Long-Term Analysis of the Variability of Agronomic Characters in the VIR Oat Germplasm Collection in Central Black Soil Region of Russia
Abstract
1. Introduction
2. Materials and Methods
2.1. Site Description
2.2. Material
2.3. Crop Management
2.4. Data Analysis
3. Results
3.1. Dynamics of Characters in the Reference Oat Cultivar ‘Gorizont’ in 1990–2019
3.2. Dynamics of Mean Values across the Studied Set of Oat Accessions
3.3. Variability of Traits in the Set of Oat Accessions
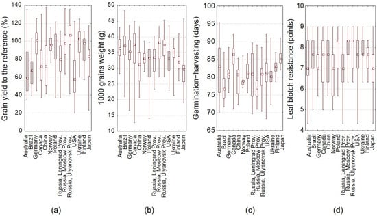
3.4. Comparison of the Cultivar Groups with Different Geographic Origin
4. Discussion
5. Conclusions
Supplementary Materials
Author Contributions
Funding
Institutional Review Board Statement
Acknowledgments
Conflicts of Interest
References
- IPCC. 2018: Summary for Policymakers. In Global Warming of 1.5 °C; World Meteorological Organization: Geneva, Switzerland; Available online: https://www.ipcc.ch/sr15 (accessed on 26 March 2020).
- Gosling, S.N.; Arnell, N.W. A global assessment of the impact of climate change on water scarcity. Clim. Res. 2016, 134, 371–385. [Google Scholar] [CrossRef]
- Menzel, A.; von Vopelius, J.; Estrella, N.; Schleip, C.; Dose, V. Farmers’ annual activities are not tracking speed of climate change. Clim. Res. 2006, 32, 201–207. [Google Scholar]
- Cleland, E.E.; Chuine, I.; Menzel, A.; Mooney, H.A.; Schwartz, M.D. Shifting plant phenology in response to global change. Trends Ecol. Evol. 2007, 22, 357–365. [Google Scholar] [CrossRef]
- Forkel, M.; Carvalhais, N.; Schaphoff, S.; Bloh, W.V.; Migliavacca, M.; Thurner, M.; Thonicke, K. Identifying environmental controls on vegetation greenness phenology through model–data integration. Biogeosciences 2014, 11, 7025–7050. [Google Scholar] [CrossRef]
- Moriondo, M.; Bindi, M. Impact of climate change on the phenology of typical Mediterranean crops. Ital. J. Agrometeorol. 2007, 3, 5–12. [Google Scholar]
- Kramer, K.; Leinonen, I.; Loustau, D. The importance of phenology for the evaluation of impact of climate change on growth of boreal, temperate and Mediterranean forests ecosystems: An overview. Int. J. Biometeorol. 2000, 44, 67–75. [Google Scholar] [CrossRef] [PubMed]
- Richardson, A.D.; Anderson, R.S.; Arain, M.A.; Barr, A.G.; Bohrer, G.; Chen, G.; Chen, J.M.; Ciais, P.; David, K.J.; Desai, A.R.; et al. Terrestrial biosphere models need better representation of vegetation phenology: Results from the North American Carbon Program Site Synthesis. Glob. Change Biol. 2012, 18, 566–584. [Google Scholar] [CrossRef]
- Wenjiao, S.; Fulu, T.; Zhao, Z. A review on statistical models for identifying climate contributions to crop yields. J. Geogr. Sci. 2013, 23, 567–576. [Google Scholar]
- Pereira, J.S.; Chaves, M.M.; Caldeira, M.C.; Correia, A.V. Water Availability and Productivity. In Plant Growth and Climate Change; Morison, J.I.L., Morecroft, M.D., Eds.; Blackwell Publishing Ltd.: Oxford, UK, 2006; pp. 118–145. [Google Scholar]
- Fishman, R. More uneven distributions overturn benefits of higher precipitation for crop yields. Environ. Res. Lett. 2016, 11, 024004. [Google Scholar] [CrossRef]
- Dong, T.; Liu, J.; Shang, J.; Qian, B.; Huffman, T.; Zhang, Y.; Champagne, C.; Daneshfar, B. Assessing the Impact of Climate Variability on Cropland Productivity in the Canadian Prairies Using Time Series MODIS FAPAR. Remote Sens. 2016, 8, 281. [Google Scholar] [CrossRef]
- Ceglar, A.; Toreti, A.; Lecerf, R.; Van der Velde, M.; Dentener, F. Impact of meteorological drivers on regional inter-annual crop yield variability in France. Agric. For. Meteorol. 2016, 216, 58–67. [Google Scholar] [CrossRef]
