Clinoptilolite Zeolite on Tropical Peat Soils Nutrient, Growth, Fruit Quality, and Yield of Carica papaya L. cv. Sekaki
Abstract
1. Introduction
2. Materials and Methods
2.1. Experimental Site Description and Peat Soil Characteristics
2.2. Characterization of Clinoptilolite Zeolite
2.3. Plant Material and Papaya Cultivation on Peat Soils
2.4. Experimental Design and Treatments
2.5. Soil Sampling and Nutrients Determination
2.6. Crop Data Collection Procedures and Nutrient Analysis
2.7. Statistical Analysis
3. Results
3.1. Characteristics of Clinoptilolite Zeolite
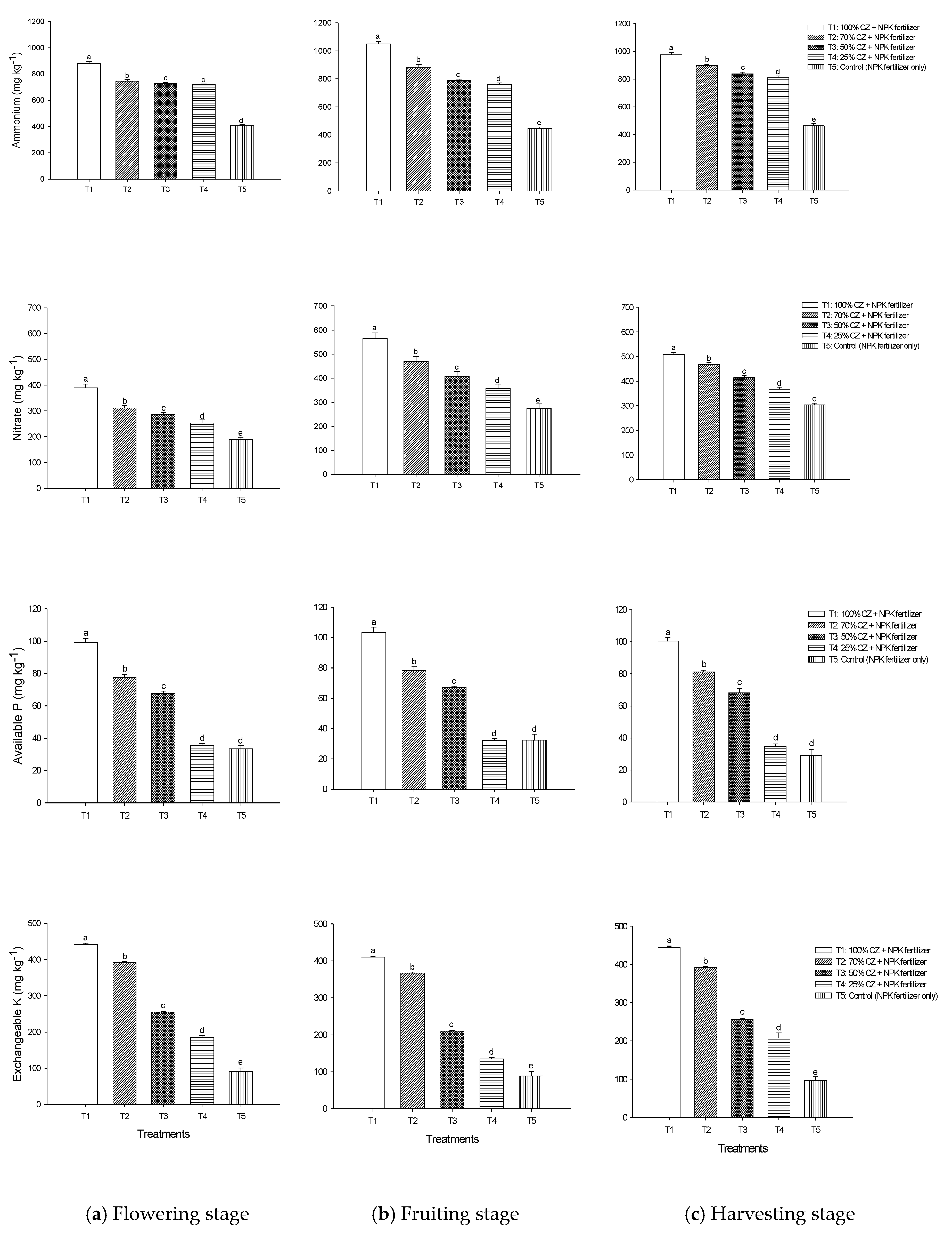
3.2. Ammonium, Nitrate, Phosphorus, and Potassium in Tropical Peat Soils Cultivated with Papaya
3.3. Growth, Fruit Quality, and Yield of Carica papaya cv. Sekaki
4. Discussion
4.1. Ammonium, Nitrate, Phosphorus, and Potassium in a Tropical Peat Soil Cultivated with Papaya
4.2. Growth, Fruit Quality, and Yield of Carica papaya cv. Sekaki
5. Conclusions
Author Contributions
Funding
Acknowledgments
Conflicts of Interest
References
- Hoojier, A.; Page, S.; Canadell, J.G.; Silvius, M.; Kwadijk, J.; Wösten, H.; Jauhiainen, J. Current and future CO2 emissions from drained peatlands in Southeast Asia. Biogeoscience 2010, 7, 1505–1514. [Google Scholar] [CrossRef]
- Ismail, A.B.; Jamaludin, J. Land clearing techniques employed at MARDI Peat Research Station, Sessang, Sarawak and their immediate impacts. In A Case Study at MARDI Peat Research Station, Sessang, Sarawak, Malaysia; Ismail, A.B., Ong, H.K., Mohamad Hanif, M.J., Umi Kalsom, M.S., Eds.; MARDI: Serdang, Malaysia, 2007; pp. 1–8. [Google Scholar]
- Leng, L.Y.; Ahmed, O.H.; Jalloh, M.B. Brief review on climate change and tropical peatlands. Geosci. Front. 2019, 10, 373–380. [Google Scholar] [CrossRef]
- Bakar, I.A. Strategies for Mitigation of Carbon Emission in Peatland; MARDI Press: Serdang, Malaysia, 2010; pp. 1–35. [Google Scholar]
- Dolmat, M.T. Technology for Planting Oil Palm on Peat; Malaysian Palm Oil Board: Selangor, Malaysia, 2005; pp. 1–76.
- Kang, S.; Post, W.F.; Nichols, J.A.; Wang, D.; West, T.O.; Bandaru, V.; Izaurralde, R. Marginal lands: Concept, assessment and management. J. Agric. Sci. 2013, 5, 129–139. [Google Scholar] [CrossRef]
- Hajon, S.K.; Mos, H.; Jantan, N.; Haniff, M.H. Classification of tropical peat in Malaysia. Oil Palm Bull. 2018, 76, 1–7. [Google Scholar]
- Couwenberg, J. Greenhouse gas emissions from managed peat soils: Is the IPCC reporting guidance realistic? Mires Peat 2011, 8, 1–10. Available online: http://www.mires-and-peat.net/pages/volumes/map08/map0802.php (accessed on 31 August 2014).
- Farmer, J.; Matthews, R.; Smith, J.U.; Smith, P.; Singh, B.K. Assessing existing peatland models for their applicability for modelling greenhouse gas eemissions from tropical peat soils. Curr. Opin. Environ. Sustain. 2011, 3, 339–349. [Google Scholar] [CrossRef]
- Huat, B.B.K. State of an art review of peat: General perspective. Int. J. Phys. Sci. 2011, 6, 1988–1996. [Google Scholar]
- DOA. Main information of papaya planted area and production. In Crop Statistics Booklet (Food Crop Sub-Sector); Department of Agriculture Malaysia, Ministry of Agriculture and Agro-based Industry: Putrajaya, Malaysia, 2018; p. 47. [Google Scholar]
