Next Article in Journal
Weed Management in Dry Direct-Seeded Rice: A Review on Challenges and Opportunities for Sustainable Rice Production
Next Article in Special Issue
Crop Height Measurement System Based on 3D Image and Tilt Sensor Fusion
Previous Article in Journal
The Effect of Growth Activators and Plant Growth-Promoting Rhizobacteria (PGPR) on the Soil Properties, Root Yield, and Technological Quality of Sugar Beet
Previous Article in Special Issue
Prediction of Spatiotemporal Invasive Risk by the Red Imported Fire Ant (Hymenoptera: Formicidae) in South Korea
 
 
Font Type:
Arial Georgia Verdana
Font Size:
Aa Aa Aa
Line Spacing:
Column Width:
Background:
Article

Power Transmission Efficiency Analysis of 42 kW Power Agricultural Tractor According to Tillage Depth during Moldboard Plowing

1
Department of Biosystems Machinery Engineering, Chungnam National University, Daejeon 34134, Korea
2
Smart Agricultural Machinery R&D Group, Korea Institute of Industrial Technology (KITECH), Gimje 54325, Korea
3
Department of Smart Agricultural Systems, Chungnam National University, Daejeon 34134, Korea
4
Department of Rural & Bio-Systems Engineering, Chonnam National University, Gwangju 61186, Korea
5
Department of Bio-Industrial Machinery Engineering, Kyungpook National University, Daegu 41566, Korea
6
Research and Development Institute, Tongyang Moolsan Co. Ltd., Gongju 32530, Korea
*
Authors to whom correspondence should be addressed.
Agronomy 2020, 10(9), 1263; https://doi.org/10.3390/agronomy10091263
Submission received: 19 July 2020 / Revised: 18 August 2020 / Accepted: 24 August 2020 / Published: 26 August 2020
(This article belongs to the Special Issue Automation for Digital Farming)

Abstract

In order to optimize tractor design and optimize efficiency during tillage operation, it is essential to verify the impact through field tests on factors affecting the tractor load. The objectives of this study were to investigate the effect of tillage depth on power transmission efficiency of 42 kW power agricultural tractor during moldboard plowing. A load measurement system and a tillage depth measurement system were configured for field tests. To analyze the effect of tillage depth on power transmission efficiency and fuel consumption, the data measured in the three-repeated field test were classified according to tillage depth. As the tillage depth increased from 11 cm at the top of the hardpan to 23 cm at the deepest, the required power of the engine increased by approximately 13% from 35.48 kW to 40.11 kW, and the power transmission efficiency also increased significantly from 66% to 95%. Among them, the power transmission efficiency of the rear axle was significantly increased from 38% to 59%, which was the most affected. As the tillage depth increased, the overall power requirement is greatly increased due to the resulting workload, but the fuel consumption and the specific fuel consumption are reduced because the engine speed of the tractor is reduced. As the tillage depth increased from 11 cm to 23 cm, the fuel consumption rate was rather reduced by 13.5% as the engine rotational speed decreased 11.3% due to the increase work load of tractor. In addition, the specific fuel consumption decreased from 302.44 g/kWh to 236.93 g/kWh, showing a fuel consumption saving of up to 21.7% during moldboard plow. In addition, as the tillage depth increased, the ratio of the value excluding the mechanical and hydraulic power requirements has significantly decreased from 34% to 5% as the power transmission efficiency increases. This study considers the soil properties according to the soil depth, as well as the power transmission efficiency and fuel consumption rate. The research results can provide useful information for research on power transmission efficiency and selection of an appropriate power source of agricultural tractor according to tillage depth during moldboard plowing and are expected to be used in various ways as basic studies of digital farming research in agricultural machinery.

1. Introduction

The global agricultural machinery market is increasing rapidly, with predicted market size expected to grow at a compound annual growth rate (CAGR) of 5% in 2017–2022 relative to 2012–2017. In particular, farm tractors account for the highest market share, at more than 35% of the whole agricultural machinery market [1]. Therefore, optimal designs of agricultural machinery are urgently required to secure competitiveness in the growing global market [2]. Power transmission systems are the most important components to consider when optimizing the design of parts that determine the performance and price of tractors [3,4,5]. In particular, the tractor load is a key indicator of farming characteristics, so it is essential to analyze factors affecting the load [6]. To improve tractor quality, it is necessary to analyze the working load of the tractor during operation. This is because its load characteristics are affected by various factors such as soil properties, operation type, traveling speed, gear selection, tillage implement shape, vehicle width, and tillage depth [7]. Thus, an analysis of the load on agricultural tractors during field operation is important in order to achieve their optimal design [8].
A field experiment was conducted to effect analysis of implement type (moldboard, chisel, disc) and travel speed depends on gear selection on the tractor performance during moldboard plowing [9]; the experiment results showed that as travel speed increased draft force, slip ratio and drawbar power increased, but traction efficiency decreased. In addition, when a similar range of traction force occurred, chisel plow can perform at more than twice the travel speed compared to moldboard and disc plow. In another study, an experiment was carried out to effect analysis of soil moisture content, bulk density, and travel speed on energy requirement of agricultural tractor during disc plowing [10]; the test results showed an increase in energy requirement with increasing bulk density and travel speed. In another study, the effect of the cone index on the work load of the 78 kW power agricultural tractor during moldboard plowing [11]. The results showed that as the soil cone index increased, the wheel axle slip decreased by 18% and the draft force increased by up to 13%, affecting the engine torque by up to 9%. As above, factors influencing tractor load such as gear selection, implement type, moisture content, bulk density, and soil properties such as cone index have been investigated. In another study, the effect of deep tillage using moldboard or chisel plows on crop productivity of corn was analyzed; the results showed that it was proved through field tests that the use of moldboard or chisel plows affects the increase in crop yield of corn by more than 11% compared to production through no tillage [12]. However, no studies have been conducted on how changes in the instantaneous tillage depth that occur continuously during tillage affect the tractor load and power transmission efficiency.
Some studies relating to the power requirements of agricultural machinery have been carried out with agricultural tractors. The field test using an underground crop harvester attached to a tractor was conducted to analyze the power requirements according to transmission gear selection during tractor operation [13]; the results showed that the required power of the wheel axle increased by 34% at a high traveling speed. The power requirement and fuel consumption of tractor were analyzed in disc harrow systems [14]; the results showed that fuel consumption during the tillage operation can be minimized by selecting an engine speed that is approximately 70%–80% of the rated speed. Tillage depth has a considerable influence on the mechanical aspects of a tractor such as its load and required power [15]. In addition, because tillage depth affects the agricultural ecosystem (soil-water-crop relationships), it can impact crop yield and quality [16]. Therefore, tillage depth is a key factor that must be considered from the perspective of both agriculture and agricultural ecosystems. Although some studies have been conducted to calculate the power requirements according to the operation type or gear selection, factors related to soil mechanics such as tillage depth and soil properties have not been investigated.
Several studies on the tractor load have considered tillage depth of tractor implements. The influence of traveling speed and tillage depth on chisel plow operation has been analyzed [17]. In a study on the influence of tillage depth, penetration angle, and forward speed on the soil/thin-blade interaction force, it was found that both penetration angle and tillage depth had a greater impact on the interaction force than the forward speed [18]. The energy requirements of a tractor have been analyzed in terms of the cover crop (none or rye), depth of tillage (shallow or deep), seasonal tillage timing, and soil compaction during cotton yield operation [19]. However, in these studies, because tillage depth could not be accurately measured, only the effect of random tillage depth was analyzed, and the approximate measurement of tillage depth was made by manual measurement. In addition, since it was not possible to measure the tillage depth in real time during tillage operation, some studies have been conducted in an indoor soil bin [20,21]; however, in this environment it is difficult to consider the soil properties of hardpan, one of the representative properties of soil where tillage operations are performed. Repeated use of large farm machinery, such as agricultural tractors, results in the formation of hard plates at the bottom of the plow layer, by compression of the soil surface [22]. These hard plates are called hardpan, which leads to poor drainage and poor crop growth [23,24,25].
Tillage operations with an agricultural tractor have a significant impact on crop growth and yields [26]. Paddy fields that grow rice are composed of two types of soil layer; the plow layer and the subsoil layers. The plow layer is the depth of soil that is target for annual or periodic cultivation using an agricultural tractor. The plow layer is usually at a depth of 5–25 cm beneath soil surface, and it is often greatly worked through tillage operation, fertilizer addition, irrigation, and crop cultivation [27,28]. The specific target tillage depth should be considered to prevent a hardpan layer forming in the plow layer. Therefore, it is very important to measure the formation depth of the hardpan and set the tillage depth appropriately.
Many studies have been carried out which consider soil properties, type of operation, and seasonal conditions. An analysis of the above literature related to power requirements and tillage depth confirmed that tillage depth has the greatest impact on field operation. The draft force generated between the soil and the attached tillage implement ultimately has the greatest influence on the power requirement of the tractor, which is mainly defined as a function of the implement width, travel speed, and tillage depth [29]. Nevertheless, there has been no consideration of depth measurement methods for precise analyses according to tillage depth; further, a power requirements analysis has also not been conducted. In particular, since the tillage depth and soil properties greatly affect the load, power transmission efficiency, fuel efficiency, the decision support criteria, and fault diagnosis of the automatic transmission development system, which is one of the key areas of smart digital farming, which has recently become an issue in the agricultural machinery research field. Therefore, it is necessary to study the effect of tillage depth on the power transmission of tractor during tillage operation.
The purpose of this study was to analyze the power requirements of an agricultural tractor during moldboard plowing at different tillage depths. The specific objectives were (1) to develop a measurement system for power requirements and tillage depth, (2) to measure a power requirements and fuel consumption during moldboard plowing, and (3) to analyze the effect of tillage depth on power transmission efficiency of an agricultural tractor.