- Iizumi, T.; Ramankutty, N. Changes in yield variability of major crops for 1981–2010 explained by climate change. Environ. Res. Lett. 2016, 11. [Google Scholar] [CrossRef]
- Dreccer, M.F.; Fainges, J.; Whish, J.; Ogbonnaya, F.C.; Sadras, V.O. Comparison of sensitive stages of wheat, barley, canola, chickpea and field pea to temperature and water stress across Australia. Agric. For. Meteorol. 2018, 248, 275–294. [Google Scholar] [CrossRef]
- Babushkina, E.A.; Belokopytova, L.V.; Zhirnova, D.F.; Shah, S.K.; Kostyakova, T.V. Climatically driven yield variability of major crops in Khakassia (South Siberia). Int. J. Biometeorol. 2017. [Google Scholar] [CrossRef]
- Zheltaya, N.N. On the Relationship of the Mean Regional Oat Yield with Basic Meteorological Indicatiors in Different Areas of the European Part of the USSE. Improvement of Agrometeorological Forecasting Methods. In Proceedings of the Hydrometeorological Center; Gidrometeiozdat: Leningrad, Russia, 1974; pp. 104–113. [Google Scholar]
- Elsgaard, L.; Børgesen, C.D.; Olesen, J.E.; Skjelvåg, A.O. Shifts in comparative advantages for maize, oat and wheat cropping under climate change in Europe. Food Addit. Contam. Part A 2012, 29, 1514–1526. [Google Scholar] [CrossRef] [PubMed]
- García-León, D.; López-Lozano, R.; Toreti, A.; Zampieri, M. Local-Scale Cereal Yield Forecasting in Italy: Lessons from Different Statistical Models and Spatial Aggregations. Agronomy 2020, 10, 809. [Google Scholar] [CrossRef]
- Alexandersson, E.; Keinänen, M.; Chawade, A.; Himanen, K. Nordic research infrastructures for plant phenotyping. Agric. Food Sci. 2018, 27, 7–16. [Google Scholar] [CrossRef][Green Version]
- Keilwagen, J.; Kilian, B.; Özkan, H.; Babben, S.; Perovic, D.; Mayer, K.F.X.; Walther, A.; Poskar, C.H.; Ordon, F.; Eversole, K.; et al. Separating the wheat from the chaff—A strategy to utilize plant genetic resources from ex situ genebanks. Sci. Rep. 2014, 4, 5231. [Google Scholar] [CrossRef] [PubMed]
- Loskutov, I.G.; Kovaleva, O.N.; Blinova, E.V. Methodological Guidance Directory for Studing and Maintaining VIR’s Collections of Barley and Oat, 4th ed.; N.I. Vavilov All-Russian Institute of Plant Genetic Resources: Saint Petersburg, Russia, 2012; 63p. (In Russian) [Google Scholar]
- Vavilov, N.I. Geographical variability of plants. Sci. Word 1928, 1, 23–33. (In Russian) [Google Scholar]
- Loskutov, I.G. Vavilov and His Institute. In A History of the World Collection of Plant Genetic Resources in Russia; International Plant Genetic Resources Institute (IPGRI): Rome, Italy, 1999; 190p. [Google Scholar]
- Loskutov, I.G. Oat (Avena, L.). Distribution, Taxonomy, Evolution and Breeding Value; N.I. Vavilov All-Russian Institute of Plant Genetic Resources: Saint Petersburg, Russia, 2007; 335p. (In Russian) [Google Scholar]
- Loskutov, I.G.; Rines, H.W.; Avena, L. Wild Crop Relatives: Genomic and Breeding Resources. Cereals; Kole, C., Ed.; Springer: Berlin/Heidelberg, Germany; New York, NY, USA, 2011; pp. 84–109. [Google Scholar] [CrossRef]
- Loskutov, I.G. History of the World Collection pf Plant Genetic Resources in Russia; N.I. Vavilov All-Russian Institute of plant genetic resources: Saint Petersburg, Russia, 2009; 274p. (In Russian) [Google Scholar]
- Stevens, E.J.; Armstrong, K.W.; Bezar, H.J.; Griffin, W.B.; Hampton, J.G. Fodder Oats: An Overview (Chapter II). In Fodder Oats: A World Overview; Suttie, J.M., Reynolds, S.G., Eds.; Plant Production and Protection Series; FAO: Rome, Italy, 2004; Volume 33, Available online: http://www.fao.org/docrep/008/y5765e/y5765e06.htm (accessed on 28 June 2020).
