table 1.
    Nitrate and macronutrient content (P, K, Ca, Mg, S and Na) of Petroselinum crispum in virtue of harvest stage.
  
3.2. Chlorophyll and Carotenoids Pigments
Table 2 and Figure 2 showed the concentration of photosynthetic and accessory pigments of parsley. PBG were significantly richer in total chlorophylls (18.36 mg g−1 fw; 35.1%), chlorophyll a (31.5%) and b (48.5%) compared to PMG (Table 2). By contrast, carotenoids (Figure 2) revealed an opposite trend, where PMG accumulated more lutein (1.8-fold) and β-carotene (2.8-fold) than PBG with the latter being more concentrated than lutein in both harvest stages of parsley. The increase of chlorophylls pigments along the maturity stage is in line with the results obtained in lettuce grown in a growth chamber and harvested at two different maturity stage (microgreens and mature plants) []. The same authors explained that in photosynthetic tissues, chlorophylls a and b harvest the light and photo-protect the plants by quenching reactive species, thus with plant growth leaves expand and new leaves are formed, leading to a higher need of photo-protection and light harvesting. Nonetheless, chlorophylls pigments confer health properties to the human diet, by chelating calcium and heavy minerals and helping with free radicals neutralization []. In contrast with Samuoliene et al. [], lutein in parsley microgreens was more concentrated than β-carotene in comparison with the current study, and both carotenoid concentrations were lower than those obtained in the current PMG although having the same growing conditions. This fact could be explained by the difference in the adopted parsley cultivar. PBG were characterized by lower carotenoids concentrations than that registered in PMG. In fact, carotenoids can vary distinctively due to the surrounding factors like the variety, the harvested organ, the harvest maturity and the pre- and post-harvest treatments []. The same authors emphasized the importance of leaf carotenoids in reducing the risk of macular degeneration and cataracts. In previously cited works [,], carotenoids increased with maturity stage, which is in contrast with the current findings, a fact that can be probably explained by our choice of maintaining the same quarter-strength adopted nutrient solution for both maturity stages, which seemed to down-size carotenoids concentration in the advanced stage of PBG, as explained by Pannico et al. [].
 
       
    
    Table 2.
    Hydrophilic antioxidant activity (HAA), total ascorbic acid (TAA) and chlorophyll pigment of Petroselinum crispum by virtue of harvest stage.
  
 
      
    
    Figure 2.
      Lutein and β-carotene (mg kg−1 fw) of Petroselinum crispum by virtue of harvest stage. Different letters indicate significant differences according to Student’s t-test (p = 0.05). All data are expressed as mean ± standard error, n = 3. fw = fresh weight.
  
3.3. Total Ascorbic Acid, Polyphenols and Hydrophilic Antioxidant Activity
As shown in Table 2, the hydrophilic antioxidant activity of parsley extract is more potent in the baby greens stage, registering 2.46 mmol AA eq. 100 g−1 fw, 2.7-fold compared to microgreens. Such result reflects as well the higher content of baby greens in total ascorbic acid (Table 2) and total polyphenols content (Table 3), both molecules with hydrophilic antioxidant activity.
 
       
    
    Table 3.
    Single and total polyphenols of Petroselinum crispum in virtue of harvest stage.
  
