Rice Yield Gaps in Smallholder Systems of the Kilombero Floodplain in Tanzania
Abstract
1. Introduction
2. Materials and Methods
2.1. Experiments
2.2. Treatments and Management
2.3. Yield Gap Concept and Data Analyses
| Total gap: | YGT = YPot−YFac | (yield-defining, limiting, and reducing factors); |
| Yield gap 1: | YG1 = YPot−YAtt | (yield-defining; non-controllable factors); |
| Yield gap 2: | YG2 = YAtt−YAch | (only the yield-limiting factors); |
| Yield gap 3: | YG3 = YAch−YFac | (only yield-reducing factors); |
| Exploitable gap: | YGE = YAtt−YFac | (yield-limiting and reducing factors); |
3. Results
3.1. Total and Exploitable Yield Gaps
3.2. Disentangling the Total Yield Gap
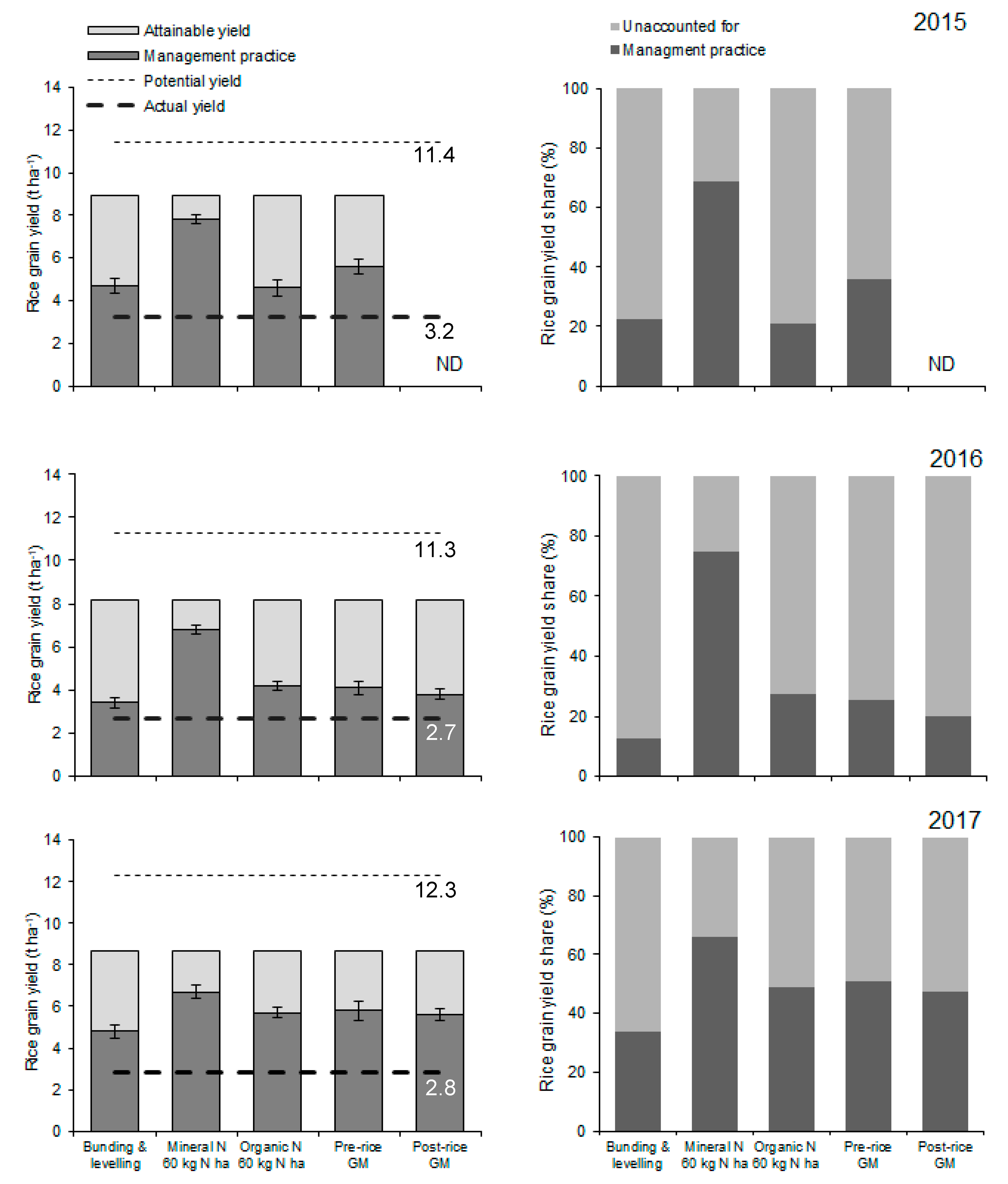
3.3. Disentangling the Exploitable Yield Gap
4. Discussion
4.1. The Extent of Total and Exploitable Yield Gaps
4.2. Disentangling the Total Yield Gap
4.3. Disentangling the Exploitable Yield Gap
5. Conclusions
Author Contributions
Funding
Acknowledgments
Conflicts of Interest
References
- Tanaka, A.; Johnson, J.-M.; Senthilkumar, K.; Akakpo, C.; Segda, Z.; Yameogo, L.P.; Bassoro, I.; Lamare, D.M.; Allarangaye, M.D.; Gbakatchetche, H. On-farm rice yield and its association with biophysical factors in sub-Saharan Africa. Eur. J. Agron. 2017, 85, 1–11. [Google Scholar] [CrossRef]
- Scoones, I.; Smalley, R.; Hall, R.; Tsikata, D. Narratives of scarcity: Framing the global land rush. Geoforum 2019, 101, 231–241. [Google Scholar] [CrossRef]
- Tilman, D.; Balzer, C.; Hill, J.; Befort, B.L. Global food demand and the sustainable intensification of agriculture. Proc. Natl. Acad. Sci. USA 2011, 108, 20260–20264. [Google Scholar] [CrossRef]
- Zabel, F.; Delzeit, R.; Schneider, J.M.; Seppelt, R.; Mauser, W.; Václavík, T. Global impacts of future cropland expansion and intensification on agricultural markets and biodiversity. Nat. Commun. 2019, 10, 2844. [Google Scholar] [CrossRef] [PubMed]
- Neumann, K.; Verburg, P.H.; Stehfest, E.; Müller, C. The yield gap of global grain production: A spatial analysis. Agric. Syst. 2010, 103, 316–326. [Google Scholar] [CrossRef]
- Fischer, R.A. Definitions and determination of crop yield, yield gaps, and of rates of change. Field Crops Res. 2015, 182, 9–18. [Google Scholar] [CrossRef]
- van Ittersum, M.K.; Cassman, K.G. Yield gap analysis—Rationale, methods and applications—Introduction to the Special Issue. Field Crops Res. 2013, 143, 1–3. [Google Scholar] [CrossRef]
- van Oort, P.A.J.; Saito, K.; Dieng, I.; Grassini, P.; Cassman, K.G.; van Ittersum, M.K. Can yield gap analysis be used to inform R&D prioritisation? Glob. Food Sec. 2017, 12, 109–118. [Google Scholar] [CrossRef]
