Soil Texture Alters the Impact of Salinity on Carbon Mineralization
Abstract
1. Introduction
2. Materials and Methods
2.1. Experimental Design
2.2. Carbon Mineralization Measurements
2.3. Measurement of Dissolved Organic Carbon (DOC) Contents
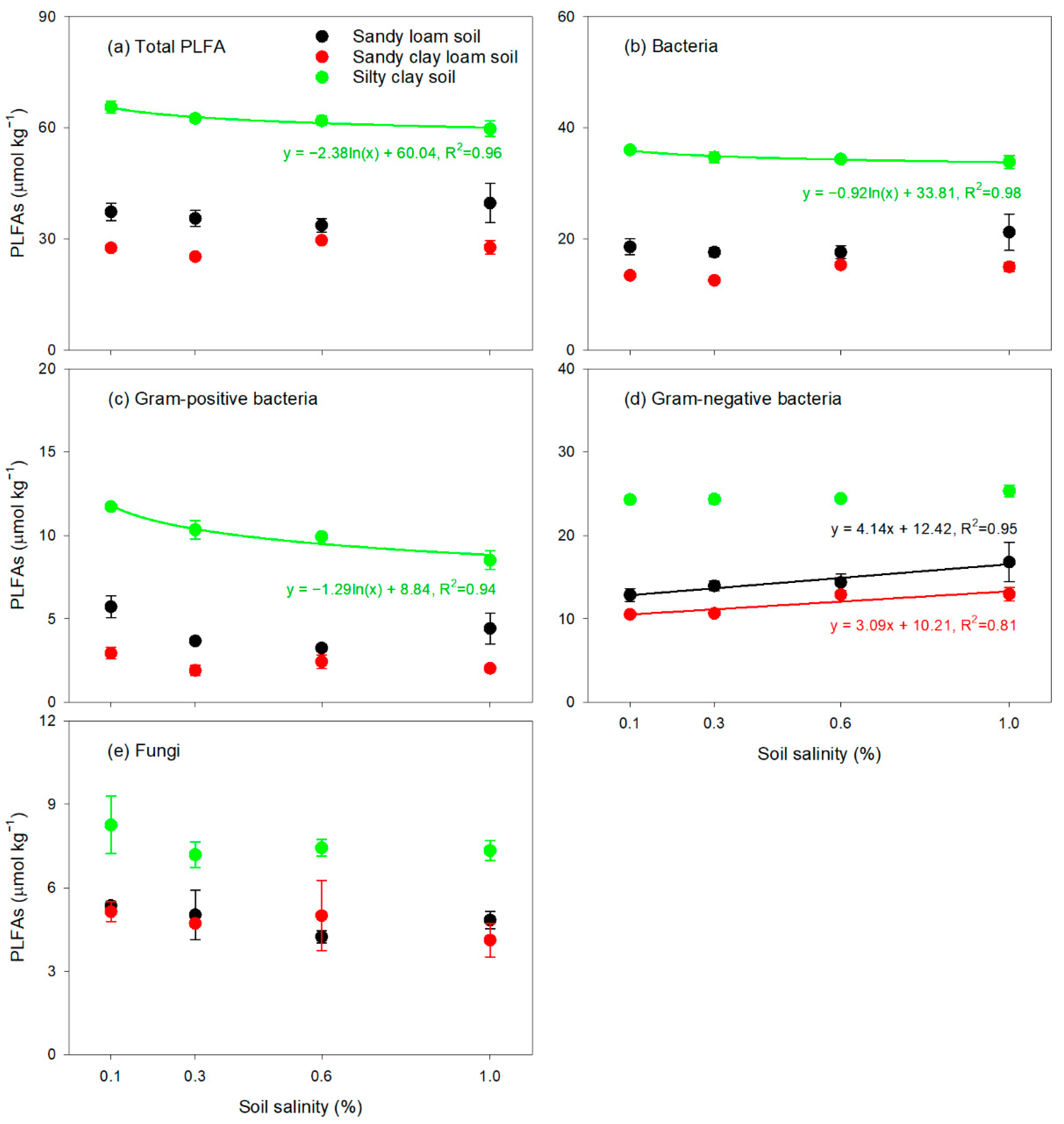
2.4. Analysis of Phospholipid Fatty Acids (PLFAs) and the Microbial Metabolic Quotient (qCO2)
2.5. Data Analysis
3. Results
3.1. Soil CO2 Emissions
3.2. Soil DOC Contents
3.3. Soil Microbial Biomass, Metabolic Quotient and Community Structure
4. Discussion
5. Conclusions
Author Contributions
Funding
Institutional Review Board Statement
Informed Consent Statement
Data Availability Statement
Conflicts of Interest
References
- Zhang, Y.; Zhao, W.; Fu, L. Soil macropore characteristics following conversion of native desert soils to irrigated croplands in a desert-oasis ecotone, Northwest China. Soil Tillage Res. 2017, 168, 176–186. [Google Scholar] [CrossRef]
 - Xu, X.; Shi, Z.; Li, D.; Rey, A.; Ruan, H.; Craine, J.M.; Liang, J.; Zhou, J.; Luo, Y. Soil properties control decomposition of soil organic carbon: Results from data-assimilation analysis. Geoderma 2016, 262, 235–242. [Google Scholar] [CrossRef]
 - Chen, W.; Hou, Z.; Wu, L.; Liang, Y.; Wei, C. Evaluating salinity distribution in soil irrigated with saline water in arid regions of northwest China. Agric. Water Manag. 2010, 97, 2001–2008. [Google Scholar] [CrossRef]
 - Zhao, X.; Othmanli, H.; Schiller, T.; Zhao, C.; Sheng, Y.; Zia, S.; Mueller, J.; Stahr, K. Water use efficiency in saline soils under cotton cultivation in the Tarim River Basin. Water 2015, 7, 3103–3122. [Google Scholar] [CrossRef]
 - Rath, K.M.; Rousk, J. Salt effects on the soil microbial decomposer community and their role in organic carbon cycling: A review. Soil Biol. Biochem. 2015, 81, 108–123. [Google Scholar] [CrossRef]
 - Setia, R.; Marschner, P.; Baldock, J.; Chittleborough, D.; Smith, P.; Smith, J. Salinity effects on carbon mineralization in soils of varying texture. Soil Biol. Biochem. 2011, 43, 1908–1916. [Google Scholar] [CrossRef]
 - Setia, R.; Marschner, P.; Baldock, J.; Chittleborough, D.; Verma, V. Relationships between carbon dioxide emission and soil properties in salt-affected landscapes. Soil Biol. Biochem. 2011, 43, 667–674. [Google Scholar] [CrossRef]
 - Boer, W.; Folman, L.B.; Summerbell, R.C.; Boddy, L. Living in a fungal world: Impact of fungi on soil bacterial niche development. FEMS Microbiol. Rev. 2005, 29, 795–811. [Google Scholar] [CrossRef]