As matter of fact, TAA and total polyphenols were 183.6% and 64.2%, respectively, higher in PBG than in PMG. As recorded in Table 3, all polyphenols exhibited significant differences between the studied harvest stages, except for Kaempferol-7-O-glucoside. On the other hand, only chlorogenic acid was significantly more concentrated in the microgreens stage, whereas all the rest of the polyphenols were decisively more accumulated in baby greens. The increase of these polyphenols in PBG varied distinctively, ranging between 45.6% for apigenin-7-apiosyl-glucoside and 831.9% for quercetin-3-O-galactoside. Overall, apigenin-7-apiosyl-glucoside and apigenin-malonyl-apiosyl-glucoside were the most abundant between the detected polyphenols, accounting around 96.4% of the total polyphenols. TAA values obtained in PBG were much higher than those registered at the same harvest stage in a different study done in floating system [,], which could be explained by more nutrient availability in such latter system that influence TAA concentration []. Moreover, the current variation in TAA between PMG and PBG is not in line with a same comparison done in a different study on three Brassica microgreens and baby greens when expressed on a dry weight basis []. Ascorbic acid is a powerful antioxidant vitamin that is not synthesized by humans, making its exogenous input into human diet an important requirement, because it reduces the effect of reactive oxygen species and helps in scavenging free radicals in human body []. In addition, ascorbic acid deprivation lead to ‘’scurvy disease’’, accentuating the importance of fruits and vegetables as exogenous source of this valuable vitamin [].
The depicted polyphenols in parsley were in line with the 30 secondary metabolites identified in the extracts of Petroselinum crispum var. crispum leaves by high-performance liquid chromatography–diode-array detector mass spectrometry (HPLC-DAD-MS) [], of which we mention apigenin-7-apiosyl-glucoside (apiin) and apigenin-malonyl-apiosyl-glucoside and apigenin-7-O-glucoside that accounted for about 98.6% of the total polyphenols in both harvest stages microgreens and baby greens. Indeed, the detected polyphenols (Table 3) revealed much more apigenin than quercetin, luteolin and kaempferol as stated in previous studies [,]. As mentioned by the previous authors, of the major flavonoids classes, flavonols like quercetin and kaempferol, and flavones like luteolin and apigenin are the most present in plant foods, mostly in glucoside form. As matter of fact, apigenin is suggested to be responsible for having a pertinent antioxidant action, in addition to antitumor and anti-inflammatory activity [].
In this study, baby greens parsley had higher total polyphenols and exhibited higher antioxidant activity than its counterpart microgreens: a finding that can be attributed to the greater number of developed leaves found in the baby greens stage, pointing that total phenols and antioxidant activity of parsley extracts were demonstrated to be richer in leaves than in stems []. A higher antioxidant activity and total phenolic content was observed as well in other two-leafy vegetables in the BG stage in comparison to MG []. As listed in literature, parsley extract is characterized by a high content of phenolics and total flavonoids, in addition to a high antioxidant activity []; naturally occurring antioxidants save cells from oxidative stress and have been proved to have medicinal significance for human wellbeing and health [].
4. Conclusions
