High Levels of Shading as A Sustainable Application for Mitigating Drought, in Modern Apple Production
Abstract
1. Introduction
2. Materials and Methods
2.1. Study Site
2.2. Net Shading and Irrigation Treatments
2.3. Midday Stem Water Potential and Leaf Gas Exchanges
2.4. Fruit Growth Rate and Yield Determinants
2.5. Fruit Quality and Sensory Evaluation
2.5.1. Fruit Quality
2.5.2. Sensory Evaluation: Trained Panel
2.5.3. Sensory Evaluation: Consumer Test
2.6. Statistical Analysis
- -
- irrigation treatments (ww vs. ws);
- -
- shade intensity treatments (B vs. R and W);
- -
- interaction of irrigation and net treatments (Irrigation|Net); and
- -
- interaction of irrigation and 50% shade (Irrigation|50% shade).
3. Results
3.1. Weather Conditions
3.2. Shading Intensity
3.3. Crop Load
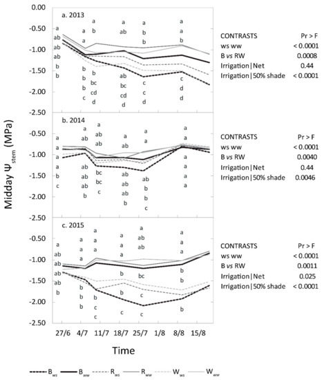
3.4. Midday Stem Water Potential, Applied Irrigation, and Leaf Gas Exchanges
3.5. Fruit Absolute Growth Rate
3.6. Yield
3.7. Fruit Quality and Sensory Evaluation
4. Discussion
5. Conclusions
Supplementary Materials
Author Contributions
Funding
Acknowledgments
Conflicts of Interest
References
- Campbell, R.J.; Marini, R.P.; Birch, J.B. Canopy position affects light response curves for gas exchange characteristics of apple spur leaves. J. Am. Hort. Sci. 1992, 117, 467–472. [Google Scholar] [CrossRef]
- Cheng, L.; Fuchigami, L.H.; Breen, P.J. Light absorption and partitioning in relation to Nitrogen content in “Fuji” apple leaves. J. Am. Hort. Sci. 2000, 125, 581–587. [Google Scholar] [CrossRef]
- Husen, J.; Dequan, L. Relationship between photosystem 2 apple tree electron transport and photosynthetic CO2 assimilation responses to irradiance in young leaves. Photosynthetica 2002, 40, 139–144. [Google Scholar] [CrossRef]
- Medina, C.L.; Souza, R.P.; Machado, E.C.; Ribeiro, R.V.; Silva, J.A. Photosynthetic response of citrus grown under reflective aluminized polypropylene shading nets. Sci. Hortic. 2002, 96, 115–125. [Google Scholar] [CrossRef]
- Losciale, P.; Chow, W.S.; Corelli Grappadelli, L. Modulating the light environment with the peach ‘asymmetric orchard’: Effects on gas exchange performances, photoprotection, and photoinhibition. J. Exp. Bot. 2010, 61, 1177–1192. [Google Scholar] [CrossRef] [PubMed]
- Chow, W.S.; Aro, E.M. Photoinactivation and mechanisms of recovery. In Photosystem II: The Light Driven Water: Plastoquinone Oxidoreductase. Advances in Photosynthesis and Respiration; Wydrzynski, T.J., Satoh, K., Eds.; Springer: Dordrecht, The Netherlands, 2005; Volume 22, pp. 627–648. [Google Scholar] [CrossRef]
- Losciale, P. Light Energy Management in Peach: Utilization, Photoprotection, Photodamage and Recovery. Maximizing Light Absorption in Orchard Is Not Always the Best Solution. Ph.D. Thesis, Bologna University, Bologna, Italy, 2008. [Google Scholar]
- Mupambi, G.; Layne, D.R.; Kalcsits, L.A.; Musacchi, S.; Serra, S.; Schmidt, T.; Hanrahan, I. Use of Protective Netting in Washington State Apple Production; Washington State University Extension Publication: Pullman, WA, USA, 2019; pp. 1–20. [Google Scholar]
- Serra, S.; Borghi, S.; Mupambi, G.; Camargo-Alvarez, H.; Layne, D.; Schmidt, T.; Kalcsits, L.; Musacchi, S. Photoselective Protective Netting Improves “Honeycrisp” Fruit Quality. Plants 2020, 9, 1708. [Google Scholar] [CrossRef] [PubMed]
- Mupambi, G.; Anthony, B.M.; Layne, D.R.; Musacchi, S.; Serra, S.; Schmidt, T.; Kalcsits, L.A. The influence of protective netting on tree physiology and fruit quality of apple: A review. Sci. Hortic. 2018, 236, 60–72. [Google Scholar] [CrossRef]
- Climate Change. Available online: https://climate.copernicus.eu/ (accessed on 10 October 2020).
