Local-Scale Cereal Yield Forecasting in Italy: Lessons from Different Statistical Models and Spatial Aggregations
Abstract
1. Introduction
2. Area of Study
3. Materials and Methods
3.1. Yield Data
3.2. Yield Predictors
3.2.1. Meteorological Variables
3.2.2. Remote Sensing Indicators
3.3. Statistical Models
3.4. Estimation Strategy
4. Results and Discussion
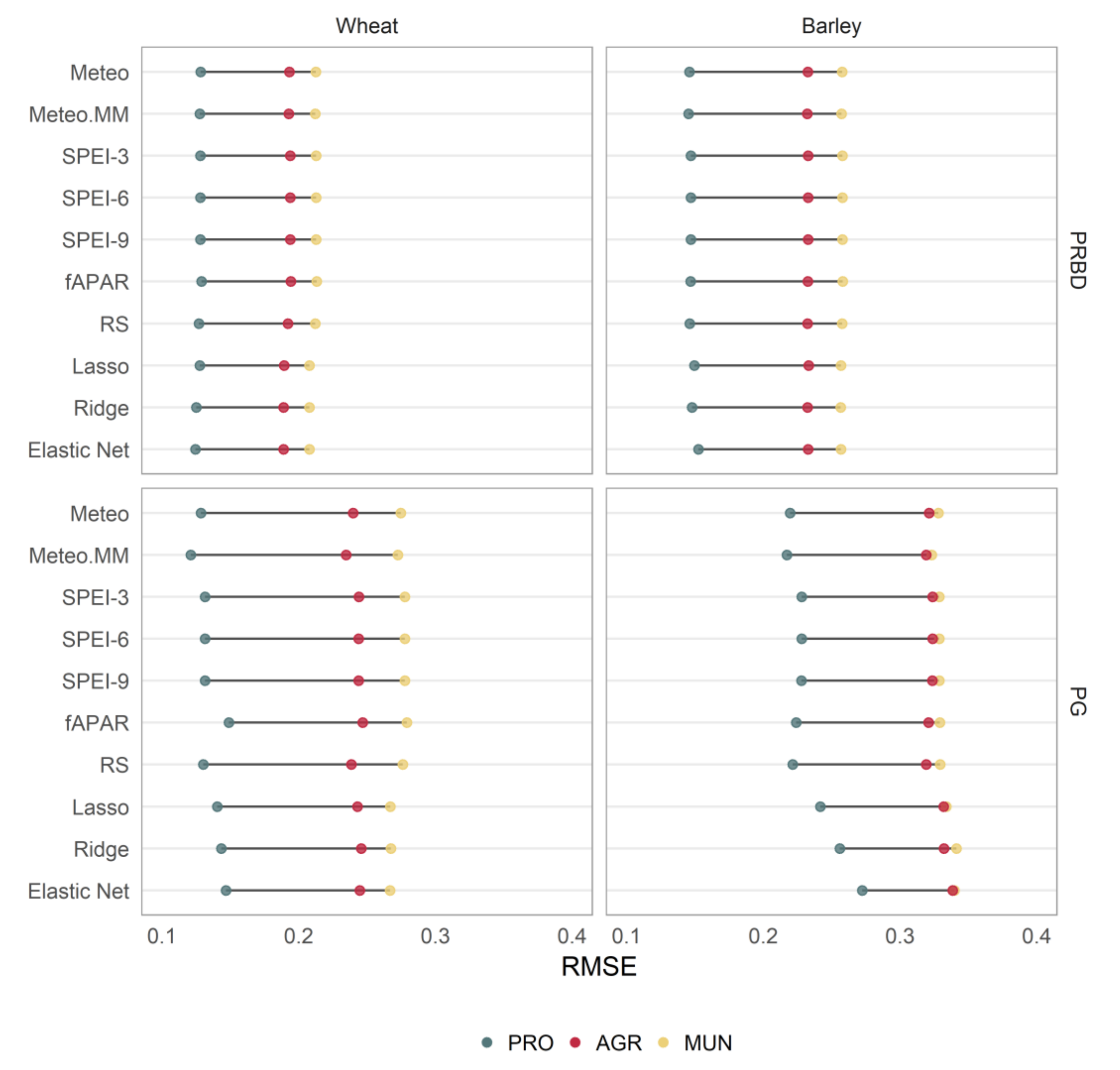
4.1. Model Accuracy by Cereal Species
4.2. Differences across Spatial Scales
4.3. Parsimonious Versus Complex Models
4.4. Nature of the Selected Predictors
4.5. Timing of the Selected Predictors
5. Conclusions
Supplementary Materials
Author Contributions
Funding
Acknowledgments
Conflicts of Interest
References
- Kowalik, W.; Dabrowska-Zielinska, K.; Meroni, M.; Raczka, T.U.; de Wit, A. Yield estimation using SPOT-VEGETATION products: A case study of wheat in European countries. Int. J. Appl. Earth Obs. Geoinfor. 2014, 32, 228–239. [Google Scholar] [CrossRef]
 - Baruth, B.; Genovese, G.; Leo, O. CGMS Version 9.2—User Manual and Technical Documentation; EUR 22936 EN; OPOCE: Brussels, Belgium, 2007. [Google Scholar]
 - López-Lozano, R.; Duveiller, G.; Seguini, L.; Meroni, M.; García-Condado, S.; Hooker, J.; Leo, O.; Baruth, B. Towards regional grain yield forecasting with 1 km-resolution EO biophysical products: Strengths and limitations at pan-European level. Agric. For. Meteorol. 2015, 206, 12–32. [Google Scholar] [CrossRef]
 - Zampieri, M.; Carmona García, G.; Dentener, F.; Gumma, M.K.; Salamon, P.; Seguini, L.; Toreti, A. Surface Freshwater Limitation Explains Worst Rice Production Anomaly in India in 2002. Remote Sens. 2018, 10, 244. [Google Scholar] [CrossRef]
 - García-León, D.; Contreras, S.; Hunink, J. Comparison of meteorological and satellite-based drought indices as yield predictors of Spanish cereals. Agric. Water Manag. 2019, 213, 388–396. [Google Scholar] [CrossRef]
 - Basso, B.; Cammarano, D.; Carfagna, E. Review of crop yield forecasting methods and early warning systems. In Proceedings of the First Meeting of the Scientific Advisory Committee of the Global Strategy to Improve Agricultural and Rural Statistics, FAO Headquarters, Rome, Italy, 18–19 July 2013; pp. 18–19. [Google Scholar]
