Combined Application of Compost, Zeolite and a Raised Bed Planting Method Alleviate Salinity Stress and Improve Cereal Crop Productivity in Arid Regions
Abstract
1. Introduction
2. Materials and Methods
2.1. Experimental Design and Agronomic Practices
2.2. Initial Soil Analysis and Climatic Conditions
2.3. Soil Measurements
2.4. Crop Growth and Yield Measurements
2.5. Statistical Analysis
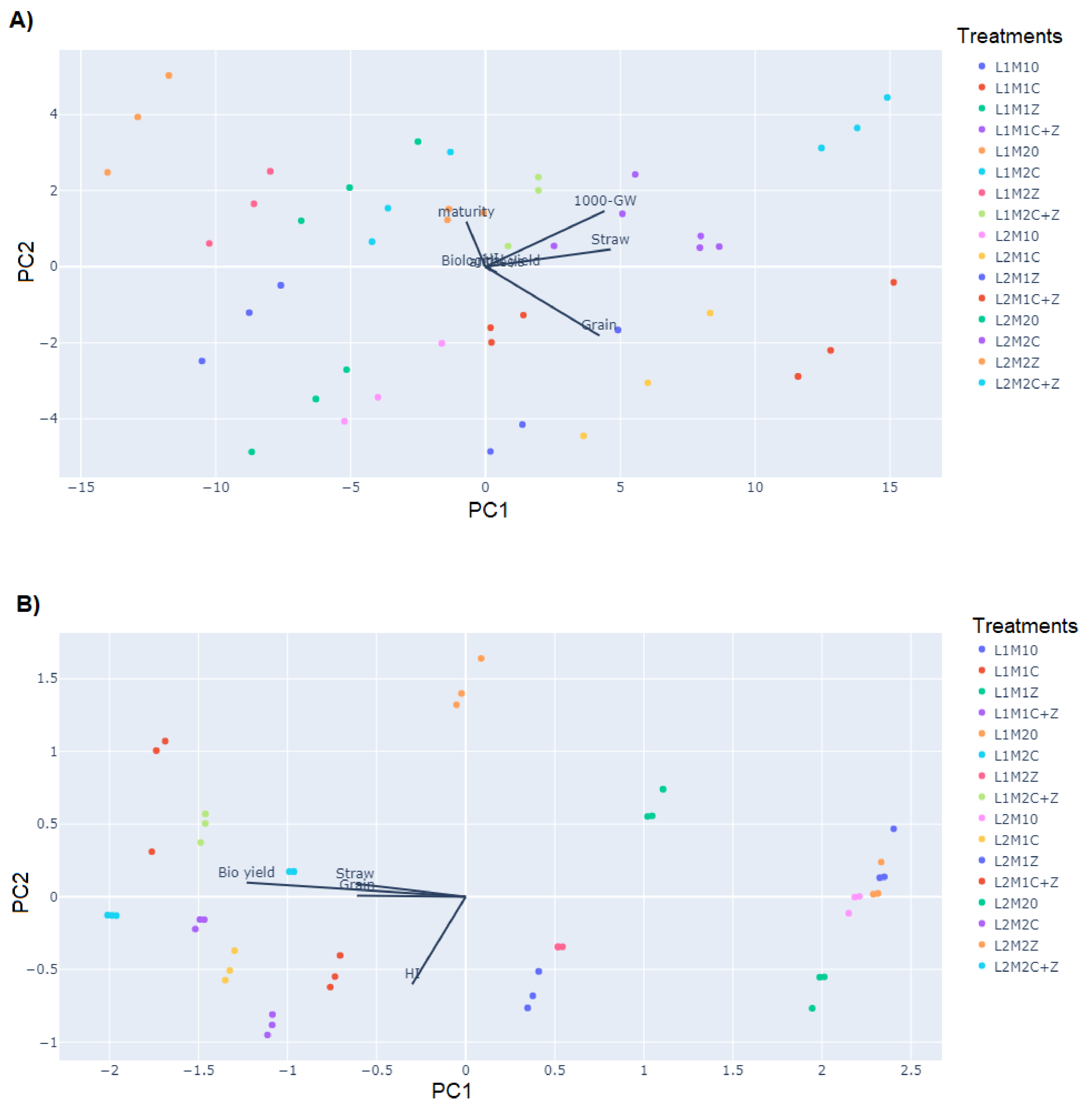
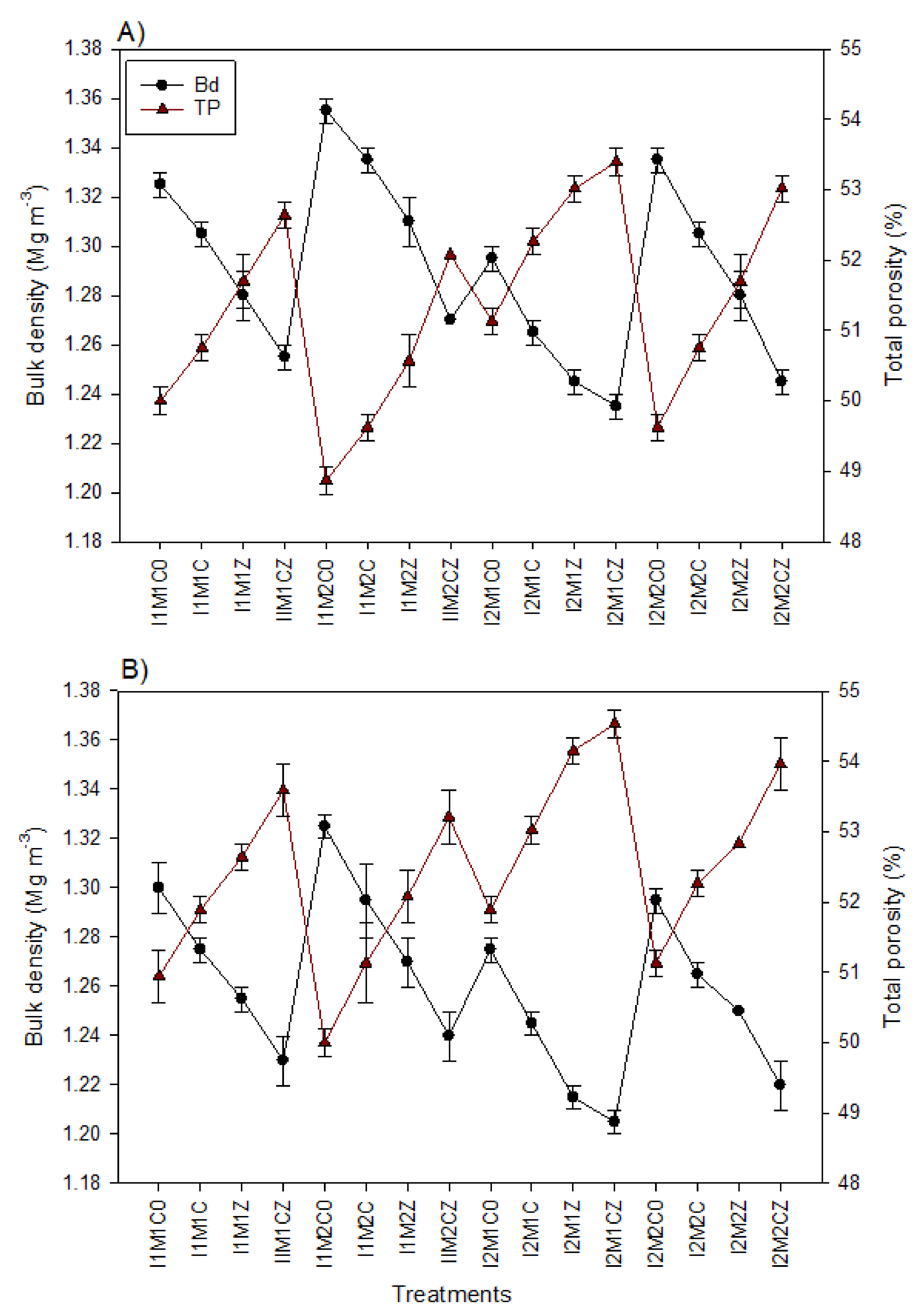
3. Results and Discussion
3.1. Soil Physio-Chemical Properties
3.2. Wheat and Maize Productivity
4. Conclusions
Supplementary Materials
Author Contributions
Funding
Institutional Review Board Statement
Informed Consent Statement
Data Availability Statement
Acknowledgments
Conflicts of Interest
References
- Ding, Z.; Kheir, A.M.S.; Ali, M.G.M.; Ali, O.A.M.; Abdelaal, A.I.N.; Lin, X.e.; Zhou, Z.; Wang, B.; Liu, B.; He, Z. The integrated effect of salinity, organic amendments, phosphorus fertilizers, and deficit irrigation on soil properties, phosphorus fractionation and wheat productivity. Sci. Rep. 2020, 10, 2736. [Google Scholar] [CrossRef] [PubMed]
- Kheir, A.M.S.; Ali, E.F.; Ahmed, M.; Eissa, M.A.; Majrashi, A.; Ali, O.A.M. Biochar blended humate and vermicompost enhanced immobilization of heavy metals, improved wheat productivity, and minimized human health risks in different contaminated environments. J. Environ. Chem. Eng. 2021, 9, 105700. [Google Scholar] [CrossRef]
- Asseng, S.; Martre, P.; Maiorano, A.; Rötter, R.P.; O’Leary, G.J.; Fitzgerald, G.J.; Girousse, C.; Motzo, R.; Giunta, F.; Babar, M.A.; et al. Climate change impact and adaptation for wheat protein. Glob. Chang. Biol. 2019, 25, 155–173. [Google Scholar] [CrossRef] [PubMed]
- Godfray, H.C.J.; Beddington John, R.; Crute Ian, R.; Haddad, L.; Lawrence, D.; Muir James, F.; Pretty, J.; Robinson, S.; Thomas Sandy, M.; Toulmin, C. Food Security: The Challenge of Feeding 9 Billion People. Science 2010, 327, 812–818. [Google Scholar] [CrossRef]
- Rengasamy, P. World salinization with emphasis on Australia. J. Exp. Bot. 2006, 57, 1017–1023. [Google Scholar] [CrossRef] [PubMed]