- Arthurs, S.P.; Stamps, R.H.; Giglia, F.F. Environmental modification inside photoselective shadehouses. HortScience 2013, 48, 975–979. [Google Scholar] [CrossRef]
- Lopez, G.; Boini, A.; Manfrini, L.; Torres-Ruiz, J.M.; Pierpaoli, E.; Zibordi, M.; Losciale, P.; Morandi, B.; Corelli-Grappadelli, L. Effect of shading and water stress on light interception, physiology and yield of apple trees. Agric. Water Manag. 2018, 210, 140–148. [Google Scholar] [CrossRef]
- Corollaro, M.L.; Manfrini, L.; Endrizzi, I.; Aprea, E.; Demattè, M.L.; Charles, M.; Bergamaschi, M.; Biasoli, F.; Zibordi, M.; Corelli Grappadelli, L.; et al. The effect of two orchard light management practices on the sensory quality of apple: Fruit thinning by shading or photo-selective nets. J. Hort. Sci. Biotech. 2015, 90, 99–107. [Google Scholar] [CrossRef]
- Predieri, S.; Gatti, E.; Medoro, C.; Cianciabella, M.; Infante, R.; Mari, L. Consumer tests for monitoring optimal ‘Abate Fetel’ pear eating quality. Eur. J. Hort. Sci. 2014, 79, 36–42. [Google Scholar]
- Girona, J.; Behboudian, M.H.; Mata, M.; Del Campo, J.; Marsal, J. Effect of hail nets on the microclimate, irrigation requirements, tree growth, and fruit yield of peach orchards in Catalonia (Spain). J. Hort. Sci. Biotech. 2012, 87, 545–550. [Google Scholar] [CrossRef]
- Nicolás, E.; Barradas, V.; Ortuño, M.; Navarro, A.; Torrecillas, A.; Alarcón, J. Environmental and stomatal control of transpiration, canopy conductance and decoupling coefficient in young lemon trees under shading net. Environ. Exp. Bot. 2008, 63, 200–206. [Google Scholar] [CrossRef]
- Naor, A.; Girona, J. Apple. In Crop Yield Response to Water, FAO Irrigation and Drainage Paper 66; Steduto, P., Hsiao, T.C., Eds.; Food and Agriculture Organization of the United Nations: Rome, Italy, 2012; pp. 332–345. [Google Scholar]
- Girona, J.; Mata, M.; Del Campo, J.; Arbonés, A.; Bartra, E.; Marsal, J. The use of midday leaf water potential for scheduling deficit irrigation in vineyards. Irrig. Sci. 2006, 24, 115–127. [Google Scholar] [CrossRef]
- Turner, N.C.; Long, M.J. Errors arising from rapid water loss in the measurement of leaf water potential by the pressure chamber technique. Aust. J. Plant Physiol. 1980, 7, 527–537. [Google Scholar] [CrossRef]
- Costamagna, F.; Giordani, L.; Costa, G.; Noferini, M. Use of AD Index to define harvest time and characterize ripening variability at harvest in ‘Gala’ Apple. In Acta Horticulturae, Proceedings of the EUFRIN Thinning Working Group Symposia: Catalonia (Spain), Wageningen (Netherlands) and Ljubljana (Slovenia), 9 March 2012; Blanke, M.M., Costa, G., Eds.; ISHS: Leuven, Belgium, 2013; pp. 117–123. [Google Scholar] [CrossRef]
- Bonany, J.; Carbó, J.; Echeverria, G.; Hilaire, C.; Cottet, V.; Iglesias, I.; Jesionkowska, K.; Konopacka, D.; Kruczyńska, D.; Martinelli, A.; et al. Eating quality and European consumer acceptance of different peach (Prunus persica (L.) Batsch) varieties. J. Food Agric. Environ. 2014, 12, 67–72. [Google Scholar] [CrossRef]
- Meilgaard, M.C.; Civille, G.V.; Carr, B.T. Sensory Evaluation Techniques; Taylor & Francis Group, United States: Oxfordshire, UK, 2015. [Google Scholar]
- Bastías, R.M.; Manfrini, L.; Grappadelli, L.C. Exploring the potential use of photoselective nets for fruit growth regulation in apple | [Explorando el uso potencial de mallas foto-selectivas para la regulación del crecimiento de fruto en manzano]. Chil. J. Agric. Res. 2012, 72, 224–231. [Google Scholar] [CrossRef]
- Solomakhin, A.; Blanke, M. Coloured hailnets alter light transmission, spectra and phytochrome, as well as vegetative growth, leaf chlorophyll and photosynthesis and reduce flower induction of apple. Plant Growth Regul. 2008, 56, 211–218. [Google Scholar] [CrossRef]
- Shahak, Y.; Gussakovsky, E.E.; Cohen, Y.; Lurie, S.; Stern, R.; Kfir, S.; Naor, A.; Atzmon, I.; Doron, I.; Greenblat-Avron, Y. ColorNets: A new approach for light manipulation in fruit trees. In Proceedings of the XXVI International Horticultural Congress: Key Processes in the Growth and Cropping of Deciduous Fruit and Nut Trees, Toronto, ON, Canada, 11 August 2002; Webster, A.D., Ed.; ISHS: Leuven, Belgium, 2004; pp. 609–616. [Google Scholar] [CrossRef]
- Do Amarante, C.V.T.; Steffens, C.A.; Argenta, L.C. Yield and fruit quality of ‘Gala’ and ‘Fuji’ apple trees protected by white anti-hail net. Sci. Hortic. 2011, 129, 79–85. [Google Scholar] [CrossRef]
