Agronomic Efficiency Losses by Ammonia Emission from Staple Crops in China as Response to Various Mitigation Strategies: A Meta-Analysis Study
Abstract
:1. Introduction
2. Materials and Methods
2.1. Study Area
2.2. Data Collection
2.3. Calculating the Reductions in Agronomic Parameters by AV and Data Grouping
2.4. Data Compilation and Analysis Using Meta-Analysis
3. Results
3.1. Overall Responses of the Investigated Agronomic Parameters to AV
3.2. Induced AV Changes in Agronomic Parameters to N Application Rate
3.3. Induced AV Responses of Agronomic Parameters to N Fertilizers Type
3.4. Controlling AV Effects on Agronomic Parameters by Subsurface N Application
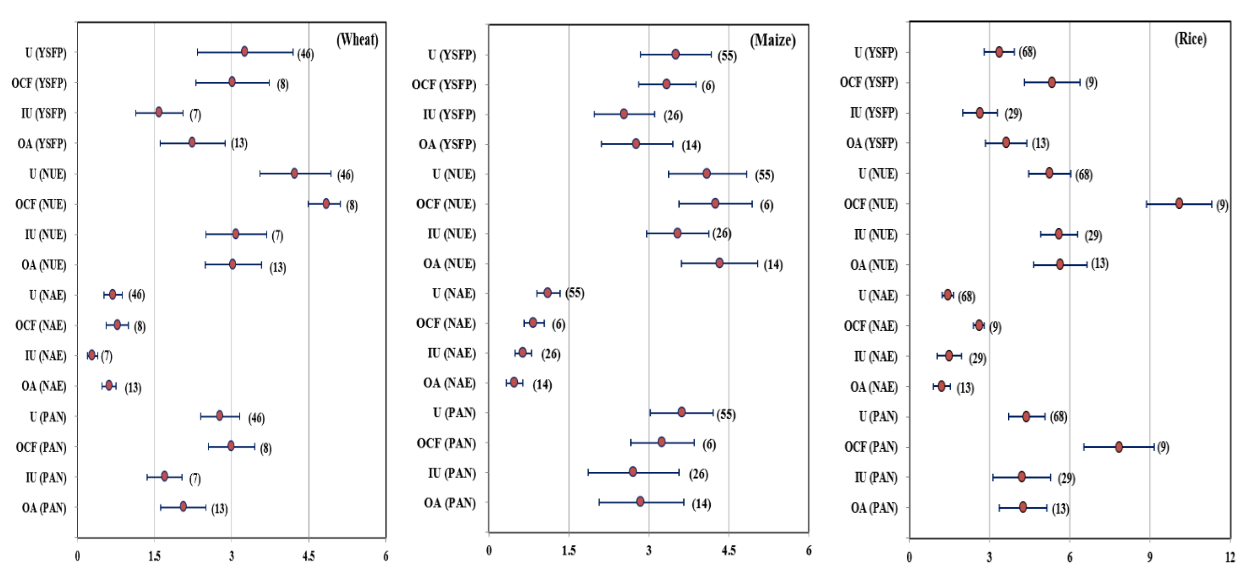
3.5. Role of Amendments in Mitigating AV—Induced Reductions in Agronomic Parameters
4. Discussion
4.1. Overall Description of the Study Variables
4.2. Response of AV Agronomic Weights to N Rates
4.3. Response of AV Agronomic Weights to Fertilizer Type
4.4. Response of AV Agronomic Weights to Application Depth
4.5. Response of AV Agronomic Weights to Applied Amendments
5. Conclusions
Supplementary Materials
Author Contributions
Funding
Institutional Review Board Statement
Informed Consent Statement
Data Availability Statement
Conflicts of Interest
References
- FAO. Crop Production by Country. Available online: http://www.fao.org/faostat/en/#data (accessed on 25 May 2021).