- Sumberg, J. Mind the (yield) gap(s). Food Sec. 2012, 4, 509–518. [Google Scholar] [CrossRef]
- van Oort, P.A.J.; Zwart, S.J. Impacts of climate change on rice production in Africa and causes of simulated yield changes. Glob. Chang. Biol. 2018, 24, 1029–1045. [Google Scholar] [CrossRef]
- Lobell, D.B.; Gourdji, S.M. The influence of climate change on global crop productivity. Plant Physiol. 2012, 160, 1686–1697. [Google Scholar] [CrossRef]
- Herdt, R.W.; Wickham, T.H. Exploring the gap between potential and actual rice yield in the Philippines. Food Res. Inst. Stud. 1975, 14, 163–181. [Google Scholar] [CrossRef]
- van Ittersum, M.K.; Rabbinge, R. Concepts in production ecology for analysis and quantification of agricultural input-output combinations. Field Crops Res. 1997, 52, 197–208. [Google Scholar] [CrossRef]
- Kropff, M.J.; van Laar, H.H.; Matthews, R.B. ORYZA 1: An Ecophysiological Model for Irrigated Rice Production; SARP Research Proceedings: Wageningen, The Netherlands, 1994; ISBN 9789073384231. [Google Scholar]
- Wopereis, M.C.S.; Bouman, B.A.M.; Tuong, T.P.; Berge, H.F.M.; Kropff, M.J. ORYZA-W. Rice Growth Model for Irrigated and Rainfed Environments; SARP Research Proceedings: Wageningen, The Netherlands, 1996; ISBN 9073384397. [Google Scholar]
- Drenth, H.; Berge, H.F.M., X; Riethoven, J.J.M. ORYZA Simulation Models for Potential and Nitrogen Limited Rice Production; SARP Research Proceedings: Wageningen, The Netherlands, 1994. [Google Scholar]
- Bouman, B.A.M. ORYZA2000. Modeling Lowland Rice; IRRI: Los Baños, Philippines, 2001; ISBN 9712201716. [Google Scholar]
- Gaydon, D.S.; Probert, M.E.; Buresh, R.J.; Meinke, H.; Suriadi, A.; Dobermann, A.; Bouman, B.; Timsina, J. Rice in cropping systems—Modelling transitions between flooded and non-flooded soil environments. Eur. J. Agron. 2012, 39, 9–24. [Google Scholar] [CrossRef]
- Gaydon, D.S.; Balwinder, S.; Wang, E.; Poulton, P.L.; Ahmad, B.; Ahmed, F.; Akhter, S.; Ali, I.; Amarasingha, R.; Chaki, A.K.; et al. Evaluation of the APSIM model in cropping systems of Asia. Field Crops Res. 2017, 204, 52–75. [Google Scholar] [CrossRef]
- Li, T.; Angeles, O.; Marcaida, M.; Manalo, E.; Manalili, M.P.; Radanielson, A.; Mohanty, S. From ORYZA2000 to ORYZA (v3): An improved simulation model for rice in drought and nitrogen-deficient environments. Agric. For. Meteorol. 2017, 237–238, 246–256. [Google Scholar] [CrossRef] [PubMed]
- Liu, J.; Liu, Z.; Zhu, A.-X.; Shen, F.; Lei, Q.; Duan, Z. Global sensitivity analysis of the APSIM-Oryza rice growth model under different environmental conditions. Sci. Total Environ. 2019, 651, 953–968. [Google Scholar] [CrossRef]