 - Van Diepen, C.A.; Boogaard, H.L.; Supit, I.; LAZAR, C.; Orlandi, S.; van der Goot, E.; Schapendonk, A. Methodology of the MARS crop yield forecasting system. In Volume 2 Agrometeorological Data Collection, Processing and Analysis; Office for Official Publications of the European Communities: Luxembourg, 2004. [Google Scholar]
 - Schlenker, W.; Roberts, M.J. Nonlinear temperature effects indicate severe damages to U.S. crop yields under climate change. Proc. Natl. Acad. Sci. USA 2009, 106, 15594–15598. [Google Scholar] [CrossRef] [PubMed]
 - Lobell, D.B.; Burke, M.B. On the use of statistical models to predict crop yield responses to climate change. Agric. For. Meteorol. 2010, 150, 1443–1452. [Google Scholar] [CrossRef]
 - Sharif, B.; Makowski, D.; Plauborg, F.; Olesen, J.E. Comparison of regression techniques to predict response of oilseed rape yield to variation in climatic conditions in Denmark. Eur. J. Agron. 2017, 82, 11–20. [Google Scholar] [CrossRef]
 - Tack, J.; Barkley, A.; Nalley, L.L. Effect of warming temperatures on U.S. wheat yields. Proc. Natl. Acad. Sci. USA 2015, 112, 6931–6936. [Google Scholar] [CrossRef] [PubMed]
 - Ben-Ari, T.; Adrian, J.; Klein, T.; Calanca, P.; Van der Velde, M.; Makowski, D. Identifying indicators for extreme wheat and maize yield losses. Agric. For. Meteorol. 2016, 220, 130–140. [Google Scholar] [CrossRef]
 - Ceglar, A.; Toreti, A.; Lecerf, R.; van der Velde, M.; Dentener, F. Impact of meteorological drivers on regional inter-annual crop yield variability in France. Agric. For. Meteorol. 2016, 216, 58–67. [Google Scholar] [CrossRef]
 - Zampieri, M.; Ceglar, A.; Dentener, F.; Toreti, A. Wheat yield loss attributable to heat waves, drought and water excess at the global, national and subnational scales. Environ. Res. Lett. 2017, 12, 064008. [Google Scholar] [CrossRef]
 - De Wit, A.; Baruth, B.; Boogaard, H.; van Diepen, K.; van Kraalingen, D.; Micale, F.; te Roller, J.; Supit, I.; van den Wijngaart, R. Using ERA-INTERIM for regional crop yield forecasting in Europe. Clim. Res. 2010, 44, 41–53. [Google Scholar] [CrossRef]