- IFA. Nitrogen Statistics from 1961–2015; IFA: Belfast, UK, 2018. [Google Scholar]
- Zhang, X.; Davidson, E.A.; Mauzerall, D.L.; Searchinger, T.D.; Dumas, P.; Shen, Y. Managing nitrogen for sustainable development. Nature 2015, 528, 51–59. [Google Scholar] [CrossRef] [Green Version]
- Lassaletta, L.; Billen, G.; Grizzetti, B.; Anglade, J.; Garnier, J. 50 year trends in nitrogen use efficiency of world cropping systems: The relationship between yield and nitrogen input to cropland. Environ. Res. Lett. 2014, 9, 105011. [Google Scholar] [CrossRef]
- Fu, X.; Wang, S.X.; Ran, L.M.; Pleim, J.E.; Cooter, E.; Bash, J.O.; Benson, V.; Hao, J.M. Estimating NH3 emissions from agricultural fertilizer application in China using the bi-directional CMAQ model coupled to an agro-ecosystem model. Atmos. Chem. Phys. 2015, 15, 745–778. [Google Scholar] [CrossRef] [Green Version]
- Yang, W.; Que, H.; Wang, S.; Zhu, A.; Zhang, Y.; He, Y.; Xin, X.; Zhang, X.; Ding, S. High temporal resolution measurements of ammonia emissions following different nitrogen application rates from a rice field in the Taihu Lake Region of China. Environ. Pollut. 2020, 257, 113489. [Google Scholar] [CrossRef] [PubMed]
- Abdo, A.I.; Shi, D.; Li, J.; Yang, T.; Wang, X.; Li, H.; Abdel-Hamed, E.M.; Merwad, A.-R.M.; Wang, L. Ammonia emission from staple crops in China as response to mitigation strategies and agronomic conditions: Meta-analytic study. J. Clean. Prod. 2021, 279, 123835. [Google Scholar] [CrossRef]
- Wang, G.; Chen, X.; Cui, Z.; Yue, S.; Zhang, F. Estimated reactive nitrogen losses for intensive maize production in China. Agric. Ecosyst. Environ. 2014, 197, 293–300. [Google Scholar] [CrossRef]
- Han, K.; Zhou, C.-J.; Wang, L.-Q. Reducing ammonia volatilization from maize fields with separation of nitrogen fertilizer and water in an alternating furrow irrigation system. J. Integr. Agric. 2014, 13, 1099–1112. [Google Scholar] [CrossRef] [Green Version]
- Yan, X.; Akimoto, H.; Ohara, T. Estimation of nitrous oxide, nitric oxide and ammonia emissions from croplands in East, Southeast and South Asia. Glob. Chang. Biol. 2003, 9, 1080–1096. [Google Scholar] [CrossRef]
- Duan, Z.; Xiao, H. Effects of soil properties on ammonia volatilization. Soil Sci. Plant Nutr. 2000, 46, 845–852. [Google Scholar]
- Xiao, J.; Fan, J.; Ye, G.; Liu, D.; Yan, J.; Luo, J.; Houlbrooke, D.; Ding, W. Ammonia volatilization from fluvo-aquic clay soil and its influencing factors during wheat growing season under different fertilization. J. Agro-Eviron. Sci. 2016, 35, 2011–2018. [Google Scholar]
- Ji, Y.; Ju, X.; Liu, X.; Zhang, L.; Li, X.; Liu, N. Ampact of different nitrogen application on nitrogen movement and gaseous loss of winter wheat fields. J. Soil Water Conserv. 2010, 24, 113–118. [Google Scholar]
- Cai, G.; Chen, D.; Ding, H.; Pacholski, A.; Fan, X.; Zhu, Z. Nitrogen losses from fertilizers applied to maize, wheat and rice in the North China Plain. Nutr. Cycl. Agroecosyst. 2002, 63, 187–195. [Google Scholar] [CrossRef]
- Ma, B.L.; Wu, T.Y.; Tremblay, N.; Deen, W.; Mclaughlin, N.B.; Morrison, M.J.; Stewart, G. On-Farm Assessment of the Amount and Timing of Nitrogen Fertilizer on Ammonia Volatilization. Agron. J. 2010, 102, 134–144. [Google Scholar] [CrossRef]
- Wu, P.; Liu, J.; Yang, X.; Shang, Q.; Zhou, Y.; Xie, X.; Shen, Q.; Guo, S. Effects of different fertilization systems on ammonia volatilization from double-rice cropping field in red soil region. Chin. J. Rice Sci. 2009, 23, 85–93. [Google Scholar]
