Next Article in Journal
Investigating the Quality and Efficiency of Biosolid Produced in Qatar as a Fertilizer in Tomato Production
Previous Article in Journal
Bases for the Establishment of Robusta Coffee (Coffea canephora) as a New Crop for Colombia
 
 
Font Type:
Arial Georgia Verdana
Font Size:
Aa Aa Aa
Line Spacing:
Column Width:
Background:
Article

Oilseed Rape Yield Performance in the Clearfield® System under Varying Management Intensities

Institute of Crop Science, University of Hohenheim, 70599 Stuttgart, Germany
*
Author to whom correspondence should be addressed.
Agronomy 2021, 11(12), 2551; https://doi.org/10.3390/agronomy11122551
Submission received: 12 November 2021 / Revised: 6 December 2021 / Accepted: 13 December 2021 / Published: 15 December 2021

Abstract

:
Oilseed rape production is under pressure due to a limited availability of herbicides. Therefore, the performance in terms of management intensity (MI) and herbicide strategy (HS) and the involved yield formation was evaluated in a two-year Clearfield® oilseed rape field experiment. Furthermore, weed density and weed composition were also investigated. The variants of MI were standard sowing density (StS; seed rate: 50 seeds m−2, primary tillage: plow, row width: 12 cm), reduced sowing density (RD; seed rate: 25 seeds m−2, primary tillage: plow, row width: 50 cm), and strip-till (ST; seed rate: 25 seeds m−2, primary tillage: strip tillage, row width: 50 cm). The variants of HS were preemergence strategy (PES; application of dimethachlor, napropamide, clomazone in preemergence and application of prapaquizafop in postemergence) and Clearfield® strategy (CLS; application of imazamox, quinmerac in preemergence, no postemergence herbicide application). In the first year of the trial, there were no interactions between the factors in terms of grain yield. Grain yield in StS was 3.85 t and 5.2% significantly lower than in ST, and the value of RD was not significantly different from StS and ST. Grain yield in CLS was 3.7 t and 2.7% lower than in PES. In the second year of the trial, the grain yield in ST CLS was significantly lower, and there were no significant differences between the other variants. Higher weed emergence was observed in CLS RD (2.7 to 4 times higher weed density compared to PES RD) and CLS ST (2.8 to 4.5 times higher weed density compared to PES ST). No significant differences existed between StS PES and StS CLS in both trial years. The Clearfield® system offers significant advantages in the control of cruciferous weeds. Although these did not occur on the trial fields, the Clearfield® system in this study showed to be an alternative to the more common pre-emergence system, especially with regard to the parameter grain yield.

1. Introduction

Oilseed rape (OSR) plays an important role worldwide as a break and oilseed cash crop [1]. Weed competition is one of the main yield-limiting factors in modern OSR cultivation and can cause yield reduction up to 70 percent depending on weed pressure and weed composition [1,2,3,4,5,6]. In recent decades, herbicide strategies have been developed to secure the yield potential. This is normally done by applying herbicides in different growth stages throughout the season, which can lead to up to three applications for certain crops. In addition, these herbicides are often less effective or cannot be controlled if the crop and weed belong to the same family. To overcome these issues, cropping systems that use herbicide-tolerant crops, for example, with crops resistant to glyphosate, glufosinate, or triazine, extend the available agronomic tools considering weed control but are also discussed controversially [7,8]. An additional tool represents the Clearfield® (CL)-system in OSR which consists of a broad-spectrum herbicide in combination with a tolerant OSR variety. The herbicide contains an active agent of the chemical group Imidazolinones [9] and belongs to the herbicide class of acetolactate synthase inhibitors (ALS; HRAC class: B). It is applied as imazamox in the herbicide Clearfield® Vantiga® D in Germany (company: BASF, Germany). Imidazolinone tolerance was implemented in the OSR genome by conventional breeding methods due to mutagenesis [10]. Non-CL OSR varieties would perish after an imidazolinone treatment [11].
This offers several agronomic advantages. CL herbicides have high efficacy against cruciferous weeds, which are hard to control with common agents in OSR. Common OSR volunteers can be controlled in CL OSR crops, and thus, the CL-System can contribute to a reduction of an OSR soil seed bank as long as its prevention strategies are working after the establishment of CL OSR in a crop rotation [7,10,11]. Greenhouse trials have shown that when = CL varieties are grown, similar yields are achieved as when non-CL varieties are used. A yield depression in the field due to the variety is therefore not to be expected [12]. The development of new herbicides with new modes of action is not expected in the near future. Approval procedures are time-consuming and cost-intensive. There is a desire in society for environmentally friendly agriculture, and widely used cultivation systems consisting in the use of a total herbicide with a crop that is tolerant to it are cost-effective. Newly developed, expensive herbicides would therefore be at a competitive disadvantage [13]. The application of the CL system enables the more effective use of existing herbicidal active substances. In addition, farmers’ workload peaks are reduced due to the application time of CL Vantiga® D in a post-emergence stage. The possible application period of the CL herbicide is relatively long without damaging the OSR crop [14]. In locations with high occurrences of non-CL volunteer OSR, the CL system can lead to their reduction. Non-CL volunteer OSR is effectively controlled by CL herbicides in a CL oilseed rape crop [11]. The agronomic disadvantages associated with volunteer OSR can thus be reduced. Volunteer OSR competes with the cultivated crop [15], and in grown hybrid oilseed rape, it reduces the yield per unit area, as it has a lower genetic yield potential [16,17]. Volunteer OSR is a vector of pathogens in the crop rotation [18], frost tolerance of grown OSR is reduced, as a higher plant density in autumn leads to a critical stimulation of length growth, and oil quality of the grown OSR can be influenced negatively [19].
Critically must be considered, that the herbicide tolerance will be inherited to progenies of the CL OSR crop. Moreover, there is a cross tolerance to some sulfonyl ureas [11]. Under unfavourable conditions regarding to tillage timing and weather conditions seeds from harvest losses or natural pod shatter can enter the soil seed bank which will appear later as volunteers [20,21,22]. These seeds emerge in subsequent crops where chemical control is more challenging [23,24]. Other risks in confusing herbicides exist, especially if CL and non-CL varieties are grown on the same farm. Applying CL-herbicides on non-CL varieties could lead to a total loss. In addition, there is an increased likelihood of weed resistance developing in ALS inhibitors when CL-herbicides are applied, as ALS inhibitors are commonly used in crop rotation, but they are not applied in non-CL OSR. The additional application in CL OSR provides higher selection pressure on weeds [25,26].
Previous studies have shown that modern, hybrid oilseed rape varieties can achieve similar yields under different management intensities (MI) due to their competitive ability. In particular, with respect to different seed densities, row widths, and types of tillage. Weed emergence and weed composition may differ among these variants [1,2,27,28,29,30,31].
The performance of the CL-System in OSR under different MI in terms of grain yield criteria and weed emergence compared to a more common practice pre-emergence herbicide strategy (HS) has not yet been scientifically evaluated under Central European conditions. The aim of the study is to conduct such an assessment. We hypothesised that (i) the applied CL-herbicides and these of the common agricultural practice show comparable efficacies, (ii) MI has an effect on weed emergence but does not affect yield, and (iii) the HS does not affect the yield.

