Selection of New Late-Season Mandarin Cultivars Based on Sensory Changes and Consumer Acceptance after Fruit Cold Storage
Abstract
1. Introduction
2. Materials and Methods
2.1. Vegetal Material and Storage Conditions
2.2. Physico-Chemical Parameters
2.2.1. External Parameters
2.2.2. Internal Parameters
2.3. Sensory Evaluation
2.3.1. The Free Choice Profile Test
2.3.2. Consumer Acceptance Test
2.4. Statistical Analysis
3. Results and Discussion
3.1. Physico-Chemical Parameters
3.2. Sensory Profile
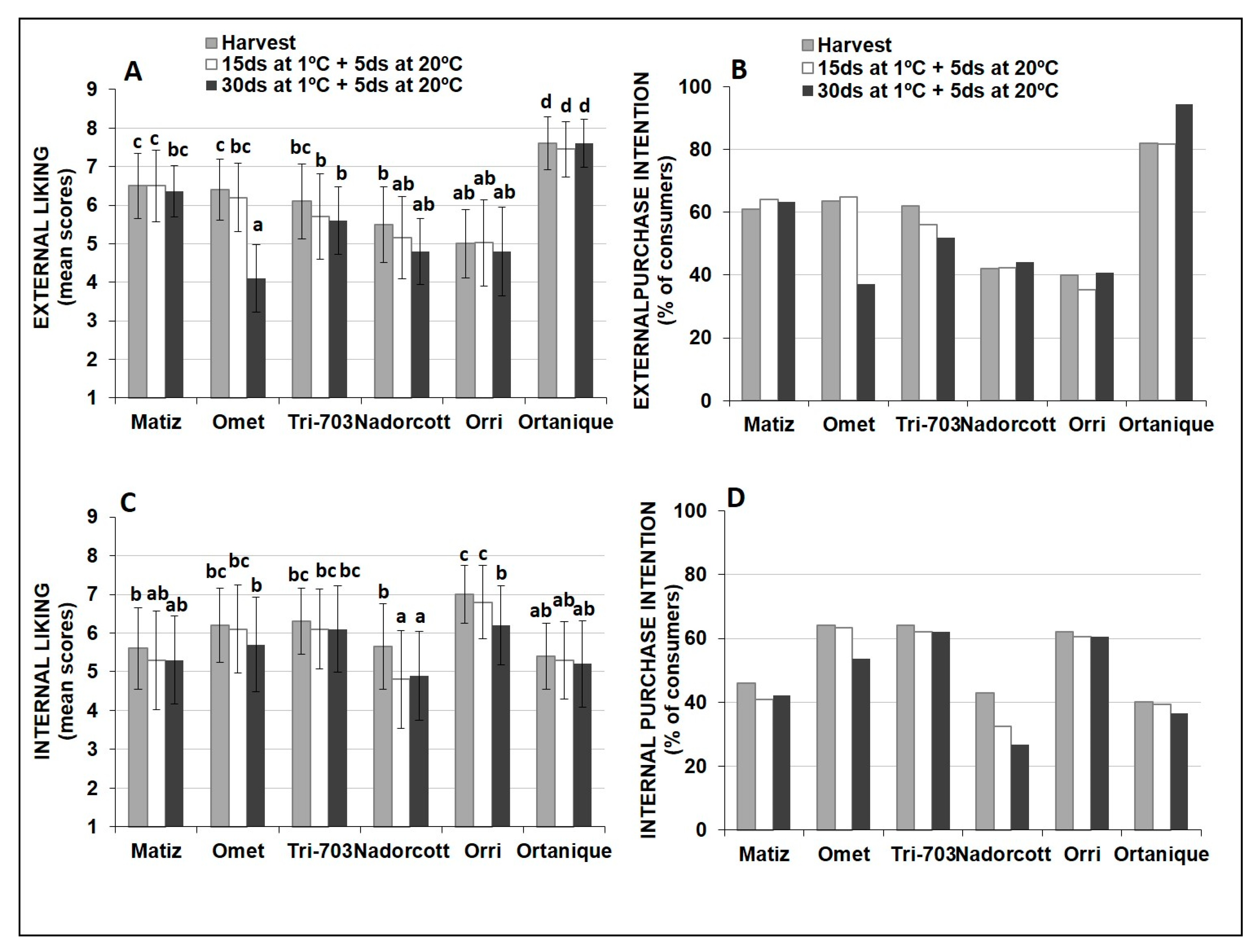
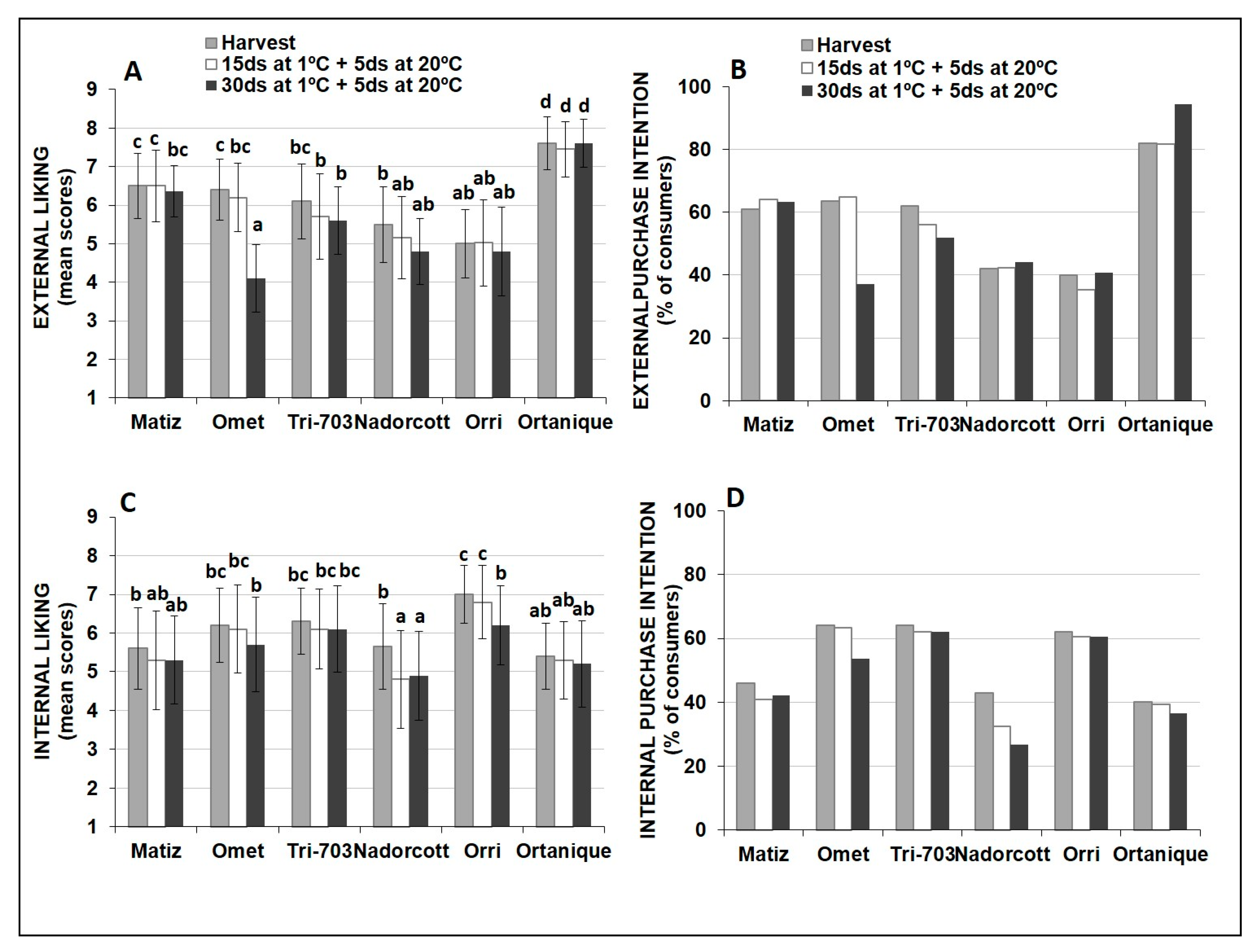
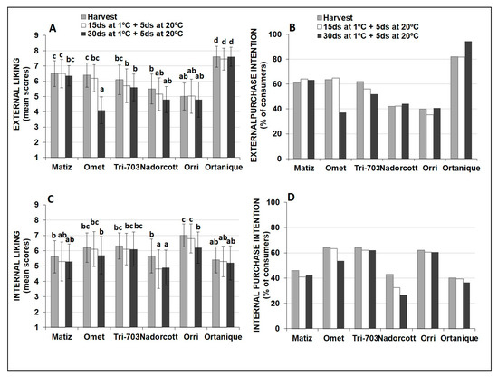
3.3. Consumer Acceptance and Purchase Intention
3.3.1. External Perception
3.3.2. Internal Perception
3.4. Relation between Physico-Chemical and Sensory Properties and Consumer Acceptance
4. Conclusions
Supplementary Materials
Author Contributions
Funding
Institutional Review Board Statement
Informed Consent Statement
Data Availability Statement
Acknowledgments
Conflicts of Interest
References
- Gao, Z.; House, L.; Gmitter, F.G., Jr.; Valim, M.F.; Plotto, A.; Baldwin, E.A. Consumer preferences for fresh citrus: Impacts of demographic and behavioral characteristics. Int. Food Agribus. Manag. 2011, 14, 23–40. [Google Scholar] [CrossRef]
- Navarro, L.; Aleza, P.; Cuenca, J.; Juárez, J.; Pina, J.A.; Ortega, C.; Navarro, A.; Ortega, V. The triploid mandarin breeding program in Spain. In Proceedings of the XII International Citrus Congress, Valencia, Spain, 18–23 November 2012. [Google Scholar]
- Tarancón, P.; Tárrega, A.; Aleza, P.; Besada, C. Consumer description by Check-All-That-Apply Questions (CATA) of the sensory profiles of commercial and new mandarins. Identification of preference patterns and drivers of liking. Foods 2020, 9, 468. [Google Scholar] [CrossRef] [PubMed]