- Kong, Y.; Avraham, L.; Ratner, K.; Shahak, Y. Response of photosynthetic parameters of sweet pepper leaves to light quality manipulation by photoselective shade nets. In Proceedings of the VII International Symposium on Light in Horticultural Systems, Wageningen, The Netherlands, 14 October 2012; Hemming, S., Heuvelink, E., Eds.; ISHS: Leuven, Belgium, 2012; pp. 501–506. [Google Scholar] [CrossRef]
- Basile, B.; Giaccone, M.; Cirillo, C.; Ritieni, A.; Graziani, G.; Shahak, Y.; Forlani, M. Photoselective hail nets affect fruit size and quality in Hayward kiwifruit. Sci. Hortic. 2012, 141, 91–97. [Google Scholar] [CrossRef]
- Green, S.; McNaughton, K.; Wünsche, J.N.; Clothier, B. Modeling light interception and transpiration of apple tree canopies. J. Agron. 2003, 95, 1380–1387. [Google Scholar] [CrossRef]
- Boini, A.; Lopez, G.; Morandi, B.; Manfrini, L.; Corelli-Grappadelli, L. Testing the effect of different light environments and water shortage on apple physiological parameters and yield. In Proceedings of the XI International Symposium on Integrating Canopy, Rootstock and Environmental Physiology in Orchard Systems, Bologna, Italy, 28 August 2016; Corelli Grappadelli, L., Ed.; ISHS: Leuven, Belgium, 2018; pp. 397–403. [Google Scholar] [CrossRef]
- Jackson, J.E. Biology of Apple and Pears; University of Cambridge: Cambridge, UK, 2003. [Google Scholar]
- Kong, Y.; Avraham, L.; Perzelan, Y.; Alkalai-Tuvia, S.; Ratner, K.; Shahak, Y.; Fallik, E. Pearl netting affects postharvest fruit quality in ‘Vergasa’ sweet pepper via light environment manipulation. Sci. Hortic. 2013, 150, 290–298. [Google Scholar] [CrossRef]
- Stampar, F.; Veberic, R.; Zadravec, P.; Hudina, M.; Usenik, V.; Solar, A.; Osterc, G. Yield and fruit quality of apples cv. ‘Jonagold’ under hail protection nets/Ertrag und fruchtqualität der apfelsorte ‘Jonagold’ unter hagelschutznetzen. Gartenbauwissenschaft 2002, 67, 205–210. [Google Scholar]
- Reig, G.; Lordan, J.; Fazio, G.; Grusak, M.A.; Hoying, S.; Cheng, L.; Francescatto, P.; Robinson, T. Horticultural performance and elemental nutrient concentrations on ‘Fuji’ grafted on apple rootstocks under New York State climatic conditions. Sci. Hortic. 2018, 227, 22–37. [Google Scholar] [CrossRef]
- Lebese, T.C.; Stassen, P.J.C.; Midgley, S.J.E. Photosynthetic capacity and diurnal gas exchange of ‘brookfield gala’ apple leaves under three irrigation systems. S. Afr. J. Plant Soil 2011, 28, 55–63. [Google Scholar] [CrossRef]
- Naschitz, S.; Naor, A.; Genish, S.; Wolf, S.; Goldschmidt, E. Internal management of non-structural carbohydrate resources in apple leaves and branch wood under a broad range of sink and source manipulations. Tree Physiol. 2010, 30, 715–727. [Google Scholar] [CrossRef] [PubMed]
- Boini, A.; Manfrini, L.; Bortolotti, G.; Corelli-Grappadelli, L.; Morandi, B. Monitoring fruit daily growth indicates the onset of mild drought stress in apple. Sci. Hortic. 2019, 256, 108520. [Google Scholar] [CrossRef]
- Ebel, R.C.; Proebsting, E.L.; Evans, R.G. Apple tree and fruit responses to early termination of irrigation in a semi-arid environment. HortScience 2001, 36, 1197–1201. [Google Scholar] [CrossRef]
- Girona, J.; Behboudian, M.H.; Mata, M.; Del Campo, J.; Marsal, J. Exploring six reduced irrigation options under water shortage for ‘Golden Smoothee’ apple: Responses of yield components over three years. Agric. Water Manag. 2010, 98, 370–375. [Google Scholar] [CrossRef]
- Chenafi, A.; Carlen, C.; Boudoukha, A.; Hofer, A.; Monney, P. Evaluation of regulated deficit irrigation for apple trees cv. “gala” based on midday stem water potential and soil matrix potential. In Proceedings of the VII International Symposium on Irrigation of Horticultural Crops, Geisenheim, Germany, 16 July 2012; Stoll, M., Braun, P., Eds.; ISHS: Leuven, Belgium, 2014; pp. 137–144. [Google Scholar] [CrossRef]
- Yang, W.; Pallas, B.; Durand, J.B.; Martinez, S.; Han, M.; Costes, E. The impact of long-term water stress on tree architecture and production is related to changes in transitions between vegetative and reproductive growth in the’ Granny Smith’ apple cultivar. Tree Physiol. 2016, 36, 1369–1381. [Google Scholar] [CrossRef] [PubMed]