- Beza, E.; SILVA, J.V.; Kooistra, L.; Reidsma, P. Review of yield gap explaining factors and opportunities for alternative data collection approaches. Eur. J. Agron. 2017, 82, 206–222. [Google Scholar] [CrossRef]
- Lobell, D.B. The use of satellite data for crop yield gap analysis. Field Crops Res. 2013, 143, 56–64. [Google Scholar] [CrossRef]
- Muller, A.; Schader, C.; El-Hage Scialabba, N.; Brüggemann, J.; Isensee, A.; Erb, K.-H.; Smith, P.; Klocke, P.; Leiber, F.; Stolze, M.; et al. Strategies for feeding the world more sustainably with organic agriculture. Nat. Commun. 2017, 8, 1290. [Google Scholar] [CrossRef]
- Stuart, A.M.; Pame, A.R.P.; SILVA, J.V.; Dikitanan, R.C.; Rutsaert, P.; Malabayabas, A.J.B.; Lampayan, R.M.; Radanielson, A.M.; Singleton, G.R. Yield gaps in rice-based farming systems: Insights from local studies and prospects for future analysis. Field Crops Res. 2016, 194, 43–56. [Google Scholar] [CrossRef]
- Tittonell, P.; Giller, K.E. When yield gaps are poverty traps: The paradigm of ecological intensification in African smallholder agriculture. Field Crops Res. 2013, 143, 76–90. [Google Scholar] [CrossRef]
- Becker, M.; Johnson, D.E. Rice yield and productivity gaps in irrigated systems of the forest zone of Côte d’Ivoire. Field Crops Res. 1999, 60, 201–208. [Google Scholar] [CrossRef]
- Becker, M.; Johnson, D.E. Improved water control and crop management effects on lowland riceproductivity in West Africa. Nutr. Cycl. Agroecosys. 2001, 59, 119–127. [Google Scholar] [CrossRef]
- Touré, A.; Becker, M.; Johnson, D.E.; Koné, B.; Kossou, D.K.; Kiepe, P. Response of lowland rice to agronomic management under different hydrological regimes in an inland valley of Ivory Coast. Field Crops Res. 2009, 114, 304–310. [Google Scholar] [CrossRef]
- Tsujimoto, Y.; Rakotoson, T.; Tanaka, A.; Saito, K. Challenges and opportunities for improving N use efficiency for rice production in sub-Saharan Africa. Plant. Prod. Sci. 2019, 22, 413–427. [Google Scholar] [CrossRef]
- Mombo, F.; Speelman, S.; van Huylenbroeck, G.; Hella, J.; Pantaleo, M. Ratification of the Ramsar convention and sustainable wetlands management: Situation analysis of the Kilombero Valley wetlands in Tanzania. J. Agric. Ext. Rural Dev. 2011, 3, 153–164. [Google Scholar]
- Buseth, J.T. The green economy in Tanzania: From global discourses to institutionalization. Geoforum 2017, 86, 42–52. [Google Scholar] [CrossRef]
- Kwesiga, J.; Grotelüschen, K.; Neuhoff, D.; Senthilkumar, K.; Döring, T.F.; Becker, M. Site and management effects on grain yield and yield variability of rainfed lowland rice in the Kilombero Floodplain of Tanzania. Agronomy 2019, 9, 632. [Google Scholar] [CrossRef]