2. Materials and Methods

2.1. Agricultural Tractor and Plow Implement

The specifications of the agricultural tractor used in this study are listed in Table 1, and the performance test for general certification was conducted at FACT (Foundation of Agri. Tech. Commercialization & Transfer, Iksan, Korea). A 42 kW power agricultural tractor (TX58, Tong Yang Moolsan, Gongju, Korea) was equipped with mechanical transmission and had a total mass of 3606 kg including attached plow implement, loader, and the data acquisition system. The tractor transmission was of a power shuttle and power shift type. The 24 forward and 24 backward traveling speeds can drive up to 33.8 km/h by a combination of gear setting according to operation type. In this study, a four-row moldboard plow (WJSP–4, Woongjin Machinery, Gimje, Korea) was used to match the power of the 42 kW power tractor engine as shown in Table 2. Moldboard plows are widely used in Korean paddy fields. They are superior to other plow implements in terms of stability; however, they have a large traction resistance [30]. The agricultural tractor and attached implement used in the field experiment are shown in Figure 1.

2.2. Measurement of Soil Properties

Analysis of soil properties such as cone index, soil moisture content, soil shear strength, bulk density, and soil texture, which affect the interaction between soil and machinery is essential [31]. In order to analyze the effect of tillage depth on tractor power requirements and fuel efficiency, soil properties according to soil depth were measured. Cone index is the force required to penetrate using a circular stainless-steel cone on a cone penetrometer (DIK-5532, Daiki Rika Kogyo Co., Ltd., Saitama, Japan). Soil moisture content is the quantity of water contained in a soil and is measure using a soil moisture sensor (FieldScout TDR350, Spectrum Technologies, Aurora, IL, USA). Soil shear strength (kPa), which is soil resistance torque that occurred soil failure by soil resistance meter (DIK-5503, Daiki Rika Kogyo Co., Ltd., Saitama, Japan). In particular, the cone index is important data for identifying the depth of hardpan formation that affects soil impermeability and porosity [32], and soil shear strength is a soil property that directly affects the tractor load and has been repeatedly measured more than 30 times respectively [33,34]. In addition, soil samples were taken for soil texture analysis, and soil particle distribution was analyzed using a soil particle classification machine (HJ-2152, Heungjin, Gimpo, Korea). Soil texture was defined using USDA soil classification standards [35]. Figure 2 shows the specific test procedure used for measuring soil properties.
τ =   3 T 2 π ( r o 3 r i 3 ) .
SE =   T A soil   resistance   meter
where τ is the shear strength of soil (kW), T is the soil resistance torque, r o is the outer radius of circular shear ring, r i is the inner radius of circular shear ring, SE is the surface energy of soil ( J / m 2 ), and A soil   resistance   meter is the soil contact area of soil resistance meter used to measure soil shear strength in this experiment.
γ =   W soil V soil
where γ is the bulk density of soil ( kg / m 3 ), W soil is the weight of sampled soil (kg), and V soil is the volume of stainless soil sampling tube ( m 3 ).

2.3. Load Measurement System

The power requirements (engine, wheel axle, and hydraulic pump) and fuel efficiency were measured using a load measurement system as shown in Figure 3a. In addition, the overall power flow in the tractor system is shown in Figure 3b.
The engine part of load measurement system is configured to measure the engine torque, engine rotational speed, and fuel consumption, which is the average time that farming operation is possible per unit quantity of fuel. A telemetry type stain gauge was installed directly on the flex plate, which is a metal disk that connects the output from an engine, to measure engine torque. The engine rotation speed required for calculating the required engine power was measured through wireless controller area network (CAN) communication. In addition, the engine fuel consumption was measured by installing an oval gear flowmeter (OG2-SS5-VHQ-B, Titan Enterprises, Sherborne, UK) with a measurement capacity of up to 4 L/min at the input and output terminals of the engine fuel supply line, respectively.
The wheel axle part consisted of a flange type torque meter (PCM16, MANNER, Spaichingen, Germany) and a hall effect gear tooth speed sensor (CYGTS211B-PO2, Chen Yang Technologies GmbH & Co. KG, Finsing, Germany) were used to measure both the torque and rotational speed of the wheel axle. A torque meter and gear tooth speed sensors were installed on each of the four axle shafts; one antenna for each torque meter is attached to the outside of tire wheel. The axle torque data from each torque meter were amplified by internal amplifiers and transmitted wirelessly to a stationary antenna, then transmitted to the controller along a cable line. The nominal load of the torque meter was 20 kNm, the maximum load was 400%, and the sensor was a strain gage type. The sampling rate was 4 kS/s, the maximum axle rotation speed was 4000 rpm, and the operating temperature was in the range of 40 to 125 .
The hydraulic part consisted of a hitch pump and a steering pump. The hitch pump was used to control the front loader and rear 3-point hitch, and the steering pump was used for tractor steering, PTO (power take-off), and braking. A pressure sensor (PTD, Sensys, Ansan, Korea) was used to measure the hydraulic output of the steering pump and the hitch pump. The pressure sensor has a pressure measuring range of 100 kPa to 150 MPa in the range of 20 to 80 . The following equations were used to convert the measurement data obtained from each sensor of the load measurement system for power requirements analysis.
PWR engine =   2 π T b N e 60000
where PWR engine is the power requirements of the engine (kW), T b is the engine brake torque (Nm), and N e is the rotational speed of the engine (rpm).
PWR axle =   2 π T a N a 60000
where PWR axle is the power requirements of the wheel axle (kW), T a is the wheel torque (Nm) obtained from the torque meter, and N a is the rotational speed of the wheel axle (rpm) obtained from gear tooth speed sensors.
PWR hydraulic =   PQ 600
where PWR hydraulic is the power requirements of the hydraulic pump (kW), Q is the flow rate (L/min), and P is the pressure (bar) obtained using a pressure sensor.
FC =   F in F out
SFC =   FC PWR engine
where FC is the fuel consumption of engine (L/min), F in is the flow rate (L/min) measured by flowmeter installed on the fuel input side of the engine, F out is the flow rate (L/min) measured by flowmeter installed on the fuel outlet side of the engine, and SFC is the specific fuel consumption (g/kWh).
The travel speed and slip ratio are one of the main parameters that have a great influence on the power requirements of the agricultural tractor [36]. In general, to keep the traction performance constant, the tractor must be able to reach a sufficient travel speed during agricultural operation. Therefore, the travel speed and slip ratio were important parameters in determining power requirement of agricultural tractor. A real-time kinematic global positioning system (RTK-GPS) sensor (GPS1000, Swift Navigation, San Francisco, California, USA) was attached to the center of gravity of the tractor to measure the precise speed and slip rate of the tractor.
The following equations were used to calculate theoretical speed and slip ratio obtained from related sensor for effect analysis on power requirements of agricultural tractor [37,38].
V Theoretical   =   π DN wheel   =   π DN engine GR 3.6 60
where Vtire is the theoretical speed of the agricultural tractor (km/h), D is the diameter of the wheel (m), Nwheel is the rotational speed of the axle as obtained from proximity sensors (rpm), and GR is the gear ratio at the selected gear.
The slip ratio of the agricultural tractor was obtained using the following equation:
S   =   ( 1 V vehicle V wheel ) 100
where S is the slip ratio of the agricultural tractor during tillage operation (%), V vehicle is the travel speed of the tractor obtained from the real-time kinematic GPS sensor (km/h), and Vwheel is the theoretical speed of the tractor considering wheel diameter and wheel rotational speed obtained from Equation (9) (km/h).
In addition, in research related to agricultural machinery, it can be said that the draft force between the attachment plowing implement and the test soil directly affects the tractor load and power requirements according to the travel speed and slip ratio. In this field experiment, a commonly used six-component load cells system was used to measure the draft force [39,40]. The six-component load cells system consisted of six tensile compression-type universal type load cells (UU-T2, DACELL, Cheongju, Korea) to measure the 3-axis forces (horizontal, vertical, and lateral) that occurred during tillage operation. The tensile compression-type universal load cell used in this study has a rated capacity from 2 kg to 10 ton-force and the operating temperature was in the range of—20 to 80 °C, which is suitable for harsh tractor field test environments. In six-component load cells system, three load cell values for draft force, which means horizontal force occurred during moldboard plowing, are considered [41]. The draft force was obtained using the following:
D = F a + F b + F c
where D (kN) is the draft force; Fa, Fb, and Fc are the forces (kN) measured from the load cells attached to the triangular frame edges of the six-component load cell system during moldboard plowing.

2.4. Tillage Depth Measurement System

In order to analyze the effect of tillage depth, which is one of the most influential factors on mechanical load of agricultural machinery such as draft force, wheel axle load, engine load, and slip ratio, several studies on the development of real-time tillage depth measurement systems have been conducted [40,42]. In this field experiment, shortcomings (universality, durability) of the tillage depth measurement system developed in previous studies were improved and used for field experiment. Tillage depth was measured using two inclination sensors (IS2MA090-U-BL, GEMAC sensors, Chemnitz, Germany) attached to a self-designed jig. The sensor is IP67 degree of protection rated for harsh tillage environments and in the temperature range of—40 to 80 ; the angular information on the two axes shows an accuracy of ± 0.1°. One inclinometer sensor ( S 2 ) was attached to the lower jig of the tillage depth measurement system and was used to measure the angle occurrence according to the vertical penetration depth that occurs when the attached implement penetrates the soil. Another inclination sensor ( S 2 ) was attached to the top of the lower link of the three-point hitch connecting the work machine and was used to check the jig generated during the operation and the angle of twist of the x and y axes posture of the implement and measure the pitch angle. The experimental configuration of the tillage depth measurement system is shown in Figure 4a. The principle of measuring the vertical penetration depth of an actual implement through a tillage depth measurement system is shown in Figure 4b. If the tillage depth occurs among the moldboard plowing, the angle formed by the lower link with the surface parallel to the soil surface is drastically reduced compared to when the tillage depth is zero, resulting in a change in the angle of incidence. At this time, tillage depth is calculated by considering the change in the angle between them. The tillage depth was obtained using the following equation [40,42]:
TD = L sin θ 1 L sin θ 2 = d 1 d 2
where TD is tillage depth (cm) of the moldboard plow, L is the length of the lower link of tillage depth measurement system (mm), θ 1 is the angle measured using the inclination sensor ( S 1 ) when lower link is rotated from an angle parallel to the soil surface when the tillage depth is zero (deg), θ 2 is the angle measured using the inclination sensor ( S 1 ) when the tillage depth occurs (deg), d 1 is the vertical distance from the soil surface to the joint when the tillage depth is zero before moldboard plowing, d 2 is the vertical distance from the soil surface to the joint when tillage depth occurs after moldboard plowing begins.