- Naor, A. Irrigation scheduling of peach—Deficit irrigation at different phenological stages and water stress assessment. In Proceedings of the VI International Peach Symposium, Santiago, Chile, 9 January 2005; Infante, R., Ed.; ISHS: Leuven, Belgium, 2006; pp. 339–349. [Google Scholar] [CrossRef]
- Behboudian, M.H.; Marsal, J.; Girona, J.; Lopez, G. In Quality and Yield Responses of Deciduous Fruits to Reduce Irrigation. Hortic. Rev. 2011, 38, 149–189. [Google Scholar]
- Francaviglia, D.; Farina, V.; Avellone, G.; Lo Bianco, R. Fruit yield and quality responses of apple cvars gala and fuji to partial rootzone drying under mediterranean conditions. J. Agric. Sci. 2013, 151, 556–569. [Google Scholar] [CrossRef]
- Mpelasoka, B.S.; Behboudian, M.H.; Dixon, J.; Neal, S.M.; Caspari, H.W. Improvement of fruit quality and storage potential of ‘braeburn’ apple through deficit irrigation. J. Hortic. Sci. Biotechnol. 2000, 75, 615–621. [Google Scholar] [CrossRef]
- Mpelasoka, B.S.; Behboudian, M.H.; Ganesh, S. Fruit quality attributes and their interrelationships of’ Braeburn’ apple in response to deficit irrigation and to crop load. Gartenbauwissenschaft 2001, 66, 247–253. [Google Scholar]
- Mpelasoka, B.S.; Behboudian, M.H.; Mills, T.M. Effects of deficit irrigation on fruit maturity and quality of ‘Braeburn’ apple. Sci. Hortic. 2001, 90, 279–290. [Google Scholar] [CrossRef]
- Leib, B.G.; Caspari, H.W.; Redulla, C.A.; Andrews, P.K. Partial root zone drying and deficit irrigation on ‘Fuji’ apples in semi-arid climate. Irrig. Sci. 2006, 24, 85–99. [Google Scholar] [CrossRef]
- Crisosto, C.H.; Johnson, R.S.; Luza, J.G.; Crisosto, G.M. Irrigation regimes affect fruit soluble solids concentration and rate of water loss of ‘O’Henrys’ peaches. HortScience 1994, 29, 1169–1171. [Google Scholar] [CrossRef]
- Lopez, G.; Behboudian, M.H.; Vallverdu, X.; Mata, M.; Girona, J.; Marsal, J. Mitigation of severe water stress by fruit thinning in ‘O’Henry’ peach: Implications for fruit quality. Sci. Hortic. 2010, 125, 294–300. [Google Scholar] [CrossRef]
- Lopez, G.; Behboudian, M.H.; Echeverria, G.; Girona, J.; Marsal, J. Instrumental and sensory evaluation of fruit quality for ‘Ryan’s Sun’ peach grown under deficit irrigation. HortTechnology 2011, 21, 712–719. [Google Scholar] [CrossRef]
- Alcobendas, R.; Mirás-Avalos, J.M.; Alarcón, J.J.; Nicolás, E. Effects of irrigation and fruit position on size, colour, firmness and sugar contents of fruits in a mid-late maturing peach cultivar. Sci. Hortic. 2013, 164, 340–347. [Google Scholar] [CrossRef]
- Lopez, G.; Echeverria, G.; Bellvert, J.; Mata, M.; Behboudian, M.H.; Girona, J.; Marsal, J. Water stress for a short period before harvest in nectarine: Yield, fruit composition, sensory quality, and consumer acceptance of fruit. Sci. Hortic. 2016, 211, 1–7. [Google Scholar] [CrossRef]
- Naor, A.; Peres, M.; Greenblat, Y.; Gal, Y.; Ben Arie, R. Effects of pre-harvest irrigation regime and crop level on yield, fruit size distribution and fruit quality of field-grown ‘Black Amber’ Japanese plum. J. Hortic. Sci. Biotechnol. 2004, 79, 281–288. [Google Scholar] [CrossRef]
- Intrigliolo, D.S.; Castel, J.R. Response of plum trees to deficit irrigation under two crop levels: Tree growth, yield and fruit quality. Irrig. Sci. 2010, 28, 525–534. [Google Scholar] [CrossRef]
- Ramos, D.E.; Weinbaum, S.A.; Shackel, K.A.; Schwankle, L.J.; Mitcham, E.J.; Mitchell, F.G.; Snyder, R.G.; Mayer, G.; McGourt, G. Influence of tree water status and canopy position on fruit size and quality of Bartlett pears. In Proceedings of the VI International Symposium on Pear Growing, Medford, OR, USA, 12 July 1993; Sugar, D., Ed.; ISHS: Leuven, Belgium, 1994; pp. 192–200. [Google Scholar] [CrossRef]
- Lopez, G.; Larrigaudiere, C.; Girona, J.; Behboudian, M.H.; Marsal, J. Fruit thinning in ‘Conference’ pear grown under deficit irrigation: Implications for fruit quality at harvest and after cold storage. Sci. Hortic. 2011, 129, 64–70. [Google Scholar] [CrossRef]
- O’Connell, M.G.; Goodwin, I. Responses of ‘Pink Lady’ apple to deficit irrigation and partial rootzone drying: Physiology, growth, yield, and fruit quality. Aust. J. Agric. Res. 2007, 58, 1068–1076. [Google Scholar] [CrossRef]
- Gelly, M.; Recasens, I.; Girona, J.; Mata, M.; Arbones, A.; Rufat, J.; Marsal, J. Effects of water deficit during stage II of peach fruit development and postharvest on fruit quality and ethylene production. J. Hortic. Sci. Biotechnol. 2003, 78, 324–330. [Google Scholar] [CrossRef]