 - Zhou, W.P.; Shen, W.J.; Li, Y.E.; Hui, D.F. Interactive effects of temperature and moisture on composition of the soil microbial community. Eur. J. Soil Sci. 2017, 68, 909–918. [Google Scholar] [CrossRef]
 - Rath, K.M.; Maheshwari, A.; Rousk, J. The impact of salinity on the microbial response to drying and rewetting in soil. Soil Biol. Biochem. 2017, 108, 17–26. [Google Scholar] [CrossRef]
 - Yu, Y.; Zhao, C.; Zheng, N.; Jia, H.; Yao, H. Interactive effects of soil texture and salinity on nitrous oxide emissions following crop residue amendment. Geoderma 2019, 337, 1146–1154. [Google Scholar] [CrossRef]
 - Jilili, A.; Ayiguli, M.; Tang, Y. Soil salinization in the manas river basin in spring. AZRC 2013, 30, 189–195. [Google Scholar] [CrossRef]
 - Marks, B.M.; Chambers, L.; White, J.R. Effect of fluctuating salinity on potential denitrification in coastal wetland soil and sediments. Soil Sci. Soc. Am. J. 2016, 80, 516–526. [Google Scholar] [CrossRef]
 - Bligh, E.; Dyer, W. A rapid method of total lipid extraction and purification. Can. J. Biochem. Physiol. 1959, 378, 911–917. [Google Scholar] [CrossRef] [PubMed]
 - Frostegard, A.; Tunlid, A.; Baath, E. Phospholipid fatty acid composition, biomass, and activity of microbial communities from two soil types experimentally exposed to different heavy metals. Appl. Environ. Microbiol. 1993, 59, 3605–3617. [Google Scholar] [CrossRef]
 - Yao, H.; Chapman, S.J.; Thornton, B.; Paterson, E. 13C PLFAs: A key to open the soil microbial black box? Plant. Soil 2014, 392, 3–15. [Google Scholar] [CrossRef]
 - Wang, J.; Chapman, S.J.; Yao, H. Incorporation of 13C-labelled rice rhizodeposition into soil microbial communities under different fertilizer applications. Appl. Soil Ecol. 2016, 101, 11–19. [Google Scholar] [CrossRef]
 - Zhang, Y.; Zheng, N.; Wang, J.; Yao, H.; Qiu, Q.; Chapman, S.J. High turnover rate of free phospholipids in soil confirms the classic hypothesis of PLFA methodology. Soil Biol. Biochem. 2019, 135, 323–330. [Google Scholar] [CrossRef]
 - Frostegard, A.; Tunlid, A.; Baath, E. Use and misuse of PLFA measurements in soils. Soil Biol. Biochem. 2011, 43, 1621–1625. [Google Scholar] [CrossRef]
 - Bonde, T.A.; Rosswall, T. Seasonal-variation of potentially mineralizable nitrogen in 4 cropping systems. Soil Sci. Soc. Am. J. 1987, 51, 1508–1514. [Google Scholar] [CrossRef]