Microgreens and baby greens production from aromatic herbs of Mediterranean varieties conceptualize a class of novel and nutrient-packed vegetables that can fulfill the needs of modern consumers. Through the quantification of carotenoids and polyphenols, we demonstrated that microgreens provided 1.8-fold more lutein and 2.8-fold more β-carotene, whereas baby greens provided 183.6% more total ascorbic acid, 64.2% more total polyphenols, and 170.3% more hydrophilic antioxidant activity. As for macronutrients, microgreens accumulated more potassium and phosphorus, whereas baby greens accumulated more calcium and magnesium, and 65.5% less nitrate. Both maturity stages of parsley presently examined have proven valuable sources of phytonutrients for the human diet, which can be easily added as garnish or salad that, moreover, upgrades dishes in color and taste.
Author Contributions
Conceptualization, C.E.-N. and Y.R.; methodology, C.E.-N.; software, C.E.-N. and A.P.; validation, Y.R. A.P., G.G. and M.G.; formal analysis, Y.R. A.P., G.G. and M.G.; investigation, C.E.-N.; resources, Y.R., A.R. and S.D.P.; data curation, C.E.-N., A.P., G.G. and M.G.; writing—original draft preparation, C.E.-N.; writing—review and editing, C.E.-N., A.P., G.G., M.G., M.C.K., A.R., S.D.P. and Y.R.; visualization, A.R., S.D.P. and Y.R.; supervision, A.R., S.D.P. and Y.R.; project administration, C.E.-N. and Y.R.; funding acquisition, S.D.P. and Y.R. All authors have read and agreed to the published version of the manuscript.
Funding
This research received no external funding.
Institutional Review Board Statement
Not applicable.
Informed Consent Statement
Not applicable.
Data Availability Statement
The datasets generated for this study are available on request to the corresponding author.
Acknowledgments
The authors would like to thank Luigi Formisano, Daniele Capurso and Danilo Slanzi for their technical help during the experiment.
Conflicts of Interest
The authors declare no conflict of interest.
References
- Keys, A. Mediterranean diet and public health: Personal reflections. Am. J. Clin. Nutr. 1995, 61, 1321S–1323S. [Google Scholar] [CrossRef] [PubMed]
- Bower, A.; Marquez, S.; de Mejia, E.G. The Health Benefits of Selected Culinary Herbs and Spices Found in the Traditional Mediterranean Diet. Crit. Rev. Food Sci. Nutr. 2016, 56, 2728–2746. [Google Scholar] [CrossRef] [PubMed]
- Nestle, M. Mediterranean diets: Historical and research overview. Am. J. Clin. Nutr. 1995, 61, 1313S–1320S. [Google Scholar] [CrossRef]
- Mara De Menezes Epifanio, N.; Rykiel Iglesias Cavalcanti, L.; Falcão Dos Santos, K.; Soares Coutinho Duarte, P.; Kachlicki, P.; Ozarowski, M.; Jorge Riger, C.; Siqueira De Almeida Chaves, D. Chemical characterization and in vivo antioxidant activity of parsley (Petroselinum crispum) aqueous extract. Food Funct. 2020, 11, 5346–5356. [Google Scholar] [CrossRef] [PubMed]
- Fernandes, Â.; Polyzos, N.; Petropoulos, S.A.; Pinela, J.; Ardohain, E.; Moreira, G.; Ferreira, I.C.F.R.; Barros, L. Phytochemical composition and nutritional value of pot-grown turnip-rooted and plain and curly-leafed parsley cultivars. Agronomy 2020, 10, 1416. [Google Scholar] [CrossRef]
- Tang, E.L.H.; Rajarajeswaran, J.; Fung, S.; Kanthimathi, M.S. Petroselinum crispum has antioxidant properties, protects against DNA damage and inhibits proliferation and migration of cancer cells. J. Sci. Food Agric. 2015, 95, 2763–2771. [Google Scholar] [CrossRef]
- Zhang, H.; Chen, F.; Wang, X.; Yao, H.Y. Evaluation of antioxidant activity of parsley (Petroselinum crispum) essential oil and identification of its antioxidant constituents. Food Res. Int. 2006, 39, 833–839. [Google Scholar] [CrossRef]
