Effects of Biochar to Excessive Compost-Fertilized Soils on the Nutrient Status
Abstract
1. Introduction
2. Materials and Methods
2.1. Soils, Biochar, and Compost
2.2. Incubation Experiment
2.3. Statistical Analysis
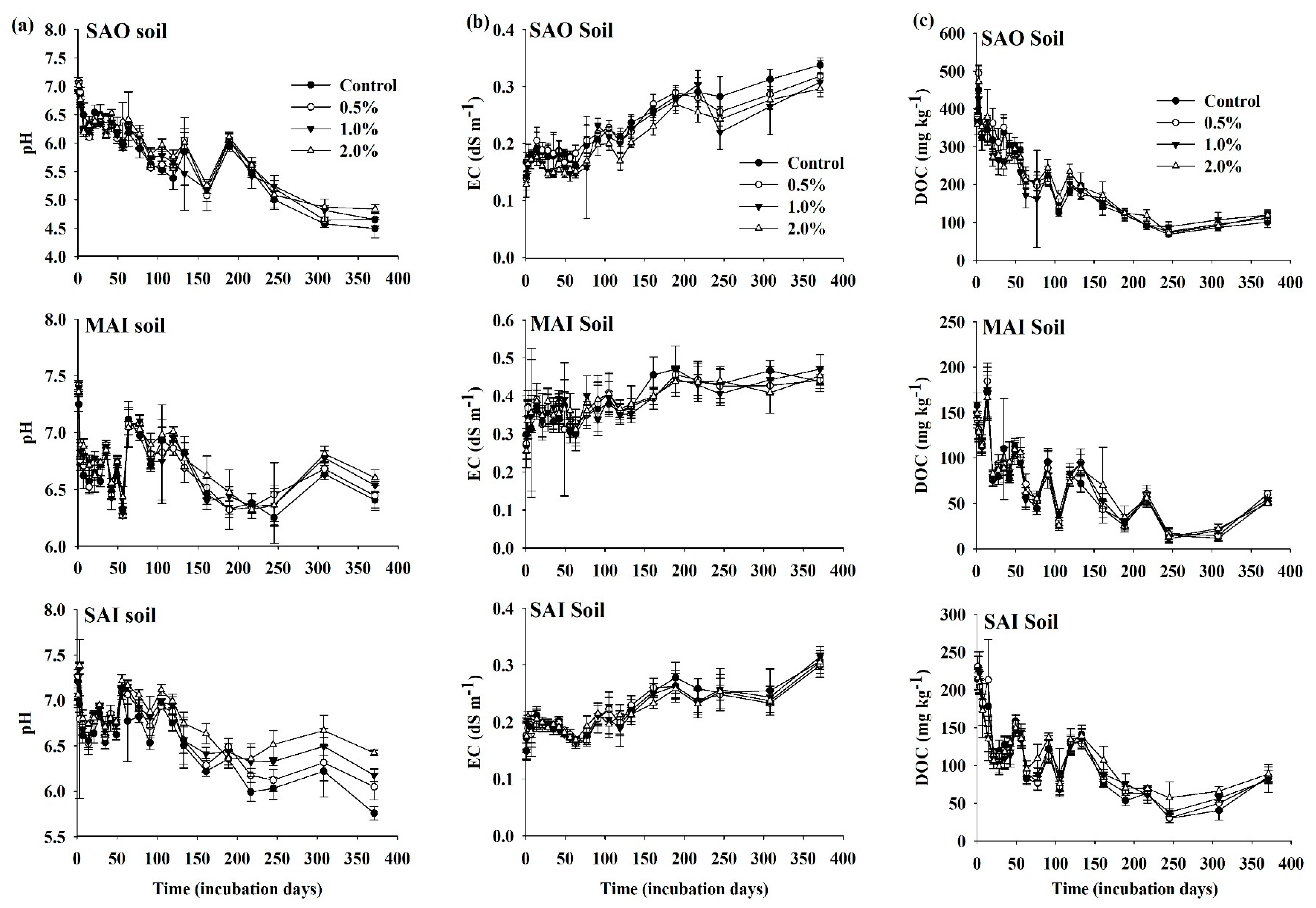
3. Results
3.1. Soil Properties and Available Nutrients
3.2. Principal Components (PCs) and Correlation Coefficients
4. Discussion
4.1. Effect on Soil pH, EC, and DOC
4.2. Effect on Soil TC, TN, TP and C:N Ratio
4.3. Effect on Soil-Available Nutrients
5. Conclusions
Supplementary Materials
Author Contributions
Funding
Acknowledgments
Conflicts of Interest
References
- Glaser, B.; Lehmann, J.; Zech, W. Ameliorating physical and chemical properties of highly weathered soils in the tropics with charcoal—A review. Biol. Fertil. Soils 2002, 35, 219–230. [Google Scholar]
- Lehmann, J.; Rondon, M. Bio-char soil management on highly weathered soils in the humid tropics. In Biological Aapproaches to Sustainable Soil Systems, 1st ed.; Uphoff, N., Ball, A.S., Fernandes, E., Herren, H., Husson, O., Laing, M., Palm, C., Pretty, J., et al., Eds.; CRC Press/Taylor and Francis Group: Boca Raton, FL, USA, 2006; pp. 517–530. [Google Scholar]
- Gaskin, J.W.; Speir, R.A.; Harris, K.; Das, K.C.; Lee, R.D.; Morris, L.A.; Fisher, D.S. Effect of peanut hull and pine chip biochar on soil nutrients, corn nutrient status, and yield. Agron. J. 2010, 102, 623–633. [Google Scholar] [CrossRef]
- Van Zwieten, L.; Kimber, S.; Morris, S.; Chan, K.Y.; Downie, A.; Rust, J.; Joseph, S.; Cowie, A. Effects of biochar from slow pyrolysis of papermill waste on agronomic performance and soil fertility. Plant Soil 2010, 327, 235–246. [Google Scholar] [CrossRef]
- Brewer, C.E.; Hu, Y.; Schmidt-Rohr, K.; Loynachan, T.E.; Laird, D.A.; Brown, R.C. Extent of pyrolysis impacts on fast pyrolysis biochar properties. J. Environ. Qual. 2012, 41, 1115–1122. [Google Scholar] [CrossRef]
- Laird, D.A.; Fleming, P.; Davis, D.D.; Horton, R.; Wang, B.; Karlen, D.L. Impact of biochar amendments on the quality of a typical Midwestern agricultural soil. Geoderma 2010, 158, 443–449. [Google Scholar] [CrossRef]
- Ippolito, J.A.; Laird, D.A.; Busscher, W.J. Environmental benefits of biochar. J. Environ. Qual. 2012, 41, 967–972. [Google Scholar] [CrossRef]
- Sigua, G.C.; Stone, K.C.; Hunt, P.G.; Cantrell, K.B.; Novak, J.M. Increasing biomass of winter wheat using sorghum biochars. Agron. Sustain. Dev. 2014, 35, 739–748. [Google Scholar] [CrossRef]
- Pandit, N.R.; Mulder, J.; Hale, S.E.; Martinsen, V.; Schmidt, H.P.; Cornelissen, G. Biochar improves maize growth by alleviation of nutrient stress in a moderately acidic low-input Nepalese soil. Sci. Total Environ. 2018, 625, 1380–1389. [Google Scholar] [CrossRef]