- Mahdy, A.M. Document details—Comparative effects of different soil amendments on amelioration of saline-sodic soils. Soil Water Res. 2011, 6, 205–216. [Google Scholar] [CrossRef]
- Mace, J.E.; Amrhein, C.; Oster, J.D. Comparison of Gypsum and Sulfuric Acid for Sodic Soil Reclamation. Arid. Soil Res. Rehabil. 1999, 13, 171–188. [Google Scholar] [CrossRef]
- Ding, Z.; Kheir, A.M.S.; Ali, O.A.M.; Hafez, E.M.; ElShamey, E.A.; Zhou, Z.; Wang, B.; Lin, X.E.; Ge, Y.; Fahmy, A.E.; et al. A vermicompost and deep tillage system to improve saline-sodic soil quality and wheat productivity. J. Environ. Manag. 2021, 277, 111388. [Google Scholar] [CrossRef]
- Seleiman, M.F.; Kheir, A.M.S. Maize productivity, heavy metals uptake and their availability in contaminated clay and sandy alkaline soils as affected by inorganic and organic amendments. Chemosphere 2018, 204, 514–522. [Google Scholar] [CrossRef]
- Liu, D.; Ding, Z.; Ali, E.F.; Kheir, A.M.S.; Eissa, M.A.; Ibrahim, O.H.M. Biochar and compost enhance soil quality and growth of roselle (Hibiscus sabdariffa L.) under saline conditions. Sci. Rep. 2021, 11, 8739. [Google Scholar] [CrossRef]
- Mondal, M.; Biswas, B.; Garai, S.; Sarkar, S.; Banerjee, H.; Brahmachari, K.; Bandyopadhyay, P.K.; Maitra, S.; Brestic, M.; Skalicky, M.; et al. Zeolites Enhance Soil Health, Crop Productivity and Environmental Safety. Agronomy 2021, 11, 448. [Google Scholar] [CrossRef]
- Ober, J.A. Mineral Commodity Summaries 2017; USGS Publication Warehouse: Reston, VA, USA, 2017; p. 202. [Google Scholar]
- Inglezakis, V.J.; Elaiopoulos, K.; Aggelatou, V.; Zorpas, A.A. Treatment of underground water in open flow and closed-loop fixed bed systems by utilizing the natural minerals clinoptilolite and vermiculite. Desalination Water Treat. 2012, 39, 215–227. [Google Scholar] [CrossRef]
- Talebnezhad, R.; Sepaskhah, A.R. Effects of bentonite on water infiltration in a loamy sand soil. Arch. Agron. Soil Sci. 2013, 59, 1409–1418. [Google Scholar] [CrossRef]