2. Materials and Methods

A two-year field experiment (2014/2015 and 2015/2016) with three management intensities (MI; main factor) and two herbicide strategies (HS; sub factor) of Clearfield® oilseed rape (Brassica napus; winter variety ‘PT228CL’; CL OSR) was conducted. The trial was set up in a split-plot design with a plot size of 10 m × 6 m and four replicates at the agricultural experiment station, ‘Ihinger Hof,’ of the University of Hohenheim, Renningen, South-West Germany. The predominant soil type is classified as Luvisol on both fields, with loam as the soil type. The long-term mean annual temperature of the site was 8.3 °C, and the average annual precipitation of the location was about 690 mm.
MI was defined as a combination of primary tillage, sowing density, and row spacing. It consisted of three treatments: (i) standard sowing density (StS), (ii) reduced sowing density (RD), and strip-till (ST). In NS, sowing was performed by a drill with a sowing density of 50 seeds m−2 and a 12 cm row spacing after primary tillage by mouldboard ploughing at 25 cm depth. In RD, precision seeding was performed with 50 cm row spacing and a sowing density of 25 seeds m−2, also after mouldboard ploughing at 25 cm. For ST, sowing density and row spacing were the same as in RD, but strip tillage was conducted instead of ploughing. In the trial year 2015, the previous crop was winter barley (Hordeum vulgare), and in the trial year 2016, it was winter wheat (Triticum aestivum).
There were two HS treatments: (i) pre-emergence strategy (PES) and (ii) Clearfield® strategy (CLS). In PES, Colzor® Trio was applied at pre-emergence of the crop, for a broad-spectrum weed control, and Agil®-S was applied post-emergence to control grass weeds, especially volunteer cereals (Table 1). In CLS, Clearfield®-Vantiga® D was applied at post-emergence at the same time as Agil®-S in PES. In CLS, no graminicide was applied because Clearfield®-Vantiga® D has a partial control effect on grass weeds, according to the company.
For all treatments, the CL OSR variety PT228CL was sown (Table 1). In 2016, Fusilade Max® was applied as a graminicide to all plots due to a high density of emerged volunteer wheat, especially in ST CLS. All agronomic operations during the experiment are presented in Table 1. Weed density and composition was recorded by using a 1 m2 estimation frame on 18 April 2015 and 12 April 2016 at OSR BBCH 57.
In the centre of each plot, a 2 × 10 m strip was harvested with a plot combine. The grain yield in t dry weight (DW) per ha was calculated from the strip harvested after cleaning and drying each sample (24 h at 95 °C until constant weight).

Statistical Analysis

The statistical analysis was accomplished using the procedure MIXED of the software package SAS 9.3 (SAS Institute, Cary, NC, USA). To ensure variance homogeneity, the weed density data of 2016 were square root transformed. For all other data sets, a transformation was not necessary. If a factor was identified to be significant at α = 0.05, the means were compared using the Student’s t-test. For presentation purposes, means and standard errors of means were back-transformed after statistical analysis.