- Gelly, M.; Recasens, I.; Girona, J.; Mata, M.; Arbones, A.; Rufat, J.; Marsal, J. Effects of stage II and postharvest deficit irrigation on peach quality during maturation and after cold storage. J. Sci. Food Agric. 2004, 84, 561–568. [Google Scholar] [CrossRef]
- Ackermann, J.; Fischer, M.; Amadò, R. Changes in Sugars, Acids, and Amino Acids during Ripening and Storage of Apples (cv. Glockenapfel). J. Agric. Food Chem. 1992, 40, 1131–1134. [Google Scholar] [CrossRef]
- Palmer, J.W.; Harker, F.R.; Tustin, D.S.; Johnston, J. Fruit dry matter concentration: A new quality metric for apples. J. Sci. Food Agric. 2010, 90, 2586–2594. [Google Scholar] [CrossRef] [PubMed]
- Ojeda, H. Irrigation qualitative de précision de la vigne. Prog. Agric. Vitic. 2007, 7, 133–141. [Google Scholar]



| Crop Load (Fruit Tree−1) | ||||||||||||
|---|---|---|---|---|---|---|---|---|---|---|---|---|
| Netirrigation | 2013 | 2014 | 2015 | |||||||||
| Bws | 161 | ± | 11 | a | 157 | ± | 15 | a | 115 | ± | 20 | ab |
| Rws | 65 | ± | 7 | b | 161 | ± | 22 | a | 102 | ± | 24 | ab |
| Wws | 112 | ± | 16 | ab | 91 | ± | 12 | a | 62 | ± | 21 | b |
| Bww | 149 | ± | 12 | a | 169 | ± | 9 | a | 130 | ± | 38 | a |
| Rww | 116 | ± | 26 | ab | 162 | ± | 8 | a | 91 | ± | 15 | ab |
| Www | 113 | ± | 16 | ab | 121 | ± | 18 | a | 110 | ± | 15 | ab |
| Midday Leaf Photosynthesis (µmol CO2 m−2 s−1) | |||||||||||||
|---|---|---|---|---|---|---|---|---|---|---|---|---|---|
| Netirrigation | PAR | Mid-Season | SE | PAR | Pre-Harvest | SE | Linear Contrast | Mid-Season | Pre-Harvest | ||||
| Year 2013 | |||||||||||||
| Bws | 1389 | 12.47 | ± | 2.17 | a | 1397 | 12.59 | ± | 0.27 | b | Pr > F | Pr > F | |
| Rws | 997 | 11.21 | ± | 0.49 | a | 1199 | 11.07 | ± | 1.77 | b | ws ww | 0.0017 | <0.0001 |
| Wws | 1004 | 12.84 | ± | 0.95 | a | 1199 | 12.20 | ± | 0.57 | b | B vs. RW | 0.88 | 0.66 |
| Irrigation|Net | 0.84 | 0.55 | |||||||||||
| Bww | 1389 | 16.61 | ± | 2.22 | a | 1397 | 16.64 | ± | 0.83 | a | Irrigation|50% shade | 0.0059 | 0.0001 |
| Rww | 997 | 16.34 | ± | 1.06 | a | 1199 | 16.02 | ± | 1.14 | a | |||
| Www | 1004 | 17.01 | ± | 1.18 | a | 1199 | 17.55 | ± | 1.05 | a | |||
| Year 2014 | |||||||||||||
| Bws | 1599 | 16.40 | ± | 0.73 | a | 1599 | 17.50 | ± | 0.73 | a | Pr > F | Pr > F | |
| Rws | 1201 | 14.64 | ± | 0.57 | a | 1190 | 17.10 | ± | 0.57 | a | ws ww | 0.67 | 0.89 |
| Wws | 1200 | 15.31 | ± | 1.45 | a | 1194 | 16.90 | ± | 1.45 | a | B vs. RW | 0.20 | 0.36 |
| Irrigation|Net | 0.49 | 0.62 | |||||||||||
| Bww | 1599 | 15.45 | ± | 0.68 | a | 1599 | 18.13 | ± | 0.68 | a | Irrigation|50% shade | 0.95 | 0.69 |
| Rww | 1201 | 15.79 | ± | 0.20 | a | 1190 | 15.65 | ± | 0.20 | a | |||
| Www | 1200 | 14.24 | ± | 0.75 | a | 1194 | 17.30 | ± | 0.75 | a | |||
| Year 2015 | |||||||||||||
| Bws | 1299 | 4.08 | ± | 0.73 | c | 1400 | 3.22 | ± | 0.47 | b | Pr > F | Pr > F | |
| Rws | 999 | 4.91 | ± | 1.16 | c | 999 | 3.94 | ± | 0.86 | b | ws ww | <0.0001 | <0.0001 |
| Wws | 1000 | 7.08 | ± | 0.96 | c | 999 | 4.46 | ± | 0.97 | b | B vs. RW | 0.01 | 0.22 |
| Irrigation|Net | 0.48 | 0.92 | |||||||||||
| Bww | 1299 | 15.10 | ± | 1.66 | b | 1400 | 12.78 | ± | 1.15 | a | Irrigation|50% shade | <0.0001 | <0.0001 |
| Rww | 999 | 16.89 | ± | 0.61 | ab | 999 | 12.42 | ± | 0.98 | a | |||
| Www | 1000 | 19.64 | ± | 0.51 | a | 999 | 14.81 | ± | 0.33 | a | |||
| Midday Leaf Stomatal Conductance (mmol CO2 m−2 s−1) | |||||||||||||
|---|---|---|---|---|---|---|---|---|---|---|---|---|---|
| Netirrigation | PAR | Mid-Season | SE | PAR | Pre-Harvest | SE | Linear Contrast | Mid-Season | Pre-Harvest | ||||
| Year 2013 | |||||||||||||
| Bws | 1389 | 0.151 | ± | 0.022 | b | 1397 | 0.149 | ± | 0.022 | a | Pr > F | Pr > F | |
| Rws | 997 | 0.166 | ± | 0.009 | ab | 1199 | 0.130 | ± | 0.022 | a | ws ww | <0.0001 | 0.005 |
| Wws | 1004 | 0.168 | ± | 0.018 | ab | 1199 | 0.140 | ± | 0.015 | a | B vs. RW | 0.696 | 0.133 |
| Irrigation|Net | 0.655 | 0.059 | |||||||||||
| Bww | 1389 | 0.253 | ± | 0.034 | a | 1397 | 0.158 | ± | 0.022 | a | Irrigation|50% shade | 0.0008 | 0.001 |
| Rww | 997 | 0.251 | ± | 0.019 | a | 1199 | 0.250 | ± | 0.015 | a | |||
| Www | 1004 | 0.252 | ± | 0.017 | a | 1199 | 0.294 | ± | 0.047 | a | |||
| Year 2014 | |||||||||||||