- Chmielewská, E. Zeolitic adsorption in course of pollutants mitigation and environmental control. J. Radioanal. Nucl. Chem. 2014, 299, 255–260. [Google Scholar] [CrossRef]
- Ebrazi, B.; Banihabib, M.E. Simulation of Ca2+ and Mg2+ removal process in fixed-bed column of natural zeolite. Desalination Water Treat. 2015, 55, 1116–1124. [Google Scholar] [CrossRef]
- Enamorado-Horrutiner, Y.; Villanueva-Tagle, M.E.; Behar, M.; Rodríguez-Fuentes, G.; Ferraz Dias, J.; Pomares-Alfonso, M.S. Cuban zeolite for lead sorption: Application for water decontamination and metal quantification in water using nondestructive techniques. Int. J. Environ. Sci. Technol. 2016, 13, 1245–1256. [Google Scholar] [CrossRef]
- Tsintskaladze, G.; Eprikashvili, L.; Urushadze, T.; Kordzakhia, T.; Sharashenidze, T.; Zautashvili, M.; Burjanadze, M. Nanomodified natural zeolite as a fertilizer of prolonged activity. Ann. Agrar. Sci. 2016, 14, 163–168. [Google Scholar] [CrossRef]
- Aboelsoud, H.; Engel, B.; Gad, K. Effect of Planting Methods and Gypsum Application on Yield and Water Productivity of Wheat under Salinity Conditions in North Nile Delta. Agronomy 2020, 10, 853. [Google Scholar] [CrossRef]
- Zhang, J.; Sun, J.; Duan, A.; Wang, J.; Shen, X.; Liu, X. Effects of different planting patterns on water use and yield performance of winter wheat in the Huang-Huai-Hai plain of China. Agric. Water Manag. 2007, 92, 41–47. [Google Scholar] [CrossRef]
- Li, Q.; Chen, Y.; Liu, M.; Zhou, X.; Yu, S.; Dong, B. Effects of irrigation and planting patterns on radiation use efficiency and yield of winter wheat in North China. Agric. Water Manag. 2008, 95, 469–476. [Google Scholar] [CrossRef]
- Rattalino Edreira, J.I.; Andrade, J.F.; Cassman, K.G.; van Ittersum, M.K.; van Loon, M.P.; Grassini, P. Spatial frameworks for robust estimation of yield gaps. Nat. Food 2021, 2, 773–779. [Google Scholar] [CrossRef]
- Seleiman, M.F.; Kheir, A.M.S. Saline soil properties, quality and productivity of wheat grown with bagasse ash and thiourea in different climatic zones. Chemosphere 2018, 193, 538–546. [Google Scholar] [CrossRef] [PubMed]