- Fan, X.; Li, Y.; Alva, A. Effects of temperature and soil type on ammonia volatilization from slow-release nitrogen fertilizers. Commun. Soil Sci. Plant Anal. 2011, 42, 1111–1122. [Google Scholar] [CrossRef]
- Nakhshiniev, B.; Perera, C.; Biddinika, M.K.; Gonzales, H.B.; Sumida, H.; Yoshikawa, K. Reducing ammonia volatilization during composting of organic waste through addition of hydrothermally treated lignocellulose. Int. Biodeterior. Biodegrad. 2014, 96, 58–62. [Google Scholar] [CrossRef]
- Ju, X.-T.; Xing, G.-X.; Chen, X.-P.; Zhang, S.-L.; Zhang, L.-J.; Liu, X.-J.; Cui, Z.-L.; Yin, B.; Christie, P.; Zhu, Z.-L. Reducing environmental risk by improving N management in intensive Chinese agricultural systems. Proc. Natl. Acad. Sci. USA 2009, 106, 3041–3046. [Google Scholar] [CrossRef] [PubMed] [Green Version]
- Li, Q.; Yang, A.; Wang, Z.; Roelcke, M.; Chen, X.; Zhang, F.; Pasda, G.; Zerulla, W.; Wissemeier, A.H.; Liu, X. Effect of a new urease inhibitor on ammonia volatilization and nitrogen utilization in wheat in north and northwest China. Field Crop. Res. 2015, 175, 96–105. [Google Scholar] [CrossRef]
- Sanz-Cobena, A.; Misselbrook, T.; Camp, V.; Vallejo, A. Effect of water addition and the urease inhibitor NBPT on the abatement of ammonia emission from surface applied urea. Atmos. Environ. 2011, 45, 1517–1524. [Google Scholar] [CrossRef] [Green Version]
- Xiao, X.; Yang, L.; Deng, Y.; Wang, J. Effects of irrigation and nitrogen fertilization on ammonia volatilization in paddy field. J. Agro-Environ. Sci. 2012, 31, 2066–2071. [Google Scholar]
- Xing, G.; Zhu, Z. An assessment of N loss from agricultural fields to the environment in China. Nutr. Cycl. Agroecosyst. 2000, 57, 67–73. [Google Scholar] [CrossRef]
- Deng, M.; Yin, B.; Zhang, S.; Zhu, Z.; Shi, X. Effects of rate and method of N application on ammonia volatilization in paddy fields. Soils 2006, 38, 263–269. [Google Scholar]
- Choudhury, A.; Kennedy, I. Nitrogen fertilizer losses from rice soils and control of environmental pollution problems. Commun. Soil Sci. Plant Anal. 2005, 36, 1625–1639. [Google Scholar] [CrossRef]
- Wang, S.; Shan, J.; Xia, Y.; Tang, Q.; Xia, L.; Lin, J.; Yan, X. Different effects of biochar and a nitrification inhibitor application on paddy soil denitrification: A field experiment over two consecutive rice-growing seasons. Sci. Total Environ. 2017, 593, 347–356. [Google Scholar] [CrossRef] [PubMed] [Green Version]
- Yang, Y.; Zhang, M.; Li, Y.; Fan, X.; Geng, Y. Controlled release urea improved nitrogen use efficiency, activities of leaf enzymes, and rice yield. Soil Sci. Soc. Am. J. 2012, 76, 2307–2317. [Google Scholar] [CrossRef]
- Rawluk, C.; Grant, C.; Racz, G. Ammonia volatilization from soils fertilized with urea and varying rates of urease inhibitor NBPT. Can. J. Soil Sci. 2001, 81, 239–246. [Google Scholar] [CrossRef]
- Huijsmans, J.; Hol, J.; Vermeulen, G. Effect of application method, manure characteristics, weather and field conditions on ammonia volatilization from manure applied to arable land. Atmos. Environ. 2003, 37, 3669–3680. [Google Scholar] [CrossRef]
- Zhang, T.; Liu, H.; Luo, J.; Wang, H.; Zhai, L.; Geng, Y.; Zhang, Y.; Li, J.; Lei, Q.; Bashir, M.A. Long-term manure application increased greenhouse gas emissions but had no effect on ammonia volatilization in a Northern China upland field. Sci. Total Environ. 2018, 633, 230–239. [Google Scholar] [CrossRef]