- Joosten, H.; Tapio-Biström, M.-L.; Tol, S. Peatlands—Guidance for climate change mitigation through conservation, rehabilitation and sustainable use. In Mitigation of Climate Change Agriculture Series 5, 2nd ed.; FAO and Wetlands: Rome, Italy, 2012; p. 114. [Google Scholar]
- Paramananthan, S. Tropical lowland peats: To conserve or develop them? In Proceedings of the International Palm Oil Sustainability Conference, Sabah, Malaysia, 13–15 April 2008. [Google Scholar]
- Ahmed, O.H.; Ahmad Husni, M.H.; Rahim, A.A.; Mohd Hanafi, M. Sustainable Production of Pineapples on Tropical Peat Soils; Universiti Putra Malaysia Presss: Serdang, Malaysia, 2013; pp. 1–141. [Google Scholar]
- Nishimwe, G.; Kosgei, J.C.; Okoth, E.M.; Asudi, G.O.; Rimberia, F.K. Evaluation of the morphological and quality characteristics of new papaya hybrid lines in Kenya. Afr. J. Biotechnol. 2019, 18, 58–67. [Google Scholar] [CrossRef]
- Rahman, M.A.; Mahmud, T.M.M.; Kadir, J.; Abdul Rahman, R.; Begum, M.M. Major postharvest fungal diseases of papaya cv. ‘Sekaki’ in Selangor, Malaysia. Pertanika J. Trop. Agric. 2008, 31, 27–34. [Google Scholar]
- Srinu, B.; Manohar Rao, A.; Veenajoshi, K. Effect of integrated nutrient management on fruit characters and economics of papaya (Carica papaya L.) Cv. Red Lady. Int. J. Pure Appl. Biosci. 2017, 5, 1463–1467. [Google Scholar] [CrossRef]
- Tandel, B.M.; Ahir, M.; Hiray, S.; Patel, K.A. Effect of integrated nutrient management on yield and quality of papaya (Carica papaya L.) Cv. Taiwan Red Lady. Int. J. Chem. Stud. 2017, 5, 1901–1903. [Google Scholar]
- Sekeli, R.; Hamid, M.H.; Razak, R.A.; Wee, C.-Y.; Ong-Abdullah, J. Malaysian Carica papaya L. var. Eksotika: Current research strategies fronting challenges. Front. Plant Sci. 2018, 9, 1380. [Google Scholar] [CrossRef] [PubMed]
- Andriesse, J.P. Nature and Management of Tropical Peat Soils; FAO Soils Bulletin 59; FAO: Rome, Italy, 1988. [Google Scholar]
- Maftu’ah, E.; Ma’as, A.; Purwanto, B.H. N, P and K storage efficiency on degraded peat soil through ameliorant application. J. Degrad. Min. Lands Manag. 2014, 1, 187–196. [Google Scholar] [CrossRef]
- Safford, L.; Maltby, E. Guidelines for Integrated Planning and Management of Tropical Lowland Peatlands with Special Reference to Southeast Asia; IUCN: Gland, Switzerland; Cambridge, UK, 1998; p. xvi-66. [Google Scholar]
- Santos, E.M.; Silva Júnior, G.B.; Cavakcante, Í.H.L.; Marque, A.S.; Albano, F.G. Planting spacing and NK fertilizing on physiological indexes and fruit production of papaya under semiarid climate. Bragantia 2016, 75, 63–69. [Google Scholar] [CrossRef]
- Singh, V.K.; Kumar, V.; Bahuguna, A. Impact of fertilizer on yield of papaya cv. Pusa Dwarf under Indigo Gangetic condition. J. Crop Weed 2012, 8, 74–76. [Google Scholar]
- Chan, Y.K.; Raveendranathan, P.; Raziah, M.L.; Choo, S.T. Penanaman Betik; Malaysian Agricultural Research and Development Institute: Serdang, Malaysia, 1994; pp. 1–53.
- Santos, E.M.; Cavakcante, Í.H.L.; Silva Júnior, G.B.; Albano, F.G. Impact of nitrogen and potassium nutrition on papaya (pawpaw) fruit quality. Biosci. J. 2015, 31, 1341–1348. [Google Scholar] [CrossRef]