2.5. Field Experiment

Field experiments were conducted in Kumam–ri, Songsan–myeon, Chungcheongnam–do, Korea, which is a rural area. The area of the test site is 100 × 80 m, and its latitudinal and longitudinal coordinates are 36 ° 55′48″ N and 126 ° 37′59″ E, respectively. First, soil properties, which have a significant effect on tractor load, were measured repeatedly. The field test was performed by operating the tractor in four–wheel drive mode and M3 gear stage, which are commonly used to perform moldboard plowing in rural areas. In order to exclude the gear selection effect and to analyze only the tillage depth effect on tractor power transmission efficiency, the field test was repeated three times in the M3 gear selection on the hard pan, the area where soil compaction occurs. Furthermore, in order to minimize the influence of the weight distribution ratio by the front loader, field tests were performed under the condition of fixing at the maximum height that does not obstruct the view during moldboard plowing. To analyze the effect of tillage depth on the power transmission efficiency and fuel consumption rate of an agricultural tractor, the measured data were sorted in ascending order in 1 cm units according to tillage depth. In addition, statistical analysis was performed to determine whether tillage depth affects the power transmission efficiency of agricultural tractor.

3. Results

3.1. Soil Description

3.1.1. Soil Properties

The measurement results of soil properties affecting the mechanical load were analyzed according to the soil depth of five levels in 5 cm increments. The results of the cone penetration test in the paddy fields are shown in Figure 5. Higher cone index values mean higher soil compaction, which is a major problem when managing poorly drained soils [43]. From cone penetration test results, the 0–10 cm depth range showed a relatively similar range with an average cone index value of 981–1038 kPa. After the soil depth of 11 cm, it was confirmed that the cone index value rapidly increased to a depth of about 23 cm. It was found that the hardpan layer with very large soil compaction distributed on average about 11–23 cm. Therefore, the target tillage depth must be set according to the hardpan layer, which indicates the distance from the depth of the hardpan (11 cm) to peak cone index (23 cm). As the soil depth increased, the average properties increased rapidly. Shear stress averaged 49.65 kPa in the top soil of 0–5 cm and 112.11 kPa in the deepest 20–25 cm depth in the plow layer. Surface energy, which shows the cohesion between soil particles, also showed 168.98 J / m 2 in the top soil and a maximum value of 390.83 J / m 2 as the soil depth became deeper. In addition, the bulk density, which represents the density per unit volume, was influenced by the increase in soil compaction, cohesion as the soil depth increased, and showed values greater than the average bulk density value that restrict root growth in the paddy field of 1800 kPa [44]. The soil texture analysis revealed it was composed of sand 34%, silt 48%, and clay 18% and was classified as loam, one of the medium texture group. The detailed test results of the soil properties according to soil depth are summarized in Table 3.

3.1.2. Tillage Depth

The overall measured tillage depth and pitch angle during the field experiment is shown in Figure 6. The overall mean tillage depth of the moldboard plowing performed in three times was 15.53 ± 2.55 cm (T1), 17.68 ± 2.17 cm (T2), and 17.59 ± 2.28 cm (T3). Through the analysis of cone index results, it was found that most of the tillage depth was performed in the 11–23 cm section estimated to be hardpan. The tillage depth varies from 11 to 23 cm. In addition, the pitch angle of attached implement showed a linear increase with increasing tillage depth. In particular, the pitch angle increases relatively sharply around 22–23 cm, which is believed to be affected by the very large soil mechanical properties such as shear strength, surface energy, and bulk density at that depth. The target tillage depth varies by worker or agricultural environment, so data trend analysis is required for precise measurements based on mechanical load and fuel efficiency. Therefore, it is necessary to carry out research on analysis of power requirements and fuel efficiency based on accurate field test measurement [39]. The descriptive statistics of measured tillage depth during repeated moldboard plowing are summarized in Table 4.

3.2. Statistical Analysis

Analyses of variance (ANOVA) including sum of square, degree of freedom (Df), Mean square, F-value, and p-value using statistical software (IBM SPSS Statistics, IBM, Chicago, USA) were conducted to analyze the influence of independent variable (tillage depth) on the dependent variables. In this case, analysis of variance was performed on one independent variable tillage depth, so one-way ANOVA was performed to verify whether the tillage depth had an effect on related conditions such as the power requirements of the engine, wheel axle, and hydraulic pump, as well as fuel efficiency parameters. The results showed a significant difference (p < 0.05) between tillage depth and all related conditions. These results suggest that classification by tillage depth in 1 cm increments affects the power requirements and fuel consumption rate of major tractor parts during moldboard plowing. Therefore, the analysis was performed according to the tillage depth through a Duncan’s multiple range test. The results of the ANOVA are summarized in Table 5.

3.3. Travel Speed and Slip Ratio

Figure 7 shows that the overall average value of travel speed and slip ratio, factors affecting the power requirements of the tractor, was greatly affected by the tillage depth. The theoretical speed at M3 gear stage of travel speed under no-load condition is 7.18 km/h, which means the travel speed of tractor in the case that no reduction in engine rotational speed due to work load has occurred. Compared to the theoretical speed, the travel speed during the moldboard plowing was relatively reduced from 13% (6.25 km/h at 11 cm) to 24.2% (5.44 km/h at 20 cm). Overall average slip ratio was 12.72%–13.9% of slip ratio in the 11–13 cm tillage depth range. However, as the tillage depth increased, the slip ratio increased rapidly up to 17.9% (19 cm). It can be seen that the travel speed slightly increased and the slip ratio decreased in the tillage depth section of about 22–23 cm. This is considered to be influenced by the decrease in soil resistance as the contact area between moldboard plow and soil decreases as the pitch angle occurs when the tillage depth is 20 cm or more. It is believed that this affected the moldboard plow and the power requirements due to the large soil shear strength at the bottom of the hardpan. In addition, it was confirmed that the decreasing rate of travel speed was greater than the increasing rate of slip ratio. As the tillage depth increases, the engine rpm and wheel axle rpm decreased due to the increase in work load.

3.4. Draft Force

The overall mean draft force between the moldboard plow and the soil according to tillage depth is shown in Figure 8. As the tillage depth increased from 11 cm to 23 cm, it was found that the draft force increased by up to 39.46% from 10.82 kN to 15.09 kN. In addition, it was confirmed that the average tillage depth of 0.35 kN increased with each 1 cm increase in the tillage depth. Based on these results, it can be determined that if the tillage depth increases, the soil resistance between the moldboard plow and the soil increases rapidly, which affect the work load of the agricultural tractor.

3.5. Engine

3.5.1. Engine Load

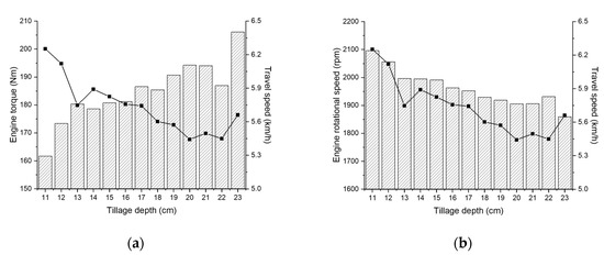
The overall mean engine torque and rotational speed of agricultural tractor according to tillage depth is shown in Figure 9. As for the engine torque, as the tillage depth increased from 11 cm to 23 cm, the engine torque increased by up to 27.4% (44.37 Nm), and as the tillage depth of 1 cm increased, the average engine torque 3.69 Nm increased. It is analyzed that up to 97.3% of torque was used compared to the engine’s maximum torque of 211.8 Nm. Engine rotational speed decreased by up to 11.3% (236.59 rpm) as tillage depth increased from 11 cm to 23 cm. This was found to be 15.49% (340.63 rpm) reduced compared to 2200 rpm at rated power. It is believed that the fuel consumption directly affected by the engine rotational speed will also decrease as the engine speed decreases as the tillage depth increases.

3.5.2. Power Requirements

The overall mean engine power requirements according to tillage depth is shown in Figure 10. As a result of analyzing the mean engine power requirements, it showed an average power requirement of 35–40 kW, which is about 83.3%–95.2% of the maximum engine power of 42 kW. When analyzing the values of the engine power requirements, only about 5 kW rose. However, considering that the slip ratio is increased by 5.18% while the travel speed decreases to 24.2% as the tillage depth increased, it can be determined that the increase is very large. This result means that as the tillage depth increased, the contact area between the attached implement and the soil cutting surface increased, and it can also be determined that the influence of soil properties increased with soil depth increases. In addition, when using 95% of the maximum engine power to the deepest 23 cm of the hardpan layer and the engine is not turned off, the tractor-implement combination selected in this study can be judged to be properly selected. The engine power requirements according to tillage depth are summarized in Table 6.