 - Peltonen-Sainio, P.; Jauhiainen, L.; Trnka, M.; Olesen, J.E.; Calanca, P.; Eckersten, H.; Eitzinger, J.; Gobin, A.; Kersebaum, K.C.; Kozyra, J.; et al. Coincidence of variation in yield and climate in Europe. Agric. Ecosyst. Environ. 2010, 139, 483–489. [Google Scholar] [CrossRef]
 - Bannayan, M.; Sanjani, S. Weather conditions associated with irrigated crops in an arid and semiarid environment. Agric. For. Meteorol. 2011, 151, 1589–1598. [Google Scholar] [CrossRef]
 - Gouache, D.; Bouchon, A.-S.; Jouanneau, E.; Le Bris, X. Agrometeorological analysis and prediction of wheat yield at the departmental level in France. Agric. For. Meteorol. 2015, 209–210, 1–10. [Google Scholar] [CrossRef]
 - Schauberger, B.; Gornott, C.; Wechsung, F. Global evaluation of a semi-empirical model for yield anomalies and application to within-season yield forecasting. Glob. Chang. Biol. 2017, 23, 4750–4764. [Google Scholar] [CrossRef] [PubMed]
 - Lecerf, R.; Ceglar, A.; López-Lozano, R.; Van der Velde, M.; Baruth, B. Assessing the information in crop model and meteorological indicators to forecast crop yield over Europe. Agric. Syst. 2019, 168, 191–202. [Google Scholar] [CrossRef]
 - Quiring, S.M.; Papakryiaokou, T.N. An evaluation of agricultural drought indices for the Canadian prairies. Agric. For. Meteorol. 2003, 168, 49–62. [Google Scholar] [CrossRef]
 - Bachmair, S.; Tanguy, M.; Hannaford, J.; Stahl, K. How well do meteorological indicators represent agricultural and forest drought across Europe? Environ. Res. Lett. 2018, 13, 034042. [Google Scholar] [CrossRef]
 - Michel, L.; Makowski, D. Comparison of statistical models for analyzing wheat yield time series. PLoS ONE 2013, 8, e78615. [Google Scholar] [CrossRef]
 - Wallach, D.; Makowski, D.; Jones, J.; Brun, F. Working with Dynamic Crop Models—Methods, Tools and Examples for Agriculture and Environment; Academic Press: Cambridge, MA, USA, 2014. [Google Scholar]
 - ISTAT—Istituto Nazionale di Statistica. Superficie (Ettari) e Produzione (Quintali): Cereali. Dettaglio per Regione. (Surface and Production of Cereals. Breakdown by Regions). 2015. Available online: http://agri.istat.it/sag_is_pdwout/jsp/consultazioneDati.jsp (accessed on 25 January 2019). (In Italian).