- Kreydiyyeh, S.I.; Usta, J.; Kaouk, I.; Al-Sadi, R. The mechanism underlying the laxative properties of parsley extract. Phytomedicine 2001, 8, 382–388. [Google Scholar] [CrossRef]
- Kilic, C.; Duyar, H. A Research on Production of Baby Leaf Vegetables in Floating System. Hung. Agric. Eng. 2016, 29, 24–27. [Google Scholar]
- Jadczak, D.; Bojko, K.; Wysocka, G.; Szymańska, M. Yield and biological properties of leaf parsley (Petroselinum crispum (mill.) Nym. Ex A.W. Hillc Convar. crispum). J. Elem. 2019, 24, 803–815. [Google Scholar] [CrossRef]
- Dorman, H.J.D.; Lantto, T.A.; Raasmaja, A.; Hiltunen, R. Antioxidant, pro-oxidant and cytotoxic properties of parsley. Food Funct. 2011, 2, 328–337. [Google Scholar] [CrossRef] [PubMed]
- Samuoliene, G.; Brazaityte, A.; Viršile, A.; Jankauskiene, J.; Sakalauskiene, S.; Duchovskis, P. Red light-dose or wavelength-dependent photoresponse of antioxidants in herb microgreens. PLoS ONE 2016, 11, e0163405. [Google Scholar] [CrossRef] [PubMed]
- Saffaryazdi, A.; Ganjeali, A.; Farhoosh, R.; Cheniany, M. Variation in phenolic compounds, α-linolenic acid and linoleic acid contents and antioxidant activity of purslane (Portulaca oleracea L.) during phenological growth stages. Physiol. Mol. Biol. Plants 2020, 26, 1519–1529. [Google Scholar] [CrossRef] [PubMed]
- Buturi, C.V.; Mauro, R.P.; Fogliano, V.; Leonardi, C.; Giuffrida, F. Mineral Biofortification of Vegetables as a Tool to Improve Human Diet. Foods 2021, 10, 223. [Google Scholar] [CrossRef]
- Di Gioia, F.; Renna, M.; Santamaria, P. Sprouts, Microgreens and “Baby Leaf” Vegetables; Springer: Berlin/Heidelberg, Germany, 2017. [Google Scholar]
- Lenzi, A.; Orlandini, A.; Bulgari, R.; Ferrante, A.; Bruschi, P. Antioxidant and mineral composition of three wild leafy species: A comparison between microgreens and baby greens. Foods 2019, 8, 487. [Google Scholar] [CrossRef]
- Di Bella, M.C.; Niklas, A.; Toscano, S.; Picchi, V.; Romano, D.; Lo Scalzo, R.; Branca, F. Morphometric characteristics, polyphenols and ascorbic acid variation in Brassica oleracea L. novel foods: Sprouts, microgreens and baby leaves. Agronomy 2020, 10, 782. [Google Scholar] [CrossRef]
- Treadwell, D.; Hochmuth, R.; Landrum, L.; Laughlin, W. Microgreens: A New Specialty Crop. Edis 2020, 2020, hs1164–hs2020. [Google Scholar] [CrossRef]
- Kyriacou, M.C.; El-Nakhel, C.; Pannico, A.; Graziani, G.; Soteriou, G.A.; Giordano, M.; Zarrelli, A.; Ritieni, A.; De Pascale, S.; Rouphael, Y. Genotype-Specific Modulatory Effects of Select Spectral Bandwidths on the Nutritive and Phytochemical Composition of Microgreens. Front. Plant Sci. 2019, 10, 1501. [Google Scholar] [CrossRef] [PubMed]
- Pannico, A.; El-Nakhel, C.; Kyriacou, M.C.; Giordano, M.; Stazi, S.R.; De Pascale, S.; Rouphael, Y. Combating Micronutrient Deficiency and Enhancing Food Functional Quality Through Selenium Fortification of Select Lettuce Genotypes Grown in a Closed Soilless System. Front. Plant Sci. 2019, 10, 1495. [Google Scholar] [CrossRef]
- Lichtenthaler, H.K.; Wellburn, A.R. Determinations of total carotenoids and chlorophylls a and b of leaf extracts in different solvents. Biochem. Soc. Trans. 1983, 11, 591–592. [Google Scholar] [CrossRef]
- Kampfenkel, K.; Van Montagu, M.; Inzé, D. Extraction and determination of ascorbate and dehydroascorbate from plant tissue. Anal. Biochem. 1995, 225, 165–167. [Google Scholar] [CrossRef]