- Choo, L.N.L.K.; Ahmed, O.H.; Nik Majid, N.M.B.; Ab Aziz, Z.F.B. Improving nitrogen availability on a tropical peat soil cultivated with Ananas comosus L. Merr using pineapple residue ash. J. Soil Sci. Plant Nutr. 2020, 20, 657–672. [Google Scholar] [CrossRef]
- Saidy, A.R. Carbon and Nitrogen Mineralization in Tropical Peats: Role of Peat Properties and Management Practices. Master’s Thesis, University of Adelaide, Adelaide, Australia, 2002. [Google Scholar]
- Jeffary, A.V.; Ahmed, O.H.; Jalloh, M.B.; Jol, H. Amending tropical peat soil with clinoptilolite zeolite to reduce leaching of nitrate and ammonium ions. In Advances in Tropical Soil Science; Jol, H., Jusop, S., Eds.; Universiti Putra Malaysia Press: Serdang, Malaysia, 2015; Volume 3, pp. 142–171. [Google Scholar]
- Ahmed, O.H.; Husni, M.H.A.; Hanafi, M.M. Phosphorus loss of phosphorus fertilizer applied to tropical peat soils in pineapple cultivation. Int. J. Soil Sci. 2006, 1, 85–90. [Google Scholar] [CrossRef]
- Ahmed, O.H.; Ahmad, H.M.H.; Musa, H.M.; Rahim, A.A.; Rastam, S.O.S. Applied K fertilizer use efficiency in pineapples grown on a tropical peat soil under residues removal. Sci. World J. 2005, 5, 42–49. [Google Scholar] [CrossRef][Green Version]
- Gholamhoseini, M.; Ghavaland, A.; Khodaei-Joghan, A.; Dolatabadian, A.; Zakikhani, H.; Farmanbar, E. Zeolite-amended cattle manure effects on sunflower yield, seed quality, water use efficiency and nutrient leaching. Soil Tillage Res. 2013, 126, 193–202. [Google Scholar] [CrossRef]
- Allen, E.R.; Hossner, L.R.; Ming, D.W.; Henninger, D.L. Solubility and cation exchange in phosphate rock and saturated clinoptilolite mixtures. Soil Sci. Soc. Am. J. 1993, 57, 1368–1374. [Google Scholar] [CrossRef] [PubMed]
- Perrin, T.S.; Boettinger, J.L.; Drost, D.T.; Norton, J.M. Decreasing nitrogen leaching from sandy soil with ammonium-loaded clinoptilolite zeolite. J. Environ. Qual. 1998, 27, 656–663. [Google Scholar] [CrossRef]
- Sangeetha, C.; Baskar, P. Zeolites and its potential uses in agriculture: A critical review. Agric. Rev. 2016, 37, 101–108. [Google Scholar] [CrossRef]
- Jakkula, V.S.; Wani, S.P. Zeolites: Potential soil amendments for improving nutrient and water use efficiency and agriculture productivity. Sci. Rev. Chem. Commun. 2018, 8, 1–15. [Google Scholar]
- Latifah, O.; Ahmed, O.H.; Majid, N.M.A. Enhancing nitrogen availability from urea using clinoptilolite zeolite. Geoderma 2017, 306, 152–159. [Google Scholar] [CrossRef]
- Nur Aainaa, H.; Haruna Ahmed, O.; Ab Majid, N.M. Effects of clinoptilolite zeolite on phosphorus dynamics and yield of Zea Mays L. cultivated on an acid soil. PLoS ONE 2018, 13, e0204401. [Google Scholar] [CrossRef]
- Mumpton, F. La roca magica: Uses of natural zeolites in agriculture and industry. Proc. Natl. Acad. Sci. USA 1999, 96, 33463–33470. [Google Scholar] [CrossRef]
- Gruener, J.E.; Ming, D.W.; Henderson, K.; Galindo, C., Jr. Common ion effects in zeoponic substrates: Wheat plant growth experiment. Microporous Mesoporous Mater. 2003, 61, 223–230. [Google Scholar] [CrossRef]
- Kavoosi, M. Effects of zeolite application on rice yield, nitrogen recovery and nitrogen use efficiency. Commun. Soil Sci. Plant Anal. 2007, 38, 69–76. [Google Scholar] [CrossRef]
