Tall Fescue (Schedonorus arundinaceus (Schreb.) Dumort.) Turfgrass Cultivars Performance under Reduced N Fertilization
Abstract
1. Introduction
2. Materials and Methods
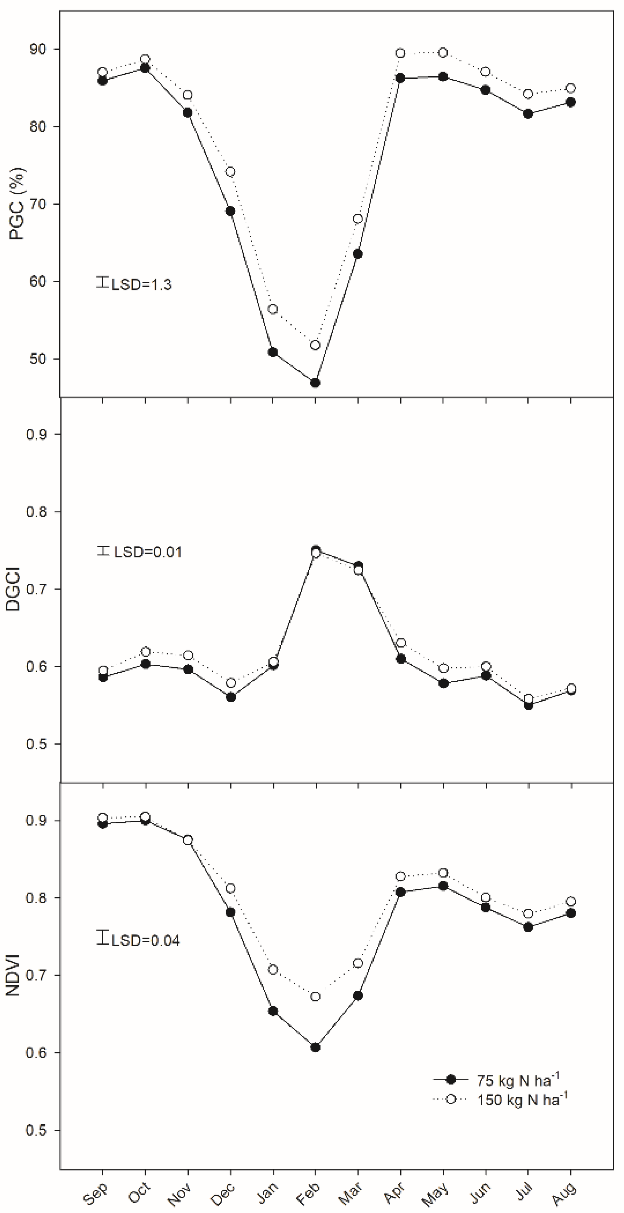
3. Results
4. Discussion
5. Conclusions
Author Contributions
Funding
Institutional Review Board Statement
Informed Consent Statement
Acknowledgments
Conflicts of Interest
References
- Minelli, A.; De Luca, A.; Croce, P.; Cevenini, L.; Zuffa, D. Transition from cool-season to warm-season grass: Environmental effects in a golf course in the North of Italy. In Proceedings of the Fourth European Turfgrass Society Conference, Osnabrueck, Germany, 6–9 July 2014; pp. 1–4. [Google Scholar]
- Schiavon, M.; Macolino, S.; Leinauer, B.; Ziliotto, U. Seasonal Changes in Carbohydrate and Protein Content of Seeded Bermudagrasses and Their Effect on Spring Green-Up. J. Agron. Crop Sci. 2016, 202, 151–160. [Google Scholar] [CrossRef]
- Rimi, F.; Macolino, S. Mixing warm-season turf species with red fescue (Festuca rubra L. ssp. rubra) in a transition zone environment. Eur. J. Hortic. Sci. 2014, 79, 167–174. [Google Scholar]
- Qian, Y.L.; Fry, J.D.; Upham, W.S. Rooting and drought avoidance of warm-season turfgrasses and tall fescue in Kansas. Crop Sci. 1997, 37, 905–910. [Google Scholar] [CrossRef]
- Jiang, Y.; Huang, B. Physiological responses to heat stress alone or in combination with drought: A comparison between tall fescue and perennial ryegrass. HortScience 2001, 36, 682–686. [Google Scholar] [CrossRef]
- Macolino, S.; Pignata, G.; Giolo, M.; Richardson, M.D. Species succession and turf quality of tall fescue and Kentucky bluegrass mixtures as affected by mowing height. Crop Sci. 2014, 54, 1220–1226. [Google Scholar] [CrossRef]
- Mayer, W.A.; Watkins, E. Tall Fescue (Festuca arundinacea). In Turfgrass Biology, Genetics, and Breeding; Casler, M.D., Duncan, R.R., Eds.; John Wiley & Sons: Hoboken, NJ, USA, 2003; pp. 107–127. [Google Scholar]
- Schiavon, M.; Green, R.L.; Baird, J.H. Drought tolerance of cool-season turfgrasses in a Mediterranean climate. Eur. J. Hortic. Sci. 2014, 79, 175–182. [Google Scholar]
- Schiavon, M.; Leinauer, B.; Serena, M.; Sallenave, R.; Maier, B. Establishing tall fescue and Kentucky bluegrass using subsurface irrigation and saline water. Agron. J. 2013, 105, 183–190. [Google Scholar] [CrossRef]
- Pornaro, C.; Barolo, E.; Rimi, F.; Macolino, S.; Richardson, M. Performance of various cool-season turfgrasses as influenced by simulated traffic in northeastern Italy. Eur. J. Hortic. Sci. 2016, 81, 27–36. [Google Scholar] [CrossRef]