- El-Naggar, A.; Lee, S.S.; Awad, Y.M.; Yang, X.; Ryu, C.; Rizwan, M.; Rinklebe, J.; Tsang, D.C.W.; Ok, Y.S. Influence of soil properties and feedstocks on biochar potential for carbon mineralization and improvement of infertile soils. Geoderma 2018, 332, 100–108. [Google Scholar] [CrossRef]
- Ippolito, J.A.; Stromberger, M.E.; Lentz, R.D.; Dungan, R.S. Hardwood biochar and manure co-application to a calcareous soil. Chemosphere 2016, 142, 84–91. [Google Scholar] [CrossRef]
- Berek, A.K.; Hue, N.V.; Radovich, T.J.K.; Ahmad, A.A. Biochars improve nutrient phyto-availability of Hawaii’s highly weathered soils. Agronomy 2018, 8, 203. [Google Scholar] [CrossRef]
- Laird, D.A.; Fleming, P.; Wang, B.Q.; Horton, R.; Karlen, D.L. Biochar impact on nutrient leaching from a Midwestern agricultural soil. Geoderma 2010, 158, 436–442. [Google Scholar] [CrossRef]
- Igalavithana, A.D.; Ok, Y.S.; Usman, A.R.; Al-Wabel, M.I.; Oleszczuk, P.; Lee, S.S. The effects of biochar amendment on soil fertility. In Agricultural and Environmental Applications of Biochar: Advances and Barriers, 1st ed.; Guo, M.X., He, Z.Q., Uchimiya, S.M., Eds.; Soil Science Society of America, Inc.: Madison, WI, USA, 2015; SSSA Special Publication 63; pp. 123–144. [Google Scholar]
- Oldfield, T.L.; Sikirica, N.; Mondini, C.; López, G.; Kuikman, P.J.; Holden, N.M. Biochar, compost and biochar- compost blend as options to recover nutrients and sequester carbon. J. Environ. Manag. 2018, 218, 465–476. [Google Scholar] [CrossRef] [PubMed]
- Trupiano, D.; Cocozza, C.; Baronti, S.; Ame ndola, C.; Vaccari, F.P.; Lustrato, G.; Di Lonardo, S.; Fantasma, F.; Togne tti, R.; Scippa, G.S. The effects of biochar and its combination with compost on lettuce (Lactuca sativa L.) growth, soil properties, and soil microbial activity and abundance. Int. J. Agron. 2017, 2017, 3158207. [Google Scholar] [CrossRef]
- Liu, J.; Schulz, H.; Brandl, S.; Miehtke, H.; Huwe, B.; Glaser, B. Short-term effect of biochar and compost on soil fertility and water status of a Dystric Cambisol in NE Germany under field conditions. J. Plant Nutr. Soil Sci. 2012, 175, 698–707. [Google Scholar] [CrossRef]
- Agegnehu, G.; Bird, M.; Nelson, P.; Bass, A. The ameliorating effects of biochar and compost on soil quality and plant growth on a Ferralsol. Soil Res. 2015, 53, 1–12. [Google Scholar] [CrossRef]
- Agegnehu, G.; Srivastava, A.K.; Bird, M.I. The role of biochar and biochar-compost in improving soil quality and crop performance: A review. Appl. Soil Ecol. 2017, 119, 156–170. [Google Scholar] [CrossRef]
- Yun, S.I.; Ro, H.M.; Choi, W.J.; Chang, S.X. Interactive effects of N fertilizer source and timing of fertilization leave specific N isotope signatures in Chinese cabbage and soil. Soil Biol. Biochem. 2006, 38, 1682–1689. [Google Scholar] [CrossRef]