- Asseng, S.; Kheir, A.M.S.; Kassie, B.T.; Hoogenboom, G.; Abdelaal, A.I.N.; Haman, D.Z.; Ruane, A.C. Can Egypt become self-sufficient in wheat? Environ. Res. Lett. 2018, 13, 094012. [Google Scholar] [CrossRef]
- Seleiman, M.F.; Kheir, A.M.S.; Al-Dhumri, S.; Alghamdi, A.G.; Omar, E.-S.H.; Aboelsoud, H.M.; Abdella, K.A.; Abou El Hassan, W.H. Exploring Optimal Tillage Improved Soil Characteristics and Productivity of Wheat Irrigated with Different Water Qualities. Agronomy 2019, 9, 233. [Google Scholar] [CrossRef]
- Page, A.L.; Miller, R.H.; Keeney, D.R. Methods of soil analysis. In Soil Science Society of America; American Society of Agronomy: Madison, WI, USA, 1982; ISBN 0891180729. [Google Scholar]
- Campbell, D.J. Determination and use of soil bulk density in relation to soil compaction. In Developments in Agricultural Engineering; Elsevier: Amsterdam, The Netherlands, 1994; Volume 11, pp. 113–139. ISBN 0167-4137. [Google Scholar]
- Gregory, J.H.; Dukes, M.D.; Miller, G.L.; Jones, P.H. Analysis of double-ring infiltration techniques and development of a simple automatic water delivery system. Appl. Turfgrass Sci. 2005, 2, 1–7. [Google Scholar] [CrossRef]
- Klute, A.; Page, A.L. Methods of Soil Analysis. Part 1. Physical and Mineralogical Methods; Part 2. Chemical and Microbiological Properties; American Society of Agronomy: Madison, WI, USA, 1986; ISBN 0891180729. [Google Scholar]
- Bhattacharyya, T.; Chandran, P.; Ray, S.K.; Mandal, C.; Tiwary, P.; Pal, D.K.; Maurya, U.K.; Nimkar, A.M.; Kuchankar, H.; Sheikh, S.; et al. Walkley-Black Recovery Factor to Reassess Soil Organic Matter: Indo-Gangetic Plains and Black Soil Region of India Case Studies. Commun. Soil Sci. Plant Anal. 2015, 46, 2628–2648. [Google Scholar] [CrossRef]
- Şenlikci, A.; Doğu, M.; Eren, E.; Çetinkaya, E.; Karadağ, S. Pressure calcimeter as a simple method for measuring the CaCO3 content of soil and comparison with Scheibler calcimeter. Soil-Water J. 2015, 1, 24–28. [Google Scholar] [CrossRef]