 - Carrillo, Y.; Pendall, E.; Dijkstra, F.A.; Morgan, J.A.; Newcomb, J.M. Response of soil organic matter pools to elevated CO2 and warming in a semi-arid grassland. Plant. Soil 2011, 347, 339–350. [Google Scholar] [CrossRef]
 - Burnham, K.P.; Anderson, D.R. Multimodel inference: Understanding AIC and BIC in model selection. Sociol. Methods Res. 2004, 33, 261–304. [Google Scholar] [CrossRef]
 - Nearing, M.A.; Deer-Ascough, L.M.; Laflen, J. Sensitivity analysis of the WEEP hillslope profile erosion model. Trans. ASABE 1990, 33, 839–849. [Google Scholar] [CrossRef]
 - Willers, C.; van Rensburg, P.J.J.; Claassens, S. Phospholipid fatty acid profiling of microbial communities–a review of interpretations and recent applications. J. Appl. Microbiol. 2015, 119, 1207–1218. [Google Scholar] [CrossRef] [PubMed]
 - Hasbullah, H.; Marschner, P. Residue properties influence the impact of salinity on soil respiration. Biol. Fertil. Soils 2015, 51, 99–111. [Google Scholar] [CrossRef]
 - Li, Y.; Yang, J.; Yu, M.; Zhao, W.; Xiao, Y.; Zhou, D.; Zhan, C.; Yu, Y.; Zhang, J.; Lv, Z.; et al. Different effects of NaCl and Na2SO4 on the carbon mineralization of an estuarine wetland soil. Geoderma 2019, 344, 179–183. [Google Scholar] [CrossRef]
 - Setia, R.; Marschner, P.; Baldock, J.; Chittleborough, D. Is CO2 evolution in saline soils affected by an osmotic effect and calcium carbonate? Biol. Fertil. Soils 2010, 46, 781–792. [Google Scholar] [CrossRef]
 - Zhang, L.; Song, L.; Wang, B.; Shao, H.; Zhang, L.; Qin, X. Co-effects of salinity and moisture on CO2 and N2O emissions of laboratory-incubated salt-affected soils from different vegetation types. Geoderma 2018, 332, 109–120. [Google Scholar] [CrossRef]
 - Chowdhury, N.; Marschner, P.; Burns, R.G. Soil microbial activity and community composition: Impact of changes in matric and osmotic potential. Soil Biol. Biochem. 2011, 43, 1229–1236. [Google Scholar] [CrossRef]
 - Singh, K. Microbial and enzyme activities of saline and sodic soils. Land Degrad. Dev. 2016, 27, 706–718. [Google Scholar] [CrossRef]
 - Iqbal, M.T.; Joergensen, R.G.; Knoblauch, C.; Lucassen, R.; Singh, Y.; Watson, C.; Wichern, F. Rice straw addition does not substantially alter microbial properties under hypersaline soil conditions. Biol. Fertil. Soils 2016, 52, 867–877. [Google Scholar] [CrossRef]