- Abdi, G.H.; Khui, M.K.; Eshgi, S. Effects of natural zeolite on growth and flowering of strawberry (Fragaria x ananassa Duch.). Int. J. Agric. 2010, 5, 799–804. [Google Scholar]
- Rabai, K.A.; Ahmed, O.H.; Kasim, S. Use of formulated nitrogen, phosphorus and potassium compound fertilizer using clinoptilolite zeolite in maize (Zea mays L.). Emir. J. Food Agric. 2013, 25, 712–722. [Google Scholar] [CrossRef]
- Ramesh, K.; Reddy, D.D. Chapter 4—Zeolites and their potential uses in agriculture. In Advances in Agronomy; Sparks, D.L., Ed.; Academic Press: San Diego, CA, USA, 2011; Volume 113, pp. 219–241. [Google Scholar]
- Zwingmann, N.; Mackinnon, I.D.R.; Gilkes, R.J. Use of zeolite synthesized from alkali treated kaolin as K fertilizer: Glasshouse experiments on leaching and uptake of K by wheat plants in sandy soil. Appl. Clay Sci. 2011, 53, 684–690. [Google Scholar] [CrossRef]
- Bernal, M.P.; Lopez-Real, J.M. Natural zeolites and sepiolite as ammonium and ammonia adsorbent materials. Bioresour. Technol. 1993, 43, 27–33. [Google Scholar] [CrossRef]
- Millán, G.; Agosto, F.; Vázquez, M.; Botto, L.; Lombardi, L.; Juan, L. Use of clinoptilolite zeolite as a carrier for nitrogen fertilizers in soils of the Pampean regions of Argentina. Cienc. Investig. Agrar. 2008, 35, 245–254. [Google Scholar]
- Palanivell, P.; Ahmed, O.H.; Majid, N.M.A. Minimizing ammonia volatilization from urea, improving lowland rice (cv. MR219) seed germination, plant growth variables, nutrient uptake, and nutrient recovery using clinoptilolite zeolite. Arch. Agron. Soil Sci. 2016, 62, 708–724. [Google Scholar] [CrossRef]
- Omar, L.; Ahmed, O.H.; Jalloh, M.B.; Muhamad, A.M.N. Soil nitrogen fractions, nitrogen use efficiency and yield of Zea mays L. grown on a tropical acid soil treated with composts and clinoptilolite zeolite. Appl. Sci. 2020, 10, 4139. [Google Scholar] [CrossRef]
- Omar, L.; Ahmed, O.H.; Majid, N.M.A. Shot term enhancement of nutrients availability in Zea mays L. cultivation on an acid soil using compost and clinoptilolite zeolite. Compost Sci. Util. 2017, 25, 22–35. [Google Scholar] [CrossRef]
- Omar, L.; Ahmed, O.H.; Majid, M.M.A. Enhancing nutrient use efficiency of maize (Zea mays L.) from mixing urea with zeolite and peat soil water. Int. J. Phys. Sci. 2011, 6, 3330–3335. [Google Scholar]
- Aainaa, H.N.; Ahmed, O.H.; Kasim, S.; Majid, N.M. Reducing Eqypt rock phosphate use in zea mays cultivation on an acid soil using clinoptilolite zeolite. Sustain. Agric. Res. 2015, 4, 56–66. [Google Scholar] [CrossRef]
- Ahmed, O.H.; Aainaa, H.N.; Majid, N.M.A. Zeolites to Unlock Phosphorus Fixation in Agriculture; Universiti Putra Malaysia Press: Serdang, Malaysia, 2017; pp. 1–188. [Google Scholar]
- Ahmed, O.H.; Sumalatha, G.; Nik Muhamad, A.M. Use of zeolite in maize (Zea mays) cultivation on nitrogen, potassium and phosphorus uptake and use efficiency. Int. J. Phys. Sci. 2010, 5, 2393–2401. [Google Scholar]
- Sanimah, S.; Sarip, J. Metabolomic analysis of Carica papaya variety Eksotika and Sekaki. J. Trop. Agric. Food Sci. 2015, 43, 103–117. [Google Scholar]
- Chan, Y.K. Heterosis in Eksotika x Sekaki papaya hybrids. J. Trop. Agric. Food Sci. 2001, 29, 139–144. [Google Scholar]
- Lim, E.T. Peat Soils of Sarawak and the Analytical Method; Department of Agriculture Sarawak: Kuching, Malaysia, 1991; pp. 25–27.