- Sdiri, S.; Navarro, P.; Monterde, A.; Salvador, A.; Cuenca, J.; Aleza, P.; Ben Abda, J. Postharvest behavior of ‘garbi’ and ‘safor’—New triploid mandarins. Acta Hortic. 2012, 945, 255–262. [Google Scholar] [CrossRef]
- Kahramanoğlu, I.; Chen, C.; Chen, Y.; Chen, J.; Gan, Z.; Wan, C. Improving Storability of “Nanfeng” Mandarins by Treating with Postharvest Hot Water Dipping. J. Food Qual. 2020, 1–12. [Google Scholar] [CrossRef]
- Ennab, H.A.; El-Shemy, M.A.; Alam-Eldein, S.M. Salicylic Acid and Putrescine to Reduce Post-Harvest Storage Problems and Maintain Quality of Murcott Mandarin Fruit. Agronomy 2020, 10, 115. [Google Scholar] [CrossRef]
- Morales, J.; Tárrega, A.; Salvador, A.; Navarro, P.; Besada, C. Impact of ethylene degreening treatment on sensory properties and consumer response to citrus fruits. Food Res. Int. 2020, 127, 108–641. [Google Scholar] [CrossRef]
- Kishore, K.; Pathak, K.A.; Shukla, R.; Bharali, R. Effect of storage temperature on physico-chemical and sensory attributes of purple passion fruit (Passiflora edulis Sims). J. Food Sci. Technol. 2011, 48, 484–488. [Google Scholar] [CrossRef]
- Gunness, P.; Kravchuk, O.; Nottingham, S.M.; D’Arcy, B.R.; Gidley, M.J. Sensory analysis of individual strawberry fruit and comparison with instrumental analysis. Postharvest Biol. Technol. 2009, 52, 164–172. [Google Scholar] [CrossRef]
- Guàrdia, M.D.; Aguiar, A.P.; Claret, A.; Arnau, J.; Guerrero, L. Sensory characterization of dry-cured ham using free-choice profiling. Food Qual. Pref. 2010, 21, 148–155. [Google Scholar] [CrossRef]
- Varela, P.; Ares, G. Sensory profiling, the blurred line between sensory and consumer science. A review of novel methods for product characterization. Food Res. Int. 2012, 48, 893–908. [Google Scholar] [CrossRef]