- Yun, S.I.; Ro, H.M. Natural 15N abundance of plant and soil inorganic-N as evidence for over-fertilization with compost. Soil Biol. Biochem. 2009, 41, 1541–1547. [Google Scholar] [CrossRef]
- Lee, J.S.; Chang, K.W.; Cho, S.H.; Oh, J.G. Effect of compost application on radish quality and changes of soil physico-chemical properties in organic farming. Korean J. Soil. Sci. Fertil. 1996, 29, 145–149. [Google Scholar]
- Fornes, F.; Liu-Xu, L.; Lidón, A.; Sánchez-García, M.; Cayuela, M.L.; Sánchez-Monedero, M.A.; Belda, R.M. Biochar improves the properties of poultry manure compost as growing media for rosemary production. Agronomy 2020, 10, 261. [Google Scholar] [CrossRef]
- Tsai, C.C.; Chang, Y.F. Carbon dynamics and fertility in biochar-amended soils with excessive compost application. Agronomy 2019, 9, 511. [Google Scholar] [CrossRef]
- Tsai, C.C.; Chang, Y.F. Nitrogen availability in biochar-amended soils with excessive compost application. Agronomy 2020, 10, 444. [Google Scholar] [CrossRef]
- Tsai, C.C.; Chang, Y.F.; Hwang, G.S.; Hseu, Z.Y. Impact of wood biochar addition on nutrient leaching and fertility in a rural Ultisols of Taiwan. Taiwan. J. Agric. Chem. Food Sci. 2013, 51, 80–93. [Google Scholar]
- Tsai, C.C.; Chang, Y.F. Viability of biochar on reducing C mineralization and improving nutrients status in a compost-treated Oxisols. Taiwan. J. Agric. Chem. Food Sci. 2016, 54, 74–89. [Google Scholar]
- Tabatabai, M.A.; Bremner, J.M. Automated instruments for determination of total carbon, nitrogen, and sulfur in soils by combustion techniques. In Soil Analysis: Modern Instrumental Techniques; Smith, K.A., Ed.; Marcel Dekker: New York, NY, USA, 1991; pp. 261–289. [Google Scholar]
- Mehlich, A. Mehlich-3 soil test extractant: A modification of Mehlich-2 extractant. Commun. Soil Sci. Plant Anal. 1984, 15, 1409–1416. [Google Scholar] [CrossRef]
- Hailegnaw, N.S.; Mercl, F.; Pračke, K.; Száková, J.; Tlustoš, P. High temperature-produced biochar can be efficient in nitrate loss prevention and carbon sequestration. Geoderma 2019, 338, 48–55. [Google Scholar] [CrossRef]
- Streubel, J.D.; Collins, H.P.; Garcia-Perez, M.; Tarara, J.; Granatstein, D.; Kruger, C.E. Influence of contrasting biochar types on five soils at increasing rates of application. Soil Sci. Soc. Am. J. 2011, 75, 1402–1413. [Google Scholar] [CrossRef]
- Cox, D.; Bezdicek, D.; Fauci, M. Effects of compost, coal ash, and straw amendments on restoring the quality of eroded Palouse soil. Biol. Fertil. Soils 2001, 33, 365–372. [Google Scholar] [CrossRef]
- Rondon, M.A.; Lehmann, J.; Ramirez, J.; Hurtado, M. Biological nitrogen fixation by common beans (Phaseolus vulgaris L.) increases with biochar additions. Biol. Fertil. Soils 2006, 43, 699–708. [Google Scholar] [CrossRef]