- Ismail, A.B.; Asing, J.; Zulkefli, M. Residual impact of various land clearing techniques on peat chemical characteristics. In A Case Study at MARDI Peat Research Station, Sessang, Sarawak, Malaysia; Ismail, A.B., Ong, H.K., Mohamad Hanif, M.J., Umi Kalsom, M.S., Eds.; MARDI: Serdang, Malaysia, 2007; pp. 33–61. [Google Scholar]
- Harada, Y.; Inoko, A. The measurement of the cation exchange capacity of composts for the estimation of the degree of maturity. Soil Sci. Plant Nutr. 1980, 26, 127–134. [Google Scholar] [CrossRef]
- Nelson, D.W.; Sommers, L.E. Total carbon, organic carbon and organic matter. In Methods of soil Analysis, Part 2. Chemical and Microbiological Properties, 2nd ed.; Page, A.L., Baker, D.E., Ellis, R., Jr., Keeney, D.R., Miller, R.H., Rhoades, J.D., Eds.; ASA-SSSA: Madison, WI, USA, 1982; pp. 539–579. [Google Scholar]
- Bremner, J.M.; Mulvaney, C.S. Nitrogen-total. In Methods of Soil Analysis, Part 2. Chemical and Microbiological Properties, 2nd ed.; Page, A.L., Baker, D.E., Ellis, R., Jr., Keeney, D.R., Miller, R.H., Rhoades, J.D., Eds.; ASA-SSSA: Madison, WI, USA, 1982; pp. 595–624. [Google Scholar]
- Bremner, J.M.; Keeney, D.R. Determination and isotope-ratio analysis of different forms of nitrogen in soils: 3. Exchangeable ammonium, nitrate and nitrite by extraction-distillation methods. Soil Sci. Soc. Am. J. 1966, 30, 577–582. [Google Scholar] [CrossRef]
- Olsen, S.R.; Sommers, L.E. Phosphorus. In Methods of Soil Analysis, Part 2. Chemical and Microbiological Properties, 2nd ed.; Page, A.L., Baker, D.E., Ellis, R., Jr., Keeney, D.R., Miller, R.H., Rhoades, J.D., Eds.; ASA-SSSA: Madison, WI, USA, 1982; pp. 403–430. [Google Scholar]
- Knudsen, D.; Peterson, G.A.; Pratt, P.F. Lithium, sodium and potassium. In Methods of soil Analysis, Part 2. Chemical and Microbiological Properties, 2nd ed.; Page, A.L., Baker, D.E., Ellis, R., Jr., Keeney, D.R., Miller, R.H., Rhoades, J.D., Eds.; ASA-SSSA: Madison, WI, USA, 1982; pp. 225–246. [Google Scholar]
- Omar, L.; Ahmed, O.H.; Majid, N.M. Improving ammonium and nitrate release from urea using clinoptilolite zeolite and compost produced from agricultural wastes. Sci. World J. 2015, 2015, 574201. [Google Scholar] [CrossRef]
- Ming, D.W.; Dixon, J.B. Clinoptilolite in South Texas soils. Soil Sci. Soc. Am. J. 1986, 50, 1618–1622. [Google Scholar] [CrossRef]
- Muhamad Hassan, M.H.; Sandrang, A.K.; Mahmood, Z.; Abbas, H.; Ahmad Shafawi, N.; Idris, S.; Nor Danial, N.D.; Hasan, M.R. Pembiakan betik Eksotika II menggunakan kaedah keratan mikro. Bull. Teknol. MARDI 2014, 6, 39–44. [Google Scholar]
- Horneck, D.A.; Miller, R.O. Determination of total nitrogen in plant tissue. In Handbook of Reference Method for Plant Analysis; Kalra, Y.P., Ed.; Soil and Plant Analysis Council, CRC Press: Florida, FL, USA, 1998; pp. 75–84. [Google Scholar]
- Miller, R.O. High-temperature oxidation: Dry ashing. In Handbook of Reference Method for Plant Analysis; Kalra, Y.P., Ed.; Soil and Plant Analysis Council, CRC Press: Florida, FL, USA, 1998; pp. 53–56. [Google Scholar]