- Zhao, X.; Yan, X.; Wang, S.; Xing, G.; Zhou, Y. Effects of the addition of rice-straw-based biochar on leaching and retention of fertilizer N in highly fertilized cropland soils. Soil Sci. Plant Nutr. 2013, 59, 771–782. [Google Scholar] [CrossRef]
- Feng, Y.; Sun, H.; Xue, L.; Liu, Y.; Gao, Q.; Lu, K.; Yang, L. Biochar applied at an appropriate rate can avoid increasing NH3 volatilization dramatically in rice paddy soil. Chemosphere 2017, 168, 1277–1284. [Google Scholar] [CrossRef]
- He, T.; Liu, D.; Yuan, J.; Luo, J.; Lindsey, S.; Bolan, N.; Ding, W. Effects of application of inhibitors and biochar to fertilizer on gaseous nitrogen emissions from an intensively managed wheat field. Sci. Total Environ. 2018, 628, 121–130. [Google Scholar] [CrossRef]
- Sun, Y.; Xia, G.; He, Z.; Wu, Q.; Zheng, J.; Li, Y.; Wang, Y.; Chen, T.; Chi, D. Zeolite amendment coupled with alternate wetting and drying to reduce nitrogen loss and enhance rice production. Field Crop. Res. 2019, 235, 95–103. [Google Scholar] [CrossRef]
- Yang, Y.; Zhou, C.; Li, N.; Han, K.; Meng, Y.; Tian, X.; Wang, L. Effects of conservation tillage practices on ammonia emissions from Loess Plateau rain-fed winter wheat fields. Atmos. Environ. 2015, 104, 59–68. [Google Scholar] [CrossRef]
- Sanz-Cobena, A.; Lassaletta, L.; Estellés, F.; Prado, A.D.; Guardia, G.; Abalos, D.; Aguilera, E.; Pardo, G.; Vallejo, A.; Sutton, M.A. Yield-scaled mitigation of ammonia emission from N fertilization: The Spanish case. Environ. Res. Lett. 2014, 2014, 1–12. [Google Scholar] [CrossRef]
- Pittelkow, C.M.; Adviento-Borbe, M.A.; Kessel, C.V.; Hill, J.E.; Linquist, B.A. Optimizing rice yields while minimizing yield-scaled global warming potential. Glob. Chang. Biol. 2014, 20, 1382–1393. [Google Scholar] [CrossRef] [PubMed]
- Zhao, M.; Tian, Y.; Ma, Y.; Zhang, M.; Yao, Y.; Xiong, Z.; Yin, B.; Zhu, Z. Mitigating gaseous nitrogen emissions intensity from a Chinese rice cropping system through an improved management practice aimed to close the yield gap. Agric. Ecosyst. Environ. 2015, 203, 36–45. [Google Scholar] [CrossRef]
- Chen, G.; Chen, Y.; Zhao, G.; Cheng, W.; Guo, S.; Zhang, H.; Shi, W. Do high nitrogen use efficiency rice cultivars reduce nitrogen losses from paddy fields? Agric. Ecosyst. Environ. 2015, 209, 26–33. [Google Scholar] [CrossRef] [Green Version]
- Delogu, G.; Cattivelli, L.; Pecchioni, N.; De Falcis, D.; Maggiore, T.; Stanca, A. Uptake and agronomic efficiency of nitrogen in winter barley and winter wheat. Eur. J. Agron. 1998, 9, 11–20. [Google Scholar] [CrossRef]
- Jia, X.; Shao, L.; Liu, P.; Zhao, B.; Gu, L.; Dong, S.; Bing, S.H.; Zhang, J.; Zhao, B. Effect of different nitrogen and irrigation treatments on yield and nitrate leaching of summer maize (Zea mays L.) under lysimeter conditions. Agric. Water Manag. 2014, 137, 92–103. [Google Scholar] [CrossRef]
- Shangguan, W.; Dai, Y.J.; Liu, B.Y.; Zhu, A.X.; Duan, Q.Y.; Wu, L.Z.; Ji, D.Y.; Ye, A.Z.; Yuan, H.; Zhang, Q. A China data set of soil properties for land surface modeling (EI). J. Adv. Model. Earth Syst. 2013, 5, 212–224. [Google Scholar] [CrossRef]
- Staff, S.S. Web Soil Survey. Available online: https://websoilsurvey.sc.egov.usda.gov/App/HomePage.htm (accessed on 1 June 2021).