- Senthilkumar, K.; Rodenburg, J.; Dieng, I.; Vandamme, E.; Sillo, F.S.; Johnson, J.M.; Rajaona, A.; Ramarolahy, J.A.; Gasore, R.; Abera, B.B.; et al. Quantifying rice yield gaps and their causes in Eastern and Southern Africa. J. Agron. Crop. Sci. 2020, 206, 478–490. [Google Scholar] [CrossRef]
- Senthilkumar, K.; Tesha, B.J.; Mghase, J.; Rodenburg, J. Increasing paddy yields and improving farm management: Results from participatory experiments with good agricultural practices (GAP) in Tanzania. Paddy Water Environ. 2018, 16, 749–766. [Google Scholar] [CrossRef]
- Gabiri, G.; Burghof, S.; Diekkrüger, B.; Leemhuis, C.; Steinbach, S.; Näschen, K. Modeling spatial soil water dynamics in a tropical Floodplain, East Africa. Water 2018, 10, 191. [Google Scholar] [CrossRef]
- Näschen, K.; Diekkrüger, B.; Leemhuis, C.; Steinbach, S.; Seregina, L.S.; Thonfeld, F.; van der Linden, R. Hydrological modeling in data-scarce catchments: The Kilombero floodplain in Tanzania. Water 2018, 10, 599. [Google Scholar] [CrossRef]
- Kwesiga, J.; Neuhoff, D.; Senthilkumar, K.; Döring, T.F.; Becker, M. Effect of organic amendments on the productivity of rainfed lowland rice in the Kilombero floodplain of Tanzania. Agronomy 2020, in press. [Google Scholar]
- Grotelüschen, K.; Gaydon, D.S.; Langensiepen, M.; Senthilkumar, K.; Kwesiga, J.; Ziegler, S.; Whitbread, A.M.; Becker, M. Crop management differentially affects rice along hydrological gradients in contrasting East African wetlands. Field Crops Res. 2020. in preparation. [Google Scholar]
- Laborte, A.G.; de Bie, K.C.; Smaling, E.M.; Moya, P.F.; Boling, A.A.; Van Ittersum, M.K. Rice yields and yield gaps in Southeast Asia: Past trends and future outlook. Eur. J. Agron. 2012, 36, 9–20. [Google Scholar] [CrossRef]
- Saito, K.; Dieng, I.; Toure, A.A.; Somado, E.A.; Wopereis, M.C.S. Rice yield growth analysis for 24 African countries over 1960–2012. Glob. Food Sec. 2015, 5, 62–69. [Google Scholar] [CrossRef]
- Boling, A.A.; Tuong, T.P.; Suganda, H.; Konboon, Y.; Harnpichitvitaya, D.; Bouman, B.A.M.; Franco, D.T. The effect of toposequence position on soil properties, hydrology, and yield of rainfed lowland rice in Southeast Asia. Field Crops Res. 2008, 106, 22–33. [Google Scholar] [CrossRef]
- Saito, K.; Vandamme, E.; Johnson, J.-M.; Tanaka, A.; Senthilkumar, K.; Dieng, I.; Akakpo, C.; Gbaguidi, F.; Segda, Z.; Bassoro, I.; et al. Yield-limiting macronutrients for rice in sub-Saharan Africa. Geoderma 2019, 338, 546–554. [Google Scholar] [CrossRef]
- Saito, K.; Nelson, A.; Zwart, S.J.; Niang, A.; Sow, A.; Yoshida, H.; Wopereis, M.C.S. Towards a better understanding of biophysical determinants of yield gaps and the potential for expansion of the rice area in Africa. In Realizing Africa’s Rice Promise; Wopereis, M.C.S., Johnson, D.E., Ahmadi, N., Tollens, E., Jalloh, A., Eds.; CABI: Wallingford, UK, 2013; pp. 188–203. ISBN 9781845938123. [Google Scholar]