3.5.3. Fuel Consumption

The fuel efficiency according to tillage depth during plow operation is shown in Figure 11. The average fuel consumption rate tended to decrease overall as the tillage depth increased, similar to the engine speed. The maximum value of 10.44 ± 1.78 kg/h at 11 cm. Furthermore, the minimum average fuel consumption rate was 9.04 ± 0.58 kg/h in 23 cm, as shown in Figure 11a. We confirmed that larger engine power requirements reflecting tillage depth had a dramatic effect on fuel consumption. The results of the specific fuel consumption for different tillage depths is shown in Figure 11b. By analyzing the effect on the relationship between the specific fuel consumption with tillage depth and the engine load level of the tractor, the effect of tillage depth on fuel efficiency can be analyzed. Therefore, the analysis of the fuel efficiency of a tractor is generally expressed using specific fuel consumption (SFC) [45,46]. In overall mean values, the maximum SFC was 302.44 ± 6.04 g/kWh at 11 cm and minimum SFC was 236.93 ± 6.41 g/kWh at 23 cm, which was 21.7% lower than maximum value. In conclusion, it was confirmed that both the fuel consumption rate and specific fuel consumption were directly affected by the decrease in engine rpm as the tillage depth increased. In particular, specific fuel consumption was greatly influenced by an increase in engine power requirement as well as a decrease in engine rpm when the tillage depth increased. It was found that the deeper the tillage depth, the high fuel efficiency for the same gear selection during the moldboard plowing operation. The fuel consumption rate and specific fuel consumption according to tillage depth are summarized in Table 7 and Table 8.

3.6. Wheel Axle Power Requirements

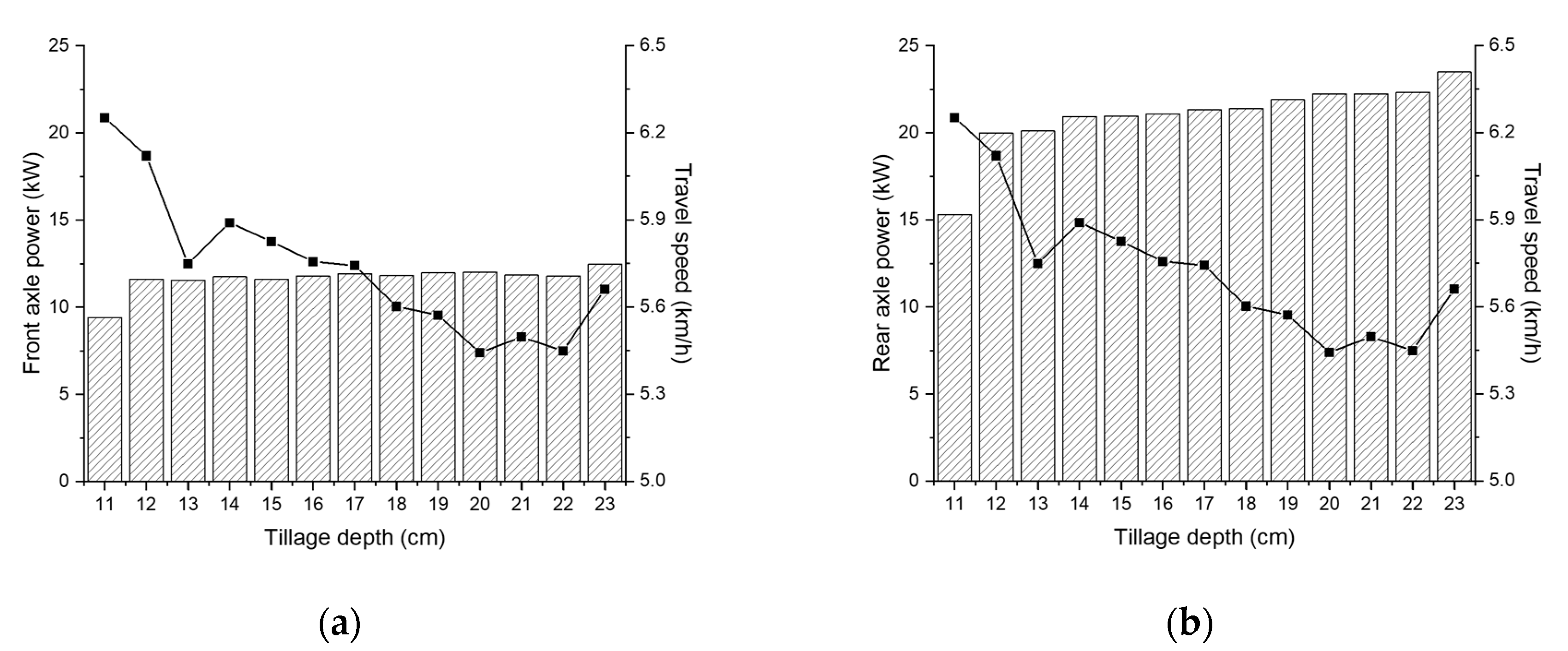
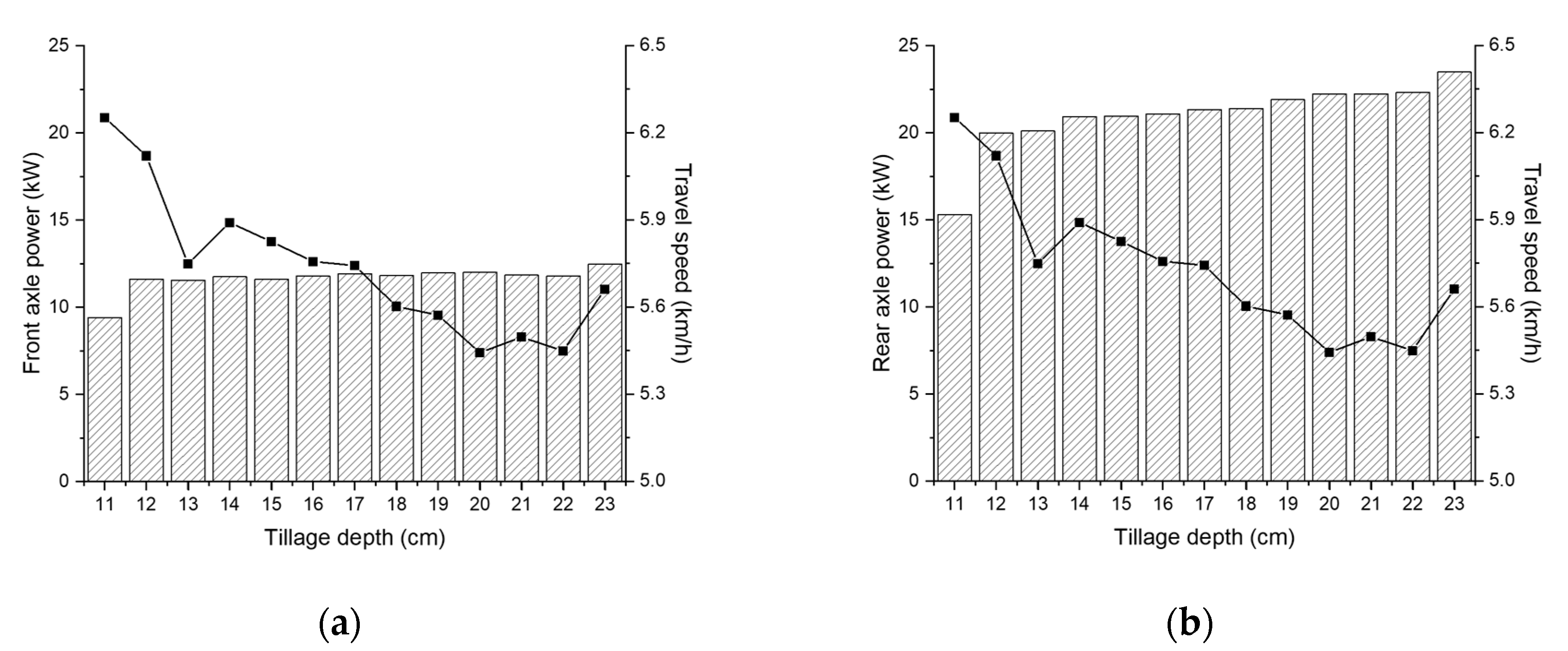
The overall mean power requirements of the wheel axle according to tillage depth are shown in Figure 12. In case of front axle power requirements, the minimum value is 9.4 ± 3.94 kW at 11 cm and the maximum value is 12.48 ± 0.82 kW at 23 cm. These results showed a large difference of 9.39% between the maximum and minimum. In case of mean power requirements of the rear wheel axle, the minimum value is 15.31 ± 7.61 kW at 11 cm and the maximum value is 23.49 ± 1.26 kW at 23 cm. These results showed a large difference of 27.04% between the maximum and minimum, and it was judged that the mechanical load due to the very large soil resistance when operating in the deep soil depth of the attached implement had an effect on the rapid increase in power requirements. Comparing the results for mean values, the difference between the shallow tillage depth ranges and deep tillage depth ranges at the rear wheel axle is larger than at the front wheel axle. This is basically due to the difference in tire diameter and thickness, because the rear wheel axle is about 100 kg heavier than the front wheel axle and is closer to the attached implement, resulting in a larger workload, which is increased during tillage operation [47]. The detailed power requirement results of the wheel axle are listed in Table 9 and Table 10.