- Rines, H.W.; Molnar, S.J.; Tinker, N.A.; Philipps, R.I. Oat. In Genome Mapping and Molecular Breeding in Plants, Volume 1: Cereals and Millets; Kole, C., Ed.; Springer: Berlin/Heidelberg, Germany; New York, NY, USA, 2006. [Google Scholar] [CrossRef]
- Heuzé, V.; Tran, G.; Nozière, P.; Renaudeau, D.; Lessire, M.; Lebas, F. Oats. Feedipedia, a Programme by INRA, CIRAD, AFZ and FAO. 2016. Available online: https://www.feedipedia.org/node/231 (accessed on 7 June 2020).
- Kirilov, A. Fodder Oats in Europe (Chapter XI). In Fodder Oats: A World Overview; Suttie, J.M., Reynolds, S.G., Eds.; Plant Production and Protection Series No. 33; FAO: Rome, Italy, 2004; Available online: http://www.fao.org/3/y5765e/y5765e0f.htm (accessed on 17 July 2020).
- Agroclimatic reSources of the Tambov Province; Gidrometeoizdat: Leningtad, Russia, 1974; 102p. (In Russian)
- Novikova, L.Y.; Dyubin, V.N.; Seferova, I.V.; Loskutov, I.G.; Zuev, E.V. Prediction of vegetation period duration in spring cereal crops varieties in the conditions of climate changes. Agric. Biol. 2012, 5, 78–87. [Google Scholar] [CrossRef]
- Loskutov, I.G.; Novikova, L.Y.; Kovaleva, O.N.; Ivanova, N.N.; Blinova, E.V.; Belskaya, G.V. Ecological-geographic approaches to the study of genetic diversity of barley and oat from the VIR collection. Ecol. Genet. 2020, 18, 89–102. [Google Scholar] [CrossRef]
- Eliseeva, I.I. (Ed.) Statistics; KNORUS: Moscow, Russia, 2006; 552p. (In Russian) [Google Scholar]
- Boczkowska, M.; Podyma, W.; Łapiński, B. 4—Oat. In Genetic and Genomic Resources for Grain Cereals Improvement; Academic Press: San Diego, CA, USA, 2016; pp. 159–225. [Google Scholar] [CrossRef]
- Winkler, L.R.; Bonman, J.M.; Chao, S.; Yimer, B.A.; Bockelman, H.; Klos, K.E. Population Structure and Genotype-Phenotype Associations in a Collection of Oat Landraces and Historic Cultivars. Front. Plant Sci. 2016, 7, 1077. [Google Scholar] [CrossRef] [PubMed]




Publisher’s Note: MDPI stays neutral with regard to jurisdictional claims in published maps and institutional affiliations. |
© 2021 by the authors. Licensee MDPI, Basel, Switzerland. This article is an open access article distributed under the terms and conditions of the Creative Commons Attribution (CC BY) license (http://creativecommons.org/licenses/by/4.0/).
Share and Cite
Loskutov, I.G.; Novikova, L.Y.; Belskaya, G.V.; Blinova, E.V. Long-Term Analysis of the Variability of Agronomic Characters in the VIR Oat Germplasm Collection in Central Black Soil Region of Russia. Agronomy 2021, 11, 423. https://doi.org/10.3390/agronomy11030423
Loskutov IG, Novikova LY, Belskaya GV, Blinova EV. Long-Term Analysis of the Variability of Agronomic Characters in the VIR Oat Germplasm Collection in Central Black Soil Region of Russia. Agronomy. 2021; 11(3):423. https://doi.org/10.3390/agronomy11030423
Chicago/Turabian StyleLoskutov, Igor G., Liubov Yu. Novikova, Galina V. Belskaya, and Elena V. Blinova. 2021. "Long-Term Analysis of the Variability of Agronomic Characters in the VIR Oat Germplasm Collection in Central Black Soil Region of Russia" Agronomy 11, no. 3: 423. https://doi.org/10.3390/agronomy11030423
APA StyleLoskutov, I. G., Novikova, L. Y., Belskaya, G. V., & Blinova, E. V. (2021). Long-Term Analysis of the Variability of Agronomic Characters in the VIR Oat Germplasm Collection in Central Black Soil Region of Russia. Agronomy, 11(3), 423. https://doi.org/10.3390/agronomy11030423