3. Results

3.1. Grain Yield

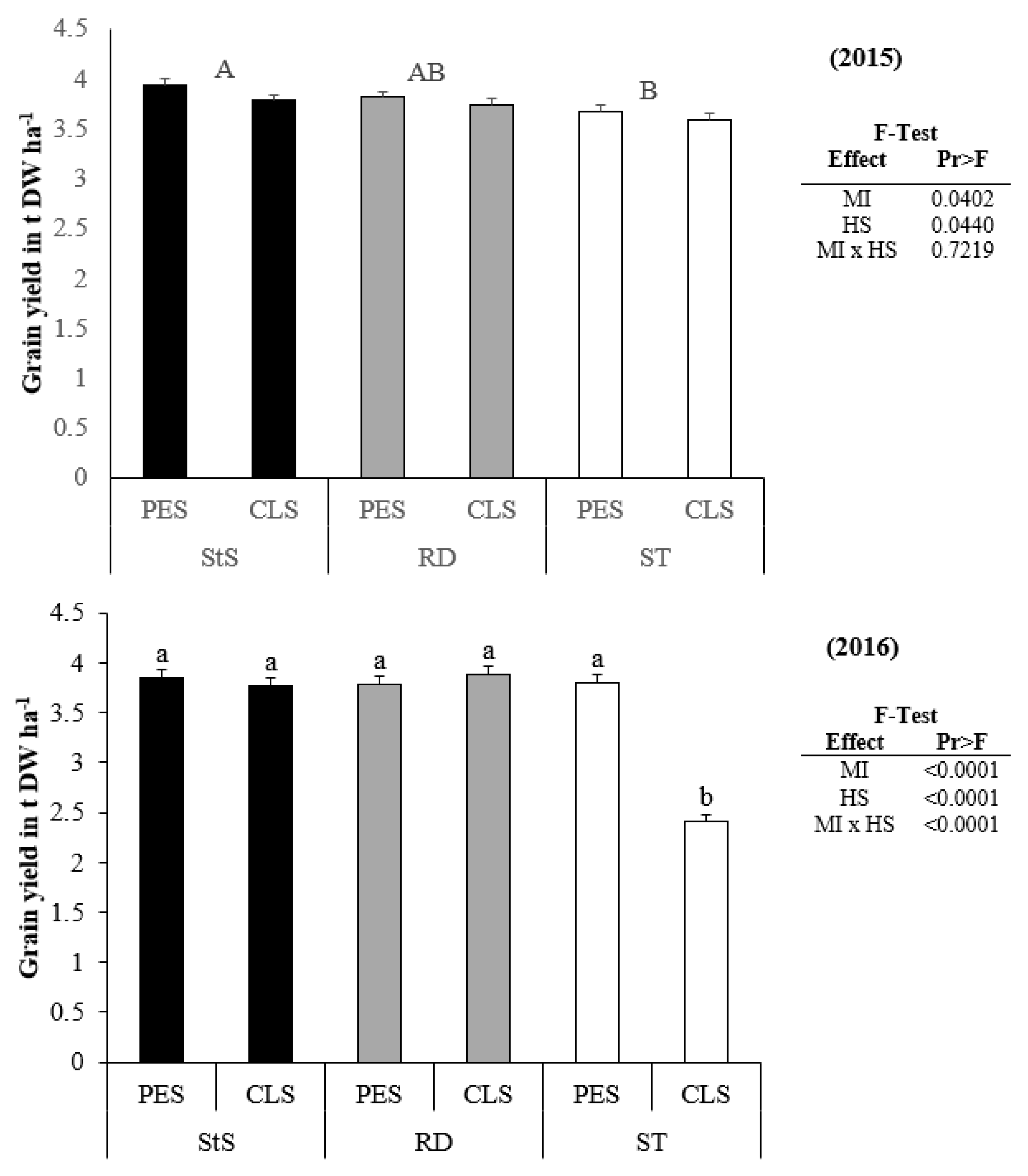
In 2015, the OSR grain yield ranged between 3.6 t ha−1 (ST CL) and 3.9 t ha−1 (StS PES; Figure 1, 2015). The effects of the main factors, MI and HS, were significant, but their interactions had no significant effect. The herbicide strategy PES (3.8 t ha−1) yielded 2.7%, significantly higher than CLS (3.7 t ha−1; not shown graphically). The statistical analysis for MI revealed significant differences between StS (3.9 t ha−1) and ST (3.6 t ha−1). Neither treatments differed significantly from RD (3.8 t ha−1; not shown graphically).
In 2016, the OSR grain yield ranged from 2.4 t ha−1 (ST CLS) to 3.9 t ha−1 (RD CLS; Figure 1, 2016). The interactions between MI and HS were significant. The variant ST CLS yielded between 36% and 38%, significantly lower than the others, which did not differ among themselves.

3.2. Grain Yield Structure

The grain yield structure elements PD, PpP, SpP, and TKW were mainly influenced by the factor MI (Table 2). The effects of HS occurred exceptionally in 2016 for PpP and TKW. PD was highest in StS (2015: 36.0, 2016: 35.1; main effects of MI and HS not shown in the table). PD of RD (2015: 15.6, 2016: 19.7) and ST (2015: 15.5, 2016: 17.3) did not significantly differ within one year. In 2015, PpP in StS (334.2) was significantly lower compared to RD (552.9) and ST (482.7), which did not significantly differ among themselves. In 2016, PpP of StS (567.1) and RD (635.3) were higher than in ST (361.1), and CLS resulted in higher values (566.7) than PES (475.6). In 2015, SpP of StS (11.6) differed from ST (22,1), whilst both showed no differences with RD (16.6). In 2016, SpP of StS (7.4) and RD (11.8) were significantly lower than in ST (19.7). TKW of RD (3.373 g) and ST (3.488 g) were significantly lower than StS (3.644 g) in 2015. In 2016, TKW ranged from 3.4463 g (ST CLS) to 3.6355 g (RD PES). HS variants of StS and ST did not differ significantly. The highest TKWs were observed in RD, in which PES reached a significantly higher value than CLS (3.5365 g).

3.3. Weed Density and Composition

While the weed flora was composed by barley volunteers and a variety of wild plants such as Viola arvensis and Stellaria media in 2015, wheat volunteers dominated in 2016 (Figure 2). In both years, significant interactions occurred in weed density between management intensity and herbicide strategy. The highest weed numbers were observed in 2015 under the herbicide strategy CLS in strip-till (ST) and in reduced sowing density. In ST, barley volunteers were the major group of weeds. In 2016, weed density (mainly wheat volunteers) was clearly highest in ST with CLS.
CLS and PES resulted in similar weed densities when plants were managed in StS (2015 and 2016) or in RD (2016).