- Matsumoto, S.; Ae, N.; Yamagata, M. The status and origin of available nitrogen in soils. Soil Sci. Plant Nutr. 2000, 46, 139–149. [Google Scholar] [CrossRef][Green Version]
- Tian, H.; Qiao, J.; Zhu, Y.; Jia, X.; Shao, M.a. Vertical distribution of soil available phosphorus and soil available potassium in the critical zone on the Loess Plateau, China. Sci. Rep. 2021, 11, 3159. [Google Scholar] [CrossRef]
- Snedecor, G.W.; Cochran, W.G. Statistical Methods, 7th ed.; Iowa State University Press: Ames, IA, USA, 1980. [Google Scholar]
- Letey, J.; Hoffman, G.J.; Hopmans, J.W.; Grattan, S.R.; Suarez, D.; Corwin, D.L.; Oster, J.D.; Wu, L.; Amrhein, C. Evaluation of soil salinity leaching requirement guidelines. Agric. Water Manag. 2011, 98, 502–506. [Google Scholar] [CrossRef]
- Hillel, D. Salinity|Management. In Encyclopedia of Soils in the Environment; Hillel, D., Ed.; Elsevier: Amsterdam, The Netherlands, 2005; pp. 435–442. [Google Scholar]
- Baghbani-Arani, A.; Modarres-Sanavy, S.A.M.; Poureisa, M. Improvement the Soil Physicochemical Properties and Fenugreek Growth Using Zeolite and Vermicompost under Water Deficit Conditions. J. Soil Sci. Plant Nutr. 2021, 21, 1213–1228. [Google Scholar] [CrossRef]
- Ibrahim, M.M.; Mahmoud, E.K.; Ibrahim, D.A. Effects of vermicompost and water treatment residuals on soil physical properties and wheat yield. Int. Agrophys. 2015, 29, 157–164. [Google Scholar] [CrossRef]
- Ding, Z.; Ali, E.F.; Elmahdy, A.M.; Ragab, K.E.; Seleiman, M.F.; Kheir, A.M.S. Modeling the combined impacts of deficit irrigation, rising temperature and compost application on wheat yield and water productivity. Agric. Water Manag. 2021, 244, 106626. [Google Scholar] [CrossRef]
- Yao, R.; Li, H.; Yang, J.; Yin, C.; Wang, X.; Xie, W.; Zhang, X. Interactive Effects of Amendment Materials and Soil Salinity on Net Rates of Urea Hydrolysis and Nitrification in Salt-Affected Soil. J. Soil Sci. Plant Nutr. 2021. [Google Scholar] [CrossRef]
- García-Carmona, M.; Marín, C.; García-Orenes, F.; Rojas, C. Contrasting Organic Amendments Induce Different Short-Term Responses in Soil Abiotic and Biotic Properties in a Fire-Affected Native Mediterranean Forest in Chile. J. Soil Sci. Plant Nutr. 2021, 21, 2105–2114. [Google Scholar] [CrossRef]