| Bws | 1599 | 0.172 | ± | 0.012 | a | 1599 | 0.320 | ± | 0.012 | a | Pr > F | Pr > F | |
| Rws | 1201 | 0.162 | ± | 0.012 | a | 1190 | 0.332 | ± | 0.012 | a | ws ww | 0.93 | 0.80 |
| Wws | 1200 | 0.156 | ± | 0.024 | a | 1194 | 0.349 | ± | 0.024 | a | B vs. RW | 0.16 | 0.19 |
| Irrigation|Net | 0.68 | 0.79 | |||||||||||
| Bww | 1599 | 0.180 | ± | 0.014 | a | 1599 | 0.310 | ± | 0.014 | a | Irrigation|50% shade | 0.86 | 0.96 |
| Rww | 1201 | 0.178 | ± | 0.013 | a | 1190 | 0.334 | ± | 0.013 | a | |||
| Www | 1200 | 0.135 | ± | 0.008 | a | 1194 | 0.345 | ± | 0.008 | a | |||
| Year 2015 | |||||||||||||
| Bws | 1299 | 0.039 | ± | 0.006 | b | 1400 | 0.061 | ± | 0.004 | b | Pr > F | Pr > F | |
| Rws | 999 | 0.045 | ± | 0.012 | b | 999 | 0.062 | ± | 0.010 | b | ws ww | <0.0001 | <0.0001 |
| Wws | 1000 | 0.066 | ± | 0.013 | b | 999 | 0.066 | ± | 0.016 | b | B vs. RW | 0.066 | 0.912 |
| Irrigation|Net | 0.704 | 0.786 | |||||||||||
| Bww | 1299 | 0.193 | ± | 0.017 | a | 1400 | 0.288 | ± | 0.034 | a | Irrigation|50% shade | <0.0001 | <0.0001 |
| Rww | 999 | 0.199 | ± | 0.014 | a | 999 | 0.263 | ± | 0.027 | a | |||
| Www | 1000 | 0.234 | ± | 0.004 | a | 999 | 0.300 | ± | 0.012 | a | |||
| Midday Stem Water Potential (MPa) | |||||||||||
|---|---|---|---|---|---|---|---|---|---|---|---|
| 2013 | 2014 | 2015 | |||||||||
| r | slope | p | r | slope | p | r | slope | p | |||
| Midday leaf photosynthesis (µmol CO2 m−2 s−1) | 0.65 | 8.179 | <0.05 | 0.49 | 7.962 | 0.10 | 0.93 | 13.819 | <0.05 | ||
| Seasonal Fruit Growth Rate (g day−1) | ||||||
|---|---|---|---|---|---|---|
| Netirrigation | SE | Linear Contrast | Pr > F | |||
| Year 2013 | ||||||
| Bws | 1.37 | ± | 0.04 | d | ||
| Rws | 1.60 | ± | 0.04 | b | ws ww | <0.0001 |
| Wws | 1.46 | ± | 0.04 | cd | B vs. RW | 0.001 |
| Irrigation|Net | 0.108 | |||||
| Bww | 1.58 | ± | 0.04 | bc | Irrigation|50% shade | 0.010 |
| Rww | 1.77 | ± | 0.04 | a | ||
| Www | 1.49 | ± | 0.04 | bcd | ||
| Year 2014 | ||||||
| Bws | 1.65 | ± | 0.03 | d | ||
| Rws | 1.86 | ± | 0.03 | ab | ws ww | 0.0068 |
| Wws | 1.77 | ± | 0.03 | bc | B vs. RW | <0.0001 |
| Irrigation|Net | 0.747 | |||||
| Bww | 1.72 | ± | 0.04 | cd | Irrigation|50% shade | 0.016 |
| Rww | 1.93 | ± | 0.03 | a | ||
| Www | 1.87 | ± | 0.03 | ab | ||
| Year 2015 * | ||||||
| Bws | 1.00 | ± | 0.07 | c | ||
| Rws | 1.13 | ± | 0.06 | bc | ws ww | 0.0003 |
| Wws | 1.32 | ± | 0.13 | ab | B vs. RW | 0.003 |
| Irrigation|Net | 0.011 | |||||
| Bww | 1.40 | ± | 0.07 | a | Irrigation|50% shade | <0.0001 |
| Rww | 1.45 | ± | 0.07 | a | ||
| Www | 1.57 | ± | 0.07 | a | ||
| Netirrigation | Total Yield | Marketable Yield | Linear Contrast | Total Yield (kg tree−1) | Marketable Yield (kg tree−1) | ||||||
|---|---|---|---|---|---|---|---|---|---|---|---|
| (kg tree−1) | SE | (kg tree−1) | SE | ||||||||
| Year 2013 | ** | ** | |||||||||
| Bws | 12.85 | ± | 0.65 | c | 3.24 | ± | 0.62 | d | Pr > F | Pr > F | |
| Rws | 14.60 | ± | 0.70 | bc | 8.58 | ± | 0.62 | b | ws ww | 0.0002 | <0.0001 |
| Wws | 14.49 | ± | 0.58 | bc | 5.29 | ± | 0.62 | c | B vs RW | 0.49 | 0.001 |
| Irrigation|Net | 0.03 | 0.0036 | |||||||||
| Bww | 16.60 | ± | 0.62 | a | 9.25 | ± | 0.62 | ab | Irrigation|50% shade | 0.06 | 0.0004 |
| Rww | 15.77 | ± | 0.64 | ab | 10.77 | ± | 0.68 | a | |||
| Www | 15.83 | ± | 0.58 | ab | 8.22 | ± | 0.62 | b | |||
| Year 2014 | |||||||||||
| Bws | 20.32 | ± | 1.99 | a | 12.26 | ± | 1.29 | a | Pr > F | Pr > F | |
| Rws | 22.26 | ± | 1.45 | a | 15.98 | ± | 1.23 | a | ws ww | 0.77 | 0.55 |
| Wws | 15.56 | ± | 4.12 | a | 12.57 | ± | 3.55 | a | B vs RW | 0.11 | 0.38 |
| Irrigation|Net | 0.28 | 0.056 | |||||||||
| Bww | 23.28 | ± | 4.40 | a | 16.07 | ± | 2.01 | a | Irrigation|50% shade | 0.39 | 0.11 |
| Rww | 18.91 | ± | 1.76 | a | 12.47 | ± | 1.48 | a | |||
| Www | 13.87 | ± | 1.83 | a | 9.16 | ± | 1.87 | a | |||
| Year 2015 | ** | ||||||||||
| Bws | 10.72 | ± | 1.34 | b | 1.88 | ± | 0.21 | c | Pr > F | Pr > F | |
| Rws | 9.33 | ± | 1.31 | b | 3.19 | ± | 0.78 | c | ws ww | 0.002 | <0.0001 |
| Wws | 10.18 | ± | 1.55 | b | 3.81 | ± | 1.11 | c | B vs RW | 0.84 | 0.66 |
| Irrigation|Net | 0.55 | 0.034 | |||||||||
| Bww | 13.83 | ± | 1.43 | a | 11.52 | ± | 1.54 | a | Irrigation|50% shade | 0.004 | <0.0001 |
| Rww | 12.97 | ± | 1.33 | a | 7.75 | ± | 0.34 | b | |||
| Www | 15.51 | ± | 1.32 | a | 10.52 | ± | 1.34 | ab | |||
| 2013 | ||||||