4. Discussion

The application of the Clearfield® system in OSR resulted in similar grain yields as the usual, pre-emergence system independent of MI, although weed emergence was higher in the RD and ST variants in particular than in the StS variant. The OSR hybrid variety, PT228CL, showed a high competitive strength, which is very common for modern OSR hybrid varieties, and showed no yield depression [29,30,31,32]. The only exception was the ST CLS variant in 2016, where a lower grain yield was recorded. Yield differences in terms of management intensities in 2015 can likely be attributed to better emergence conditions due to differences in tillage. The use of the plough in StS and RD showed advantages that which were mainly due to a clean and reconsolidated seedbed, faster soil warming, and better weed control. The often-described advantage of the strip-till system’s lower water requirements and better seed placement did not show an effect. This can be traced back to the favourable weather and growing conditions at the trial site [27,28].
The yield structure was mainly influenced by MI and is dependent on OSR plant density and the spatial distribution of OSR plants. Differences in the yield structure resulted from the effects of intraspecific competition. The higher the plant density and the smaller the distance between the plants, the higher the intraspecific competition and the lower the yield per individual plant. The OSR plants react, in particular, with changes in the number of pods and the number of grains per pod [33]. A high plant density (StS) leads to higher intraspecific competition due to the smaller distance between the plants and thus, a lower number of pods per plant and a lower number of seeds per pod. The opposite could be observed with low OSR plant density (RD, ST). In particular, the pods per plant ranged from 283.5 in StS CLS 2015 to 681.5 in RD PES 2016, and the seeds per pod ranged from 6.8 in StS PES 2016 to 23.4 in ST CLS, which shows a strong adaptability of OSR using different sowing rates and the associated cropping system. This was also reported in previous studies [29,33,34,35]. This exhibits a high degree of flexibility for farmers to choose the right sowing density without expecting yield losses.
Both trial years differed in weed density and weed composition. In 2015, winter barley (Hordeum vulgare L.) was the preceding crop; in 2016, it was winter wheat (Triticum aestivum L.). While various dicot weeds and volunteer barley occurred in 2015, volunteer wheat was predominant in 2016. Within MI, smaller differences occurred between PES and CLS in weed density in 2015 compared to 2016, especially for the ST variants. The differences in weed composition in both years resulted from the rotation of the experimental field and from different previous crops. It can be assumed that different soil seed banks were present on both trial fields, which resulted in the emergence of different weeds. The higher density of volunteer wheat in 2016, especially in the ST CLS variant, may be due to higher seed potential or lower efficacy of Clearfield® Vantiga®-D against volunteer wheat compared to volunteer barley. The cause of an increased seed potential could be due to suboptimal combine settings or harvest conditions which resulted in a higher loss during the wheat harvest.
In both trial years, weed density was lowest in the StS PES and RD PES variants. This was due to the broad efficacy of the PES herbicide system and the weed-reducing effect of plowing. It ensures deep burial of emerged weed plants and weed seeds, which results in fewer emerging weeds during the vegetation period and can be considered as a sustainable weed control effect. This is especially true for the StS variant, as 50 seeds were sown instead of 25 compared to RD. This ensures faster shading of the soil and thus a lower weed emergence in StS [1,36]. As a result, no significant differences in weed density were found in the StS variant between PES and CLS in either trial year. However, in the CLS variant using the other two management intensity variants (RD, ST), partly higher weed densities were found. It can therefore be assumed that the Clearfield® herbicide Vantiga®-D shows a lower effectiveness in weed control, but this could be compensated by a higher seed rate in the StS variant.
In the strip-till method, higher rates of volunteer emergence from the previous crop can generally be expected resulting from the method of soil tillage and could be observed in both years. Volunteers from seed losses are less controlled or buried due to a lack of tillage between rows before sowing the next crop. On the other hand, other weeds hardly emerged, as they are not stimulated to germinate by a lack of tillage. As a result, there is a strong weed pressure due to volunteers. Consequently, this led to a drop in grain yield in ST CLS 2016, while the other variants did not differ significantly in 2016. Fewer volunteer cereals occurred overall in the PES variants. An additional herbicide treatment with the foliar active ingredient, prapaquizafop, in postemergence provided a reliable control.
The Clearfield® system in OSR was developed primarily for sites where cruciferous weeds are difficult or impossible to control with existing herbicides in oilseed rape, or where an increased emergence of non-Clearfield® OSR volunteers is to be expected. There were no difficult-to-control cruciferous weeds on the trial fields, nor was there an increased incidence of volunteer oilseed rape on these fields. Nevertheless, the Clearfield® system in this study was shown be an alternative to the more common pre-emergence system, especially with regard to the parameter grain yield. However, one application of the foliar-active grass herbicide could be saved compared to the pre-emergence system. As a result, depending on MI, the partly increased emergence of volunteer cereals (especially in the trial year 2016) can be prevented in agricultural practice by the additional application of such a grass herbicide (such as propaquizafop in this study). It can be assumed that the Clearfield® system performs better than the pre-emergence system in terms of both yield and weed control effectiveness, particularly in areas where cruciferous weeds pose a challenge to oilseed rape cultivation.

5. Conclusions

The Clearfield® herbicide system in oilseed rape can achieve similar grain yields as a more common, pre-emergence herbicide system. With larger row spacing or lower tillage intensity, higher weed pressure may be expected when using the Clearfield® system. However, this does not necessarily have a negative effect on grain yield. Reduced effects of the Clearfield® system on grasses or volunteer cereals can be countered in agricultural practice with the additional application of a graminicide. The Clearfield® system expands farmers’ options for chemical weed control in oilseed rape.