- Zahra, M.B.; Fayyaz, B.; Aftab, Z.-E.H.; Haider, M.S. Mitigation of Degraded Soils by Using Biochar and Compost: A Systematic Review. J. Soil Sci. Plant Nutr. 2021, 21, 2718–2738. [Google Scholar] [CrossRef]
- Zhang, W.; Zhao, Y.; Wang, S.; Li, Y.; Liu, J.; Zhuo, Y.; Zhang, W. Combined Application of Flue Gas Desulfurization Gypsum and Straw Pellets to Ameliorate Sodicity, Nutrient Content, and Aggregate Stability of Sodic Soil. J. Soil Sci. Plant Nutr. 2021, 21, 1806–1816. [Google Scholar] [CrossRef]




| Soil Depth (cm) | pH | CaCO3(%) | EC (dS m−1) | ESP | Available Macro Nutrients (mg kg−1) | ||
|---|---|---|---|---|---|---|---|
| N | P | K | |||||
| 0–20 | 8.27 ± 0.1 | 3.12 ± 0.2 | 6.13 ± 0.4 | 17.05 ± 0.7 | 31.95 ± 2.5 | 8.75 ± 0.2 | 265 ± 9.5 |
| 20–40 | 8.65 ± 0.1 | 2.56 ± 0.1 | 7.35 ± 0.5 | 18.87 ± 0.8 | 27.18 ± 2.8 | 8.26 ± 0.4 | 228 ± 8.7 |
| 40–60 | 8.75 ± 0.2 | 2.18 ± 0.3 | 9.85 ± 0.6 | 21.36 ± 1.1 | 23.36 ± 3.1 | 7.56 ± 0.1 | 196 ± 10 |
| OM (%) | CEC (C mol kg−1) | FC (%) | PWP (%) | BD (Mg m−3) | AI | MWD (mm) | |
| 0–20 | 1.36 ± 0.01 | 38.93 ± 0.2 | 43.81 ± 0.2 | 22.39 ± 0.1 | 1.32 ± 0.01 | 0.24 ± 0.01 | 0.32 ± 0.01 |
| 20–40 | 1.24 ± 0.02 | 37.28 ± 0.1 | 40.68 ± 0.1 | 20.65 ± 0.2 | 1.37 ± 0.03 | 0.28 ± 0.02 | 0.29 ± 0.01 |
| 40–60 | 1.09 ± 0.03 | 36.81 ± 0.3 | 38.98 ± 0.3 | 19.75 ± 0.3 | 1.43 ± 0.05 | 0.25 ± 0.01 | 0.25 ± 0.02 |
| Sand (%) | Silt (%) | Clay (%) | Texture class | PR (N cm−2) | HC (cm d−1) | ||
| 0–20 | 12.0 ± 0.2 | 33.9 ± 0.9 | 54.1 ± 1.1 | Clay | 275 ± 8.5 | 2.7 ± 0.2 | |
| 20–40 | 11.9 ± 0.3 | 34.4 ± 1.1 | 53.7 ± 1.3 | Clay | 282 ± 12.3 | 2.5 ± 0.1 | |
| 40–60 | 20.5 ± 0.1 | 34.3 ± 0.8 | 54.2 ± 1.2 | Clay | 289 ± 13.5 | 2.1 ± 0.1 | |
| Treatments | 1000-GW (g) | Straw Yield (Mg/ha) | Grain Yield (Mg/ha) | Biological Yield (Mg/ha) | Harvest Index |
|---|---|---|---|---|---|
| Leaching Requirements (I) | |||||
| L1 | 59.19 b | 3.450 b | 5.129 b | 8.756 b | 58.67 a |