- Murphy, J.; Riley, J.P. A modified single solution method for the determination of phosphate in natural waters. Anal. Chim. Acta 1962, 27, 31–36. [Google Scholar] [CrossRef]
- Korkuna, O.; Leboda, R.; Skubiszewska-Zięba, J.; Vrublevs’ka, T.; Gun’ko, V.M.; Ryczkowski, J. Structural and physicochemical properties of natural zeolite: Clinoptilolite and mordenite. Microporous Mesoporous Mater. 2006, 87, 243–254. [Google Scholar] [CrossRef]
- Hernawan; Wahono, S.K.; Maryana, R.; Pratiwi, D. Modification of Gunungkidul natural zeolite as bioethanol dehydrating agents. Energy Procedia 2015, 65, 116–120. [Google Scholar] [CrossRef][Green Version]
- Wahono, S.K.; Prasetyo, D.J.; Jatmiko, T.H.; Suwanto, A.; Pratiwi, D.; Hernawan; Vasilev, K. Transformation of modernite-clinoptilolite natural zeolite at different calcination temperatures. IOP Conf. Ser. Earth Environ. Sci. 2019, 251, 012009. [Google Scholar] [CrossRef]
- Hernández-Espinosa, M.A.; Quiroz-Estrada, K.; Petranovskii, V.; Rojas, F.; Portillo, R.; Salgado, M.A.; Marcelo, M.; Efraín, R.; Felipe, C. Adsorption of N2, N2O and CO2 on epistilbite natural zeolite from Jalisco, Mexico after acid-treatment. Mineral 2018, 8, 196. [Google Scholar] [CrossRef]
- Murkani, M.; Nasrollahi, M.; Ravanbakhsh, M.; Bahrami, P.; Jaafarzadeh, N.; Fard, H. Evaluation of natural zeolite clinoptilolite efficiency for the removal of ammonium and nitrate from aquatic solutions. Environ. Health Eng. Manag. 2015, 2, 17–22. [Google Scholar]
- Hui, K.S.; Chao, C.H.Y.; Kot, S.C. Removal of mixed heavy metal ions in wastewater by zeolite 4A and residual products from recycled coal fly ash. J. Hazard. Mater. 2005, 127, 89–101. [Google Scholar] [CrossRef]
- Doğan, M.; Alkan, M. Adsorption kinetics of methyl violet onto perlite. Chemosphere 2003, 50, 517–528. [Google Scholar] [CrossRef]
- Fahmi, A.; Radjagukguk, B.; Purwanto, B.H. Interaction of peat soil and sulphidic material substratum: Role of peat layer and groundwater level fluctuation on phosphorus concentration. J. Trop. Sci. 2014, 19, 171–179. [Google Scholar] [CrossRef]
- Almeida, D.J.; Pereira, W.E.; Alexandre, P.D.; Nunes, J.C.; Ferreira, W.D. Growth and nutrient accumulation in mycorrhized papaya seedlings cultivated in a phosphorus-fertilized substrate. Rev. Ceres 2016, 63, 86–94. [Google Scholar] [CrossRef]
- Singh, J.K.; Varu, D.K. Effect of integrated nutrient management in papaya (Carica papaya L.) cv. MABHUBINDU. Asian J. Hort. 2013, 8, 667–670. [Google Scholar]
- Reddy, Y.T.N.; Kurian, R.M.; Ganeshamurthy, A.N.; Pannerselvam, P. Effect of organic nutrition practices on papaya (cv. Suraya) fruit yield, quality and soil health. J. Hortic. Sci. 2010, 5, 124–127. [Google Scholar]
- Papaya: International Tropical Fruits Network (TFNet). Available online: https://www.itfnet.org/v1/2016/05/papaya (accessed on 18 September 2019).