 - Steduto, P.; Todorovic, M. The Agro-ecological characterisation of Apulia region (Italy): Methodology and experience. In Soil Resources of Southern and Eastern Mediterranean Countries; Options Méditerranéennes: Série B. Etudes et Recherches; n. 34; Zdruli, P., Steduto, P., Lacirignola, C., Montanarella, L., Eds.; CIHEAM: Bari, Italy, 2001; pp. 143–158. [Google Scholar]
 - Pizzigalli, C.; Palatella, L.; Zampieri, M.; Liobello, P.; Miglietta, M.M.; Paradisi, P. Dynamical and Statistical Downscaling of Precipitation and Temperature in a Mediterranean Area. Ital. J. Agron. 2012, 7, e2. [Google Scholar] [CrossRef]
 - Diffenbaugh, N.S.; Pal, J.S.; Giorgi, F.; Gao, X. Heat stress intensification in the Mediterranean climate change hotspot. Geophys. Res. Lett. 2007, 34. [Google Scholar] [CrossRef]
 - Zampieri, M.; Scoccimarro, E.; Gualdi, S.; Navarra, A. Observed shift towards earlier spring discharge in the main Alpine rivers. Sci. Total Environ. 2015, 503–504, 222–232. [Google Scholar] [CrossRef]
 - Zampieri, M.; Giorgi, F.; Lionello, P.; Nikulin, G. Regional climate change in the Northern Adriatic. Phys. Chem. Earth 2012, 40–41, 32–46. [Google Scholar] [CrossRef]
 - Po River Basin Authority. Caratteristiche del Bacino del Fiume Po e Primo Esame dell’ Impatto Ambientale Delle Attivitá Umane Sulle Risorse Idriche (Characteristics of Po River Catchment and First Investigation of the Impact of Human Activities on Water Resources). 2006. Available online: http://www.adbpo.it/download/bacino_Po/AdbPo_Caratteristiche-bacino-Po_2006.pdf/ (accessed on 27 January 2019). (In Italian).
 - Vitali, A.; Segnalini, M.; Esposito, S.; Lacetera, N.; Nardone, A.; Bernabucci, U. The changes of climate may threat the production of Grana Padano cheese: Past, recent and future scenarios. Ital. J. Anim. Sci. 2018, 18, 922–933. [Google Scholar] [CrossRef]
 - Buttner, G.; Feranec, J.; Jaffrain, G.; Mari, L.; Maucha, G.; Soukup, T. The CORINE land cover project. EARSel E Proc. 2004, 3, 331–346. [Google Scholar]
 - Dee, D.P.; Uppala, S.M.; Simmons, A.J.; Berrisford, P.; Poli, P.; Kobayashi, S.; Andrae, U.; Balmaseda, M.A.; Balsamo, G.; Bauer, P.; et al. The ERA-Interim reanalysis: Configuration and performance of the data assimilation system. Q. J. R. Meteorol. Soc. 2011, 137, 553–597. [Google Scholar] [CrossRef]
 - Ridal, M.; Olsson, E.; Unden, P.; Zimmermann, K.; Ohlsson, A. HARMONIE Reanalysis Report of Results and Dataset; UERRA Deliverable D2.7. 2017. Available online: http://uerra.eu/component/dpattachments (accessed on 5 June 2020).
 - Vicente-Serrano, S.M.; Beguería, S.; López-Moreno, J.I. A Multi-scalar drought index sensitive to global warming: The Standardized Precipitation Evapotranspiration Index—SPEI. J. Clim. 2010, 23, 1696–1718. [Google Scholar] [CrossRef]
 - Thornthwaite, C.W. An approach toward a rational classification of climate. Geogr. Rev. 1948, 38, 55–94. [Google Scholar] [CrossRef]
 - Siebert, S.; Ewert, F.; Rezaei, E.E.; Kage, H.; Graß, R. Impact of heat stress on crop yield—On the importance of considering canopy temperature. Environ. Res. Lett. 2014, 9, 044012. [Google Scholar] [CrossRef]
 - WMO; GWP. Handbook of Drought Indicators and Indices. Integrated Drought Management Tools and Guidelines; Svoboda, M., Fuchs, B.A., Eds.; World Meteorological Organization: Geneva, Switzerland; Global Water Partnership: Stockholm, Sweden, 2016. [Google Scholar]
 - Bokusheva, R.; Kogan, F.; Vitkovskaya, I.; Conradt, S.; Batyrbayeva, M. Satellite-based vegetation health indices as a criteria for insuring against drought-related yield losses. Agric. For. Meteorol. 2016, 220, 200–206. [Google Scholar] [CrossRef]
 - Myneni, R.B.; Hoffman, S.; Knyazikhin, Y.; Privette, J.L.; Glassy, J.; Tian, Y.; Wang, Y.; Song, X.; Zhang, Y.; Smith, G.R.; et al. Global products of vegetation leaf area and fraction absorbed PAR from year one of MODIS data. Remote Sens. Environ. 2002, 83, 214–231. [Google Scholar] [CrossRef]
 - Baret, F.; Weiss, M.; Lacaze, R.; Camacho, F.; Makhmara, H.; Pacholczyk, P.; Smets, B. GEOV1: LAI, FAPAR Essential Climate Variables and FCover global times series capitalizing over existing products. Part 1: Principles of development and production. Remote Sens. Environ. 2013, 137, 299–309. [Google Scholar] [CrossRef]
 - Copernicus Global Land Service. Fraction of Absorbed Photosynthetically Active Radiation, Sensor SPOT-VGT, PROBA-V, Product Version 2 [Data Set]. 2017. Available online: https://land.copernicus.eu/global/products/fapar (accessed on 1 November 2017).