| Midday Stem Water Potential (MPa) | Crop Load (nr fruit tree−1) | |||||
| Harvest/quality Parameters | r | slope | p | r | slope | p |
| Total yield (kg tree−1) | 0.84 | 5.0150 | <0.05 | 0.02 | 0.0009 | 0.965 |
| Marketable yield (kg tree−1) | 0.91 | 14.2140 | <0.05 | 0.05 | −0.0046 | 0.929 |
| Fruit growth rate (g day−1) | 0.70 | 0.4154 | 0.124 | - | - | - |
| SSC (°Brix) | 0.89 | −3.9713 | <0.05 | - | - | - |
| RDM (%) | 0.59 | −0.0303 | 0.208 | - | - | - |
| 2014 | ||||||
| Midday Stem Water Potential (MPa) | Crop Load(nr fruit tree−1) | |||||
| Harvest/quality Parameters | r | slope | p | r | slope | p |
| Total yield (kg tree−1) | 0.29 | −12.590 | 0.582 | 0.84 | 0.1015 | <0.05 |
| Marketable yield (kg tree−1) | 0.20 | −6.1060 | 0.707 | 0.55 | 0.0468 | 0.257 |
| Fruit growth rate (g day−1) | 0.85 | 1.0580 | 0.032 | - | - | - |
| SSC (°Brix) | 0.35 | −1.7142 | 0.484 | - | - | - |
| RDM (%) | 0.05 | 0.0032 | 0.927 | - | - | - |
| 2015 | ||||||
| Midday Stem Water Potential (MPa) | Crop Load (nr fruit tree−1) | |||||
| Harvest/quality Parameters | r | slope | p | r | slope | p |
| Total yield (kg tree−1) | 0.84 | 4.7550 | <0.05 | 0.09 | 0.0072 | 0.868 |
| Marketable yield (kg tree−1) | 0.97 | 9.9346 | 0.001 | 0.20 | 0.0292 | 0.710 |
| Fruit growth rate (g day−1) | 0.96 | 0.6355 | 0.002 | - | - | - |
| SSC (°Brix) | 0.95 | −5.4370 | <0.05 | - | - | - |
| RDM (%) | 0.95 | −0.0417 | <0.05 | - | - | - |
| Netirrigation | Visual Color (%) | Ripeness (IAD) | Firmness (kg cm−2) | Soluble Solid Content (°Brix) | ||||||||
| 2013 | 2014 | 2015 | 2013 | 2014 | 2015 | 2013 | 2014 | 2015 | 2013 | 2014 | 2015 | |
| Bws | 27.75 | 48.33 | 36.60 a | 0.57 a | 0.52 ab | 0.81 a | 9.35 ab | 7.97 bc | 6.71 a | 13.09 b | 11.89 ab | 15.86 a |
| Rws | 39.50 | 35.00 | 35.60 a | 0.52 a | 0.65 a | 0.46 b | 10.06 a | 7.89 bc | 6.78 a | 13.16 b | 11.15 b | 15.61 a |
| Wws | 35.50 | 46.66 | 33.30 a | 0.51 a | 0.59 ab | 0.40 b | 9.62 ab | 8.21 b | 6.01 b | 13.58 a | 11.59 ab | 15.68 a |
| Bww | 32.00 | 50.00 | 40.10 a | 0.57 a | 0.39 ab | 0.72 a | 9.97 a | 7.52 c | 6.63 a | 11.55 c | 11.65 ab | 12.26 bc |
| Rww | 26.00 | 46.66 | 27.00 a | 0.55 a | 0.50 ab | 0.59 ab | 9.00 b | 7.53 c | 5.70 b | 11.70 c | 12.04 ab | 12.63 b |
| Www | 39.75 | 49.16 | 12.63 b | 0.45 b | 0.35 a | 0.80 a | 9.71 ab | 8.92 a | 5.64 b | 11.59 c | 12.31 a | 11.88 c |
| Netirrigation | Total Acidity (pH) | SSC/TA | Starch (1 Immature-10 Mature) | Relative Dry Matter (%) | ||||||||
| 2013 | 2014 | 2015 | 2013 | 2014 | 2015 | 2013 | 2014 | 2015 | 2013 | 2014 | 2015 | |
| Bws | 3.52 | 4.43 a | 3.39 b | 3.72 a | 2.75 b | 4.57 a | 8.40 | 7.58 ab | 6.80 | 16.00 bc | 15.00 a | 18.06 a |
| Rws | 3.59 | 2.64 b | 3.82 ab | 3.75 a | 4.27 a | 4.12 ab | 7.80 | 7.83 ab | 7.20 | 17.12 a | 14.00 b | 17.98 a |
| Wws | 3.63 | 3.91 a | 4.14 a | 3.74 a | 2.97 b | 3.88 ab | 8.60 | 6.33 bc | 6.85 | 16.58 ab | 14.00 ab | 18.06 a |
| Bww | 3.50 | 2.97 b | 3.29 b | 3.31 b | 3.95 a | 3.73 ab | 6.80 | 8.50 a | 5.35 | 14.74 e | 14.00 ab | 15.46 b |
| Rww | 3.31 | 4.09 a | 3.83 ab | 3.75 a | 2.95 b | 3.40 b | 8.60 | 7.83 ab | 6.60 | 15.66 cd | 15.00 ab | 14.53 b |
| Www | 3.48 | 4.20 a | 3.38 b | 3.34 b | 3.04 b | 3.52 b | 7.60 | 5.66 c | 5.40 | 15.10 de | 16.00 a | 14.91 b |
| Linear Contrasts | Visual Color (%) | Ripeness (IAD) | Firmness (kg cm−2) | Soluble Solid Content (°Brix) | ||||||||
| 2013 | 2014 | 2015 | 2013 | 2014 | 2015 | 2013 | 2014 | 2015 | 2013 | 2014 | 2015 | |
| ws ww | 0.67 | 0.16 | 0.04 | 0.34 | 0.003 | 0.02 | 0.51 | 0.81 | 0.001 | <0.0001 | 0.02 | <0.0001 |
| B vs RW | 0.21 | 0.23 | 0.01 | <0.0001 | 0.26 | 0.003 | 0.73 | 0.01 | 0.0002 | 0.07 | 0.98 | 0.47 |
| Irrigation|Net | 0.29 | 0.50 | 0.04 | 0.45 | 0.60 | 0.01 | 0.003 | 0.03 | 0.048 | 0.36 | 0.01 | 0.49 |
| Irrigation|50% shade | 0.34 | 0.12 | 0.004 | 0.22 | 0.01 | 0.001 | 0.03 | 0.31 | 0.0002 | <0.0001 | 0.002 | <0.0001 |
| Linear Contrasts | Total Acidity (pH) | SSC/TA | Starch (1 Immature-10 Mature) | Relative Dry Matter (%) | ||||||||
| 2013 | 2014 | 2015 | 2013 | 2014 | 2015 | 2013 | 2014 | 2015 | 2013 | 2014 | 2015 | |
| ws ww | 0.05 | 0.54 | 0.05 | 0.002 | 0.93 | 0.002 | 0.10 | 0.81 | 0.006 | <0.0001 | 0.11 | 0.0006 |
| B vs RW | 0.94 | 0.80 | 0.006 | 0.12 | 0.83 | 0.04 | 0.15 | 0.005 | 0.32 | 0.0011 | 0.51 | 0.91 |
| Irrigation|Net | 0.22 | <0.0001 | 0.35 | 0.19 | 0.0002 | 0.44 | 0.056 | 0.10 | 0.62 | 0.60 | 0.003 | 0.93 |