3.7. Hydraulic Pump Power Requirements

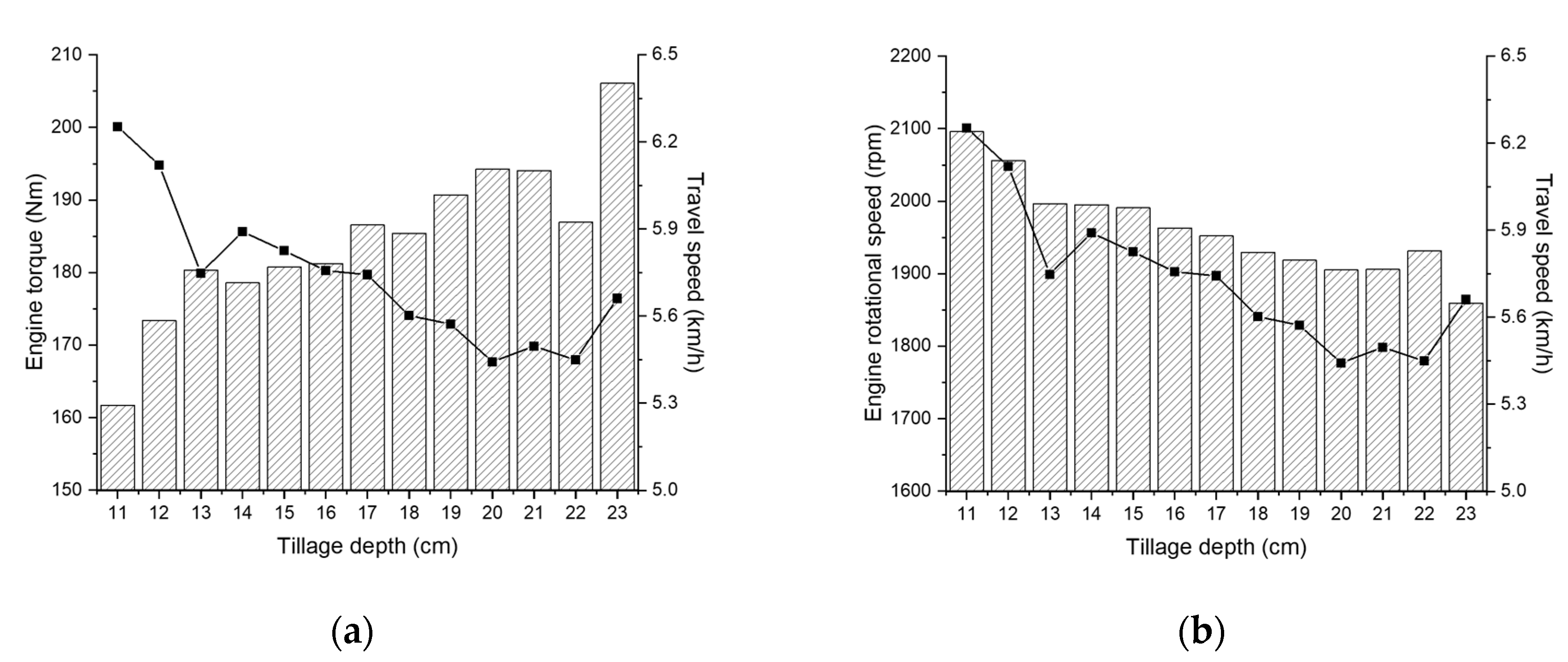
The power requirements of the hydraulic pump according to tillage depth are shown in Figure 13. In the case of the hitch pump, the minimum power requirement was 1.57 ± 0.33 kW at 22 cm and the maximum power requirement of the hitch pump was 1.8 ± 0.29 kW at 11 cm. The power requirements of the hitch pump tended to decrease obviously as the tillage depth increased, except for the depth of 23 cm. This is because the soil compaction of the shallow tillage depth ranges is relatively low, so it is considered that the power was used to control the ascending and descending required to fix the 3-point hitch, when the attachment moves extensively in a vertical direction. In the case of 23 cm, it is considered that the pitch angle of the work machine was instantaneously increased due to the high soil resistance. In the case of the steering pump, the minimum power requirement was 1.35 ± 0.07 kW at 21 cm and the maximum power requirement of the hitch pump was 0.42 ± 0.07 kW at 11 cm, respectively. Although statistically different, the overall steering pump has very low power requirements. This is because the test was only performed with a straight path, without considering the rotational or curved paths that may occur during moldboard plowing. The detailed power requirement results of the hydraulic pump are summarized in Table 11 and Table 12.

4. Discussion

In general, the engine load level compared with the rated engine power proportionally reflects the performance of the entire tractor [48,49]. In addition, agricultural tractors and related field equipment use a lot of energy and time on farming operations. Therefore, it is important to find the optimum working efficiency conditions, considering parameters that have a significant influence on power transmission efficiency, such as tillage depth.
In this study, as a result of analyzing power requirements according to the tillage depth, statistically, all power requirements of major parts showed significant differences according to tillage depth. In the case of the hydraulic pump (hitch and steering pump), statistically, it showed a difference, but the power transmission efficiency of hydraulic pump had a very small quantitative measurement value, and compared with the engine power requirements, the hitch pump was 4% and the steering pump was 1%. In addition, power transmission of the front axle increased by 2% depending on the tillage depth. In particular, in the case of rear wheel axle, power requirement was about 3.5 kW and power transmission efficiency was up to 10%, which was analyzed as the most affected major part of agricultural tractor according to tillage depth. Power transmission efficiency in tractor major parts compared to engine power requirement was 66% at 11 cm and 95% power transmission efficiency at the deepest tillage depth of 23 cm. This is much higher than the typical tractor power transmission efficiency of 84%–89% [50,51]. Through this, it was confirmed that the increase of most power transmission efficiency is achieved by the increase of power requirements in the wheel axle. In particular, as the tillage depth increased from 11 cm to 23 cm, the engine power increased from 35.48 kW to 40.11 kW by about 13% or more, but it was confirmed that the power transmission in each major part increased significantly. The power transmission efficiency with respect to engine power requirements according to tillage depth is shown in Figure 14.
These results show that the fuel efficiency increases as the specific fuel consumption tends to decrease rapidly from 302.44 g/kWh (11 cm) to 236.93 g/kWh (23 cm) as the tillage depth increased. This is considered to have shown a tendency that the power loss generated in the process of power transmission to the major part of the tractor engine power decreases from 16% (12 cm) to 5% (23 cm). Therefore, when analyzing the working efficiency of the tractor, it is considered that the fuel efficiency represented by power transmission efficiency and specific fuel efficiency according to tillage depth should be considered. In conclusion, it can be seen that the power transmission efficiency and the fuel efficiency increase as the tillage depth increased.
In addition, when analyzing the results according to the tillage depth from the viewpoint of the unit energy requirement, as the tillage depth increased 1 cm, the unit energy requirement increased by about 0.78 kWh/ha. The minimum unit energy requirement was 37.28 kWh/ha at 11 cm. The maximum unit energy requirement was 47.43 kWh/ha at 20 cm, and it was confirmed that the maximum difference was 27.2% depending on the tillage depth. The unit energy requirement of agricultural tractor according to tillage depth is shown in Figure 15.
In general, when working with the same mechanical tractor in different soils with different soil mechanical properties, the tillage depth affects the power requirements of the tractor, but it has not been considered in this test. Therefore, in the future study, it is planned to conduct a comparative analysis study on the analysis of the tillage depth effect on the tractor work load in various soil properties such as cohesion, adhesion, internal friction angle, shear modulus, and so on.

5. Conclusions

The objective of this study was to demonstrate the effect of tillage depth on the power transmission efficiency and fuel consumption rate of a tractor by measuring these parameters simultaneously through system configuration. In this study, a load measurement system and improved tillage depth measurement system were proposed to measure tractor power requirements and tillage depth during moldboard plowing. The proposed system configuration was able to accurately measure power requirements and tillage depth during moldboard plowing.
As a result of soil properties, the average cone index of the rice paddy changed rapidly at a depth of about 11 cm (1038.84 kPa) and peaked at 23 cm (3384.5 kPa), which means that the average hardpan distribution depth was from 11 cm to 23 cm. The field test considered this result and set the target tilling depth to the hardpan layer, and field test was repeated three times to ensure reliability of the measurement data. The statistical analysis results showed that the tillage depth conditions had a significant effect on the power requirements of the engine, wheel axle, pitch pump, and the fuel consumption rate. The results of the field experiment show that the power transmission efficiency increased by 29% (from 66% to 95%) and fuel efficiency 21.7% (from 302.44 g/kWh to 236.93 g/kWh) of the tractor increased dramatically, despite a decrease in engine rotational speed decreased by 11.3% (from 2095.96 rpm to 1859.37 rpm) and travel speed decreased by 24.2% (from 6.02 km/h to 5.44 km/h) as the tillage depth increases during the moldboard plowing. In particular, the power transmission efficiency of the rear axle showed the highest increase rate of 21% (from 38% to 59%). Therefore, it was concluded that tillage depth has a significant effect on power requirement and fuel consumption.
Based on the results of this study, it is anticipated that in the future, moldboard plowing can be customized by setting an optimum tillage depth according to soil and crop growth characteristics. In addition, the specific fuel consumption rate and crop growth environment can be improved. Therefore, operator working on moldboard plowing using tractors should set the permissible tillage depth as deep as possible considering the soil and crop growth characteristics to obtain high power transmission efficiency of agricultural tractor.
In conclusion, tillage depth was shown to have an effect on the power requirements of a tractor during moldboard plowing, using the proposed measurement system configuration. Not only the power requirements of the main parts of the tractor but also the power transmission efficiency was greatly influenced by tillage depth. Overall, moldboard plowing in the same gear tended to result in higher power transmission efficiency and fuel efficiency at deeper tillage depths. Therefore, when analyzing the power requirements of the main parts of the tractor and the fuel consumption rate during moldboard plowing, it is necessary to consider the effect of precise tillage depth in cm unit.
In the future research, considering the effect of tillage depth on the power transmission efficiency of the tractor will be used as a judgment factor in the development of automatic transmissions system, failure diagnosis system, and work history recording system, in the core field of smart digital farming of off-road machinery.