- Jian, J.; Du, X.; Reiter, M.S.; Stewart, R.D. A meta-analysis of global cropland soil carbon changes due to cover cropping. Soil Biol. Biochem. 2020, 143, 107735. [Google Scholar] [CrossRef]
- Nkebiwe, P.M.; Weinmann, M.; Bar-Tal, A.; Müller, T. Fertilizer placement to improve crop nutrient acquisition and yield: A review and meta-analysis. Field Crop. Res. 2016, 196, 389–401. [Google Scholar] [CrossRef]
- Borenstein, M.; Hedges, L.V.; Higgins, J.; Rothstein, H.R. Comprehensive Meta-Analysis; National Institutes of Health: Bethesda, MD, USA, 2006. [Google Scholar]
- Pierce, C. Comprehensive Meta-Analysis. 2008. Available online: https://www.meta-analysis.com/index.php (accessed on 1 June 2021).
- Piepho, H.P.; Williams, E.R.; Madden, L.V. The Use of Two-Way Linear Mixed Models in Multitreatment Meta-Analysis. Biometrics 2013, 68, 1269–1277. [Google Scholar] [CrossRef] [PubMed]
- Higgins, J. Introduction to Meta-Analysis; John Wiley & Sons, Ltd.: Hoboken, NJ, USA, 2009. [Google Scholar]
- Rosenberg, M.S.; Adams, D.C.; Gurevitch, J. Meta Win: Statistical Software for Meta-Analysis with Resampling Tests; Ver. 1.0.; Sinauer Associates: Sunderland, MA, USA, 1997. [Google Scholar]
- Silva, T.N.; Moro, G.V.; Moro, F.V.; Santos, D.; Buzinaro, R. Correlation and path analysis of agronomic and morphological traits in maize. Rev. Cienc. Agron. 2016, 47, 351–357. [Google Scholar] [CrossRef] [Green Version]
- Yang, G.; Ji, H.; Sheng, J.; Zhang, Y.; Chen, L. Combining Azolla and urease inhibitor to reduce ammonia volatilization and increase nitrogen use efficiency and grain yield of rice. Sci. Total Environ. 2020, 743, 140799. [Google Scholar] [CrossRef]
- He, T.; Liu, D.; Yuan, J.; Ni, K.; Zaman, M.; Luo, J.; Lindsey, S.; Ding, W. A two years study on the combined effects of biochar and inhibitors on ammonia volatilization in an intensively managed rice field. Agric. Ecosyst. Environ. 2018, 264, 44–53. [Google Scholar] [CrossRef]
- Zhong, X.; Zhou, X.; Fei, J.; Huang, Y.; Peng, J. Reducing ammonia volatilization and increasing nitrogen use efficiency in machine-transplanted rice with side-deep fertilization in a double-cropping rice system in Southern China. Agric. Ecosyst. Environ. 2021, 306, 107183. [Google Scholar] [CrossRef]
- Yang, Q.; Liu, P.; Dong, S.; Zhang, J.; Zhao, B. Effects of fertilizer type and rate on summer maize grain yield and ammonia volatilization loss in northern China. J. Soils Sediments 2019, 19, 2200–2211. [Google Scholar] [CrossRef]
- Liu, Z.; Sun, K.; Liu, W.; Gao, T.; Li, G.; Han, H.; Li, Z.; Ning, T. Responses of soil carbon, nitrogen, and wheat and maize productivity to 10 years of decreased nitrogen fertilizer under contrasting tillage systems. Soil Tillage Res. 2020, 196, 104444. [Google Scholar] [CrossRef]