Author Contributions

Conceptualization, S.S., S.G. and W.C.; methodology, S.S., S.G. and W.C.; software, S.S.; validation, S.S; formal analysis, S.S.; investigation, S.S.; resources, S.S., S.G. and W.C.; data curation, S.S.; writing—original draft preparation, S.S.; writing—review and editing, S.G. and W.C.; visualization, S.S.; supervision, S.G. and W.C.; project administration, S.G. and W.C.; funding acquisition, S.G. and W.C. All authors have read and agreed to the published version of the manuscript.

Funding

This research was funded by BASF (Germany) grant number 340574.

Institutional Review Board Statement

Not applicable.

Informed Consent Statement

Not applicable.

Data Availability Statement

Not applicable.

Conflicts of Interest

The authors declare no conflict of interest.

References

  1. Lemerle, D.; Luckett, D.J.; Wu, H.; Widderick, M.J. Agronomic interventions for weed management in canola (Brassica napus L.)—A review. Crop Prot. 2017, 95, 69–73. [Google Scholar] [CrossRef]
  2. Asaduzzaman, M.; Pratley, J.E.; Luckett, D.; Lemerle, D.; Wu, H. Weed management in canola (Brassica napus L.): A review of current constraints and future strategies for Australia. Arch. Agron. Soil Sci. 2020, 66, 427–444. [Google Scholar] [CrossRef]
  3. Lutman, P.J.W.; Dixon, F.L.; Risiott, R. The response of four spring-sown combinable arable crops to weed competition. Weed Res. 1994, 34, 137–146. [Google Scholar] [CrossRef]
  4. Melander, B. Modelling the effects of Elymus repens (L.) Gould competition on yield of cereals, peas and oilseed rape. Weed Res. 1993, 33, 99–108. [Google Scholar] [CrossRef]
  5. Holman, J.D.; Bussan, A.J.; Maxwell, B.D.; Miller, P.R.; Technology, S.W.; Sep, J.; Sep, N.J.; Mickelson, J.A. Spring Wheat, Canola, and Sunflower Response to Persian Darnel (Lolium persicum) Interference. Weed Technol. 2004, 18, 509–520. [Google Scholar] [CrossRef]
  6. Borger, C.P.D.; Hashem, A.; Pathan, S. Manipulating Crop Row Orientation to Suppress Weeds and Increase Crop Yield. Weed Sci. 2010, 58, 174–178. [Google Scholar] [CrossRef]
  7. Shaw, D.R. The value of genetically-modified crops for weed control. Outlooks Pest Manag. 2014, 25, 36–37. [Google Scholar] [CrossRef]
  8. Duke, S.O. Perspectives on transgenic, herbicide-resistant crops in the United States almost 20 years after introduction. Pest Manag. Sci. 2015, 71, 652–657. [Google Scholar] [CrossRef] [PubMed]
  9. Tan, S.; Evans, R.R.; Dahmer, M.L.; Singh, B.K.; Shaner, D.L. Imidazolinone-tolerant crops: History, current status and future. Pest Manag. Sci. Former. Pestic. Sci. 2005, 61, 246–257. [Google Scholar] [CrossRef] [PubMed]
  10. Swanson, E.B.; Herrgesell, M.J.; Arnoldo, M.; Sippell, D.W.; Wong, R.S.C. Microspore mutagenesis and selection: Canola plants with field tolerance to the imidazolinones. Theor. Appl. Genet. 1989, 78, 525–530. [Google Scholar] [CrossRef] [PubMed]
  11. Krato, C.; Hartung, K.; Petersen, J. Response of imidazolinone-tolerant and -susceptible volunteer oilseed rape (Brassica napus L.) to ALS inhibitors and alternative herbicides. Pest Manag. Sci. 2012, 68, 1385–1392. [Google Scholar] [CrossRef] [PubMed]
  12. Durigon, M.R.; Cechin, J.; Mariani, F.; da Silva, G.B.P.; Vargas, L.; Chavarria, G. Growth of canola hybrids resistant and sensitive to herbicides. Semin. Agrar. 2020, 41, 2911–2922. [Google Scholar] [CrossRef]
  13. Duke, S.O. Why have no new herbicide modes of action appeared in recent years? Pest Manag. Sci. 2012, 68, 505–512. [Google Scholar] [CrossRef] [Green Version]
  14. Tozzi, E.; Harker, K.N.; Blackshaw, R.E.; Donovan, J.T.O.; Stephen, E.; Willenborg, C.J.; Tozzi, E.; Harker, K.N.; Blackshaw, R.E.; Donovan, J.T.O.; et al. Influence of Late Applications of Imazamox on Imidazolinone-Resistant Canola (Brassica napus). Weed Technol. 2016, 30, 595–600. [Google Scholar] [CrossRef]
  15. Krato, C.; Petersen, J. Competitiveness and yield impact of volunteer oilseed rape (Brassica napus) in winter and spring wheat (Triticum aestivum). J. Plant Dis. Prot. 2012, 119, 74–82. [Google Scholar] [CrossRef]
  16. Smith, E.G.; Favret, M.L.; Clayton, G.W.; Blackshaw, R.E.; Brandt, S.; Johnson, E.N.; Harker, K.N.; O’Donovan, J.T.; Kutcher, H.R.; Vera, C. The profitability of seeding the F2 generation of hybrid canola. Agron. J. 2010, 102, 598–605. [Google Scholar] [CrossRef]
  17. Grosse, F.; Léon, J.; Diepenbrock, W. Ertragsbildung und Ertragsstruktur bei Winterraps (Brassica napus L.) II. Vergleich zwischen Elternlinien und deren F1- und F2-Generationen. J. Agron. Crop Sci. 1992, 169, 94–103. [Google Scholar] [CrossRef]