- Fogliano, V.; Verde, V.; Randazzo, G.; Ritieni, A. Method for measuring antioxidant activity and its application to monitoring the antioxidant capacity of wines. J. Agric. Food Chem. 1999, 47, 1035–1040. [Google Scholar] [CrossRef]
- Kim, H.J.; Fonseca, J.M.; Choi, J.H.; Kubota, C.; Dae, Y.K. Salt in irrigation water affects the nutritional and visual properties of romaine lettuce (Lactuca sativa L.). J. Agric. Food Chem. 2008, 56, 3772–3776. [Google Scholar] [CrossRef] [PubMed]
- Kyriacou, M.C.; El-Nakhel, C.; Graziani, G.; Pannico, A.; Soteriou, G.A.; Giordano, M.; Ritieni, A.; De Pascale, S.; Rouphael, Y. Functional quality in novel food sources: Genotypic variation in the nutritive and phytochemical composition of thirteen microgreens species. Food Chem. 2019, 277, 107–118. [Google Scholar] [CrossRef]
- Duyar, H.; Kiliç, C.C. A Research on Production of Rocket and Parsley in Floating System. J. Agric. Sci. 2016, 8, 54. [Google Scholar] [CrossRef][Green Version]
- Waterland, N.L.; Moon, Y.; Tou, J.C.; Kim, M.J.; Pena-Yewtukhiw, E.M.; Park, S. Mineral Content Differs among Microgreen, Baby Leaf, and Adult Stages in Three Cultivars of Kale. Hort Sci. 2017, 52, 566–571. [Google Scholar] [CrossRef]
- Vaštakaitė-Kairienė, V.; Brazaitytė, A.; Viršilė, A.; Samuolienė, G.; Miliauskienė, J.; Jankauskienė, J.; Novičkovas, A.; Duchovskis, P. The nutritional value of Brassica leafy greens in different growth stages. Acta Hortic. 2020, 1271, 455–464. [Google Scholar] [CrossRef]
- Kopsell, D.E.; Kopsell, D.A.; Sams, C.E.; Barickman, T.C. Ratio of Calcium To Magnesium Influences Biomass, Elemental Accumulations, and Pigment Concentrations in Kale. J. Plant Nutr. 2013, 36, 2154–2165. [Google Scholar] [CrossRef]
- Bindraban, P.S.; Dimkpa, C.; Nagarajan, L.; Roy, A.; Rabbinge, R. Revisiting fertilisers and fertilisation strategies for improved nutrient uptake by plants. Biol. Fertil. Soils 2015, 51, 897–911. [Google Scholar] [CrossRef]
- El-Nakhel, C.; Pannico, A.; Graziani, G.; Kyriacou, M.C.; Giordano, M.; Ritieni, A.; De Pascale, S.; Rouphael, Y. Variation in macronutrient content, phytochemical constitution and in vitro antioxidant capacity of green and red butterhead lettuce dictated by different developmental stages of harvest maturity. Antioxidants 2020, 9, 300. [Google Scholar] [CrossRef]
- Kizhedath, A.; Suneetha, V. Estimation of chlorophyll content in common household medicinal leaves and their utilization to avail health benefits of chlorophyll. J. Pharm. Res. 2011, 4, 1412–1413. [Google Scholar]
- Kimura, M.; Rodriguez-Amaya, D.B. Carotenoid composition of hydroponic leafy vegetables. J. Agric. Food Chem. 2003, 51, 2603–2607. [Google Scholar] [CrossRef]
- Pannico, A.; Graziani, G.; El-Nakhel, C.; Giordano, M.; Ritieni, A.; Kyriacou, M.C.; Rouphael, Y. Nutritional stress suppresses nitrate content and positively impacts ascorbic acid concentration and phenolic acids profile of lettuce microgreens. Italus Hortus 2020, 27, 41–52. [Google Scholar] [CrossRef]
- Hirschmann, J.V.; Raugi, G.J. Adult scurvy. J. Am. Acad. Dermatol. 1999, 41, 895–910. [Google Scholar] [CrossRef]
- Al-Juhaimi, F.; Ghafoor, K. Total phenols and antioxidant activities of leaf and stem extracts from coriander, mint and parsley grown in Saudi Arabia. Pak. J. Bot. 2011, 43, 2235–2237. [Google Scholar]
| Publisher’s Note: MDPI stays neutral with regard to jurisdictional claims in published maps and institutional affiliations. | 
© 2021 by the authors. Licensee MDPI, Basel, Switzerland. This article is an open access article distributed under the terms and conditions of the Creative Commons Attribution (CC BY) license (https://creativecommons.org/licenses/by/4.0/).