- Oenema, O.; Witzke, H.P.; Klimont, Z.; Lesschen, J.P.; Velthof, G.L. Integrated assessment of promising measures to decrease nitrogen losses from agriculture in EU-27. Agric. Ecosyst. Environ. 2009, 133, 280–288. [Google Scholar] [CrossRef]
- Bauer, S.; Lloyd, D.; Horgan, B.P.; Soldat, D.J. Agronomic and physiological responses of cool-season turfgrass to fall-applied nitrogen. Crop Sci. 2012, 52, 1–10. [Google Scholar] [CrossRef]
- Burns, R.E. Time of fertilizer application as it affects quality of tall fescue turf. In Proceedings of the 4th International Turfgrass Research Conference, Guelph, ON, Canada, 19–23 July 1981; pp. 19–23. [Google Scholar]
- Juska, F.V.; Hanson, A.A.; Hovin, A.W. Evaluation of tall fescue, Festuca arundinacea Schreb., for turf in the transition zone of the United States. Agron. J. 1969, 61, 625–628. [Google Scholar] [CrossRef]
- Grossi, N.; Lulli, F.; Volterrani, M.; Miele, S. Timing of fall nitrogen application on tall fescue turf. Int. Turfgrass Soc. Res. J. 2005, 10, 462–465. [Google Scholar]
- Dernoeden, P.H.; Carroll, M.J.; Krouse, J.M. Weed management and tall fescue quality as influenced by mowing, nitrogen, and herbicides. Crop Sci. 1993, 33, 1055–1061. [Google Scholar] [CrossRef]
- Pirchio, M.; Fontanelli, M.; Frasconi, C.; Martelloni, L.; Raffaelli, M.; Peruzzi, A.; Gaetani, M.; Magni, S.; Caturegli, L.; Volterrani, M.; et al. Autonomous Mower vs. Rotary Mower: Effects on Turf Quality and Weed Control in Tall Fescue Lawn. Agronomy 2018, 8, 15. [Google Scholar] [CrossRef]
- Schiavon, M.; Pornaro, C.; Macolino, S. Clipping return decreases mineral nitrogen requirements for bermudagrass (Cynodon spp.) lawns in Mediterranean Europe. Crop Sci. 2020. [Google Scholar] [CrossRef]
- Petrovic, A.M. The fate of nitrogenous fertilizers applied to turfgrass. J. Environ. Qual. 1990, 19, 1–14. [Google Scholar] [CrossRef]
- Teuton, T.C.; Sorochan, J.C.; Main, C.L.; Samples, T.J.; Parham, J.M.; Mueller, T.C. Hybrid bluegrass, Kentucky bluegrass, and tall fescue response to nitrogen fertilization in the transition zone. HortScience 2007, 42, 369–372. [Google Scholar] [CrossRef]
- Morari, F. Drainage flux measurement and errors associated with automatic tension-controlled suction plates. Soil Sci. Soc. Am. J. 2006, 70, 1860–1871. [Google Scholar] [CrossRef]
- Regional Agency for Environmental Protection of Veneto Region (ARPAV). Dipartimento Per La Sicurezza Del Territorio. Centro Meterologico: Teolo, Padova, Italy. Available online: http://www.arpa.veneto.it/dati-ambientali/open-data/clima/principali-variabili-meteorologiche (accessed on 23 October 2020).