  18. Hwang, S.F.; Ahmed, H.U.; Zhou, Q.; Strelkov, S.E.; Gossen, B.D.; Peng, G.; Turnbull, G.D. Assessment of the impact of resistant and susceptible canola on Plasmodiophora brassicae inoculum potential. Plant Pathol. 2012, 61, 945–952. [Google Scholar] [CrossRef]
  19. Baux, A.; Colbach, N.; Pellet, D. Crop management for optimal low-linolenic rapeseed oil production-Field experiments and modelling. Eur. J. Agron. 2011, 35, 144–153. [Google Scholar] [CrossRef]
  20. Huang, S.; Gruber, S.; Claupein, W. Timing and depth of post-harvest soil disturbance can reduce seedbank and volunteers of oilseed rape. Soil Tillage Res. 2018, 175, 187–193. [Google Scholar] [CrossRef]
  21. Weber, E.A.; Gruber, S.; Claupein, W. Emergence and performance of volunteer oilseed rape (Brassica napus) in different crops. Eur. J. Agron. 2014, 60, 33–40. [Google Scholar] [CrossRef]
  22. Gruber, S.; Bühler, A.; Möhring, J.; Claupein, W. Sleepers in the soil-Vertical distribution by tillage and long-term survival of oilseed rape seeds compared with plastic pellets. Eur. J. Agron. 2010, 33, 81–88. [Google Scholar] [CrossRef]
  23. Jhala, A.J.; Beckie, H.J.; Peters, T.J.; Culpepper, A.S.; Norsworthy, J.K. Interference and management of herbicide-resistant crop volunteers. Weed Sci. 2021, 69, 257–273. [Google Scholar] [CrossRef]
  24. Huang, S.; Gruber, S.; Claupein, W. Field history of imidazolinone-tolerant oilseed rape (Brassica napus) volunteers in following crops under six long-term tillage systems. Field Crop. Res. 2016, 185, 51–58. [Google Scholar] [CrossRef]
  25. Powles, S.B.; Yu, Q. Evolution in Action: Plants Resistant to Herbicides. Annu. Rev. Plant Biol. 2010, 61, 317–347. [Google Scholar] [CrossRef] [PubMed] [Green Version]
  26. Löbmann, A.; Christen, O.; Petersen, J. Response of Alopecurus myosuroides Huds. to varying intensities of acetolactate synthase-inhibiting herbicides in a crop rotation including imidazolinone-tolerant oilseed rape. J. Plant Dis. Prot. 2021, 128, 203–214. [Google Scholar] [CrossRef]
  27. Bečka, D.; Bečková, L.; Kuchtová, P.; Cihlář, P.; Pazderů, K.; Mikšík, V.; Vašák, J. Growth and yield of winter oilseed rape under strip-tillage compared to conventional tillage. Plant Soil Environ. 2021, 67, 85–91. [Google Scholar] [CrossRef]
  28. Jaskulska, I.; Gałęzewski, L.; Piekarczyk, M.; Jaskulski, D. Strip-till technology—A method for uniformity in the emergence and plant growth of winter rapeseed (Brassica napus L.) in different environmental conditions of Northern Poland. Ital. J. Agron. 2018, 13, 194–199. [Google Scholar] [CrossRef]
  29. Harker, K.N.; Clayton, G.W.; Blackshaw, R.E.; O’Donovan, J.T.; Stevenson, F.C. Seeding rate, herbicide timing and competitive hybrids contribute to integrated weed management in canola (Brassica napus). Can. J. Plant Sci. 2003, 83, 433–440. [Google Scholar] [CrossRef] [Green Version]
  30. Lemerle, D.; Luckett, D.J.; Lockley, P.; Koetz, E.; Wu, H. Competitive ability of Australian canola (Brassica napus) genotypes for weed management. Crop Pasture Sci. 2014, 65, 1300–1310. [Google Scholar] [CrossRef]
  31. Zare, M.; Bazrafshan, F.; Mostafavi, K. Competition of rapeseed (Brassica napus L.) cultivars with weeds. Afr. J. Biotechnol. 2012, 11, 1378–1385. [Google Scholar]
  32. Lemerle, D.; Luckett, D.J.; Koetz, E.A.; Potter, T.; Wu, H. Seeding rate and cultivar effects on canola (Brassica napus) competition with volunteer wheat (Triticum aestivum). Crop Pasture Sci. 2016, 67, 857–863. [Google Scholar] [CrossRef]
  33. Kuai, J.; Sun, Y.; Zuo, Q.; Huang, H.; Liao, Q.; Wu, C.; Lu, J.; Wu, J.; Zhou, G. The yield of mechanically harvested rapeseed (Brassica napus L.) can be increased by optimum plant density and row spacing. Sci. Rep. 2015, 5, 18835. [Google Scholar] [CrossRef] [PubMed] [Green Version]
  34. Yuan, Y.; Wang, B.; Zhou, G.S.; Liu, F.; Huang, J.S.; Kuai, J. Effects of different sowing dates and planting densities on the yield and stem lodging resistance of rapeseed. Sci. Agric. Sin. 2021, 54, 1613–1626. [Google Scholar]
  35. Lundin, O.; Malsher, G.; Högfeldt, C.; Bommarco, R. Pest management and yield in spring oilseed rape without neonicotinoid seed treatments. Crop Prot. 2020, 137, 105261. [Google Scholar] [CrossRef]
  36. Felton, W.L.; Haigh, B.M.; Harden, S. Comparing weed competition in chickpea, fababean, canola and wheat. In Proceedings of the 14th Australian Weeds Conference, Wagga Wagga, New South Wales, Australia, 6–9 September 2004; pp. 304–307. [Google Scholar]