 - Wan, Z.; Hook, S.; Hulley, G. MOD11A2 MODIS/Terra Land Surface Temperature/Emissivity 8-Day L3 Global 1 km SIN Grid V006 [Data Set]. NASA EOSDIS LP DAAC. 2015. Available online: http://dx.doi.org/10.5067/MODIS/MOD11A2.006 (accessed on 1 November 2017).
 - Running, S.; Mu, Q.; Zhao, M. MOD16A2 MODIS/Terra Net Evapotranspiration 8-Day L4 Global 500 m SIN Grid V006 [Data Set]. NASA EOSDIS Land Processes DAAC. 2017. Available online: http://dx.doi.org/10.5067/MODIS/MOD16A2.006 (accessed on 1 November 2017).
 - Allen, R.G.; Pereira, L.S.; Raes, D.; Smith, M. Crop Evapotranspiration: Guidelines for Computing Crop Requirements; Irrigation and Drainage Paper 56; FAO: Rome, Italy, 1998. [Google Scholar]
 - Tibshirani, R. Regression shrinkage and selection via the Lasso. J. R. Stat. Soc. Ser. B Stat. Methodol. 1996, 58, 267–288. [Google Scholar] [CrossRef]
 - Efron, B.; Hastie, T.; Johnstone, I.; Tibshirani, R. Least angle regression. Ann. Stat. 2004, 32, 407–451. [Google Scholar]
 - Hastie, T.; Tibshirani, R.; Friedman, J.H. The Elements of Statistical Learning: Data Mining, Inference and Prediction, 2nd ed.; Springer: New York, NY, USA, 2009. [Google Scholar]
 






| Municipality | ||||||
|---|---|---|---|---|---|---|
| Region | Crop | N | Mean (μ) | sd (σ) | cv(σ/μ) | |
| PRBD | Wheat | 8319 | 5.713 | 1.166 | 0.204 | |
| PRBD | Barley | 4115 | 5.157 | 1.257 | 0.244 | |
| PRBD | Maize | 10359 | 10.207 | 2.468 | 0.242 | |
| PRBD | Rice | 1363 | 6.302 | 0.879 | 0.139 | |
| PG | Wheat | 1475 | 2.548 | 0.937 | 0.368 | |
| PG | Barley | 346 | 2.694 | 1.191 | 0.442 | |
| Agricultural District | ||||||
| Region | Crop | N | Mean (μ) | sd (σ) | cv(σ/μ) | |
| PRBD | Wheat | 2140 | 5.638 | 1.017 | 0.180 | |
| PRBD | Barley | 1715 | 5.105 | 1.105 | 0.216 | |
| PRBD | Maize | 2303 | 10.015 | 2.103 | 0.210 | |
| PRBD | Rice | 296 | 6.177 | 0.912 | 0.148 | |
| PG | Wheat | 445 | 2.559 | 0.836 | 0.327 | |
| PG | Barley | 198 | 2.684 | 1.174 | 0.437 | |
| Province | ||||||
| Region | Crop | N | Mean (μ) | sd (σ) | cv(σ/μ) | |
| PRBD | Wheat | 415 | 5.621 | 0.755 | 0.134 | |
| PRBD | Barley | 397 | 5.111 | 0.879 | 0.172 | |
| PRBD | Maize | 438 | 9.816 | 1.795 | 0.183 | |
| PRBD | Rice | 112 | 6.079 | 0.941 | 0.155 | |
| PG | Wheat | 82 | 2.476 | 0.622 | 0.251 | |
| PG | Barley | 69 | 2.518 | 0.867 | 0.344 | 
| Short Name | Variable | Source | Frequency | Resolution | 
|---|---|---|---|---|
| Temp | Mean air temperature | UERRA | Daily | 11 km | 
| Temp.Min | Minimum air temperature | UERRA | Daily | 11 km | 
| Temp.Max | Maximum air temperature | UERRA | Daily | 11 km | 
| Prec | Cumulative Precipitation | UERRA | Daily | 11 km | 