| Irrigation|50% shade | 0.02 | 0.002 | 0.03 | 0.046 | 0.01 | 0.02 | 0.81 | 0.45 | 0.045 | <0.0001 | 0.004 | <0.0001 |
| Firmness | Crunchiness | Juiciness | Mealy | |||||||
| Netirrigation | 2013 | 2014 | 2013 | 2014 | 2013 | 2014 | 2013 | 2014 | ||
| Bws | 6.70 | 5.47 ab | 6.26 | 5.37 | 6.04 | 5.37 | 3.22 | 3.89 | ||
| Rws | 6.65 | 4.58 a | 6.35 | 4.84 | 5.78 | 5.42 | 3.09 | 3.74 | ||
| Wws | 6.91 | 5.63 ab | 5.96 | 5.68 | 5.43 | 5.68 | 3.00 | 3.74 | ||
| Bww | 6.83 | 5.21 ab | 6.26 | 5.05 | 5.70 | 5.26 | 2.74 | 3.95 | ||
| Rww | 6.70 | 5.37 ab | 6.30 | 5.47 | 6.09 | 5.79 | 2.83 | 3.79 | ||
| Www | 7.04 | 6.11 b | 6.52 | 6.16 | 5.96 | 5.37 | 2.74 | 3.32 | ||
| Astringency | Sweetness | Acidity | Aroma | Final Judgement | ||||||
| NetIrrigation | 2013 | 2014 | 2013 | 2014 | 2013 | 2014 | 2013 | 2014 | 2013 | 2014 |
| Bws | 3.48 | 4.21 | 5.39 | 5.00 | 3.87 | 4.68 | 4.87 | 5.05 | 5.39 | 5.21 |
| Rws | 3.96 | 3.68 | 5.70 | 5.37 | 4.17 | 4.21 | 5.35 | 4.53 | 5.83 | 4.84 |
| Wws | 4.04 | 3.84 | 5.00 | 5.05 | 4.09 | 4.05 | 4.43 | 4.58 | 4.78 | 5.00 |
| Bww | 3.91 | 3.84 | 4.70 | 5.53 | 4.09 | 3.95 | 4.74 | 4.47 | 4.91 | 5.11 |
| Rww | 4.35 | 3.26 | 4.74 | 5.11 | 4.26 | 4.26 | 4.74 | 4.47 | 4.96 | 4.63 |
| Www | 3.70 | 4.11 | 5.39 | 4.84 | 4.00 | 4.74 | 4.91 | 4.63 | 5.65 | 5.37 |
| Sensory attributes intensity (1 = not perceptible; 5 = medium intensity; 9 = extremely intense) | ||||||||||
| Final judgement (1 = do not like extremely; 5 = acceptable; 9 = like extremely) | ||||||||||
| Firmness | Crunchiness | Juiciness | Mealy | |||||||
| Linear Contrasts | 2013 | 2014 | 2013 | 2014 | 2013 | 2014 | 2013 | 2014 | ||
| ws ww | 0.61 | 0.23 | 0.48 | 0.36 | 0.52 | 0.92 | 0.28 | 0.77 | ||
| B vs RW | 0.76 | 0.85 | 0.93 | 0.41 | 0.83 | 0.66 | 0.84 | 0.76 | ||
| Irrigation|Net | 0.92 | 0.04 | 0.62 | 0.08 | 0.15 | 0.44 | 0.73 | 0.43 | ||
| Irrigation|50% shade | 0.72 | 0.03 | 0.39 | 0.07 | 0.18 | 0.70 | 0.49 | 0.48 | ||
| Astringency | Sweetness | Acidity | Aroma | Final Judgement | ||||||
| Linear Contrasts | 2013 | 2014 | 2013 | 2014 | 2013 | 2014 | 2013 | 2014 | 2013 | 2014 |
| ws ww | 0.59 | 0.52 | 0.06 | 0.93 | 0.79 | 0.98 | 0.73 | 0.41 | 0.53 | 0.96 |
| B vs RW | 0.31 | 0.39 | 0.49 | 0.47 | 0.60 | 0.95 | 0.84 | 0.22 | 0.57 | 0.32 |
| Irrigation|Net | 0.51 | 0.73 | 0.38 | 0.26 | 0.71 | 0.08 | 0.90 | 0.13 | 0.37 | 0.57 |
| Irrigation|50% shade | 0.95 | 0.75 | 0.30 | 0.55 | 1.00 | 0.32 | 0.83 | 0.83 | 1.00 | 0.71 |
| Acceptance | Sweetness | ||||
| Irrigation | Irrigation | ||||
| Net | ww | ws | ww | ws | P |
| B | 41 | 34 | 55 | 20 | *** |
| R | 43 | 32 | 42 | 33 | |
| W | 44 | 31 | 50 | 25 | ** |
| Acceptance (%) | Sweetness (%) | ||||
| Net | ww | ws | ww | ws | |
| B | 55 | 45 | 73 | 27 | |
| R | 57 | 43 | 56 | 44 | |
| W | 59 | 41 | 67 | 33 | |
Publisher’s Note: MDPI stays neutral with regard to jurisdictional claims in published maps and institutional affiliations. |
© 2021 by the authors. Licensee MDPI, Basel, Switzerland. This article is an open access article distributed under the terms and conditions of the Creative Commons Attribution (CC BY) license (http://creativecommons.org/licenses/by/4.0/).
Share and Cite
Boini, A.; Manfrini, L.; Morandi, B.; Corelli Grappadelli, L.; Predieri, S.; Daniele, G.M.; López, G. High Levels of Shading as A Sustainable Application for Mitigating Drought, in Modern Apple Production. Agronomy 2021, 11, 422. https://doi.org/10.3390/agronomy11030422
Boini A, Manfrini L, Morandi B, Corelli Grappadelli L, Predieri S, Daniele GM, López G. High Levels of Shading as A Sustainable Application for Mitigating Drought, in Modern Apple Production. Agronomy. 2021; 11(3):422. https://doi.org/10.3390/agronomy11030422
Chicago/Turabian StyleBoini, Alexandra, Luigi Manfrini, Brunella Morandi, Luca Corelli Grappadelli, Stefano Predieri, Giulia Maria Daniele, and Gerardo López. 2021. "High Levels of Shading as A Sustainable Application for Mitigating Drought, in Modern Apple Production" Agronomy 11, no. 3: 422. https://doi.org/10.3390/agronomy11030422
APA StyleBoini, A., Manfrini, L., Morandi, B., Corelli Grappadelli, L., Predieri, S., Daniele, G. M., & López, G. (2021). High Levels of Shading as A Sustainable Application for Mitigating Drought, in Modern Apple Production. Agronomy, 11(3), 422. https://doi.org/10.3390/agronomy11030422