Figure 1. Grain yield of Clearfield®-oilseed rape (t DW ha−1) as effect of different management intensities and herbicide strategies in the years 2015 and 2016, experimental station Ihinger Hof. StS: standard sowing (mouldboard ploughing, 50 seeds m−2, 12 cm row spacing); RD: reduced sowing density (mouldboard ploughing, 25 sown seeds m−2, 50 cm row spacing); ST: strip-till (strip tillage, 25 seeds m−2, 50 cm row spacing); PES: pre-emergence application of Colzor® Trio and post-emergence application of Agil®-S. CLS: post-emergence application of Clearfield®-Vantiga®-D. Values labelled by the same letter are not significantly different. 2015: letters refer to the main effects of StS, RD and ST, for 2016: letters refer to the interactions (p ≤ 0.05; Student’s t-test). Error bars: standard error of mean.
Figure 1. Grain yield of Clearfield®-oilseed rape (t DW ha−1) as effect of different management intensities and herbicide strategies in the years 2015 and 2016, experimental station Ihinger Hof. StS: standard sowing (mouldboard ploughing, 50 seeds m−2, 12 cm row spacing); RD: reduced sowing density (mouldboard ploughing, 25 sown seeds m−2, 50 cm row spacing); ST: strip-till (strip tillage, 25 seeds m−2, 50 cm row spacing); PES: pre-emergence application of Colzor® Trio and post-emergence application of Agil®-S. CLS: post-emergence application of Clearfield®-Vantiga®-D. Values labelled by the same letter are not significantly different. 2015: letters refer to the main effects of StS, RD and ST, for 2016: letters refer to the interactions (p ≤ 0.05; Student’s t-test). Error bars: standard error of mean.
Agronomy 11 02551 g001
Figure 2. Weed density and weed composition in plants m−2 in Clearfield®-oilseed rape as effect of different management intensities and herbicide strategies in the years 2015 and 2016, experimental station Ihinger Hof. StS: standard sowing (mouldboard ploughing, 50 seeds m−2, 12 cm row spacing); RD: reduced sowing density (mouldboard ploughing, 25 sown seeds m−2, 50 cm row spacing); ST: strip-till (strip tillage, 25 seeds m−2, 50 cm row spacing); PES: pre-emergence application of Colzor® Trio and post-emergence application of Agil®-S. CLS: post-emergence application of Clearfield®-Vantiga®-D. Values labelled by the same letter are not significantly different; letters refer to the total number of weeds per variant (α = 0.05; Student’s t-test). Error bars: standard error of mean. Experimental station: Ihinger Hof.
Figure 2. Weed density and weed composition in plants m−2 in Clearfield®-oilseed rape as effect of different management intensities and herbicide strategies in the years 2015 and 2016, experimental station Ihinger Hof. StS: standard sowing (mouldboard ploughing, 50 seeds m−2, 12 cm row spacing); RD: reduced sowing density (mouldboard ploughing, 25 sown seeds m−2, 50 cm row spacing); ST: strip-till (strip tillage, 25 seeds m−2, 50 cm row spacing); PES: pre-emergence application of Colzor® Trio and post-emergence application of Agil®-S. CLS: post-emergence application of Clearfield®-Vantiga®-D. Values labelled by the same letter are not significantly different; letters refer to the total number of weeds per variant (α = 0.05; Student’s t-test). Error bars: standard error of mean. Experimental station: Ihinger Hof.
Agronomy 11 02551 g002
Table 1. Agronomic treatments during the Clearfield® OSR management intensities experiment.
Table 1. Agronomic treatments during the Clearfield® OSR management intensities experiment.
Date (dd.mm.yy)TreatmentActive AgentTrade Name/CompanyHerbicide Strategy
2015
22.08.14Sowing-PT228CL/PioneerPES, CLS
23.08.14Herbicide750 g ha−1 dimethachlorColzor® Trio/SyngentaPES
750 g ha−1 napropamide
120 g ha−1 clomazone
16.09.14Herbicide70 g ha−1 prapaquizafopAgil®-S/AdamaPES
16.09.14Herbicide750 g ha−1 metazachlorClearfield®-Vantiga® D /BASFCLS
12.5 g ha−1 imazamox
250 g ha−1 quinmerac
09.09.14Insecticide7.5 g ha−1 deltamethrinDecis® flüssig/Bayer CropSciencePES, CLS
26.09.14Insecticide7.5 g ha−1 deltamethrinDecis® flüssig/Bayer CropSciencePES, CLS
15.04.15Insecticide57.5 g ha−1 etofenproxTrebon® 30 EC/BASFPES, CLS
23.04.15Insecticide72 g ha−1 thiaclopridBiscaya®/Bayer CropSciencePES, CLS
06.05.15Insecticide48 g ha−1 tau-fluvalinateMavrik® Citro Pack/AdamaPES, CLS
06.05.15Fungicide250 g ha−1 azoxystrobinOrtiva®/SyngentaPES, CLS
01.10.14Fertilisercalcium ammonium nitrate (40 kg N ha−1)YaraBela® EXTRAN 27®/Yara InternationalPES, CLS