| SPEI | Standardized Precipitation-Evapotranspiration Index (three different accumulation periods: 3, 6, 9 months) | Own elaboration (from UERRA data) | Monthly | 11 km | 
| fAPAR | fraction of Absorbed Photosynthetically Active Radiation | Copernicus | 10-day | 1 km | 
| LST | Land Surface Temperature | MOD11A2 | 8-day | 1 km | 
| ET | Net Evapotranspiration | MOD16A2 | 8-day | 500 m | 
| # | Model | Indicators Included | Estimation Method | 
|---|---|---|---|
| 1 | Meteo | Temp, Prec | OLS | 
| 2 | Meteo.MM | Temp.Min, Temp.Max, Prec | OLS | 
| 3 | SPEI-3 | SPEI-3 | OLS | 
| 4 | SPEI-6 | SPEI-6 | OLS | 
| 5 | SPEI-9 | SPEI-9 | OLS | 
| 6 | fAPAR | fAPAR | OLS | 
| 7 | RS | fAPAR, LST, ET | OLS | 
| 8 | Lasso | Temp, Prec, SPEI-6, fAPAR, LST, ET | Regularized (α = 0) | 
| 9 | Ridge | Temp, Prec, SPEI-6, fAPAR, LST, ET | Regularized (α = 1) | 
| 10 | Elastic Net | Temp, Prec, SPEI-6, fAPAR, LST, ET | Regularized (α = 0.5) | 
| Region | Crop | Municipality | Agricultural District  | Province | 
|---|---|---|---|---|
| PRBD | Wheat | 0.278 (3) | 0.253 (3) | 0.167 (2) | 
| PRBD | Barley | 0.361 (4) | 0.327 (4) | 0.209 (4) | 
| PRBD | Maize | 0.239 (2) | 0.216 (2) | 0.151 (1) | 
| PRBD | Rice | 0.197 (1) | 0.183 (1) | 0.172 (3) | 
| PG | Wheat | 0.670 (5) | 0.598 (5) | 0.340 (5) | 
| PG | Barley | 0.774 (6) | 0.763 (6) | 0.563 (6) | 
© 2020 by the authors. Licensee MDPI, Basel, Switzerland. This article is an open access article distributed under the terms and conditions of the Creative Commons Attribution (CC BY) license (http://creativecommons.org/licenses/by/4.0/).
Share and Cite
García-León, D.; López-Lozano, R.; Toreti, A.; Zampieri, M. Local-Scale Cereal Yield Forecasting in Italy: Lessons from Different Statistical Models and Spatial Aggregations. Agronomy 2020, 10, 809. https://doi.org/10.3390/agronomy10060809
García-León D, López-Lozano R, Toreti A, Zampieri M. Local-Scale Cereal Yield Forecasting in Italy: Lessons from Different Statistical Models and Spatial Aggregations. Agronomy. 2020; 10(6):809. https://doi.org/10.3390/agronomy10060809
Chicago/Turabian StyleGarcía-León, David, Raúl López-Lozano, Andrea Toreti, and Matteo Zampieri. 2020. "Local-Scale Cereal Yield Forecasting in Italy: Lessons from Different Statistical Models and Spatial Aggregations" Agronomy 10, no. 6: 809. https://doi.org/10.3390/agronomy10060809
APA StyleGarcía-León, D., López-Lozano, R., Toreti, A., & Zampieri, M. (2020). Local-Scale Cereal Yield Forecasting in Italy: Lessons from Different Statistical Models and Spatial Aggregations. Agronomy, 10(6), 809. https://doi.org/10.3390/agronomy10060809
        