 - Yuan, B.; Li, Z.; Liu, H.; Gao, M.; Zhang, Y. Microbial biomass and activity in salt affected soils under arid conditions. Appl. Soil Ecol. 2007, 35, 319–328. [Google Scholar] [CrossRef]
 - Yang, J.; Zhan, C.; Li, Y.; Zhou, D.; Yu, Y.; Yu, J. Effect of salinity on soil respiration in relation to dissolved organic carbon and microbial characteristics of a wetland in the Liaohe River estuary, Northeast China. Sci. Total Environ. 2018, 642, 946–953. [Google Scholar] [CrossRef] [PubMed]
 - Mavi, M.S.; Marschner, P.; Chittleborough, D.J.; Cox, J.W.; Sanderman, J. Salinity and sodicity affect soil respiration and dissolved organic matter dynamics differentially in soils varying in texture. Soil Biol. Biochem. 2012, 45, 8–13. [Google Scholar] [CrossRef]
 - Li, X.; Li, F.; Bhupinderpal, S.; Cui, Z.; Rengel, Z. Decomposition of maize straw in saline soil. Biol. Fertil. Soils 2006, 42, 366–370. [Google Scholar] [CrossRef]
 - Qu, W.; Li, J.; Han, G.; Wu, H.; Song, W.; Zhang, X. Effect of salinity on the decomposition of soil organic carbon in a tidal wetland. J. Soils Sediments 2019, 19, 609–617. [Google Scholar] [CrossRef]
 - Wichern, J.; Wichern, F.; Joergensen, R.G. Impact of salinity on soil microbial communities and the decomposition of maize in acidic soils. Geoderma 2006, 137, 100–108. [Google Scholar] [CrossRef]
 - Elmajdoub, B.; Marschner, P. Responses of soil microbial activity and biomass to salinity after repeated additions of plant residues. Pedosphere 2015, 25, 177–185. [Google Scholar] [CrossRef]
 







| Scheme | Longitude | Latitude | CEC | Salt | EC | SOC | TN | pH | Soil Texture (%) | ||
|---|---|---|---|---|---|---|---|---|---|---|---|
| (cmol kg−1) | (g kg−1) | (μs cm−1) | (g kg−1) | (g kg−1) | Clay | Silt | Sand | ||||
| SL | 86°8′19″ E | 44°59′48″ N | 10.8 | 0.93 | 2.3 | 5.88 | 0.66 | 8.04 | 6.0 | 41.3 | 52.7 | 
| SCL | 86°31′22″ E | 44°32′49″ N | 8.4 | 0.56 | 3.1 | 3.48 | 0.44 | 8.14 | 23.9 | 14.6 | 61.5 | 
| SC | 86°16′39″ E | 44°20′3″ N | 17.7 | 0.81 | 2.9 | 8.82 | 0.95 | 8.07 | 40.6 | 57.0 | 2.4 | 
| Microbial Communities | Biomarker PLFAs | 
|---|---|
| Gram-positive bacteria | i15:0, a15:0, i16:0, i17:0 and a17:0 | 
| Gram-negative bacteria | 16:1ω7c, 17:1ω8c, cy17:0, 18:1ω9c, 18:1ω7c and cy19:0 | 
| Fungi | 16:1ω5c and 18:2ω6c | 
| Actinomycete | 10Me16:0, 10Me17:1, 10Me18:0 and 10Me18:1 | 
| Other | 16:0 and 18:0 | 
| Factors | Cumulative CO2 Emission | Cumulative CO2 Emission per PLFAs | 
|---|---|---|