- Yamato, M.; Okimori, Y.; Wibowo, I.F.; Anshori, S.; Ogawa, M. Effects of the application of charred bark of Acacia mangium on the yield of maize, cowpea and peanut, and soil chemical properties in South Sumatra, Indonesia. Soil Sci. Plant Nutr. 2006, 52, 489–495. [Google Scholar] [CrossRef]
- Hossain, M.K.; Strezov, V.; Chan, K.Y.; Nelson, P.F. Agronomic properties of wastewater sludge biochar and bioavailability of metals in production of cherry tomato (Lycopersicon esculentum). Chemosphere 2010, 78, 1167–1171. [Google Scholar] [CrossRef] [PubMed]
- Luo, X.X.; Chen, L.; Zheng, H.; Chang, J.J.; Wang, H.F.; Wang, Z.Y.; Xing, B.S. Biochar addition reduced net N mineralization of a coastal wetland soil in the Yellow River Delta, China. Geoderma 2016, 282, 120–128. [Google Scholar] [CrossRef]
- Ippolito, J.A.; Stromberger, M.E.; Lentz, R.D.; Dungan, R.S. Hardwood biochar influences calcareous soil physicochemical and microbiological status. J. Environ. Qual. 2014, 43, 681–689. [Google Scholar] [CrossRef] [PubMed]
- Chintala, R.; Mollinedo, J.; Schumacher, T.E.; Malo, D.D.; Julson, J.L. Effect of biochars on chemical properties of acidic soil. Arch. Agron. Soil Sci. 2013, 60, 1–12. [Google Scholar] [CrossRef]
- Lentz, R.D.; Ippolito, J.A. Biochar and manure affects calcareous soil and corn silage nutrient concentrations and uptake. J. Environ. Qual. 2012, 41, 1033–1043. [Google Scholar] [CrossRef]
- Bartell, F.E.; Miller, E.J. Adsorption by activated sugar charcoal. II. J. Am. Chem. Soc. 1923, 45, 1106–1115. [Google Scholar] [CrossRef]
- Thomas, S.C.; Frye, S.; Gale, N.; Garmon, M.; Launchbury, R.; Machado, N.; Melamed, S.; Murray, J.; Petroff, A.; Winsborough, C. Biochar mitigates negative effects of salt additions on two herbaceous plant species. J. Environ. Manag. 2013, 129, 62–68. [Google Scholar] [CrossRef]
- Kasozi, G.N.; Zimmerman, A.R.; Nkedi-Kizza, P.; Gao, B. Catechol and humic acid sorption onto a range of laboratory-produced black carbons (biochars). Environ. Sci. Technol. 2010, 44, 6189–6195. [Google Scholar] [CrossRef]
- Zimmerman, A.R.; Gao, B.; Ahn, M.-Y. Positive and negative carbon mineralization priming effects among a variety of biochar-amended soils. Soil Biol. Biochem. 2011, 43, 1169–1179. [Google Scholar] [CrossRef]
- Shen, Y.H. Sorption of natural dissolved organic matter on soil. Chemosphere 1999, 38, 1505–1515. [Google Scholar] [CrossRef]
- Kaiser, K.; Guggenberger, G.; Zech, W. Sorption of DOM and DOM fractions to forest soils. Geoderma 1996, 74, 281–303. [Google Scholar] [CrossRef]
- Whittinghill, K.A.; Hobbie, S.E. Effects of pH and calcium on soil organic matter dynamics in Alaskan tundra. Biogeochemistry 2012, 111, 569–581. [Google Scholar] [CrossRef]
- Li, S.L.; Liang, C.T.; Shangguan, Z.P. Effects of apple branch biochar on soil C mineralization and nutrient cycling under two levels of N. Sci. Total Environ. 2017, 607, 109–119. [Google Scholar] [CrossRef] [PubMed]