Author Contributions

Conceptualization, Y.-S.K., and Y.-J.K.; methodology, Y.-S.K., and M.A.A.S.; software, Y.-S.K., S.-Y.B., S.-M.B. and W.-S.K.; formal analysis, Y.-S.K.; investigation, Y.-S.K., and S.-H.C.; writing—original draft preparation, Y.-S.K.; writing—review and editing, Y.-S.K. and W.-S.K.; supervision, K.-H.L., D.-H.H., S.-U.P., Y.-J.K. and S.-D.L.; project administration, K.-H.L., D.-H.H., S.-U.P., Y.-J.K. and S.-D.L. All authors have read and agreed to the published version of the manuscript.

Funding

This work was supported by the Agricultural, Forestry, Food Research Center Support Program (Project No.: 714002-07), Ministry of Agricultural, Food and Rural Affairs.

Conflicts of Interest

The authors declare no conflict of interest.

References

  1. The Freedonia Group, I. Global Agricultural Equipment; The Freedonia Group: Cleveland, OH, USA, 2018. [Google Scholar]
  2. Kim, J.H.; Kim, K.U.; Wu, Y.G. Analysis of transmission load of agricultural tractors. J. Terramechanics 2000, 37, 113–125. [Google Scholar] [CrossRef]
  3. Ha, J.K. Development of Power Transmission System for Orchard Tractor. Ph.D. Thesis, Chungnam National University, Daejeon, Korea, 2015. [Google Scholar]
  4. Jung, G.H. Gear Train Design of 8-Speed Automatic Transmission for Tractor. J. Korean Soc. Fluid Power Constr. Equipments 2013, 10, 30–36. [Google Scholar]
  5. Hong, S.J.; Ha, J.K.; Kim, Y.J.; Seo, Y.W.; Chung, S.O. Performance Evaluation of a Driving Power Transmission System for 50 kW Narrow Tractors. J. Biosyst. Eng. 2018, 43, 1–13. [Google Scholar]
  6. Nahmgung, M.J. Load Analysis of Driving Axles and Life Evaluation of Driving Gear of PTO on Tractors. Ph.D Dissertation, Sungkyunkwan University, Seoul, Korea, 2001. [Google Scholar]
  7. Lee, J.S. An Analysis of the Load Spectrum of 70 kW-Class Tractor: Focused on Rotavating and Plowing Operation in Jeonbuk Region. Master’s Thesis, Chonbuk National University, Jeollabuk-do, Korea, 2014. [Google Scholar]
  8. Han, K.H.; Kim, K.U.; Wu, Y.G. Severness of Transmission Loads of Agricultural Tractor for Rotary Operations in Poorly Drained Paddy Field. J. Biosyst. Eng. 1999, 24, 293–300. [Google Scholar]
  9. Ranjbarian, S.; Askari, M.; Jannatkhah, J. Performance of tractor and tillage implements in clay soil. J. Saudi Soc. Agric. Sci. 2017, 16, 154–162. [Google Scholar] [CrossRef]
  10. Nkakini, S.O.; Port-harcourt, T.; Port-harcourt, T. Effects of Moisture Content, Bulk Density and Tractor forward Speeds on Energy Requirement of Disc Plough. Technology 2015, 6, 69–79. [Google Scholar]
  11. Kim, W.S.; Kim, Y.J.; Baek, S.M.; Baek, S.Y.; Moon, S.P.; Lee, N.G.; Kim, T.J.; Siddique, A.A.; Jeon, H.H.; Kim, Y.S. Effect of the Cone Index on the Work Load of the Agricultural Tractor. J. Drove Control. 2020, 17, 9–18. [Google Scholar]
  12. Díaz-Zorita, M. Effect of deep-tillage and nitrogen fertilization interactions on dryland corn (Zea mays L.) productivity. Soil Tillage Res. 2000, 54, 11–19. [Google Scholar] [CrossRef]
  13. Jang, J.H.; Kim, W.S.; Choi, C.H.; Park, S.U.; Kim, Y.J. Analysis of power requirement of the underground crop harvester attached on agricultural tractor during traction operation. KIIECT 2018, 11, 150–155. [Google Scholar]
  14. Serrano, J.M.; Peça, J.O.; Marques da Silva, J.; Pinheiro, A.; Carvalho, M. Tractor energy requirements in disc harrow systems. Biosyst. Eng. 2007, 98, 286–296. [Google Scholar] [CrossRef]
  15. Kheiralla, A.F.; Yahya, A.; Zohadie, M.; Ishak, W. Modelling of power and energy requirements for tillage implements operating in Serdang sandy clay loam, Malaysia. Soil Tillage Res. 2004, 78, 21–34. [Google Scholar] [CrossRef]
  16. Jabro, J.D.; Stevens, W.B.; Iversen, W.M.; Evans, R.G. Tillage Depth Effects on Soil Physical Properties, Sugarbeet Yield, and Sugarbeet Quality. Commun. Soil Sci. Plant Anal. 2010, 41, 908–916. [Google Scholar] [CrossRef]
  17. Grisso, R.D.; Yasin, M.; Kocher, M.F. Tillage implement forces operating in silty clay loam. Trans. Am. Soc. Agric. Eng. 1996, 39, 1977–1982. [Google Scholar] [CrossRef]
  18. Moeenifar, A.; Mousavi-Seyedi, S.R.; Kalantari, D. Influence of tillage depth, penetration angle and forward speed on the soil/thin-blade interaction force. Agric. Eng. Int. CIGR J. 2014, 16, 69–74. [Google Scholar]
  19. Raper, R.L.; Reeves, D.W.; Burmester, C.H.; Schwab, E.B. Tillage depth, tillage timing, and cover crop effects on cotton yield, soil strength, and tillage energy requirements. Appl. Eng. Agric. 2000, 16, 379–385. [Google Scholar] [CrossRef]
  20. Raheman, H.; Singh, R. Steering forces on undriven tractor wheel. J. Terramechanics 2003, 40, 161–178. [Google Scholar] [CrossRef]
  21. Upadhyay, G.; Raheman, H. Performance of combined offset disc harrow (front active and rear passive set configuration) in soil bin. J. Terramechanics 2018, 78, 27–37. [Google Scholar] [CrossRef]
  22. Shierlaw, J.; Alston, A.M. Effect of soil compaction on root growth and uptake of phosphorus. Plant Soil 1984, 77, 15–28. [Google Scholar] [CrossRef]
  23. Cook, A.; Marriott, C.A.; Seel, W.; Mullins, C.E. Effects of soil mechanical impedance on root and shoot growth of Lolium perenne L., Agrostis capillaris and Trifolium repens L. J. Exp. Bot. 1996, 47, 1075–1084. [Google Scholar] [CrossRef][Green Version]
  24. Czyz, E.A. Effects of traffic on soil aeration, bulk density and growth of spring barley. Soil Tillage Res. 2004, 79, 153–166. [Google Scholar] [CrossRef]
  25. Kumar, A.; Chen, Y.; Sadek, A.; Rahman, S. Soil cone index in relation to soil texture, moisture content, and bulk density for no-tillage and conventional tillage. Agric. Eng. Int. CIGR J. 2012, 14, 26–37. [Google Scholar]
  26. Singh, S.; Sharma, S.N.; Prasad, R. The effect of seeding and tillage methods on productivity of rice-wheat cropping system. Soil Tillage Res. 2001, 61, 125–131. [Google Scholar] [CrossRef]
  27. Lipiec, J.; Czyż, E.A.; Dexter, A.R.; Siczek, A. Effects of soil deformation on clay dispersion in loess soil. Soil Tillage Res. 2018, 184, 203–206. [Google Scholar] [CrossRef]
  28. Siczek, A.; Horn, R.; Lipiec, J.; Usowicz, B.; Łukowski, M. Effects of soil deformation and surface mulching on soil physical properties and soybean response related to weather conditions. Soil Tillage Res. 2015, 153, 175–184. [Google Scholar] [CrossRef]
  29. ASABE Standard. Agricultural Machinery Management Data (D497.4); ASABE: St. Joseph, MI, USA, 2000. [Google Scholar]
  30. Park, J.G. Bio-Production Machinery Engineering, 1st ed.; CIR: Seoul, Korea, 2008. [Google Scholar]
  31. Jiang, M.; Dai, Y.; Cui, L.; Xi, B. Experimental and DEM analyses on wheel-soil interaction. J. Terramechanics 2018, 76, 15–28. [Google Scholar] [CrossRef]
  32. Sakai, H.; Nordfjell, T.; Suadicani, K.; Talbot, B.; Bollehuus, E. Soil compaction on forest soils from different kinds of tires and tracks and possibility of accurate estimate. Croat. J. For. Eng. 2008, 29, 15–27. [Google Scholar]
  33. ASABE Standards. S313.3. Soil Cone Penetrometer; ASAE, Ed.; ASABE: St. Joseph, MI, USA, 2005; Volume 1999. [Google Scholar]
  34. ASABE Standards. EP542. Procedure for Using and Reporting Data Obtained with the Soil Cone Penetrometer; ASAE, Ed.; ASABE: St. Joseph, MI, USA, 2009; Volume 1999. [Google Scholar]
  35. Thien, S.J. A flow diagram for teaching texture-by-feel analysis. J. Agron. Educ. 1979, 8, 54–55. [Google Scholar] [CrossRef]
  36. Janulevicius, A.; Juostas, A.; Pupinis, G. Estimation of tractor wheel slippage with different tire pressures for 4WD and 2WD driving systems. In Proceedings of the Engineering for Rural Development, Jelgava, Latvia, 22–24 May 2019; Volume 18, pp. 88–93. [Google Scholar]
  37. Macmillan, R.H. The Mechanics of Tractor-Implement Performance: A Textbook for Students and Engineers; Melbourne’s Research Publications: Melbourene, Australia, 2003; pp. 1–4. [Google Scholar]
  38. Wong, J.Y. Theory of Ground Vehicles; John Wiley & Sons: New York, NY, USA, 2008. [Google Scholar]
  39. Kim, Y.; Kim, W.; Baek, S.; Baek, S.; Kim, Y.; Lee, S.; Kim, Y. Analysis of Tillage Depth and Gear Selection for Mechanical Load and Fuel Efficiency of an Agricultural Tractor Using an Agricultural Field Measuring System. Sensors 2020, 20, 2450. [Google Scholar] [CrossRef]
  40. Kim, Y.; Kim, T.; Kim, Y.; Lee, S.; Park, S.; Kim, W. Development of a Real-Time Tillage Depth Measurement System for Agricultural Tractors: Application to the Effect Analysis of Tillage Depth on Draft Force during Plow Tillage. Sensors 2020, 20, 912. [Google Scholar] [CrossRef]
  41. Kim, E.J.; Moon, S.G.; Oh, C.M.; Han, J.W. Working load measurement using 6-component load cell and fatigue damage analysis of composite working implement. J. Agric. Life Environ. Sci. 2017, 29, 225–236. [Google Scholar]
  42. Jia, H.; Guo, M.; Yu, H.; Li, Y.; Feng, X.; Zhao, J.; Qi, J. An adaptable tillage depth monitoring system for tillage machine. Biosyst. Eng. 2016, 151, 187–199. [Google Scholar] [CrossRef]
  43. Chen, Y.; Cavers, C.; Tessier, S.; Monero, F.; Lobb, D. Short-term tillage effects on soil cone index and plant development in a poorly drained, heavy clay soil. Soil Tillage Res. 2005, 82, 161–171. [Google Scholar] [CrossRef]
  44. USDA Natural Resources Conservation Service Soils. Available online: https://www.nrcs.usda.gov/wps/portal/nrcs/detail/soils/ref/?cid=nrcs142p2_054253 (accessed on 15 September 2019).
  45. Grogan, J.; Morris, D.A.; Searcy, S.W.; Stout, B.A. Microcomputer-based tractor performance monitoring and optimization system. J. Agric. Eng. Res. 1987, 38, 227–243. [Google Scholar] [CrossRef]
  46. Gonzalez-de-Soto, M.; Emmi, L.; Garcia, I.; Gonzalez-de-Santos, P. Reducing fuel consumption in weed and pest control using robotic tractors. Comput. Electron. Agric. 2015, 114, 96–113. [Google Scholar] [CrossRef]
  47. Kim, W.S.; Baek, S.Y.; Kim, T.J.; Kim, Y.A.; Park, S.U.; Choi, C.H.; Kim, Y.J. Work load analysis for determination of the reduction gear ratio for a 78 kW all wheel drive electric tractor design. Korean J. Agric. Sci. 2019, 46, 613–627. [Google Scholar]
  48. Janulevičius, A.; Juostas, A.; Pupinis, G. Tractor engine load and fuel consumption in road construction works. Transport 2010, 25, 403–410. [Google Scholar] [CrossRef][Green Version]
  49. Juostas, A.; Janulevičius, A. Evaluating working quality of tractors by their harmful impact on the environment. J. Environ. Eng. Landsc. Manag. 2009, 17, 106–113. [Google Scholar] [CrossRef]
  50. Ortiz-Cañavate, J.; Gil-Sierra, J.; Casanova-Kindelán, J.; Gil-Quirós, V. Classification of agricultural tractors according to the energy efficiencies of the engine and the transmission based on OECD tests. Appl. Eng. Agric. 2009, 25, 475–480. [Google Scholar] [CrossRef]
  51. Zoz, F.M.; Turner, R.J.; Shell, L.R. Power Delivery Efficiency: A valid measure of belt and tire tractor performance. Trans. Am. Soc. Agric. Eng. 2002, 45, 509–518. [Google Scholar]
Figure 1. Tractor-implement system used for field experiment in this study.
Figure 1. Tractor-implement system used for field experiment in this study.
Agronomy 10 01263 g001
Figure 2. Test procedure for measuring soil properties: (a) soil layer analysis process by measuring cone index, soil water content, shear stress, and bulk density; (b) soil texture analysis process through soil sampling, soil drying, and soil classification.