- Santos, D.A.M.D.; Lobo, J.D.S.T.; Araújo, L.M.; Deliza, R.; Marcellini, P.S. Free choice profiling, acceptance and purchase intention in the evaluation of different biscuit formulations. Ciência Agrotecnologia 2015, 39, 613–623. [Google Scholar] [CrossRef][Green Version]
- Jiménez, M.J.; Tárrega, A.; Fuentes, R.; Canet, W.; Álvarez, M.D. Consumer perceptions, descriptive profile, and mechanical properties of a novel product with chickpea flour: Effect of ingredients. Food Sci. Technol. Int. 2016, 22, 547–562. [Google Scholar] [CrossRef] [PubMed]
- Kitzberger, C.S.G.; da Silva, C.M.; dos Santos Scholz, M.B.; Ferreira, M.I.F.; Bauchrowitz, I.M.; Eilert, J.B.; dos Santos Neto, J. Physicochemical and sensory characteristics of plums accesses (Prunus salicina). AIMS AgriFood 2017, 2, 101–112. [Google Scholar] [CrossRef]
- Murray, J.M.; Delahunty, C.M.; Baxter, I.A. Descriptive sensory analysis: Past, present and future. Food Res. Int. 2001, 34, 461–471. [Google Scholar] [CrossRef]
- Tárrega, A.; Tarancón, P. Free Choice Profile combined with Repertory Grid Method. In Novel Techniques in Sensory Characterization and Consumer Profiling; Varela, P., Ares, G., Eds.; CRC Press: Boca Raton, FL, USA, 2014; Volume 1, pp. 137–157. [Google Scholar]
- Hampson, C.R.; Quamme, H.A.; Hall, J.W.; MacDonald, R.A.; King, M.C.; Cliff, M.A. Sensory evaluation as a selection tool in apple breeding. Euphytica 2000, 111, 79–90. [Google Scholar] [CrossRef]
- Jiménez-Cuesta, M.; Cuquerella, J.; Martinez-Javaga, J.M. Determination of a color index for citrus fruit degreening. In Proceedings of the International Society of Citriculture (International Citrus Congress), Tokyo, Japan, 9–12 November 1981; Matsumoto, K., Ed.; International Society of Citriculture: Shimizu, Japan, 1982; Volume 2, pp. 750–753. [Google Scholar]