- Manna, M.C.; Swarup, A.; Wanjari, R.H.; Ravankar, H.N.; Mishra, B.; Saha, M.N.; Singh, Y.V.; Sahi, D.K.; Sarap, P.A. Long-term effect of fertilizer and manure application on soil organic carbon storage, soil quality and yield sustainability under sub-humid and semi-arid tropical India. Field Crop. Res. 2005, 93, 264–280. [Google Scholar] [CrossRef]
- Peng, S.; Buresh, R.J.; Huang, J.; Zhong, X.; Zou, Y.; Yang, J.; Wang, G.; Liu, Y.; Hu, R.; Tang, Q. Improving nitrogen fertilization in rice by site-specific N management. A review. Agron. Sustain. Dev. 2010, 30, 649–656. [Google Scholar] [CrossRef]
- Guo, R.; Miao, W.; Fan, C.; Li, X.; Shi, X.; Li, F.; Qin, W. Exploring optimal nitrogen management for high yielding maize in arid areas via 15 N-labeled technique. Geoderma 2021, 382, 114711. [Google Scholar]
- Wan, X.B.; Wu, W.A.; Shah, F.C. Nitrogen fertilizer management for mitigating ammonia emission and increasing nitrogen use efficiencies by 15 N stable isotopes in winter wheat. Sci. Total Environ. 2021, 790, 147587. [Google Scholar] [CrossRef] [PubMed]
- Behera, S.N.; Sharma, M.; Aneja, V.P.; Balasubramanian, R. Ammonia in the atmosphere: A review on emission sources, atmospheric chemistry and deposition on terrestrial bodies. Environ. Sci. Pollut. Res. Int. 2013, 20, 8092–8131. [Google Scholar] [CrossRef]
- Fenn, L.B.; Hossner, L.R. Ammonia Volatilization from Ammonium or Ammonium-Forming Nitrogen Fertilizers. Adv. Soil Sci. 1985, 123–169. [Google Scholar] [CrossRef]
- Han, K.; Han, X.; Curtis, D.J.; Kleinman, P.J.A.; Wang, D.; Wang, L. Impact of Irrigation, Nitrogen Fertilization, and Spatial Management on Maize. Agron. J. 2016, 108, 1794–1804. [Google Scholar] [CrossRef]
- Wang, H.; Zhang, D.; Zhang, Y.; Zhai, L.; Yin, B.; Zhou, F.; Geng, Y.; Pan, J.; Luo, J.; Gu, B. Ammonia emissions from paddy fields are underestimated in China. Environ. Pollut. 2018, 235, 482–488. [Google Scholar] [CrossRef] [PubMed]
- Sommer, S.G.; Schjoerring, J.K.; Denmead, O.T. Ammonia emission from mineral fertilizers and fertilized crops. Adv. Agron. 2004, 82, 557–622. [Google Scholar]
- Pelzer, E.; Hombert, N.; Jeuffroy, M.H.; Makowski, D. Meta-Analysis of the Effect of Nitrogen Fertilization on Annual Cereal-Legume Intercrop Production. Agron. J. 2014, 106, 1775–1786. [Google Scholar] [CrossRef]
- Huang, S.; Lv, W.; Bloszies, S.; Shi, Q.; Pan, X.; Zeng, Y. Effects of fertilizer management practices on yield-scaled ammonia emissions from croplands in China: A meta-analysis. Field Crop. Res. 2016, 192, 118–125. [Google Scholar] [CrossRef]
- Qiao, C.; Liu, L.; Hu, S.; Compton, J.E.; Greaver, T.L.; Li, Q. How inhibiting nitrification affects nitrogen cycle and reduces environmental impacts of anthropogenic nitrogen input. Glob. Chang. Biol. 2015, 21, 1249–1257. [Google Scholar] [CrossRef]
- Bell, M.J.; Hinton, N.J.; Cloy, J.M.; Topp, C.; Rees, R.M.; Williams, J.R.; Misselbrook, T.H.; Chadwick, D.R. How do emission rates and emission factors for nitrous oxide and ammonia vary with manure type and time of application in a Scottish farmland? Geoderma 2016, 264, 81–93. [Google Scholar] [CrossRef]