10.03.15Fertiliserammonium sulphate nitrate (90 kg N ha−1)Domogran® 45/Domo ChemicalsPES, CLS
08.04.15Fertiliserammonium sulphate nitrate (90 kg N ha−1)Domogran® 45/Domo ChemicalsPES, CLS
22.07.15Harvest PES, CLS
2016
26.08.15Sowing-PT228CL/PioneerPES, CLS
26.08.15Herbicide750 g ha−1 dimethachlorColzor® Trio/SyngentaPES
750 g ha−1 napropamide
120 g ha−1 clomazone
30.09.15Herbicide70 g ha−1 prapaquizafopAgil®-S/AdamaPES
30.09.15Herbicide750 g ha−1 metazachlorClearfield®-Vantiga® D /BASFCLS
12.5 g ha−1 imazamox
250 g ha−1 quinmerac
05.04.16Insecticide57.5 g ha−1 etofenproxTrebon® 30 EC/BASFPES, CLS
05.04.16Fungicide56 g ha−1 prothioconazoleTilmor®/Bayer CropSciencePES, CLS
112 g ha−1 tebuconazole
11.04.16Insecticide72 g ha−1 thiaclopridBiscaya®/Bayer CropSciencePES, CLS
12.04.16Herbicide125 g ha−1 fluazifop-p-butylFusilade Max®/SyngentaPES, CLS
22.04.16Insecticide40 g ha−1 acetamipridMospilan® SG/CheminovaPES, CLS
10.03.16Fertilizerammonium sulphate nitrate (78 kg N ha−1)Domogran® 45/Domo ChemicalsPES, CLS
07.04.16Fertilizerammonium sulphate nitrate (100 kg N ha−1)Domogran® 45/Domo ChemicalsPES, CLS
22.07.15Harvest PES, CLS
Table 2. Grain yield structure of Clearfield®-oilseed rape as effect of different management intensities (MI) and herbicide strategies (HS) in the years 2015 and 2016, experimental station Ihinger Hof. StS: standard sowing (mouldboard ploughing, 50 seeds m−2, 12 cm row spacing); RD: reduced sowing density (mouldboard ploughing, 25 sown seeds m−2, 50 cm row spacing); ST: strip-till (strip tillage, 25 seeds m−2, 50 cm row spacing); PES: pre-emergence application of Colzor® Trio and post-emergence application of Agil®-S. CLS: post-emergence application of Clearfield®-Vantiga®-D. Grain yield structure elements: plant density (PD) in plants m−2, pods per plant (PpP), seeds per pod (SpP) and thousand-kernel weight (TKW) in g. Values labelled by the same letter are not significantly different. Capital letters refer to effects of MI; lowercase letters refer to interactions of MI × HS (p ≤ 0.05; Student’s t-test).
Table 2. Grain yield structure of Clearfield®-oilseed rape as effect of different management intensities (MI) and herbicide strategies (HS) in the years 2015 and 2016, experimental station Ihinger Hof. StS: standard sowing (mouldboard ploughing, 50 seeds m−2, 12 cm row spacing); RD: reduced sowing density (mouldboard ploughing, 25 sown seeds m−2, 50 cm row spacing); ST: strip-till (strip tillage, 25 seeds m−2, 50 cm row spacing); PES: pre-emergence application of Colzor® Trio and post-emergence application of Agil®-S. CLS: post-emergence application of Clearfield®-Vantiga®-D. Grain yield structure elements: plant density (PD) in plants m−2, pods per plant (PpP), seeds per pod (SpP) and thousand-kernel weight (TKW) in g. Values labelled by the same letter are not significantly different. Capital letters refer to effects of MI; lowercase letters refer to interactions of MI × HS (p ≤ 0.05; Student’s t-test).
FactorGrain Yield Structure
MIHS20152016
PDPpPSpPTKWPDPpPSpPTKW
StSPES35.4A384.8B10.4B3.587A35.4A605.2A6.8B3.4465c
CLS36.5283.512.83.70034.7529.08.03.5135bc
RDPES15.8B529.9A15.7AB3.338B19.5B681.5A11.2B3.6355a
CLS15.3575.917.43.40719.8589.012.33.5365b
STPES15.8B425.1A20.8A3.501B20.5B413.4B19.4A3.4673bc
CLS15.1540.223.43.47514.0308.819.93.4463c
Publisher’s Note: MDPI stays neutral with regard to jurisdictional claims in published maps and institutional affiliations.

Share and Cite

MDPI and ACS Style

Schwabe, S.; Gruber, S.; Claupein, W. Oilseed Rape Yield Performance in the Clearfield® System under Varying Management Intensities. Agronomy 2021, 11, 2551. https://doi.org/10.3390/agronomy11122551

AMA Style

Schwabe S, Gruber S, Claupein W. Oilseed Rape Yield Performance in the Clearfield® System under Varying Management Intensities. Agronomy. 2021; 11(12):2551. https://doi.org/10.3390/agronomy11122551

Chicago/Turabian Style

Schwabe, Sebastian, Sabine Gruber, and Wilhelm Claupein. 2021. "Oilseed Rape Yield Performance in the Clearfield® System under Varying Management Intensities" Agronomy 11, no. 12: 2551. https://doi.org/10.3390/agronomy11122551

APA Style

Schwabe, S., Gruber, S., & Claupein, W. (2021). Oilseed Rape Yield Performance in the Clearfield® System under Varying Management Intensities. Agronomy, 11(12), 2551. https://doi.org/10.3390/agronomy11122551

Note that from the first issue of 2016, this journal uses article numbers instead of page numbers. See further details here.

Article Metrics

Back to TopTop