- Wang, L.; Chen, S.; Kong, W.; Li, S.; Archbold, D.D. Salicylic acid pretreatment alleviates chilling injury and affects the antioxidant system and heat shock proteins of peaches during cold storage. Postharvest Biol. Technol. 2006, 41, 244–251. [Google Scholar] [CrossRef]
- Khademi, O.; Salvador, A.; Zamani, Z.; Besada, C. Effects of hot water treatments on antioxidant enzymatic system in reducing flesh browning of persimmon. Food Bioprocess Technol. 2013, 6, 3038–3046. [Google Scholar] [CrossRef]
- Gains, N. The repertory grid approach. In Measurement of Food Preferences; Macfie, H.J.H., Thomson, D.M.H., Eds.; Blackie Academic & Professional: Glasgow, UK, 1994; pp. 51–76. [Google Scholar]
- Lo’ay, A.A.; Dawood, H.D. Tolerance of ‘Baladi’mandarin fruits to cold storage by postharvest pectin/PVA blend with ascorbic acid treatment. Scientia Hortic. 2019, 256, 1–9. [Google Scholar] [CrossRef]
- Morales, J.; Bermejo, A.; Besada, C.; Navarro, P.; Gil, R.; Hernando, I.; Salvador, A. Physicochemical changes and chilling injury disorders in ‘Tango’ mandarins stored at low temperaturas. J. Sci. Food Agric. 2020, 100, 2750–2760. [Google Scholar] [CrossRef]
- Morales, J.; Tárrega, A.; Navarro, P.; Salvador, A.; Besada, C. La percepción de la calidad interna de mandarina está afectada por la coloración externa. Proccedings of the XII Simposio Nacional y X Ibérico de Maduración y Postcosecha, Valencia, Spain, 4–7 July 2018. [Google Scholar]
- UNECE STANDARD FFV-14 Citrus Fruit. 2017. Available online: https://www.unece.org/fileadmin/DAM/trade/agr/standard/standard/fresh/FFV-Std/English/14_CitrusFruit.pdf/ (accessed on 18 August 2019).