Figure 2. Test procedure for measuring soil properties: (a) soil layer analysis process by measuring cone index, soil water content, shear stress, and bulk density; (b) soil texture analysis process through soil sampling, soil drying, and soil classification.
Agronomy 10 01263 g002
Figure 3. (a) Configuration of the load measurement system and (b) power flow diagram for 42 kW power agricultural tractor used in this experiment.
Figure 3. (a) Configuration of the load measurement system and (b) power flow diagram for 42 kW power agricultural tractor used in this experiment.
Agronomy 10 01263 g003
Figure 4. (a) Configuration of the tillage depth measurement system and (b) measurement principle of the tillage depth measurement system during tillage operation.
Figure 4. (a) Configuration of the tillage depth measurement system and (b) measurement principle of the tillage depth measurement system during tillage operation.
Agronomy 10 01263 g004
Figure 5. Analysis of cone penetration test results of 30 repeated measurements using a cone penetrometer.
Figure 5. Analysis of cone penetration test results of 30 repeated measurements using a cone penetrometer.
Agronomy 10 01263 g005
Figure 6. Results of (a) tillage depth for three-time repeated test, (b) overall tillage depth distribution ratio, and (c) overall pitch angle of moldboard plow according to tillage depth.
Figure 6. Results of (a) tillage depth for three-time repeated test, (b) overall tillage depth distribution ratio, and (c) overall pitch angle of moldboard plow according to tillage depth.
Agronomy 10 01263 g006
Figure 7. Overall mean (a) travel speed, and (b) slip ratio of agricultural tractor according to tillage depth during moldboard plowing.
Figure 7. Overall mean (a) travel speed, and (b) slip ratio of agricultural tractor according to tillage depth during moldboard plowing.
Agronomy 10 01263 g007
Figure 8. Overall mean draft force according to tillage depth.
Figure 8. Overall mean draft force according to tillage depth.
Agronomy 10 01263 g008
Figure 9. Overall mean (a) engine torque, and (b) rotational speed of agricultural tractor according to tillage depth during moldboard plowing.
Figure 9. Overall mean (a) engine torque, and (b) rotational speed of agricultural tractor according to tillage depth during moldboard plowing.
Agronomy 10 01263 g009
Figure 10. Overall mean power requirements of the engine according to tillage depth.
Figure 10. Overall mean power requirements of the engine according to tillage depth.
Agronomy 10 01263 g010
Figure 11. Overall mean fuel consumption according to tillage depth: (a) fuel consumption rate, and (b) specific fuel consumption.
Figure 11. Overall mean fuel consumption according to tillage depth: (a) fuel consumption rate, and (b) specific fuel consumption.
Agronomy 10 01263 g011
Figure 12. Overall mean power requirements of wheel axle according to tillage depth: (a) front axle, and (b) rear axle.
Figure 12. Overall mean power requirements of wheel axle according to tillage depth: (a) front axle, and (b) rear axle.
Agronomy 10 01263 g012
Figure 13. Overall mean power requirements of hydraulic pump according to tillage depth: (a) power requirements of hitch pump, and (b) power requirements of steering pump.
Figure 13. Overall mean power requirements of hydraulic pump according to tillage depth: (a) power requirements of hitch pump, and (b) power requirements of steering pump.
Agronomy 10 01263 g013
Figure 14. Power transmission efficiency with respect to engine power.
Figure 14. Power transmission efficiency with respect to engine power.
Agronomy 10 01263 g014
Figure 15. Unit energy requirement of agricultural tractor according to tillage depth.
Figure 15. Unit energy requirement of agricultural tractor according to tillage depth.
Agronomy 10 01263 g015
Table 1. Specifications of the agricultural tractor.
Table 1. Specifications of the agricultural tractor.
ItemSpecification
WeightEmpty2615
Total3606
Static weight distribution (kg)FR594
FL548
RR696
RL777
Length (mm) × width (mm) × height (mm)3695 × 1848 × 2560
EngineRated power (kW)35.61 @ 2200 rpm
Max. torque (Nm)211.8 @ 1600 rpm
TransmissionMain4 stages
Sub6 stages
TireTypeBias
Size11.2-20PR, 14.9-30PR (front, rear)
Travel speed (km/h)Max. 33.8
Table 2. Specifications of the plowing implement.
Table 2. Specifications of the plowing implement.
ItemSpecification
Type of implementMoldboard plow
Length (mm) × width (mm) × height (mm)1680 × 1500 × 1235
Weight (kg)370
Number of rows4
Number of furrows2
Required power (kW)45–60
Maximum working depth (mm)200
Share typePlain coulter with spring
Travel speed (km/h)Max. 8
Table 3. Measured soil properties according to soil depth.
Table 3. Measured soil properties according to soil depth.
Soil PropertySurface to HardpanHardpan
0–56–1011–1516–2021–25
Cone index (kPa)1038.84981.691148.672415.723384.5
Shear strength (kPa)49.6564.5880.43101.14112.11
Surface energy ( J / m 2 )168.98211.48263.31344.18390.83
Bulk density ( kg / m 3 )1580.661831.91944.852019.72077.6
Soil moisture content (%)30.84   ±   2.29
Soil textureLoam
Table 4. Descriptive statistics of measured tillage depth (cm) during the field experiment.
Table 4. Descriptive statistics of measured tillage depth (cm) during the field experiment.
ClassificationMaximumMeanStandard Deviation
T123.0115.532.55
T223.5917.682.17
T322.2317.592.28
Table 5. One-way analyses of variance (ANOVA) results for analysis tillage depth effects.
Table 5. One-way analyses of variance (ANOVA) results for analysis tillage depth effects.
ItemSum of SquaresDfMean SquareF-Valuep-Value
Engine power23858.14121988.1754.480.000 *
Front wheel power3816.2612318.02331.990.000 *
Rear wheel power31786.91122648.91723.030.000 *
Hitch pump power375.971231.33221.730.000 *
Steering pump power15121.25190.810.000 *
Fuel consumption rate24837.66122069.8121.890.000 *
Specific fuel consumption366200.321230515.691214.220.000 *
* Significantly different at p < 0.05.
Table 6. Descriptive statistics of engine power requirements (kW) according to tillage depth.
Table 6. Descriptive statistics of engine power requirements (kW) according to tillage depth.
Tillage Depth (cm)T1T2T3Mean
1136.7932.8433.4235.48 f ± 1.6
1237.1235.3239.137.31 e ± 5.02
1337.0539.3338.3637.68 d ± 7.07
1437.5636.0737.5537.29 d ± 6.24
1538.3833.8539.3637.66 d ± 7.9
1637.4536.0138.2137.23 e ± 6.36
1738.3738.1137.7738.12 c ± 5.55
1836.2937.7638.1437.44 d ± 6.59
1938.538.3638.0238.29 c ± 4.85
2039.0538.6638.7238.73 b ± 4.23
2134.5438.639.7538.71 b ± 5.82
2241.9735.1239.537.79 d ± 7.13
2340.6239.840.0740.11 a ± 1.33
a, b, c, d, e, f Means within each row with the same combination of letters are not significantly different at p < 0.05 according to Duncan’s multiple range tests.
Table 7. Descriptive statistics of fuel consumption rate (kg/h) according to tillage depth.
Table 7. Descriptive statistics of fuel consumption rate (kg/h) according to tillage depth.
Tillage Depth (cm)T1T2T3Mean
1111.19.549.1210.44 a ± 1.78
1210.49.519.5410.2 b ± 1.68
139.629.339.439.53 ef ± 1.86
149.5110.369.59.66 d ± 2.07
159.5810.669.659.82 c ± 2.1
169.5610.19.629.73 d ± 1.9
179.59.449.729.54 ef ± 1.47
189.439.579.669.55 ef ± 2.19
199.669.369.529.46 fg ± 1.95
209.339.349.549.4 g ± 2.12
219.329.719.479.57 e ± 2.82
228.758.939.389.42 g ± 4.63
238.99.4199.04 h ± 0.58
a, b, c, d, e, ef, f, fg, g, h Means within each row with the same combination of letters are not significantly different at p < 0.05 according to Duncan’s multiple range tests.
Table 8. Descriptive statistics of specific fuel consumption (g/kWh) according to tillage depth.
Table 8. Descriptive statistics of specific fuel consumption (g/kWh) according to tillage depth.
Tillage Depth (cm)T1T2T3Mean
11301.71290.49272.89302.44 a ± 6.04
12280.17269.25243.98277.54 c ± 5.88
13259.64237.22245.82259.68 h ± 5.9
14253.19287.21252.99276.28 c ± 3.83
15249.6314.9245.17281.54 b ± 3.03
16255.27280.47251.76274.41 d ± 3.77
17247.58247.7257.34262.43 f ± 3.98
18259.85253.44253.27267.65 e ± 3.06
19250.9244250.39260.14 g ± 2.82
20238.92241.59246.38253.45 i ± 1.91
21269.83251.55238.23265.8 g ± 4.22
22208.48254.27237.46243.13 j ± 6.35
23219.1236.43224.6236.93 k ± 6.41
a, b, c, d, e, f, g, h, I, j, k Means within each row with the same combination of letters are not significantly different at p < 0.05 according to Duncan’s multiple range tests.
Table 9. Descriptive statistics of front axle power (kW) according to tillage depth.
Table 9. Descriptive statistics of front axle power (kW) according to tillage depth.
Tillage Depth (cm)T1T2T3Mean
1111.814.255.839.4 g ± 3.94
1211.810.4411.2811.62 f ± 2.22
1311.1912.7911.8411.56 f ± 2.44
1411.5511.6912.3511.75 de ± 2.08
1511.4911.2311.2411.6 e ±2.14
1611.7211.4612.3311.79 cde ±1.96
1711.7311.9412.1911.93 b ± 1.68
1811.3411.9712.111.82 cd ± 1.9
1911.6811.9212.2811.98 b ± 1.65
2012.0611.8212.3812.01 ± 1.78
2110.8211.6412.2811.84 b ± 1.96
2212.511.1912.2311.8 cde ± 2.4
2312.6313.2612.3412.48 a ± 0.82
a, b, c, cd, cde, d, de, e, f, g Means within each row with the same combination of letters are not significantly different at p < 0.05 according to Duncan’s multiple range tests.
Table 10. Descriptive statistics of rear axle power (kW) according to tillage depth.
Table 10. Descriptive statistics of rear axle power (kW) according to tillage depth.
Tillage Depth (cm)T1T2T3Mean
1120.145.427.8715.31 i ± 7.61
1220.6715.6118.4919.99 h ± 4.29
1320.0920.7519.8120.11 h ± 4.51
1421.3319.7620.7820.93 g ± 3.96
1521.5918.921.2620.96 ef ± 4.39
1621.8319.7121.2321.08 f ± 3.92
1721.9420.7921.1221.34 de ± 3.32
1821.4921.3621.3521.4 d ± 3.8
1922.3721.7621.921.91 c ± 3.19
2022.9622.1122.1322.24 b ± 3.46
2121.622.0822.5322.23 b ± 3.65
2224.921.2122.9522.33 b ± 4.56
2325.2224.1523.1123.49 a ± 1.26
a, b, c, d, de, e, ef, f, g, h, i Means within each row with the same combination of letters are not significantly different at p < 0.05 according to Duncan’s multiple range tests.
Table 11. Descriptive statistics of hitch pump power (kW) according to tillage depth.
Table 11. Descriptive statistics of hitch pump power (kW) according to tillage depth.
Tillage Depth (cm)T1T2T3Mean
111.81.651.911.8 a ± 0.29
121.791.541.851.78 b ± 0.32
131.681.541.781.68 d ± 0.38
141.741.491.721.69 cd ± 0.35
151.781.421.721.69 c ± 0.39
161.771.471.751.68 d ±   0.37
171.781.511.781.69 cd ± 0.39
181.751.461.761.62 e ± 0.38
191.851.461.741.62 e ± 0.37
201.851.451.721.58 f ± 0.35
211.711.451.681.58 fg ± 0.32
222.311.451.581.57 g ±0.33
232.271.631.51.61 e ± 0.33
a, b, c, cd, d, e, f, fg, g Means within each row with the same combination of letters are not significantly different at p < 0.05 according to Duncan’s multiple range tests.
Table 12. Descriptive statistics of steering pump power (kW) according to tillage depth.
Table 12. Descriptive statistics of steering pump power (kW) according to tillage depth.
Tillage Depth (cm)T1T2T3Mean
110.410.420.430.42 a ± 0.07
120.40.380.420.4 b ± 0.07
130.370.380.410.38 c ± 0.08
140.380.360.40.38 c ± 0.08
150.370.340.40.37 d ± 0.08
160.370.350.40.37 e ± 0.08
170.360.350.40.37 ef ± 0.07
180.350.350.40.36 h ± 0.08
190.370.350.390.36 h ± 0.08
200.370.340.390.36 i ± 0.07
210.330.330.380.35 i ± 0.07
220.330.330.380.36 i ± 0.07
230.360.360.370.37 fg ± 0.06
a, b, c, d, e, ef, fg, h, i Means within each row with the same combination of letters are not significantly different at p < 0.05 according to Duncan’s multiple range tests.