| L2 | 63.95 a | 3.928 a | 5.407 a | 9.336 a | 58.04 b |
| F-test | ** | ** | ** | ** | ** |
| LSD0.05 | 0.184 | 0.0013 | 0.002 | 0.005 | 0.004 |
| LSD0.01 | 0.426 | 0.0032 | 0.007 | 0.009 | 0.009 |
| Planting methods (M) | |||||
| M1 | 63.63 a | 4.115 a | 5.430 a | 9.547 a | 56.91 b |
| M2 | 59.51 b | 3.440 b | 5.106 b | 8.547 b | 59.79 a |
| F-test | ** | ** | ** | ** | ** |
| LSD0.05 | 0.076 | 0.0012 | 0.002 | 0.005 | 0.014 |
| LSD0.01 | 0.126 | 0.0018 | 0.004 | 0.007 | 0.023 |
| Amendments (A) | |||||
| CK | 56.94 d | 3.261 d | 4.666 d | 7.928 d | 57.79 d |
| C | 60.58 c | 3.590 c | 5.062 c | 8.652 c | 58.10 c |
| Z | 62.87 b | 3.974 b | 5.416 b | 9.390 b | 58.57 b |
| C + Z | 65.89 a | 4.287 a | 5.929 a | 10.22 a | 58.96 a |
| F-test | ** | ** | ** | ** | ** |
| LSD0.05 | 0.043 | 0.013 | 0.002 | 0.0032 | 0.013 |
| LSD0.01 | 0.058 | 0.018 | 0.005 | 0.0043 | 0.018 |
| Interaction | |||||
| L×M | ns | ** | ** | ** | ** |
| L×A | ** | ** | ** | ** | ** |
| M×A | ** | ** | ** | ** | ** |
| L×M×A | ** | ** | ** | ** | ** |
| Treatments | 100-GW (g) | SY (Mg/ha) | GY (Mg/ha) | BY (Mg/ha) | Harvest Index |
|---|---|---|---|---|---|
| Leaching Requirements (I) | |||||
| L1 | 34.31 b | 7.222 b | 6.734 b | 13.956 b | 48.18 a |
| L2 | 35.08 a | 7.698 a | 7.183 a | 14.883 a | 48.24 a |
| F-test | ** | ** | ** | ** | ns |
| LSD0.05 | 0.047 | 0.005 | 0.050 | 0.025 | 0.35 |
| LSD0.01 | 0.011 | 0.012 | 0.117 | 0.057 | 0.80 |
| Planting methods (M) | |||||
| M1 | 34.88 a | 7.629 a | 7.084 a | 14.713 a | 48.29 a |
| M2 | 39.51 b | 7.291 b | 6.831 b | 14.124 b | 48.12 b |
| F-test | ** | ** | ** | ** | ** |
| LSD0.05 | 0.037 | 0.032 | 0.009 | 0.034 | 0.09 |
| LSD0.01 | 0.06 | 0.055 | 0.016 | 0.059 | 0.15 |
| Amendments (A) | |||||
| CK | 33.57 d | 5.382 d | 4.940 d | 10.322 d | 47.85 c |
| C | 35.09 b | 7.100 c | 6.509 c | 13.611 c | 47.86 c |
| Z | 34.18 c | 8.420 b | 7.987 b | 16.410 b | 48.45 b |
| C + Z | 36.03 a | 8.937 a | 8.395 a | 17.335 a | 48.68 a |
| F-test | ** | ** | ** | ** | ** |
| LSD0.05 | 0.038 | 0.027 | 0.013 | 0.029 | 0.105 |
| LSD0.01 | 0.05 | 0.039 | 0.018 | 0.041 | 0.143 |