- Plaza, C.; Giannetta, B.; Fernández, J.M.; López-de-Sá, E.G.; Polo, A.; Gascó, G.; Méndez, A.; Zaccone, C. Response of different soil organic matter pools to biochar and organic fertilizers. Agric. Ecosyst. Environ. 2016, 225, 150–159. [Google Scholar] [CrossRef]
- Manirakiza, E.; Ziadi, N.; St. Luce, M.; Hamel, C.; Antoun, H.; Karama, A. Nitrogen mineralization and microbial biomass carbon and nitrogen in response to co-application of biochar and paper mill biosolids. Appl. Soil Ecol. 2019, 142, 90–98. [Google Scholar] [CrossRef]
- Masunga, R.H.; Uzokwe, V.N.; Mlay, P.D.; Odeh, I.; Singh, A.; Buchan, D.; De Neve, S. Nitrogen mineralization dynamics of different valuable organic amendments commonly used in agriculture. Appl. Soil Ecol. 2016, 101, 185–193. [Google Scholar] [CrossRef]
- Robertson, G.; Groffman, P. Nitrogen transformations. In Soil Microbiology, Ecology, and Biochemistry, 3rd ed.; Paul, E.A., Ed.; Elsevier Inc.: Burlington, MA, USA, 2007; pp. 341–364. [Google Scholar]
- Joseph, C.A.; Khiari, L.; Gallichand, J.; Bouslama, S. Classification and assessment models of first year byproducts nitrogen plant-availability from literature data. Sci. Total Environ. 2017, 586, 976–984. [Google Scholar] [CrossRef]
- Clough, T.J.; Condron, L.M.; Kammann, C.; Müller, C. A review of biochar and soil nitrogen dynamics. Agronomy 2013, 3, 275–293. [Google Scholar] [CrossRef]
- Nguyen, T.T.N.; Xu, C.-Y.; Tahmasbian, I.; Che, R.; Xu, Z.; Zhou, X.; Wallace, H.M.; Bai, S.H. Effects of biochar on soil available inorganic nitrogen: A review and meta-analysis. Geoderma 2017, 288, 79–96. [Google Scholar] [CrossRef]
- Lehmann, J.; Gaunt, J.; Rondon, M. Biochar sequestration in terrestrial ecosystems—A review. Mitig. Adapt. Strateg. Glob. Chang. 2006, 11, 395–419. [Google Scholar] [CrossRef]
- DeLuca, T.H.; Gundale, M.J.; MacKenzie, M.D.; Jones, D.L. Biochar effects on soil nutrient transformations. In Biochar for Environmental Management: Science, Technology and Implementation, 2nd ed.; Lehmann, J., Joseph, S., Eds.; Taylor & Francis: London, UK, 2015; pp. 421–454. [Google Scholar]
- Chan, K.Y.; Xu, Z. Biochar: Nutrient properties and their enhancement. In Biochar for Environmental Management: Science and Technology, 1st ed.; Lehmann, J., Joseph, S., Eds.; Earthscan Publications Ltd.: London, UK, 2009; pp. 67–84. [Google Scholar]
- Borchard, N.; Wolf, A.; Laabs, V.; Aeckersberg, R.; Scherer, H.W.; Moeller, A.; Amelung, W. Physical activation of biochar and its meaning for soil fertility and nutrient leaching—A greenhouse experiment. Soil Use Manag. 2012, 28, 177–184. [Google Scholar] [CrossRef]
- Ameloot, N.; Sleutel, S.; Das, K.C.; Kanagaratnam, J.; Neve, S. Biochar amendment to soils with contrasting organic matter level: Effects on N mineralization and biological soil properties. GCB Bioenergy 2015, 7, 135–144. [Google Scholar] [CrossRef]