Share and Cite

MDPI and ACS Style

Kim, Y.-S.; Kim, W.-S.; Siddique, M.A.A.; Baek, S.-Y.; Baek, S.-M.; Cheon, S.-H.; Lee, S.-D.; Lee, K.-H.; Hong, D.-H.; Park, S.-U.; et al. Power Transmission Efficiency Analysis of 42 kW Power Agricultural Tractor According to Tillage Depth during Moldboard Plowing. Agronomy 2020, 10, 1263. https://doi.org/10.3390/agronomy10091263

AMA Style

Kim Y-S, Kim W-S, Siddique MAA, Baek S-Y, Baek S-M, Cheon S-H, Lee S-D, Lee K-H, Hong D-H, Park S-U, et al. Power Transmission Efficiency Analysis of 42 kW Power Agricultural Tractor According to Tillage Depth during Moldboard Plowing. Agronomy. 2020; 10(9):1263. https://doi.org/10.3390/agronomy10091263

Chicago/Turabian Style

Kim, Yeon-Soo, Wan-Soo Kim, Md. Abu Ayub Siddique, Seung-Yun Baek, Seung-Min Baek, Su-Hwan Cheon, Sang-Dae Lee, Kyeong-Hwan Lee, Dong-Hyuck Hong, Seong-Un Park, and et al. 2020. "Power Transmission Efficiency Analysis of 42 kW Power Agricultural Tractor According to Tillage Depth during Moldboard Plowing" Agronomy 10, no. 9: 1263. https://doi.org/10.3390/agronomy10091263

APA Style

Kim, Y.-S., Kim, W.-S., Siddique, M. A. A., Baek, S.-Y., Baek, S.-M., Cheon, S.-H., Lee, S.-D., Lee, K.-H., Hong, D.-H., Park, S.-U., & Kim, Y.-J. (2020). Power Transmission Efficiency Analysis of 42 kW Power Agricultural Tractor According to Tillage Depth during Moldboard Plowing. Agronomy, 10(9), 1263. https://doi.org/10.3390/agronomy10091263

Note that from the first issue of 2016, this journal uses article numbers instead of page numbers. See further details here.

Article Metrics

Back to TopTop