- Rapisarda, P.; Bianco, M.L.; Pannuzzo, P.; Timpanaro, N. Effect of cold storage on vitamin C, phenolics and antioxidant activity of five orange genotypes [Citrus sinensis (L.) Osbeck]. Postharvest Biol. Technol. 2008, 49, 348–354. [Google Scholar] [CrossRef]
- Obenland, D.; Collin, S.; Sievert, J.; Arpaia, M.L. Mandarin flavor and aroma volatile composition are strongly influenced by holding temperature. Postharvest Biol. Technol. 2013, 82, 6–14. [Google Scholar] [CrossRef]
- Ahmad, S.; Singh, Z.; Iqbal, Z. Tree and cold storage influence on incidence of albedo breakdown, textural properties of the rind and fruit quality in ‘Washington Navel’orange. Fruits 2016, 71, 131–139. [Google Scholar] [CrossRef]
- Miyazaki, T.; Plotto, A.; Baldwin, E.A.; Reyes-De-Corcuera, J.I.; Gmitter, F.G., Jr. Aroma characterization of tangerine hybrids by gas-chromatography–olfactometry and sensory evaluation. J. Sci. Food Agric. 2012, 92, 727–735. [Google Scholar] [CrossRef] [PubMed]
- Hagenmaier, R.D. Evaluation of a polyethylene–candelilla coating for ‘Valencia’ oranges. Postharvest Biol. Technol. 2000, 19, 147–154. [Google Scholar] [CrossRef]
- Henriod, R.E.; Gibberd, M.R.; Treeby, M.T. Storage temperature effects on moisture loss and the development of chilling injury in Lanes Late navel orange. Aust. J. Exp. Agric. 2005, 45, 453–458. [Google Scholar] [CrossRef]
- Goldenberg, L.; Yaniv, Y.; Porat, R.; Carmi, N. Mandarin fruit quality: A review. J. Sci. Food Agric. 2018, 98, 18–26. [Google Scholar] [CrossRef]
- Ladanyia, M. Citrus Fruit: Biology, Technology and Evaluation; Academic Press: San Diego, CA, USA, 2010; pp. 1–576. [Google Scholar]
- Péneau, S.; Hoehn, E.; Roth, H.R.; Escher, F.; Nuessli, J. Importance and consumer perception of freshness of apples. Food Qual. Prefer. 2006, 17, 9–19. [Google Scholar] [CrossRef]
- Baldwin, E.A.; Bai, J.; Plotto, A.; Ritenour, M.A. Citrus fruit quality assessment; producer and consumer perspectives. Stewart Postharvest Rev. 2014, 10, 1–7. [Google Scholar]
- Massaglia, S.; Borra, D.; Peano, C.; Sottile, F.; Merlino, V.M. Consumer preference heterogeneity evaluation in fruit and vegetable purchasing decisions using the best–worst approach. Foods 2019, 8, 266. [Google Scholar] [CrossRef]
- Hagenmaier, R.D. The flavor of mandarin hybrids with different coatings. Postharvest Biol. Technol. 2002, 24, 79–87. [Google Scholar] [CrossRef]



| Fruit Analysis | Sample Size (n° Fruit) | Harvest | 15 ds at 1 °C | 15 ds at 1 °C + SL | 30 ds at 1 °C | 30 ds at 1 °C + SL | |
|---|---|---|---|---|---|---|---|
| External parameters | Weight | 20 | x | ||||
| Diammeter | 20 | x | |||||