- Boling, A.A.; Tuong, T.P.; van Keulen, H.; Bouman, B.A.M.; Suganda, H.; Spiertz, J.H.J. Yield gap of rainfed rice in farmers’ fields in Central Java, Indonesia. Agric. Syst. 2010, 103, 307–315. [Google Scholar] [CrossRef]
- Silva, J.V.; Reidsma, P.; Laborte, A.G.; Van Ittersum, M.K. Explaining rice yields and yield gaps in Central Luzon, Philippines: An application of stochastic frontier analysis and crop modelling. Eur. J. Agron. 2017, 82, 223–241. [Google Scholar] [CrossRef]
- Niang, A.; Becker, M.; Ewert, F.; Tanaka, A.; Dieng, I.; Saito, K. Yield variation of rainfed rice as affected by field water availability and N fertilizer use in central Benin. Nutr. Cycl. Agroecosys. 2018, 110, 293–305. [Google Scholar] [CrossRef]
- Becker, M.; Wopereis, M.C.S.; Johnson, D.E. The role of N nutrition on lowland rice yields along an agroecological gradient in West Africa. Plant Nutr. 2001, 92, 970–971. [Google Scholar] [CrossRef]
- Daniel, S.; Gabiri, G.; Kirimi, F.; Glasner, B.; Näschen, K.; Leemhuis, C.; Steinbach, S.; Mtei, K. Spatial distribution of soil hydrological properties in the Kilombero Floodplain, Tanzania. Hydrology 2017, 4, 57. [Google Scholar] [CrossRef]
- Anderson, W.; Johansen, C.; Siddique, K.H.M. Addressing the yield gap in rainfed crops: A review. Agron. Sustain. Dev. 2016, 36, 1–13. [Google Scholar] [CrossRef]
- Raes, D.; Kafiriti, E.M.; Wellens, J.; Deckers, J.; Maertens, A.; Mugogo, S.; Dondeyne, S.; Descheemaeker, K. Can soil bunds increase the production of rain-fed lowland rice in south eastern Tanzania? Agric. Water Manage. 2007, 89, 229–235. [Google Scholar] [CrossRef]
- Worou, O.N.; Gaiser, T.; Saito, K.; Goldbach, H.; Ewert, F. Spatial and temporal variation in yield of rainfed lowland rice in inland valley as affected by fertilizer application and bunding in North-West Benin. Agric. Water Manag. 2013, 126, 119–124. [Google Scholar] [CrossRef]
- Nhamo, N.; Rodenburg, J.; Zenna, N.; Makombe, G.; Luzi-Kihupi, A. Narrowing the rice yield gap in East and Southern Africa: Using and adapting existing technologies. Agric. Syst. 2014, 131, 45–55. [Google Scholar] [CrossRef]
- Niang, A.; Becker, M.; Ewert, F.; Dieng, I.; Gaiser, T.; Tanaka, A.; Senthilkumar, K.; Rodenburg, J.; Johnson, J.-M.; Akakpo, C.; et al. Variability and determinants of yields in rice production systems of West Africa. Field Crops Res. 2017, 207, 1–12. [Google Scholar] [CrossRef]
- Saidia, P.S.; Mrema, J.P. Effects of farmyard manure and activated effective microorganisms on rain-fed upland rice in Mwanza, Tanzania. Org. Agr. 2017, 7, 83–93. [Google Scholar] [CrossRef]