| Soil texture | *** | *** | 
| Salt | *** | *** | 
| Soil texture × salt | ** | *** | 
| Soils | Cumulative CO2 Emission | Cumulative CO2 Emission per PLFAs | 
|---|---|---|
| Sandy loam | −0.24 ± 0.01 b | −0.24 ± 0.02 b | 
| Sandy clay loam | −0.27 ± 0.05 b | −0.29 ± 0.04 b | 
| Silty clay | −0.18 ± 0.02 a | −0.12 ± 0.04 a | 
| Soils | Salt | Ra (mg C kg−1 day−1) | k (day−1) | Rs (mg C kg−1 day−1) | R2 | AIC | 
|---|---|---|---|---|---|---|
| Sandy loam | 0.1% | 80.89 ± 2.87 | 0.73 ± 0.07 | 14.94 ± 0.19 | 0.83 | 73.5 | 
| 0.3% | 74.72 ± 6.01 | 0.74 ± 0.09 | 13.06 ± 1.00 | 0.85 | 69.6 | |
| 0.6% | 84.70 ± 8.33 | 0.80 ± 0.10 | 11.20 ± 0.27 | 0.86 | 69.8 | |
| 1.0% | 91.15 ± 7.76 | 0.89 ± 0.09 | 9.57 ± 0.88 | 0.89 | 65.5 | |
| Sandy clay loam | 0.1% | 96.65 ± 11.90 | 0.62 ± 0.04 | 9.69 ± 0.36 | 0.97 | 54.1 | 
| 0.3% | 92.53 ± 8.84 | 0.68 ± 0.07 | 8.57 ± 0.23 | 0.95 | 59.1 | |
| 0.6% | 117.76 ± 17.15 | 0.82 ± 0.12 | 7.98 ± 0.10 | 0.95 | 61.2 | |
| 1.0% | 132.86 ± 23.99 | 0.93 ± 0.14 | 6.49 ± 0.36 | 0.97 | 52.3 | |
| Silty clay | 0.1% | 34.06 ± 2.25 | 0.22 ± 0.02 | 7.37 ± 0.30 | 0.92 | 56.5 | 
| 0.3% | 34.08 ± 9.22 | 0.35 ± 0.12 | 6.42 ± 0.50 | 0.91 | 52.9 | |
| 0.6% | 57.43 ± 11.03 | 0.87 ± 0.13 | 7.53 ± 0.35 | 0.88 | 53.9 | |
| 1.0% | 100.03 ± 5.52 | 1.23 ± 0.05 | 6.69 ± 0.18 | 0.98 | 37.5 | 
Publisher’s Note: MDPI stays neutral with regard to jurisdictional claims in published maps and institutional affiliations.  | 
© 2021 by the authors. Licensee MDPI, Basel, Switzerland. This article is an open access article distributed under the terms and conditions of the Creative Commons Attribution (CC BY) license (http://creativecommons.org/licenses/by/4.0/).
Share and Cite
She, R.; Yu, Y.; Ge, C.; Yao, H. Soil Texture Alters the Impact of Salinity on Carbon Mineralization. Agronomy 2021, 11, 128. https://doi.org/10.3390/agronomy11010128
She R, Yu Y, Ge C, Yao H. Soil Texture Alters the Impact of Salinity on Carbon Mineralization. Agronomy. 2021; 11(1):128. https://doi.org/10.3390/agronomy11010128
Chicago/Turabian StyleShe, Ruihuan, Yongxiang Yu, Chaorong Ge, and Huaiying Yao. 2021. "Soil Texture Alters the Impact of Salinity on Carbon Mineralization" Agronomy 11, no. 1: 128. https://doi.org/10.3390/agronomy11010128
APA StyleShe, R., Yu, Y., Ge, C., & Yao, H. (2021). Soil Texture Alters the Impact of Salinity on Carbon Mineralization. Agronomy, 11(1), 128. https://doi.org/10.3390/agronomy11010128
        