- Li, Y.; Huang, L.; Zhang, H.; Wang, M.; Liang, Z. Assessment of Ammonia Volatilization Losses and Nitrogen Utilization during the Rice Growing Season in Alkaline Salt-Affected Soils. Sustainability 2017, 9, 132. [Google Scholar] [CrossRef] [Green Version]
- Zhang, Y.; Luan, S.; Chen, L.; Shao, M. Estimating the volatilization of ammonia from synthetic nitrogenous fertilizers used in China. J. Environ. Manag. 2011, 92, 480–493. [Google Scholar] [CrossRef] [PubMed]
- Liu, T.Q.; Fan, D.J.; Zhang, X.X.; Chen, J.; Li, C.F.; Cao, C.G. Deep placement of nitrogen fertilizers reduces ammonia volatilization and increases nitrogen utilization efficiency in no-tillage paddy fields in central China. Field Crop. Res. 2015, 184, 80–90. [Google Scholar] [CrossRef]
- Saggar, S.; Singh, J.; Giltrap, D.L.; Zaman, M.; Luo, J.; Rollo, M.; Kim, D.G.; Rys, G.; Weerden, T. Quantification of reductions in ammonia emissions from fertiliser urea and animal urine in grazed pastures with urease inhibitors for agriculture inventory: New Zealand as a case study. Sci. Total Environ. 2013, 465, 136–146. [Google Scholar] [CrossRef] [PubMed]
- Silva, A.; Sequeira, C.H.; Sermarini, R.A.; Otto, R. Urease Inhibitor NBPT on Ammonia Volatilization and Crop Productivity: A Meta-Analysis. Agron. J. 2017, 109, 1–13. [Google Scholar] [CrossRef]
- Dawar, K.; Khan, A.; Sardar, K.; Fahad, S.; Danish, S. Effects of the nitrification inhibitor nitrapyrin and mulch on N2O emission and fertilizer use efficiency using 15 N tracing techniques. Sci. Total Environ. 2020, 757, 143739. [Google Scholar] [CrossRef] [PubMed]
- Sha, Z.; Li, Q.; Lv, T.; Misselbrook, T.; Liu, X. Response of ammonia volatilization to biochar addition: A meta-analysis. Sci. Total Environ. 2019, 655, 1387–1396. [Google Scholar] [CrossRef]
- Vaccari, F.P.; Baronti, A.S.; Lugato, A.E.; Genesio, A.L.; Castaldi, B.S.; Fornasier, F.; Miglietta, F. Biochar as a strategy to sequester carbon and increase yield in durum wheat. Eur. J. Agron. 2011, 34, 231–238. [Google Scholar] [CrossRef]
- Blackwell, P.; Krull, E.; Butler, G.; Herbert, A.; Solaiman, Z. Effect of banded biochar on dryland wheat production and fertiliser use in south-western Australia: An agronomic and economic perspective. Soil Res. 2010, 48, 531–545. [Google Scholar] [CrossRef]
- Xie, Z.; Xu, Y.; Liu, G.; Qi, L.; Hu, S. Impact of biochar application on nitrogen nutrition of rice, greenhouse-gas emissions and soil organic carbon dynamics in two paddy soils of China. Plant Soil 2013, 370, 527–540. [Google Scholar] [CrossRef]
- Ghorbani, M.; Asadi, H.; Abrishamkesh, S. Effects of rice husk biochar on selected soil properties and nitrate leaching in loamy sand and clay soil. Int. Soil Water Conserv. Res. 2019, 7, 258–265. [Google Scholar] [CrossRef]