- Haefele, S.M.; Sipaseuth, N.; Phengsouvanna, V.; Dounphady, K.; Vongsouthi, S. Agro-economic evaluation of fertilizer recommendations for rainfed lowland rice. Field Crops Res. 2010, 119, 215–224. [Google Scholar] [CrossRef]
- Nandwa, S.M.; Obanyi, S.N.; Mafongoya, P.L. Agro-ecological distribution of legumes in farming systems and identification of biophysical niches for legumes growth. In Fighting Poverty in Sub-SAHARAN Africa: The Multiple Roles of Legumes in Integrated Soil Fertility Management; Bationo, A., Ed.; Springer: New York, NY, USA, 2011; pp. 1–26. ISBN 978-94-007-1535-6. [Google Scholar]



| Yield Gaps/ Effects | Reference Gaps | Component Gaps | |||||||||
|---|---|---|---|---|---|---|---|---|---|---|---|
| Total Yield Gap (YGT) | Exploitable Gap (YGE) | Yield-Defining Factors (YG1) | Yield-Limiting Factors (YG2) | Yield-Reducing Factors (YG3) | |||||||
| t ha−1 | % | t ha−1 | % | t ha−1 | % | t ha−1 | % | t ha−1 | % | ||
| Position effects | Fringe | 8.3 | 72 | 6.5 | 56 | 1.8 | 16 | 2.3 | 20 | 4.2 | 36 |
| Middle | 9.0 | 80 | 6.0 | 53 | 3.0 | 26 | 1.2 | 11 | 4.8 | 42 | |
| Center * | 8.8 | 76 | 4.4 | 39 | 4.3 | 38 | 1.3 | 11 | 3.2 | 28 | |
| Time effects | 2015 ** | 8.2 | 72 | 5.7 | 50 | 2.5 | 22 | 1.1 | 10 | 4.6 | 40 |
| 2016 | 8.6 | 76 | 5.5 | 49 | 3.1 | 27 | 1.4 | 12 | 4.1 | 36 | |
| 2017 | 9.5 | 77 | 5.9 | 48 | 3.6 | 29 | 2.0 | 16 | 3.9 | 32 | |
© 2020 by the authors. Licensee MDPI, Basel, Switzerland. This article is an open access article distributed under the terms and conditions of the Creative Commons Attribution (CC BY) license (http://creativecommons.org/licenses/by/4.0/).
Share and Cite
Kwesiga, J.; Grotelüschen, K.; Senthilkumar, K.; Neuhoff, D.; Döring, T.F.; Becker, M. Rice Yield Gaps in Smallholder Systems of the Kilombero Floodplain in Tanzania. Agronomy 2020, 10, 1135. https://doi.org/10.3390/agronomy10081135
Kwesiga J, Grotelüschen K, Senthilkumar K, Neuhoff D, Döring TF, Becker M. Rice Yield Gaps in Smallholder Systems of the Kilombero Floodplain in Tanzania. Agronomy. 2020; 10(8):1135. https://doi.org/10.3390/agronomy10081135
Chicago/Turabian StyleKwesiga, Julius, Kristina Grotelüschen, Kalimuthu Senthilkumar, Daniel Neuhoff, Thomas F. Döring, and Mathias Becker. 2020. "Rice Yield Gaps in Smallholder Systems of the Kilombero Floodplain in Tanzania" Agronomy 10, no. 8: 1135. https://doi.org/10.3390/agronomy10081135
APA StyleKwesiga, J., Grotelüschen, K., Senthilkumar, K., Neuhoff, D., Döring, T. F., & Becker, M. (2020). Rice Yield Gaps in Smallholder Systems of the Kilombero Floodplain in Tanzania. Agronomy, 10(8), 1135. https://doi.org/10.3390/agronomy10081135