- Chin, A.H.G.; Normah, O.; Chia, J.S.; Normah, A. Chemical characteristics of papaya for specific product requirement. J. Trop. Agric. Food Sci. 1997, 25, 207–214. [Google Scholar]
- Bakar, I.A. Towards wise use of tropical peatlands: From agriculture perspective. In Proceedings of the International Symposium and Workshop on Tropical Peatland, Sarawak, Malaysia, 19–22 August 2008; pp. 129–141. [Google Scholar]



| Soil Properties | Mean Value Obtained per Soil Depth | |
|---|---|---|
| 0 to 20 cm | 20 to 40 cm | |
| Bulk density (g cm−3) | 0.13 (±0.003) | 0.12 (±0.004) |
| Moisture (%) | 83.7 (±0.65) | 87.9 (±0.42) |
| pH | 3.4 (±0.02) | 3.5 (±0.05) |
| Cation exchange capacity (cmol(+) kg−1) | 148.4 (±3.76) | 141.6 (±2.39) |
| Total organic carbon (%) | 41.2 (±0.35) | 40.5 (±1.06) |
| Total nitrogen (%) | 1.41 (±0.003) | 1.12 (±0.007) |
| Ammonium-nitrogen (mg kg−1) | 142.5 (±3.05) | 98.3 (±2.58) |
| Nitrate-nitrogen (mg kg−1) | 76.3 (±1.47) | 87.9 (±2.53) |
| Available phosphorus (mg kg−1) | 32.6 (±0.75) | 39.7 (±0.58) |
| Exchangeable potassium (mg kg−1) | 29.4 (±0.53) | 35.8 (±0.79) |
| Fertilization Treatments | Application Rate | |||
|---|---|---|---|---|
| 1st and 2nd Month after Planting | 3rd Month after Planting | 4th to 10th Month after Planting | ||
| T1 | 100% CZ + NPK | 50 g CZ + 50 g NPK 15:15:15 | 100 g CZ + 100 g NPK 15:15:15 | 200 g CZ + 200 NPKMgO 12:12:17:2 |
| T2 | 70% CZ + NPK | 35 g CZ + 50 g NPK 15:15:15 | 70 g CZ + 100 g NPK 15:15:15 | 140 g CZ + 200 g NPKMgO 12:12:17:2 |
| T3 | 50% CZ + NPK | 25 g CZ + 50 g NPK 15:15:15 | 50 g CZ + 100 g NPK 15:15:15 | 100 g CZ + 200 g NPKMgO 12:12:17:2 |
| T4 | 25% CZ + NPK | 12.5 g CZ + 50 g NPK 15:15:15 | 25 g CZ + 100 g NPK 15:15:15 | 50 g CZ + 200 g NPKMgO 12:12:17:2 |
| T5 | Control: NPK only | 50 g NPK 15:15:15 | 100 g NPK 15:15:15 | 200 g NPKMgO 12:12:17:2 |
| Properties | Values |
|---|---|
| pH | 8.77 (±0.03) |
| Cation exchange capacity (cmol(+) kg−1) | 103.8 (±0.21) |
| Chemical composition (weight %) | SiO2: 78.08 |
| Al2O3: 7.03 | |
| Fe2O3: 10.70 | |
| K2O: 1.29 | |
| CaO: 1.27 | |
| MgO: 1.10 | |
| Na2O: 0.53 | |
| Functional groups (cm−1) | OH: 3696.17 |
| C=C: 1634.66 | |
| C-O: 992.85 | |
| Surface area (m2 g−1) | 23.19 |
| Growth Stages | Soil Depth (cm) | Exchangeable Ammonium (mg kg−1) | Available Nitrate (mg kg−1) | Available Phosphorus (mg kg−1) | Exchangeable Potassium (mg kg−1) |
|---|---|---|---|---|---|
| Flowering | 0 to 20 | 683.91 b ± 36.71 | 262.12 b ± 16.78 | 61.51 a ± 7.08 | 268.19 b ± 36.04 |
| 20 to 40 | 707.93 a ± 46.62 | 309.00 a ± 18.74 | 64.04 a ± 6.52 | 278.24 a ± 33.27 | |
| Fruiting | 0 to 20 | 765.53 b ± 47.49 | 368.60 b ± 25.50 | 61.46 a ± 8.12 | 237.93 b ± 35.47 |
| 20 to 40 | 805.97 a ± 58.26 | 459.53 a ± 27.49 | 63.88 a ± 6.82 | 245.68 a ± 32.35 | |
| Harvesting | 0 to 20 | 783.06 b ± 41.22 | 395.89 b ± 19.10 | 60.93 b ± 7.97 | 270.41 b ± 36.04 |
| 20 to 40 | 811.70 a ± 53.00 | 429.26 a ± 19.69 | 64.63 a ± 6.71 | 287.53 a ± 31.56 |
| Treatments | Growth Stages | ||
|---|---|---|---|
| Flowering | Fruiting | Harvesting | |
| T1 | 6.21 a ± 0.03 | 6.26 ab ± 0.04 | 6.39 a ± 0.07 |
| T2 | 6.12 b ± 0.02 | 6.32 a ± 0.03 | 6.27 b ± 0.05 |