- Li, H.; Wang, L.; Peng, Y.; Zhang, S.; Wang, L. Film mulching, residue retention and N fertilization affect ammonia volatilization through soil labile N and C pools. Agric. Ecosyst. Environ. 2021, 308, 107272. [Google Scholar] [CrossRef]
- Sun, L.; Wu, Z.; Ma, Y.; Liu, Y.; Xiong, Z. Ammonia volatilization and atmospheric N deposition following straw and urea application from a rice-wheat rotation in southeastern China. Atmos. Environ. 2018, 181, 97–105. [Google Scholar] [CrossRef]








| Equ. No. | Observed Parameters | Reference |
|---|---|---|
| (1). | [40,41] | |
| (2). | ||
| (3). | ||
| (4). | [40,41] | |
| (5). | [42] | |
| (6). | [42] | |
| (7). | [43] | |
| (8). | [40,41] | |
| (9). | ||
| (10). | ||
| (11). | ||
| (12). | ||
| (13). | ||
| (14). |
| Factors Parameters | Fertilizer Rate (a) | Application Depth | Fertilizer Rate (b) | Amendments |
|---|---|---|---|---|
| Wheat | ||||
| YSFP | 0.076 ** | 0.033 * | 0.020 | 0.070 |
| NUE | 0.003 | 0.093 ** | 0.022 | 0.044 |
| NAE | 0.039 * | 0.033 * | 0.144 ** | 0.064 |
| PAN | 0.096 ** | 0.042 * | 0.258 ** | 0.044 |
| Maize | ||||
| YSFP | 0.032 * | 0.00 | 0.013 | 0.282 ** |
| NUE | 0.036 * | 0.009 | 0.017 | 0.186 * |
| NAE | 0.070 ** | 0.006 | 0.157 | 0.206 ** |
| PAN | 0.212 ** | 0.011 | 0.072 | 0.255 ** |
| Rice | ||||
| YSFP | 0.231 ** | 0.00 | 0.125 ** | 0.041 |
| NUE | 0.056 ** | 0.012 | 0.010 | 0.037 |
| NAE | 0.001 | 0.005 | 0.013 | 0.052 * |
| PAN | 0.144 ** | 0.041 ** | 0.134 ** | 0.043 |
Publisher’s Note: MDPI stays neutral with regard to jurisdictional claims in published maps and institutional affiliations. |
© 2021 by the authors. Licensee MDPI, Basel, Switzerland. This article is an open access article distributed under the terms and conditions of the Creative Commons Attribution (CC BY) license (https://creativecommons.org/licenses/by/4.0/).
Share and Cite
Abdo, A.I.; Sun, D.; El-Sobky, E.-S.E.A.; Wei, H.; Zhang, J. Agronomic Efficiency Losses by Ammonia Emission from Staple Crops in China as Response to Various Mitigation Strategies: A Meta-Analysis Study. Agronomy 2021, 11, 2593. https://doi.org/10.3390/agronomy11122593
Abdo AI, Sun D, El-Sobky E-SEA, Wei H, Zhang J. Agronomic Efficiency Losses by Ammonia Emission from Staple Crops in China as Response to Various Mitigation Strategies: A Meta-Analysis Study. Agronomy. 2021; 11(12):2593. https://doi.org/10.3390/agronomy11122593
Chicago/Turabian StyleAbdo, Ahmed I., Daolin Sun, El-Sayed E. A. El-Sobky, Hui Wei, and Jiaen Zhang. 2021. "Agronomic Efficiency Losses by Ammonia Emission from Staple Crops in China as Response to Various Mitigation Strategies: A Meta-Analysis Study" Agronomy 11, no. 12: 2593. https://doi.org/10.3390/agronomy11122593
APA StyleAbdo, A. I., Sun, D., El-Sobky, E.-S. E. A., Wei, H., & Zhang, J. (2021). Agronomic Efficiency Losses by Ammonia Emission from Staple Crops in China as Response to Various Mitigation Strategies: A Meta-Analysis Study. Agronomy, 11(12), 2593. https://doi.org/10.3390/agronomy11122593