- Bruun, E.W.; Ambus, P.; Egsgaard, H.; Hauggaard-Nielsen, H. Effects of slow and fast pyrolysis biochar on soil C and N turnover dynamics. Soil Biol. Biochem. 2012, 46, 73–79. [Google Scholar] [CrossRef]
- Dempster, D.N.; Gleeson, D.B.; Solaiman, Z.M.; Jones, D.L.; Murphy, D.V. Decreased soil microbial biomass and nitrogen mineralisation with Eucalyptus biochar addition to a coarse textured soil. Plant Soil 2012, 354, 311–324. [Google Scholar] [CrossRef]
- Nelson, N.O.; Agudelo, S.C.; Yuan, W.; Gan, J. Nitrogen and phosphorus availability in biochar-amended soils. Soil Sci. 2011, 176, 218–226. [Google Scholar] [CrossRef]
- Zhai, L.M.; Caiji, Z.M.; Liu, J.; Wang, H.Y.; Ren, T.Z.; Gai, X.P.; Xi, B.; Liu, H.B. Short-term effects of maize residue biochar on phosphorus availability in two soils with different phosphorus sorption capacities. Biol. Fertil. Soils 2015, 51, 113–122. [Google Scholar] [CrossRef]
- Takaya, C.A.; Fletcher, L.A.; Singh, S.; Anyikude, K.U.; Ross, A.B. Phosphate and ammonium sorption capacity of biochar and hydrochar from different wastes. Chemosphere 2016, 145, 518–527. [Google Scholar] [CrossRef]
- Wang, Z.; Guo, H.; Fei, S.; Gang, Y.; Zhang, Y.; Zeng, Y.; Wang, L.; Xiao, H.; Deng, S. Biochar produced from oak sawdust by lanthanum (La)-involved pyrolysis for adsorption of ammonium (NH4+), nitrate (NO3−), and phosphate (PO43−). Chemosphere 2015, 119, 646–653. [Google Scholar] [CrossRef]
- Yao, Y.; Gao, B.; Inyang, M.; Zimmerman, A.R.; Cao, X.; Pullammanappallil, P.; Yang, L. Biochar derived from anaerobically digested sugar beet tailings: Characterization and phosphate removal potential. Bioresour. Technol. 2011, 102, 6273–6278. [Google Scholar] [CrossRef]
- Novak, J.M.; Busscher, W.J.; Laird, D.L.; Ahmedna, M.; Watts, D.W.; Niandou, M.A.S. Impact of biochar amendment on fertility of a southeastern coastal plain soil. Soil Sci. 2009, 174, 105–112. [Google Scholar] [CrossRef]
- Namgay, T.; Singh, B.; Singh, B.P. Influence of biochar application to soil on the availability of As, Cd, Cu, Pb, and Zn to maize (Zea mays L.). Aust. J. Soil Res. 2010, 48, 638–647. [Google Scholar] [CrossRef]


| Source of Variation | df | pH | EC | DOC | TC | TN | TP | C:N | P | K | Ca | Mg | Fe | Mn | Cu | Pb | Zn |
|---|---|---|---|---|---|---|---|---|---|---|---|---|---|---|---|---|---|
| Between subject effect | |||||||||||||||||
| Soil | 2 | *2 | * | * | * | * | * | * | * | * | * | * | * | * | * | * | * |
| Rate | 3 | * | ns3 | ns | * | * | ns | * | ns | * | ns | ns | ns | ns | ns | ns | ns |
| Soil × Rate | 6 | ns | ns | ns | ns | ns | ns | * | ns | ns | ns | ns | ns | ns | ns | ns | ns |
| Error | 48 | ||||||||||||||||