| T3 | 6.19 ab ± 0.02 | 6.18 b ± 0.03 | 6.20 c ± 0.03 |
| T4 | 5.90 c ± 0.02 | 5.77 c ± 0.02 | 5.65 d ± 0.02 |
| T5 | 4.56 d ± 0.04 | 4.46 d ± 0.07 | 4.27 e ± 0.01 |
| Treatments | Plant Height (m) | Stem Girth (cm) | Days Taken to 1st Flowering | Days Taken to 1st Harvest | ||
|---|---|---|---|---|---|---|
| Flowering Stage | Harvesting Stage | Flowering Stage | Harvesting Stage | |||
| T1 | 0.95 a ± 0.008 | 1.74 a ± 0.008 | 12.73 a ± 0.044 | 35.32 a ± 0.367 | 66.92 d ± 0.22 | 161.58 e ± 0.22 |
| T2 | 0.89 b ± 0.015 | 1.66 b ± 0.008 | 11.61 b ± 0.079 | 32.12 b ± 0.085 | 69.08 cd ± 0.55 | 167.67 d ± 0.08 |
| T3 | 0.89 b ± 0.014 | 1.65 b ± 0.008 | 11.44 b ± 0.036 | 31.77 b ± 0.073 | 70.58 c ± 0.22 | 173.00 c ± 0.38 |
| T4 | 0.87 b ± 0.005 | 1.65 b ± 0.010 | 10.93 b ± 0.300 | 30.33 c ± 0.036 | 75.75 b ± 0.66 | 177.58 b ± 0.30 |
| T5 | 0.77 c ± 0.003 | 1.55 c ± 0.007 | 8.53 c ± 0.150 | 26.75 d ± 0.101 | 83.08 a ± 0.94 | 184.58 a ± 0.22 |
| Treatments | Fruit Quality | Fruit Yield | |||||
|---|---|---|---|---|---|---|---|
| Fruit Weight (kg) | Fruit Sweetness (TSS: °Brix) | Number of Fruits Per Plant | Fruit Length (cm) | Fruit Diameter (cm) | Fruit Yield Per Plant (kg) | Total Fruit Yield Per Plot (kg) | |
| T1 | 2.60 a ± 0.04 | 12.08 a ± 0.05 | 30.67 a ± 0.22 | 25.79 a ± 0.69 | 13.73 a ± 0.28 | 79.88 a ± 1.63 | 319.50 a ± 6.54 |
| T2 | 2.48 b ± 0.03 | 11.75 b ± 0.07 | 28.25 b ± 0.14 | 25.24 a ± 0.54 | 13.70 a ± 0.24 | 70.07 b ± 1.05 | 280.27 b ± 4.21 |
| T3 | 2.22 c ± 0.02 | 11.69 b ± 0.10 | 25.92 c ± 0.08 | 24.69 a ± 0.54 | 12.89 ab ± 0.13 | 57.64 c ± 0.53 | 230.57 c ± 2.11 |
| T4 | 2.22 c ± 0.01 | 11.62 b ± 0.02 | 23.58 d ± 0.44 | 23.94 ab ± 0.60 | 12.72 b ± 0.11 | 52.31 d ± 1.21 | 209.22 d ± 4.86 |
| T5 | 1.04 d ± 0.03 | 9.61 c ± 0.05 | 14.50 e ± 0.90 | 21.21 b ± 0.70 | 12.09 b ± 0.03 | 15.09 e ± 0.54 | 60.36 e ± 2.18 |
© 2020 by the authors. Licensee MDPI, Basel, Switzerland. This article is an open access article distributed under the terms and conditions of the Creative Commons Attribution (CC BY) license (http://creativecommons.org/licenses/by/4.0/).
Share and Cite
Choo, L.N.L.K.; Ahmed, O.H.; Talib, S.A.A.; Ghani, M.Z.A.; Sekot, S. Clinoptilolite Zeolite on Tropical Peat Soils Nutrient, Growth, Fruit Quality, and Yield of Carica papaya L. cv. Sekaki. Agronomy 2020, 10, 1320. https://doi.org/10.3390/agronomy10091320
Choo LNLK, Ahmed OH, Talib SAA, Ghani MZA, Sekot S. Clinoptilolite Zeolite on Tropical Peat Soils Nutrient, Growth, Fruit Quality, and Yield of Carica papaya L. cv. Sekaki. Agronomy. 2020; 10(9):1320. https://doi.org/10.3390/agronomy10091320
Chicago/Turabian StyleChoo, Liza Nuriati Lim Kim, Osumanu Haruna Ahmed, Shaidatul Azdawiyah Abdul Talib, Mohamad Zabawi Abdul Ghani, and Shamsiah Sekot. 2020. "Clinoptilolite Zeolite on Tropical Peat Soils Nutrient, Growth, Fruit Quality, and Yield of Carica papaya L. cv. Sekaki" Agronomy 10, no. 9: 1320. https://doi.org/10.3390/agronomy10091320
APA StyleChoo, L. N. L. K., Ahmed, O. H., Talib, S. A. A., Ghani, M. Z. A., & Sekot, S. (2020). Clinoptilolite Zeolite on Tropical Peat Soils Nutrient, Growth, Fruit Quality, and Yield of Carica papaya L. cv. Sekaki. Agronomy, 10(9), 1320. https://doi.org/10.3390/agronomy10091320