| Interaction | |||||
| L×M | ** | ns | * | ** | * |
| L×A | ** | ** | ** | ** | ** |
| M×A | ** | ** | ** | ** | ** |
| L×M×A | ** | ** | ** | ** | ** |
Publisher’s Note: MDPI stays neutral with regard to jurisdictional claims in published maps and institutional affiliations. |
© 2021 by the authors. Licensee MDPI, Basel, Switzerland. This article is an open access article distributed under the terms and conditions of the Creative Commons Attribution (CC BY) license (https://creativecommons.org/licenses/by/4.0/).
Share and Cite
Aiad, M.A.; Amer, M.M.; Khalifa, T.H.H.; Shabana, M.M.A.; Zoghdan, M.G.; Shaker, E.M.; Eid, M.S.M.; Ammar, K.A.; Al-Dhumri, S.A.; Kheir, A.M.S. Combined Application of Compost, Zeolite and a Raised Bed Planting Method Alleviate Salinity Stress and Improve Cereal Crop Productivity in Arid Regions. Agronomy 2021, 11, 2495. https://doi.org/10.3390/agronomy11122495
Aiad MA, Amer MM, Khalifa THH, Shabana MMA, Zoghdan MG, Shaker EM, Eid MSM, Ammar KA, Al-Dhumri SA, Kheir AMS. Combined Application of Compost, Zeolite and a Raised Bed Planting Method Alleviate Salinity Stress and Improve Cereal Crop Productivity in Arid Regions. Agronomy. 2021; 11(12):2495. https://doi.org/10.3390/agronomy11122495
Chicago/Turabian StyleAiad, Mahmoud A., Megahed M. Amer, Tamer H. H. Khalifa, Mahmoud M. A. Shabana, Medhat G. Zoghdan, Eman M. Shaker, Mona S. M. Eid, Khalil A. Ammar, Sami A. Al-Dhumri, and Ahmed M. S. Kheir. 2021. "Combined Application of Compost, Zeolite and a Raised Bed Planting Method Alleviate Salinity Stress and Improve Cereal Crop Productivity in Arid Regions" Agronomy 11, no. 12: 2495. https://doi.org/10.3390/agronomy11122495
APA StyleAiad, M. A., Amer, M. M., Khalifa, T. H. H., Shabana, M. M. A., Zoghdan, M. G., Shaker, E. M., Eid, M. S. M., Ammar, K. A., Al-Dhumri, S. A., & Kheir, A. M. S. (2021). Combined Application of Compost, Zeolite and a Raised Bed Planting Method Alleviate Salinity Stress and Improve Cereal Crop Productivity in Arid Regions. Agronomy, 11(12), 2495. https://doi.org/10.3390/agronomy11122495