| Shape | 20 | x | |||||
| Skin Rugosity | 20 | x | |||||
| Rind Adhesion | 20 | x | |||||
| Colour Index | 20 | x | x | x | x | x | |
| Skin damage | 120 | x | x | x | x | ||
| Internal parameters | Firmness | 20 | x | x | x | x | x |
| Juice Yield | 4 × 5 * | x | x | x | x | x | |
| TSS | 4 × 5 * | x | x | x | x | x | |
| Acidity | 4 × 5 * | x | x | x | x | x | |
| Maturity Index | 4 × 5 * | x | x | x | x | x | |
| EtOH Conc. | 4 × 5 * | x | x | x | x | x | |
| Sensory Evaluation | Ext. Acceptance & Purchase I. | 20 | x | x | x | ||
| Int. Free Choice P. | >40 | x | x | x | |||
| Int. Acceptance & Purchase I. | 50 | x | x | x | |||
| Cultivars | Storage Time | Firmness (% Def) | TSS (°Brix) | Acidity (g ac. 100mL−1) | MI (TSS/Ac) | EtOH (mg. 100mL−1) | JY (% juice) | SDI |
|---|---|---|---|---|---|---|---|---|
| Ortanique | Harvest | 2.5 a A | 12.3 a A | 1.31 b C | 9.4 a A | 60.5 a D | 52.8 a A | __ |
| 15 ds 1 °C | 2.5 a | 12.2 a | 1.29 b | 9.5 a | 54.0 a | 51.7 a | 0.00 | |
| 30 ds 1 °C | 2.7 b | 12.4 a | 1.04 a | 12 b | 50.4 a | 52.0 a | 0.00 | |
| 15 ds 1 °C + SL | 3.0 b | 12.1 a | 1.24 b | 9.7 a | 148.7 c | 51.6 a | 0.00 | |
| 30 ds 1 °C + SL | 3.3 b | 11.7 a | 1.03 a | 11.4 b | 107.7 b | 49.8 a | 0.00 | |
| Orri | Harvest | 2.2 a A | 15.8 a C | 0.93 c A | 16.9 a D | 30.8 a B | 52.2 a A | __ |
| 15 ds 1 °C | 2.7 b | 15.5 a | 0.86 bc | 18.0 b | 24.1 a | 49.2 a | 0.00 | |
| 30 ds 1 °C | 2.9 b | 15.2 a | 0.79 b | 19.2 c | 15.5 a | 52.0 a | 0.00 | |
| 15 ds 1 °C + SL | 3.8 d | 15.6 a | 0.85 bc | 18.3 b | 149.2 b | 50.5 a | 0.00 | |
| 30 ds 1 °C + SL | 3.3 c | 15.2 a | 0.64 a | 23.7 d | 166.2 b | 49.8 a | 0.00 | |
| Nadorcott | Harvest | 5.4 ab D | 11.6 a A | 0.94 c A | 12.3 a B | 17.8 a A | 46.1 a A | __ |
| 15 ds 1 °C | 5.2 a | 13.6 b | 0.85 bc | 16.0 b | 30.7 a | 46.9 a | 0.09 | |
| 30 ds 1 °C | 5.8 b | 13.3 b | 0.68 a | 19.6 c | 25.9 a | 47.2 a | 0.09 | |
| 15 ds 1 °C + SL | 6.7 c | 13.6 b | 0.87 bc | 15.6 b | 171.8 b | 48.5 a | 0.10 | |
| 30 ds 1 °C + SL | 6.3 c | 14.0 b | 0.75 ab | 18.6 c | 195.8 b | 47.3 a | 0.15 | |
| Omet | Harvest | 2.3 a A | 15.8 a C | 1.60 b D | 9.9 a A | 58.4 a D | 51.9 ab A | __ |
| 15 ds 1 °C | 3.3 bc | 15.7 a | 1.54 b | 10.2 a | 56.4 a | 49.5 a | 0.00 | |
| 30 ds 1 °C | 3.5 bc | 16.0 b | 1.51 b | 10.6 ab | 50.2 a | 50.7 ab | 0.05 | |
| 15 ds 1 °C + SL | 3.3 b | 15.7 a | 1.41 a | 11.0 b | 189.1 b | 52.5 b | 0.10 | |
| 30 ds 1 °C + SL | 3.7 c | 16.0 b | 1.34 a | 12.0 c | 223.8 c | 50.5 ab | 0.39 | |
| Matiz | Harvest | 3.8 a C | 14.1 a B | 1.38 c C | 10.2 ab A | 57.4 a C. D | 49.7 a A | __ |
| 15 ds 1 °C | 5.4 b | 14.1 a | 1.42 c | 10.0 a | 52.2 a | 49.0 a | 0.00 | |