- Krans, J.V.; Morris, K. Determining a profile of protocols and standards used in the visual field assessment of turfgrasses: A survey of national turfgrass evaluation program-sponsored university scientists. Appl. Turfgrass Sci. 2007, 4, 1–6. [Google Scholar] [CrossRef]
- Karcher, D.E.; Richardson, M.D. Quantifying turfgrass color using digital image analysis. Crop Sci. 2003, 43, 943–951. [Google Scholar] [CrossRef]
- Fiorio, S.; Macolino, S.; Leinauer, B. Establishment and performance of bluegrass species and tall fescue under reduced-input maintenance in a temperate Mediterranean environment. HortTechnology 2012, 22, 810–816. [Google Scholar] [CrossRef]
- Schiavon, M.; Barnes, B.D.; Shaw, D.A.; Henry, J.M.; Baird, J.H. Strategies for converting tall fescue to warm-season turf in a Mediterranean climate. HortTechnology 2013, 23, 442–448. [Google Scholar] [CrossRef]
- Schiavon, M.; Serena, M.; Leinauer, B.; Sallenave, R.; Baird, J.H. Seeding Date and Irrigation System Effects on Establishment of Warm-Season Turfgrasses. Agron. J. 2015, 107, 880–886. [Google Scholar] [CrossRef]
- Grossi, N.; Volterrani, M.; Magni, S.; Miele, S. Tall fescue turf quality and soccer playing characteristics as affected by mowing height. Int. Turfgrass Soc. Res. J. 2003, 661, 319–322. [Google Scholar] [CrossRef]
- Rorie, R.L.; Purcell, L.C.; Mozaffari, M.; Karcher, D.E.; King, C.A.; Marsh, M.C.; Longer, D.E. Association of “greenness” in corn with yield and leaf nitrogen concentration. Agron. J. 2011, 103, 529–535. [Google Scholar] [CrossRef]



| Month | Air Temperature (°C) | Precipitation (mm) | ||||||
|---|---|---|---|---|---|---|---|---|
| 2017 | 2018 | 2019 | 1964–2018 | 2017 | 2018 | 2019 | 1964–2018 | |
| January | 0.9 | 5.5 | 2.2 | 2.2 | 14 | 17 | 9 | 52 |
| February | 6.3 | 3.8 | 6.0 | 4.2 | 7 | 64 | 40 | 54 |
| March | 11.1 | 7.1 | 9.8 | 8.1 | 12 | 139 | 10 | 62 |
| April | 13.7 | 15.8 | 13.1 | 12.1 | 56 | 30 | 131 | 68 |
| May | 18.2 | 19.7 | 14.8 | 17.0 | 40 | 70 | 201 | 77 |
| June | 23.7 | 22.9 | 25.0 | 20.6 | 45 | 90 | 9 | 80 |
| July | 24.6 | 24.6 | 24.5 | 22.8 | 45 | 101 | 82 | 74 |
| August | 25.3 | 25.2 | 24.5 | 22.3 | 8 | 109 | 16 | 72 |
| September | 17.8 | 20.7 | 19.6 | 18.3 | 145 | 16 | 68 | 74 |
| October | 13.7 | 15.6 | 15.7 | 13.2 | 7 | 142 | 61 | 80 |
| November | 8.1 | 10.2 | 10.6 | 7.4 | 94 | 63 | 150 | 82 |
| December | 2.8 | 3.0 | 5.7 | 2.9 | 44 | 12 | 90 | 58 |
| Year | 13.9 | 14.5 | 14.3 | 12.6 | 517 | 853 | 867 | 820 |
| Turfgras Quality ‡ | PGC | DGCI | NDVI | |
|---|---|---|---|---|
| Cultivar (C) | NS † | * | NS | NS |
| N rate (N) | * | *** | NS | * |
| C × N | NS | NS | NS | NS |
| Year (Y) | *** | *** | *** | NS |
| Y × C | *** | * | *** | ** |
| Y × N | ** | NS | NS | NS |
| Y × C × N | NS | NS | NS | NS |
| Month (M) | *** | *** | *** | *** |
| M × C | *** | *** | NS | NS |
| M × N | NS | *** | *** | *** |
| M × C × N | NS | NS | NS | NS |
| NDVI ‡ | ||
|---|---|---|
| Year 1 | Year 2 | |
| Lexington | 0.80 a † | 0.78 ab |
| Rhambler SRP | 0.83 a | 0.79 a |
| Rhizing star | 0.76 b | 0.76 b |
| Thunderstruck | 0.80 a | 0.79 a |
Publisher’s Note: MDPI stays neutral with regard to jurisdictional claims in published maps and institutional affiliations. |
© 2021 by the authors. Licensee MDPI, Basel, Switzerland. This article is an open access article distributed under the terms and conditions of the Creative Commons Attribution (CC BY) license (http://creativecommons.org/licenses/by/4.0/).
Share and Cite
Schiavon, M.; Pornaro, C.; Macolino, S. Tall Fescue (Schedonorus arundinaceus (Schreb.) Dumort.) Turfgrass Cultivars Performance under Reduced N Fertilization. Agronomy 2021, 11, 193. https://doi.org/10.3390/agronomy11020193
Schiavon M, Pornaro C, Macolino S. Tall Fescue (Schedonorus arundinaceus (Schreb.) Dumort.) Turfgrass Cultivars Performance under Reduced N Fertilization. Agronomy. 2021; 11(2):193. https://doi.org/10.3390/agronomy11020193
Chicago/Turabian StyleSchiavon, Marco, Cristina Pornaro, and Stefano Macolino. 2021. "Tall Fescue (Schedonorus arundinaceus (Schreb.) Dumort.) Turfgrass Cultivars Performance under Reduced N Fertilization" Agronomy 11, no. 2: 193. https://doi.org/10.3390/agronomy11020193
APA StyleSchiavon, M., Pornaro, C., & Macolino, S. (2021). Tall Fescue (Schedonorus arundinaceus (Schreb.) Dumort.) Turfgrass Cultivars Performance under Reduced N Fertilization. Agronomy, 11(2), 193. https://doi.org/10.3390/agronomy11020193