| Within-subject effect | |||||||||||||||||
| Time | 21 | * | * | * | * | * | * | * | * | * | * | * | * | * | * | * | * |
| Time × Soil | 42 | * | * | * | * | * | * | * | * | * | * | * | * | * | * | * | * |
| Time × Rate | 63 | * | ns | * | * | * | * | * | * | ns | ns | ns | * | ns | ns | ns | ns |
| Time × Soil × Rate | 126 | * | ns | * | * | * | * | * | ns | ns | ns | ns | ns | ns | ns | ns | ns |
| Error | 1008 | ||||||||||||||||
| Parameter | SAO Soil | MAI Soil | SAI Soil | |||||||||
|---|---|---|---|---|---|---|---|---|---|---|---|---|
| Day 3 | Day 371 | Day 3 | Day 371 | Day 3 | Day 371 | |||||||
| PC1 | PC2 | PC1 | PC2 | PC1 | PC2 | PC1 | PC2 | PC1 | PC2 | PC1 | PC2 | |
| Total variance | 34.5% | 21.3% | 49.2% | 19.3% | 30.2% | 23.4% | 48.6% | 18.3% | 38.2% | 22.6% | 39.7% | 22.2% |
| NO3−-N | 0.78 * | −0.11 | −0.81 * | −0.18 | 0.80 * | −0.47 | −0.93 * | −0.07 | −0.11 | 0.94 * | −0.77 * | 0.41 |
| TIN | 0.78 * | 0.38 | −0.79 * | −0.19 | 0.83 * | −0.41 | −0.93 * | −0.09 | −0.11 | 0.91 * | −0.78 * | 0.38 |
| pH | 0.68 | −0.02 | 0.82 * | 0.10 | 0.65 | 0.57 | 0.85 * | 0.03 | 0.57 | 0.20 | 0.93 * | 0.01 |
| EC | 0.57 | −0.31 | −0.80 * | 0.11 | −0.28 | −0.22 | 0.26 | −0.06 | 0.58 | 0.46 | −0.13 | 0.27 |
| DOC | 0.30 | 0.20 | 0.59 | 0.27 | 0.15 | −0.28 | −0.34 | 0.54 | 0.35 | −0.37 | 0.05 | 0.79 * |
| TC | −0.82 * | −0.01 | 0.83 * | −0.22 | 0.27 | 0.75 | 0.95 * | −0.09 | 0.93 | 0.13 | 0.92 * | 0.26 |
| TN | 0.34 | −0.21 | 0.84 * | −0.24 | 0.83 * | 0.28 | 0.44 | −0.51 | 0.52 | −0.30 | 0.36 | 0.66 |
| C:N | −0.74 | 0.14 | 0.73 | −0.20 | −0.27 | 0.54 | 0.92 * | −0.02 | 0.92 * | 0.16 | 0.94 * | 0.13 |
| P | 0.05 | 0.95 * | −0.06 | 0.95 * | −0.59 | −0.01 | −0.01 | 0.88 * | −0.80 * | 0.12 | 0.02 | 0.46 |
| K | 0.06 | 0.93 * | 0.16 | 0.85 * | 0.04 | 0.75 | 0.53 | 0.68 | −0.61 | 0.10 | −0.01 | 0.70 |
© 2020 by the authors. Licensee MDPI, Basel, Switzerland. This article is an open access article distributed under the terms and conditions of the Creative Commons Attribution (CC BY) license (http://creativecommons.org/licenses/by/4.0/).
Share and Cite
Tsai, C.-C.; Chang, Y.-F. Effects of Biochar to Excessive Compost-Fertilized Soils on the Nutrient Status. Agronomy 2020, 10, 683. https://doi.org/10.3390/agronomy10050683
Tsai C-C, Chang Y-F. Effects of Biochar to Excessive Compost-Fertilized Soils on the Nutrient Status. Agronomy. 2020; 10(5):683. https://doi.org/10.3390/agronomy10050683
Chicago/Turabian StyleTsai, Chen-Chi, and Yu-Fang Chang. 2020. "Effects of Biochar to Excessive Compost-Fertilized Soils on the Nutrient Status" Agronomy 10, no. 5: 683. https://doi.org/10.3390/agronomy10050683
APA StyleTsai, C.-C., & Chang, Y.-F. (2020). Effects of Biochar to Excessive Compost-Fertilized Soils on the Nutrient Status. Agronomy, 10(5), 683. https://doi.org/10.3390/agronomy10050683