| 30 ds 1 °C | 5.4 b | 14.5 a | 1.33 bc | 10.9 bc | 52.4 a | 48.4 a | 0.00 | |
| 15 ds 1 °C + SL | 5.2 b | 14.2 a | 1.24 b | 11.5 c | 175.0 b | 50.1 a | 0.00 | |
| 30 ds 1 °C + SL | 5.6 b | 14.3 a | 1.04 a | 13.7 d | 164.4 b | 51.9 a | 0.00 | |
| Tri-703 | Harvest | 3.1 a B | 16.1 a C | 1.16 b B | 13.9 ab C | 45.8 a C | 51.1 a A | __ |
| 15 ds 1 °C | 4.7 c | 16.1 a | 1.17 b | 13.7 a | 32.4 a | 48.8 a | 0.00 | |
| 30 ds 1 °C | 3.8 b | 16.4 a | 1.14 b | 14.4 ab | 32.6 a | 44.9 a | 0.05 | |
| 15 ds 1 °C + SL | 4.4 c | 16.2 a | 1.06 ab | 15.3 bc | 160.9 c | 45.1 a | 0.00 | |
| 30 ds 1 °C + SL | 4.6 c | 16.1 a | 0.97 a | 16.6 c | 122.9 b | 48.6 a | 0.07 |
| Cultivars | Weight (g) | Diammeter (mm) | Shape | CI (1000a/Lb) | Adhesion of Rind to Pulp | Skin Rugosity |
|---|---|---|---|---|---|---|
| Ortanique | 139 | 64 | Oblate | 16.8 | Tight | Medium |
| Orri | 109 | 62 | Oblate, Flatenned | 12.8 | Medium | Smooth |
| Nadorcott | 81 | 61 | Oblate, Flatenned | 17.8 | Slight | Very smooth |
| Omet | 120 | 62 | Round | 23.7 | Medium-tight | Medium |
| Matiz | 106 | 62 | Round | 17.4 | Medium | Medium |
| Tri-703 | 147 | 69 | Oblate | 24.4 | Slight-medium | Medium-high |
Publisher’s Note: MDPI stays neutral with regard to jurisdictional claims in published maps and institutional affiliations. |
© 2021 by the authors. Licensee MDPI, Basel, Switzerland. This article is an open access article distributed under the terms and conditions of the Creative Commons Attribution (CC BY) license (http://creativecommons.org/licenses/by/4.0/).
Share and Cite
Tarancón, P.; Giménez-Sanchis, A.; Aleza, P.; Besada, C. Selection of New Late-Season Mandarin Cultivars Based on Sensory Changes and Consumer Acceptance after Fruit Cold Storage. Agronomy 2021, 11, 116. https://doi.org/10.3390/agronomy11010116
Tarancón P, Giménez-Sanchis A, Aleza P, Besada C. Selection of New Late-Season Mandarin Cultivars Based on Sensory Changes and Consumer Acceptance after Fruit Cold Storage. Agronomy. 2021; 11(1):116. https://doi.org/10.3390/agronomy11010116
Chicago/Turabian StyleTarancón, Paula, Adrián Giménez-Sanchis, Pablo Aleza, and Cristina Besada. 2021. "Selection of New Late-Season Mandarin Cultivars Based on Sensory Changes and Consumer Acceptance after Fruit Cold Storage" Agronomy 11, no. 1: 116. https://doi.org/10.3390/agronomy11010116
APA StyleTarancón, P., Giménez-Sanchis, A., Aleza, P., & Besada, C. (2021). Selection of New Late-Season Mandarin Cultivars Based on Sensory Changes and Consumer Acceptance after Fruit Cold Storage. Agronomy, 11(1), 116. https://doi.org/10.3390/agronomy11010116

